Using pH Value as a Discriminating Feature for Scotch Whisky Authentication in Taiwan
Abstract
1. Introduction
2. Materials and Methods
2.1. Preparation of Scotch Whisky Samples
2.2. pH Meter Analysis
2.3. Statistical Analysis
3. Results
3.1. Reference Scotch Whisky
3.2. Fake Scotch Whisky
3.3. New Make Spirit and Aged Spirit
3.4. Homemade Counterfeit Whisky
4. Discussion
4.1. pH Values of Authentic Scotch Whisky
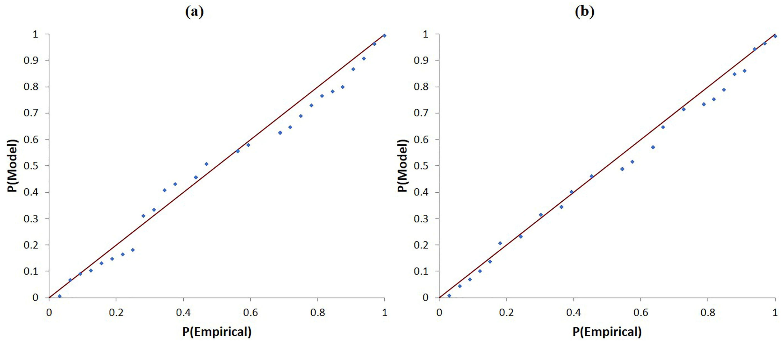
4.1.1. Distribution of pH Value in Authentic Scotch Whisky
4.1.2. pH Distribution and Confidence Intervals in Scotch Whisky
4.1.3. Eliminative Authentication of Scotch Whiskies Using Observed pH Confidence Intervals
4.2. Modus Operandi of Fake Scotch Whisky
5. Conclusions
Author Contributions
Funding
Data Availability Statement
Acknowledgments
Conflicts of Interest
References
- Rizzuti, A. Food crime: A review of the UK institutional perception of illicit practices in the food sector. Soc. Sci. 2020, 9, 112. [Google Scholar] [CrossRef]
- Europol. Operation OPSON XI–Report; Europol: The Hague, The Netherlands, 2022; Available online: https://www.europol.europa.eu/media-press/newsroom/news/food-fraud-about-27-000-tonnes-shelves (accessed on 15 November 2025).
- Market Data Forecast. Whiskey Market 2024; Market Data Forecast: Hyderabad, India, 2024. [Google Scholar]
- Toma, S.-G. Whisky, a tasty business. Contemp. Econ. J. 2023, 8, 28–34. [Google Scholar]
- Bigão, V.L.C.P.; da Costa, B.R.B.; Gomes, N.C.; Júnior, W.J.R.S.; Marinho, P.A.; De Martinis, B.S. From inspection to analysis: A combined approach to identifying counterfeit whiskeys using HS-GC-FID and bottle integrity. Forensic Sci. Int. 2024, 357, 111977. [Google Scholar] [CrossRef] [PubMed]
- Huang, H.W.; Chang, W.T. Methanol concentration as a preceding eliminative marker for the authentication of Scotch Whiskies in Taiwan. Forensic Sci. Int. 2022, 339, 111413. [Google Scholar] [CrossRef] [PubMed]
- Huang, H.W.; Chang, W.T. δ13C-ethanol as a potential exclusionary criterium for the authentication of Scotch whiskies in Taiwan: Normal vs. 3-parameter lognormal distributions of δ13C-ethanol found in single malt and blended Scotch whiskies. Beverages 2023, 9, 13. [Google Scholar] [CrossRef]
- Chang, T.C.; Huang, H.W.; Chang, W.T. Scotch whiskies and forensic examinations of manufacturing-derived features for their authentication. Forensic Sci. Rev. 2024, 36, 127–142. [Google Scholar]
- Arslan, M.M.; Zeren, C.; Aydin, Z.; Akcan, R.; Dokuyucu, R.; Keten, A.; Cekin, N. Analysis of methanol and its derivatives in illegally produced alcoholic beverages. J. Forensic Leg. Med. 2015, 33, 56–60. [Google Scholar] [CrossRef]
- Bauer-Christoph, C.; Christoph, N.; Aguilar-Cisneros, B.O.; López, M.G.; Richling, E.; Rossmann, A.; Schreier, P. Authentication of tequila by gas chromatography and stable isotope ratio analyses. Eur. Food Res. Technol. 2003, 217, 438–443. [Google Scholar] [CrossRef]
- Boyaci, I.H.; Genis, H.E.; Guven, B.; Tamer, U.; Alper, N. A novel method for quantification of ethanol and methanol in distilled alcoholic beverages using Raman spectroscopy. J. Raman Spectrosc. 2012, 43, 1171–1176. [Google Scholar] [CrossRef]
- Cook, G.T.; Dunbar, E.; Tripney, B.G.; Fabel, D. Using carbon isotopes to fight the rise in fraudulent whisky. Radiocarbon 2020, 62, 51–62. [Google Scholar] [CrossRef]
- Rhodes, C.N.; Heaton, K.; Goodall, I.; Brereton, P.A. Gas chromatography carbon isotope ratio mass spectrometry applied to the detection of neutral alcohol in Scotch whisky: An internal reference approach. Food Chem. 2009, 114, 697–701. [Google Scholar] [CrossRef]
- Meier-Augenstein, W.; Kemp, H.F.; Hardie, S.M.L. Detection of counterfeit Scotch whisky by 2H and 18O stable isotope analysis. Food Chem. 2012, 133, 1070–1074. [Google Scholar] [CrossRef]
- Aylott, R.I.; Clyne, A.H.; Fox, A.P.; Walker, D.A. Analytical strategies to confirm Scotch whisky authenticity. Analyst 1994, 119, 1741–1746. [Google Scholar] [CrossRef]
- Fleming, H.; Chen, M.; Bruce, G.D.; Dholakia, K. Through-bottle whisky sensing and classification using Raman spectroscopy in an axicon-based backscattering configuration. Anal. Methods 2020, 12, 4572–4578. [Google Scholar] [CrossRef]
- Møller, J.K.S.; Catharino, R.R.; Eberlin, M.N. Electrospray ionization mass spectrometry fingerprinting of whisky: Immediate proof of origin and authenticity. Analyst 2005, 130, 890–897. [Google Scholar] [CrossRef] [PubMed]
- Teodoro, J.A.R.; Pereira, H.V.; Sena, M.M.; Piccin, E.; Zacca, J.J.; Augusti, R. Paper spray mass spectrometry and chemometric tools for a fast and reliable identification of counterfeit blended Scottish whiskies. Food Chem. 2017, 237, 1058–1064. [Google Scholar] [CrossRef] [PubMed]
- Joshi, I.; Truong, V.K.; Elbourne, A.; Chapman, J.; Cozzolino, D. Influence of the scanning temperature on the classification of whisky samples analysed by UV-VIS spectroscopy. Appl. Sci. 2019, 9, 3254. [Google Scholar] [CrossRef]
- Kew, W.; Goodall, I.; Uhrín, D. Analysis of Scotch whisky by 1H NMR and chemometrics yields insight into its complex chemistry. Food Chem. 2019, 298, 125052. [Google Scholar] [CrossRef]
- Shand, C.A.; Wendler, R.; Dawson, L.; Yates, K.; Stephenson, H. Multivariate analysis of Scotch whisky by total reflection X-ray fluorescence and chemometric methods: A potential tool in the identification of counterfeits. Anal. Chim. Acta 2017, 976, 14–24. [Google Scholar] [CrossRef]
- ASTM E1610-18; Standard Guide for Forensic Paint Analysis and Comparison. ASTM: West Conshohocken, PA, USA, 2018. Available online: https://store.astm.org/e1610-18.html (accessed on 17 November 2025).
- Ramsay, C.M.; Berry, D.R. Effect of temperature and pH on the formation of higher alcohols, fatty acids and esters in the malt whisky fermentation. Food Microbiol. 1984, 1, 117–121. [Google Scholar] [CrossRef]
- Aylott, R.I.; MacKenzie, W.M. Analytical strategies to confirm the generic authenticity of Scotch whisky. J. Inst. Brew. 2010, 116, 215–229. [Google Scholar] [CrossRef]
- Gajek, M.; Pawlaczyk, A.; Maćkiewicz, E.; Albińska, J.; Wysocki, P.; Jóźwik, K.; Szynkowska-Jóźwik, M.I. Assessment of the authenticity of whisky samples based on the multi-elemental and multivariate analysis. Foods 2022, 11, 2810. [Google Scholar] [CrossRef]
- UK Government. The Scotch Whisky Regulations 2009, Statutory Instrument 2009 No. 2890. Available online: https://www.legislation.gov.uk/uksi/2009/2890/contents (accessed on 24 November 2025).
- Limpert, E.; Stahel, W.A.; Abbt, M. Log-normal distributions across the sciences: Keys and clues. BioScience 2001, 51, 341–352. [Google Scholar] [CrossRef]
- Gaddum, J.H. Lognormal distributions. Nature 1945, 156, 463–466. [Google Scholar] [CrossRef]
- Siano, D.B. The log-normal distribution function. J. Chem. Educ. 1972, 49, 755. [Google Scholar] [CrossRef]
- Grönholm, T.; Annila, A. Natural distribution. Math. Biosci. 2007, 210, 659–667. [Google Scholar] [CrossRef] [PubMed]
- Razali, N.M.; Wah, Y.B. Power comparisons of some selected normality tests. In Proceedings of the Regional Conference on Statistical Sciences, Universiti Teknologi MARA (UiTM), Shah Alam, Malaysia, 13–14 June 2010; pp. 126–138, ISBN 978-967-363-157-5. [Google Scholar]
- Engmann, S.; Cousineau, D. Comparing distributions: The two-sample Anderson–Darling test as an alternative to the Kolmogorov–Smirnov test. J. Appl. Quant. Methods 2011, 6, 1–17. [Google Scholar]
- Shapiro, S.S.; Wilk, M.B. An analysis of variance test for normality (complete samples). Biometrika 1965, 52, 591–611. [Google Scholar] [CrossRef]
- Stephens, M.A. EDF statistics for goodness of fit and some comparisons. J. Am. Stat. Assoc. 1974, 69, 730–737. [Google Scholar] [CrossRef]
- Anderson, T.W.; Darling, D.A. A test of goodness of fit. J. Am. Stat. Assoc. 1954, 49, 765–769. [Google Scholar] [CrossRef]
- Hranac, R.; Sterzin, E.; Krechmer, D.; Rakha, H.A.; Farzaneh, M. Empirical Studies on Traffic Flow in Inclement Weather; United States. Federal Highway Administration: Washington, DC, USA, 2006.
- Habibzadeh, F. Data distribution: Normal or abnormal. J. Korean Med. Sci. 2024, 39, e35. [Google Scholar] [CrossRef] [PubMed]
- Piggott, J.R. Whisky, whiskey and bourbon: Composition and analysis of whisky. In Encyclopedia of Food and Health; Caballero, B., Finglas, P.M., Toldrá, F., Eds.; Academic Press: Oxford, UK, 2016; pp. 514–518. [Google Scholar] [CrossRef]
- Liebmann, A.J.; Rosenblatt, M. pH in distilled alcoholic beverages. J. Assoc. Off. Agric. Chem. 1942, 25, 163–168. [Google Scholar] [CrossRef]
- Guymon, J.F.; Tolbert, N.E.; Amerine, M.A. Studies with brandy. I. pH. J. Food Sci. 1943, 8, 224–230. [Google Scholar] [CrossRef]
- Piggott, J.R. Whisky. In Current Developments in Biotechnology and Bioengineering: Food and Beverages Industry; Pandey, A., Sanromán, M.Á., Du, G., Soccol, C.R., Dussap, C.-G., Eds.; Elsevier: Amsterdam, The Netherlands, 2017; pp. 435–450. [Google Scholar] [CrossRef]
- Deleebeeck, L.; Snedden, A.; Nagy, D.; Szilágyi Nagyné, Z.; Roziková, M.; Vičarová, M.; Heering, A.; Bastkowski, F.; Leito, I.; Quendera, R.; et al. Unified pH Measurements of Ethanol, Methanol, and Acetonitrile, and Their Mixtures with Water. Sensors 2021, 21, 3935. [Google Scholar] [CrossRef]
- Riché, E.; Carrié, A.; Andin, N.; Mabic, S. High-purity water and pH. Am. Lab. 2006, 38, 22. [Google Scholar]
- Taiwan Taichung District Court. Criminal Judgment No. 113; Taiwan Taichung District Court: Taichung, Taiwan, 2024.
- Taiwan Changhua District Court. Criminal Judgment No. 108; Taiwan Changhua District Court: Changhua, Taiwan, 2019.
- Taiwan Tainan District Court (Taiwan). Criminal Judgment No. 5; Taiwan Tainan District Court: Tainan, Taiwan, 2015.




| Features | Instrument | Target Analyte | Ref. |
|---|---|---|---|
| Reasonable methanol conc. | GC-MS Raman | Dilution, Methylated spirit, Brand discrimination | [9,10,11] |
| Ethanol δ13C | GC-IRMS | Dilution, Neutral spirits, Brand discrimination | [13] |
| Water δ2H/δ18O | EA-IRMS | Dilution | [14] |
| Congener profiles | GC-FID | Dilution, Adulterant, Brand discrimination | [15] |
| Oak extractives | ESI (-)-MS Raman | Maturation time | [16,17,18] |
| Spectroscopic patterns | PLS-DA, PCA | Brand discrimination, Adulterant | [19,20] |
| Element concentrations | XRF | Brand discrimination | [21] |
| No. of Sample | Mean | SD | Med | Min | Max | |
|---|---|---|---|---|---|---|
| Single Malt Scotch Whisky | 32 | 3.88 | 0.17 | 3.89 | 3.53 | 4.36 |
| Blended Scotch Whisky | 33 | 4.04 | 0.15 | 4.02 | 3.77 | 4.50 |
| New Make Spirit | 3 | 5.93 | 0.50 | 5.81 | 5.5 | 6.48 |
| Aged Spirit | 4 | 3.67 | 0.46 | 3.62 | 3.2 | 4.24 |
| Sample | Brand | Aged (Years) | Product Name | ABV (% vol.) | Type | pH |
|---|---|---|---|---|---|---|
| S1 | Macallan | 12 | Macallan | 40 | Single malt | 3.96 |
| S2 | Singleton | 12 | Dufftown | 40 | Single malt | 4.11 |
| S3 | Macallan | 12 | Sherry Oak | 40 | Single malt | 4.25 |
| S4 | John Barr | Not observed | Reserve Blend | 40 | Blended | 4.11 |
| S5 | Johnnie Walker | 12 | Black Label | 43 | Blended | 4.25 |
| S6 | Johnnie Walker | 12 | Black Label | 43 | Blended | 4.67 |
| S7 | Johnnie Walker | 12 | Black Label | 43 | Blended | 4.51 |
| S8 | Johnnie Walker | Not observed | Blue Label | 43 | Blended | 3.95 |
| S9 | Johnnie Walker | 15 | Green Label | 43 | Blended | 4.51 |
| S10 | Johnnie Walker | 15 | Green Label | 43 | Blended | 3.88 |
| S11 | Supreme Master | 28 | Supreme Master Scotch Whisky | 40 | Not observed | 6.04 |
| S12 | Matisse | Not observed | Matisse Old | 40 | Blended | 4.61 |
| S13 | Matisse | Not observed | Matisse Old | 40 | Blended | 4.76 |
| S14 | Prince of Wales Scotch Whisky | Not observed | Prince of Wales Scotch Whisky | 40 | Not observed | 4.05 |
| S15 | The Famous Grouse | 12 | The Famous Grouse | 40 | Blended | 4.37 |
| H1 | H2 | H3 | H4 | H5 | H6 | H7 | H8 | H9 | H10 | H11 | H12 | H13 | H14 | H15 | |
|---|---|---|---|---|---|---|---|---|---|---|---|---|---|---|---|
| Neutral Spirits (ml) | 0 | 10 | 20 | 30 | 40 | 41 | 42 | 43 | 44 | 45 | 46 | 47 | 48 | 49 | 50 |
| Scotch Whisky (ml) | 50 | 40 | 30 | 20 | 10 | 9 | 8 | 7 | 6 | 5 | 4 | 3 | 2 | 1 | 0 |
| Scotch Whisky (%) | 100 | 80 | 60 | 40 | 20 | 18 | 16 | 14 | 12 | 10 | 8 | 6 | 4 | 2 | 0 |
| pH value | 3.96 | 3.96 | 3.99 | 3.92 | 4.33 | 4.41 | 4.48 | 4.54 | 4.63 | 4.74 | 4.88 | 5.14 | 5.81 | 5.82 | 5.82 |
| Distribution | Location | Scale | AD | p Value |
|---|---|---|---|---|
| Normal | 3.878 | 0.164 | 0.352 | 0.447 |
| Lognormal | 1.355 | 0.0419 | 0.320 | 0.517 |
| Lognormal-Three Parameter * | 0.166 | 0.136 | 0.315 | 0.527 |
| Largest Extreme Value | 3.800 | 0.149 | 0.536 | 0.190 |
| Smallest Extreme Value | 3.965 | 0.188 | 1.372 | <0.01 |
| Log-Logistic Three Parameter | −1.117 | 0.353 | 1.041 | <0.005 |
| Distribution | Location | Scale | AD | p Value |
|---|---|---|---|---|
| Normal | 4.043 | 0.150 | 0.492 | 0.204 |
| Lognormal | 0.606 | 0.016 | 0.409 | 0.327 |
| Lognormal-Three Parameter * | −0.605 | 0.259 | 0.185 | 0.899 |
| Largest Extreme Value | 3.975 | 0.123 | 0.211 | >0.25 |
| Smallest Extreme Value | 4.124 | 0.180 | 1.800 | <0.01 |
| Log-Logistic Three Parameter | −1.396 | 0.382 | 0.650 | 0.053 |
| 68.3% | 95.5% | 99.7% | ||||
|---|---|---|---|---|---|---|
| Lower Bound | Upper Bound | Lower Bound | Upper Bound | Lower Bound | Upper Bound | |
| Single Malt Scotch Whisky | 3.72 | 4.04 | 3.59 | 4.24 | 3.47 | 4.46 |
| Blended Scotch Whisky | 3.90 | 4.19 | 3.80 | 4.39 | 3.73 | 4.67 |
Disclaimer/Publisher’s Note: The statements, opinions and data contained in all publications are solely those of the individual author(s) and contributor(s) and not of MDPI and/or the editor(s). MDPI and/or the editor(s) disclaim responsibility for any injury to people or property resulting from any ideas, methods, instructions or products referred to in the content. |
© 2025 by the authors. Licensee MDPI, Basel, Switzerland. This article is an open access article distributed under the terms and conditions of the Creative Commons Attribution (CC BY) license (https://creativecommons.org/licenses/by/4.0/).
Share and Cite
Chang, T.-C.; Wu, M.-Y.; Huang, H.-W.; Chang, W.-T. Using pH Value as a Discriminating Feature for Scotch Whisky Authentication in Taiwan. Chemosensors 2025, 13, 412. https://doi.org/10.3390/chemosensors13120412
Chang T-C, Wu M-Y, Huang H-W, Chang W-T. Using pH Value as a Discriminating Feature for Scotch Whisky Authentication in Taiwan. Chemosensors. 2025; 13(12):412. https://doi.org/10.3390/chemosensors13120412
Chicago/Turabian StyleChang, Ting-Chia, Min-You Wu, Hsiao-Wen Huang, and Wei-Tun Chang. 2025. "Using pH Value as a Discriminating Feature for Scotch Whisky Authentication in Taiwan" Chemosensors 13, no. 12: 412. https://doi.org/10.3390/chemosensors13120412
APA StyleChang, T.-C., Wu, M.-Y., Huang, H.-W., & Chang, W.-T. (2025). Using pH Value as a Discriminating Feature for Scotch Whisky Authentication in Taiwan. Chemosensors, 13(12), 412. https://doi.org/10.3390/chemosensors13120412

