You are currently viewing a new version of our website. To view the old version click .
Chemosensors
  • Article
  • Open Access

1 April 2022

Microbiological Risk Assessment of Ready-to-Eat Leafy Green Salads via a Novel Electrochemical Sensor

,
,
,
,
,
,
,
,
and
1
Department of Science and Technology for Humans and the Environment, Unit of Electronics for Sensor Systems, Campus Bio-Medico University of Rome, Via Alvaro del Portillo 21, 00128 Rome, Italy
2
Interuniversity Consortium INBB National Institute of Biostructures and Biosystems, Viale delle Medaglie, d’Oro, 305, 00136 Rome, Italy
3
Department of Science, Roma Tre University, Viale Guglielmo Marconi 446, 00146 Rome, Italy
4
Department of Engineering, Unit of Computer Systems and Bioinformatics, Campus Bio-Medico University of Rome, Via Alvaro del Portillo 21, 00128 Rome, Italy
This article belongs to the Special Issue Feature Papers – Chemical Sensors for Industrial Applications, Environmental, and Food Monitoring

Abstract

Nowadays, the growing interest in a healthy lifestyle, to compensate for modern stressful habits, has led to an increased demand for wholesome products with quick preparation times. Fresh and ready-to-eat leafy green vegetables are generally perceived as salutary and safe, although they have been recognized as a source of food poisoning outbreaks worldwide. The reason is that these products retain much of their indigenous microflora after minimal industrial processing, and are expected to be consumed without any additional treatment by consumers. Microbiological safety requires a systematic approach that encompasses all aspects of production, processing and distribution. Nevertheless, the most common laboratory techniques used for the detection of pathogens are expensive, time consuming, need laboratory professionals and are not able to provide prompt results, required to undertake effective corrective actions. In this context, the solution proposed in this work is a novel electrochemical sensing system, able to provide real-time information on microbiological risk, which is also potentially embeddable in an industrial production line. The results showed the sensor ability to detect leafy green salad bacterial contaminations with adequate sensibility, even at a low concentration.

1. Introduction

The modern lifestyle is directing consumers’ choice towards products with a high nutritional value and quick preparation times. This change in eating habits, oriented towards a healthier lifestyle, has led to an exponential growth in the ready-to-eat (RTE) food market in Europe. Particularly, in Italy, the demand and consumption of RTE vegetable products has risen so much that they account for 2% of the whole fruit and vegetable market, placing Italy among the leaders of the fresh vegetable market, together with Great Britain [1]. RTE vegetables require only a few processing steps (sorting, cutting, washing, drying and packaging), which are aimed at preserving the organoleptic and nutritional characteristics as much as possible.
Although raw vegetable products are the foundation of a healthy diet, they can be a vehicle for foodborne pathogens that may cause serious health consequences for consumers [2]. The main microorganisms responsible for the outbreaks related to the consumption of ready-to-eat leafy green salads (RTESs) are Salmonella spp. [3], Listeria monocytogenes [4,5], Escherichia Coli O157:H7 [6,7], Campylobacter, as well as some enteric viruses [8].
These microorganisms can contaminate RTESs during the various stages of the food chain process and, in recent years, the frequency of gastroenteritis, associated with the consumption of these products, has increased considerably [9,10,11,12]. This is because RTEs present several characteristics that promote microbial growth: high moisture content, neutral pH (6.0–7.0), non-stringent decontamination procedures and the difficulty in maintaining a refrigeration temperature during processing, transport and storage, which can promote microbial growth [13].
The European Union, in order to ensure consumers’ health, has established with EC Regulation No 1441/2007 that, the absence of Salmonella spp. and concentrations of L. monocytogenes lower than 100 colony forming units (CFU)/g are essential to guarantee the safety of RTEs.
The current laboratory techniques used for the detection of pathogenic microorganisms are expensive and time consuming: reference methods require at least 5–7 days to obtain reliable results [1], while alternative methods, such as as ELISA and real-time PCR assays, require extensive sample preparation and high-cost instrumentation. All techniques must be performed by experienced laboratory professionals and none of them are able to provide immediate results. Hence, there is a need for cost-saving methodologies that allow real-time detection of microorganisms and, above all, can be implemented in an industrial food process.
For these reasons, electrochemical-sensor-based approaches are receiving increasing attention for their use in food analysis, as alternative/supportive methods to detect microorganisms. These systems can be implemented along the production line, performing detection of microorganisms of interest before the end of the food production cycle, by providing real-time information.
The electronic tongue, as well as the electronic nose, can be used to develop low-cost analytical methodologies with rapid responses and that can be used without a skilled operator. However, despite the remarkable achievements in this area, the industrial scale application of these systems in food safety management is still in its early stages. Electronic tongues have been successfully used in liquid media to monitor the growth of molds, such as Aspergillus, Penicillium, Mucor and Rhizopus, and differentiate them [14,15,16]. They have also been used to estimate the total bacterial count in water [17] or the number of mesophilic bacteria and Enterobacteriaceae responsible for the spoilage of fresh cod during storage [18].
To further contribute to this direction, this study investigated the use a novel electrochemical sensing system for the detection of microorganisms in RTEs, by designing a suitable protocol for microorganism estimation in RTE samples. The workflow, here presented, represents a proof of concept to be implemented on an industrial production line, in order to reduce the costs and time of laboratory analysis, still providing accurate results concerning food safety.
The proposed application is, of course, a novel contribution in the field of RTE monitoring and it also represents an advancement in sensor technology. Indeed, the sensor system used for this experiment [19] has been optimized here, with different characteristics, in order to achieve the specific objective. In particular, the sensor’s resolution has been enhanced by increasing the output reading rate.

2. Materials and Methods

The aim of this work was to establish the potential of a novel sensing system to evaluate microbiological quality and safety of RTEs during production stages. In this section, the sensor is described, together with the methods used for testing it in both calibration and real sample analysis.

2.1. Electrochemical Sensor

The sensor used in this work, named BIONOTE for Liquids (BIONOTE-L, [19]) exploits the AC cyclic voltammetry as working principle applied to liquid analysis. It is based on an electronic interface, which provides an input signal (a triangular voltage waveform from +1 V to −1 V) and records the output data, and a Screen-Printed Electrode (SPE; DRP-250BT, Metrohm, Herisau, Switzerland) probe (Working: Gold; Counter: Platinum; Reference: Silver; Ceramic substrate: L33 × W10 × H0.5 mm Electric contacts: Silver; Gold Working electrode area: 4 mm diameter) as a disposable sensing terminal (indeed, the authors did not use the same electrode for more than 10 cycles).
When the SPE is immersed in the target solution, the applied input voltage induces oxi-reduction phenomena in the liquid sample. The current generated by the electrons involved in such reactions is captured by the system and converted into voltage by a trans-impedance circuit. The applied input signal frequency is of 0.01 Hz while the output one is recorded with a rate of 200 ms, thus obtaining 500 samples per measurement.

2.2. Sensor Calibration Protocol

The calibration of the electrochemical sensor against RTEs contamination was performed using eight microorganisms: Escherichia coli (ATCC 25922), Salmonella typhimurium (ATCC 14028), Salmonella enteritidis (ATCC 13076), Listeria innocua (ATCC 33090), Listeria monocytogenes (ATCC 7644), Staphylococcus aureus (ATCC 12600), Pseudomonas aeruginosa (ATCC 27853), Enterococcus faecalis (ATCC 29212). Each strain was left to proliferate in the appropriate culture media and then was serially diluted in sterile saline solution (NaCl 0.9 % w/v) to obtain 10−1, 10−3, 10−5 and 10−7 dilutions. Four milliliters of the bacteria’s solution at room temperature was poured into disposable plastic vials and then the SPE was soaked in this. The measurement lasted for three minutes. No measurements without soaking the SPE into the solution were performed.
Ten independent measures were run for each sample analysis to ensure system repeatability. The whole calibration experimental setup was repeated in triplicate to evaluate its reproducibility. As a reference, microbial concentration expressed as colony-forming unit (CFU) was determined for all the selected dilutions following the methods reported in Section 2.3.

2.3. Evaluation of Bacterial Concentration using the Pour Plate Method

The concentration of selected ATCC bacterial strains was evaluated according to UNI EN ISO 4833-1:2013. Samples were prepared as previously described. One mL of the selected dilutions was transferred into Petri dishes in triplicate, then 15 to 17 mL of Plate Count Agar (PCA) medium (Applichem, Darmsdadt, Germany) at 45 °C was poured into each Petri dish. Plates were inverted and incubated at 30 °C for 72 h. Colonies in plates with 25 to 250 colonies were counted and viable counts in the test sample per gram were calculated as follows:
N = ∑C/[n1 + 0.1n2)] × d
where:
N = number of colonies per ml or gram of sample.
∑C = sum of all the colonies in all plates counted.
n1 = number of plates in the lower dilution counted.
n2 = number of plates in the next higher dilution counted.
d = dilution factor corresponding to the first dilution retained.

2.4. Ready to Eat and Fresh Salad Analysis

To challenge sensor’s performance with real food matrixes, RTE baby romaine lettuce at the first day of packaging and its fresh counterpart were purchased from local supermarket.
Sample preparation. Samples were prepared homogenizing 30 g in 270 mL of Buffered Peptone Water (BPW, Applichem, Darmsdadt, Germany) using a Stomacher 400 (Seward, London, UK) for 120 s at medium speed. For the preparation of artificially contaminated samples the selected ATCC strains were cultured overnight in BHI broth (Thermo Fisher Scientific, Waltham, MA, United States) and serially diluted. After homogenization, 10 mL of the homogenates were inoculated with 1 mL of the selected dilutions in order to obtain a final contamination of approximately 108, 106,104, 102 CFU/mL.
Analysis with electrochemical sensor. Four milliliters of the prepared samples was poured into disposable plastic vials and then the SPE was soaked in this. Ten independent measures were run for each sample analysis to ensure system repeatability. The whole experimental setup was repeated in triplicate to evaluate its reproducibility.
Figure 1 shows a sample in the various phases of its preparation and measurement.
Figure 1. Step-by-step procedure for the preparation and measurement of artificially contaminated romaine lettuce samples.

2.5. Data Analysis

Given the large amount of raw data obtained from the sensing system, statistical analysis techniques aimed to reduce dataset dimensionality have been applied. Hence, the overall sensor’s responses have been elaborated through multivariate data analysis techniques. Partial Least Square Discriminant Analysis (PLS-DA) and Principal Component Analysis (PCA) were performed using PLS-Toolbox (Eigenvector Research Inc., Manson, WA, USA) in the Matlab Environment (The MathWorks, Natick, MA, USA). PLS-DA models have been calculated for all the bacterial strains tested during the calibration stage of the study. PCA models have been calculated to investigate on BIONOTE-L feasibility in the evaluation of microbiological quality and safety of RTEs during the production processes.

3. Results

The present research study aimed to investigate the application of the innovative BIONOTE-L sensor in the management of quality and safety of RTEs, by monitoring the contamination level during the industrial production processes. The results obtained at the sensor calibration stage, as well as those from real samples analysis, are reported below.

3.1. BIONOTE-L Calibration against Pure Bacteria’s Strain

The preliminary phase of this work was oriented to evaluate the ability of the novel electrochemical sensing system to detect eight known microbial food contaminants, dissolved in standard saline solution.
Samples of each bacterial strain were prepared by serially diluting the overnight cultures in saline solution, to reach four final concentrations (108, 106, 104 and 102); the bacterial concentrations, taken as reference for the calibration phase, were determined via standard CFU counting method (UNI EN ISO 4833-1:2013). The prepared admixtures were analyzed in parallel with the BIONOTE-L system, performing ten measuring cycles each.
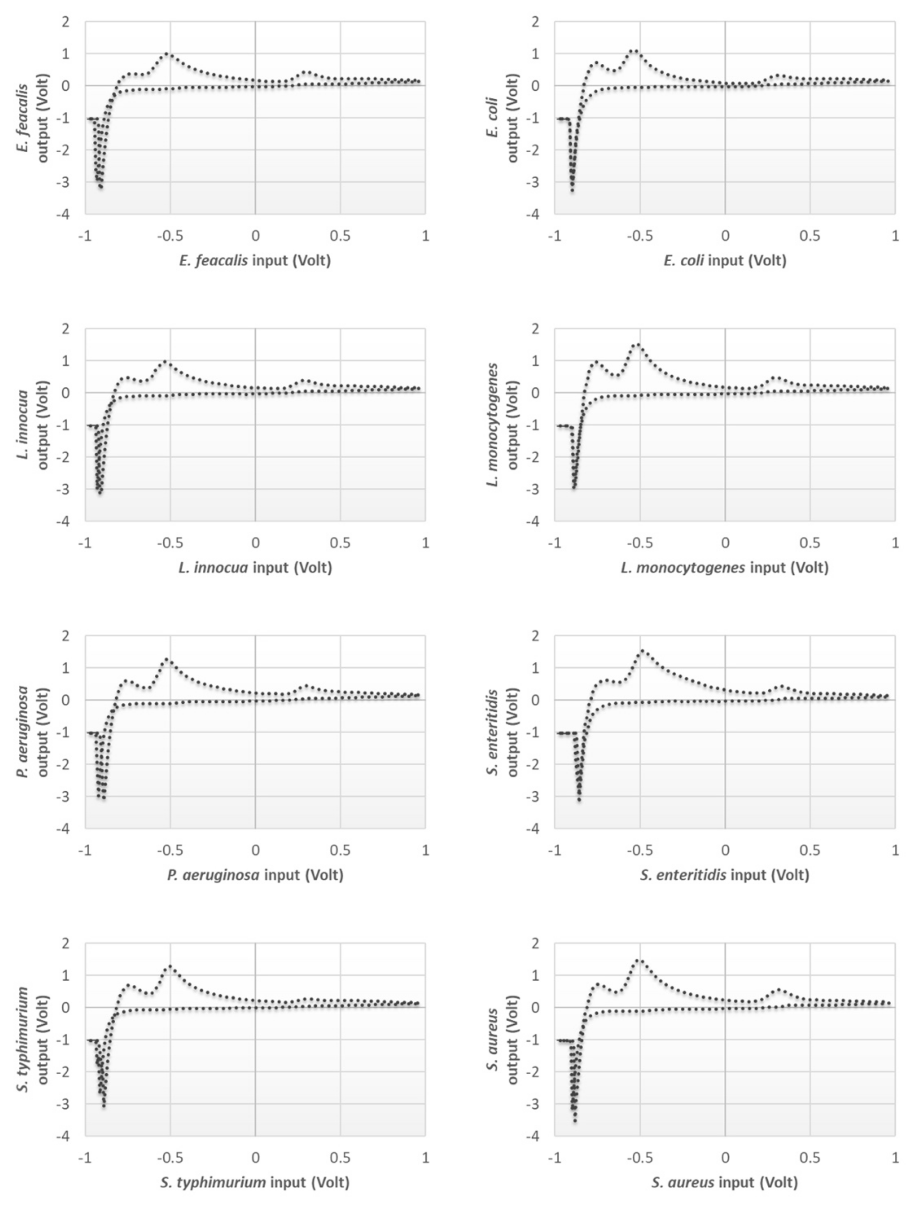
The voltammograms registered for each different microorganism are reported in Figure 2 and Figure 3. Figure 2 shows all the voltammograms in the same picture, in order to show, in evidence, the differences among them. Figure 2 reports eight voltammograms, one for each microorganism, at a fixed concentration (3 Log CFU/mL).
Figure 2. Voltammograms registered for the eight microorganisms at the concentration of 3 Log CFU/mL.
Figure 3. voltammograms registered for each of the eight microorganisms at the concentration level of 103 CFU.
Then, the last five measures were sub-sampled from the overall acquired data to guarantee SPE signal stabilization. The results obtained are very promising, as shown in Figure 4.
Figure 4. Analyzed vs. predicted concentration values of bacteria admixtures.
The calculated PLS-DA models highlighted the ability of the system to detect almost all the bacterial strains, with a reasonable degree of efficiency.
The Root Mean Square Error obtained in Cross Validation (RMSECV), using the Leave One Out criterion, was slightly different among the eight microbial calibration curves, ranging from 1.1 to 2.9 Log CFU/mL (Table 1).
Table 1. Calculated errors from the PLS-DA calibration models. * Applying this percentage to minimum value of CFU measured, it is possible to estimate something which is similar to a LOD parameter. The minimum concentration tested is of 100 CFU, so that it is easy to identify the LOD in a range from 13 to 32 CFU.
Particularly, except for S. typhimurium, the percentage error calculated by normalizing the RMSECV against the investigated concentration range was always below 20%.
Furthermore, an additional data set was created, merging the output collected from the analysis of all bacterial mixtures at the highest concentration (10−1 microbial dilution). The new array of data was elaborated through the PCA technique, and results are reported in Figure 5.
Figure 5. Scores Plot of the first two Principal Components for bacteria strain at 10−1 dilution in saline solution. Gram-positive and gram-negative species can be identified by cyan and violet, respectively.
The scores plot of the first two Principal Components (PCs) in Figure 5, accounting for about 92% of the explained variance, highlighted the formation of two distinct clusters along the PC2. Interestingly, although the BIONOTE-L was not able to discriminate effectively between the single strains, all bacteria were clearly grouped based on their belonging to the gram-positive or gram-negative class, in the upper and lower area of the figure, respectively.

3.2. BIONOTE-L Analysis of Ready-to-Eat Green Salads

Since the experimental calibration stage of the study highlighted the ability of the electrochemical sensor to detect microbial contamination, even at low concentrations, it was possible to move the measurement target from a controlled standard solution to a more heterogeneous real sample. RTE baby romaine lettuce and its fresh counterpart were selected among the products commercially available in Italian supermarkets. Due to the trial extension over time and the strict requirement to work on fresh products, salad samples were purchased on different days, being careful to always select only those matching the packaging date. Samples were prepared contaminating RTEs and fresh salads homogenates with each bacterial strain, in order to obtain four final concentrations (108, 106, 104 and 102), as detailed in the Methods Section. Samples were then analyzed with the BIONOTE-L sensor. The overall collected data was treated, in order to retain only the most significant parts, and then was analyzed. When the sensor was soaked in the solution, the different voltage inputs were applied, thus, causing different values of current. These values are the raw data (CV) of the measurements and they correspond to the fingerprint of the sample as the specific profile of the solution. A series of measurements cycles can be applied to the samples. but only the first 10 cycles have been considered here for the data analysis. For this reason, to get a simplified representation of the recorded multidimensional data set, multivariate data analysis techniques were applied. The results obtained by PCA analysis are shown in Figure 6.
Figure 6. Scores Plot of the first two Principal Components for contaminated and uncontaminated samples. (a) Overall distinction between control and contaminated salads at the highest concentration tested; (b) distinction between control and contaminated salads at 10−3 microbial dilution; (c) distinction between control and contaminated salads at 10−5 microbial dilution; (d) distinction between control and contaminated salads at 10−7 microbial dilution.
Furthermore, in this circumstance, the sensing system demonstrated its ability to detect microbial contamination within food samples. The scores plot of the first two PCs in Figure 6a, accounting for about 86% of the explained variance, highlighted the formation of two distinct clusters along the PC1: on the left are grouped all the contaminated samples at the highest concentration tested (10−1 microbial dilution), while on the right is a more heterogenous control group, represented by both RTE and fresh uncontaminated salads. In the panels b, c and d of Figure 6 the evolution of the PCA model is shown, as the bacteria concentration changes; in this case, the mean of the experimental triplicate has been reported for the sake of clarity. Particularly, it can be seen as the BIONOTE-L sensor was able to discriminate between all the contaminated and uncontaminated samples up to 10−5 microbial dilution, while at the lowest concentration, only the fresh contaminated salads are distinguished.

4. Discussion

The microbiological quality and safety of ready-to-eat leafy green salads remains one of the most important open issues for the parts of the food industry involved in this type of market [11,20]. In the last years, this topic has received even more attention, considering that the demand for healthy and time-saving dietary solutions has experienced a noticeable increase in industrialized countries [1]. The reason is RTE products are intended to be consumed without further treatments, thus, raising the associated microbiological risk, especially for leafy green vegetables. Indeed, the minimal technological processing, aimed to preserve the organoleptic properties of these products as much as possible, is sometimes not sufficient to reduce microbiological contamination to acceptable levels [13]. In this study, we tested the BIONOTE-L sensor as a potential tool for monitoring the contamination level during the industrial production processes of RTESs. This method relies on the use of cyclic voltammetry to directly sense bacterial cells, their metabolites, and byproducts, with the purpose to build an electrochemical fingerprint that is further processed via a multivariate data analysis technique [21,22]. The results obtained in the first stage of sensor calibration were very promising. The sensing system was able to detect all the tested bacterial strains, with an average error of about 1.58 Log CFU/mL. Moreover, comparing the signal obtained from the contaminated mixtures at the highest microbial concentration, the analytical model was able to distinguish between gram-positive and gram-negative bacteria. Apart from the tests carried out under controlled conditions, the BIONOTE-L sensor was also challenged with real samples to simulate its employment during the industrial production processes. RTE baby romaine lettuce and its fresh counterpart were artificially contaminated with bacteria before being subjected to measurement protocol. In accordance with the calculated calibration error, microbiological risk was clearly detectable up to a concentration of approximately 104 CFU/mL. Interestingly, at the lowest microbial concentration, the artificially contaminated fresh leafy green salad was still distinguished from the uncontaminated samples, confirming the presence of a significant microflora, usually associated with unprocessed vegetables.
As such, the study’s outcome may not seem very relevant, given the relatively high detection threshold compared to standard methods. However, it assumes a completely different meaning when considering the field of application. Indeed, the average shelf-life of RTEs ranges from 5 to 7 days, and this extremely reduced lifespan makes the timing of almost all the certified methods inadequate, in respect of the need to enter the market as soon as possible; in the worst cases, a company is forced to withdraw the products from the shelves for safety reason, thus, increasing the costs of the supply chain. The reduced time of analysis of the novel electrochemical sensing system, here presented, may fill this gap, also allowing broader screening at production level.

5. Conclusions

Ready-to-eat leafy green vegetable consumption is associated with an inevitable high microbiological risk. Standard analytical methods dealing with microbial contamination rely on bacterial growth, a factor that makes them not fully compatible with the timing imposed by the distribution, market or retail.
The BIONOTE-L sensor measure lasts only a few minutes, has a reduced per-analysis cost, and does not require specialized personnel nor equipped laboratories. Hence, it is proposed as a rapid tool for preliminary high-throughput microbiological screening, aimed to detect critically contaminated samples that eventually require further analytical verification.
This workflow has been designed to enhance the management of quality and safety in the aforementioned RTE industry, by restricting the employment of colony counting methods, to only specific cases, while maintaining an elevated number of samples analyzed.
Further studies will take into consideration other microorganisms and different testing conditions to determine the reliability of the instrument. Moreover, system performances will be also investigated by testing other voltage input waveforms, considering that the versatility of the electronic control makes it suitable for different input settings, in terms of wave, frequency and amplitude.

Author Contributions

Conceptualization, S.G., M.S. and G.A.; methodology, S.G., A.A. and V.G.; validation, G.P.; formal analysis, G.P.; investigation, S.G. and A.A.; data curation, S.G. and A.A.; writing—original draft preparation, S.G. and M.V.D.L.; writing—review and editing, M.V.D.L., A.S. and A.Z.; supervision, G.P., M.S. and L.D.G.; project administration, G.A. All authors have read and agreed to the published version of the manuscript.

Funding

This research was funded by LazioInnova SpA, IMPLEMENTA4GAMMA Project, grant number CUP: F85F21001680009, and by the Italian National Funding for Centers of Excellence (Science Department, Roma Tre University—MIUR, Articolo 1, Commi 314–337 Legge 232/2016).

Data Availability Statement

The data presented in this study are available on request from the corresponding author.

Conflicts of Interest

The authors declare no conflict of interest.

References

  1. Losio, M.N.; Pavoni, E.; Bilei, S.; Bertasi, B.; Bove, D.; Capuano, F.; Farneti, S.; Blasi, G.; Comin, D.; Cardamone, C.; et al. Microbiological survey of raw and ready-to-eat leafy green vegetables marketed in Italy. Int. J. Food Microbiol. 2015, 210, 88–91. [Google Scholar]
  2. Andrascha, M.; Stachowiaka, J.; Schlüterb, O.; Schnabela, U.; Ehlbeck, J. Scale-up to pilot plant dimensions of plasma processed water generation for fresh-cut lettuce treatment. Food Packag. Shelf Life 2017, 14, 40–45. [Google Scholar] [CrossRef]
  3. Vestrheim, D.F.; Lange, H.; Nygård, K.; Borgen, K.; Wester, A.L.; Kvarme, M.L.; Vold, L. Are ready-to-eat salads ready to eat? An outbreak of Salmonella Coeln linked to imported, mixed, pre-washed and bagged salad, Norway, November 2013. Epidemiol. Infect. 2016, 144, 1756–1760. [Google Scholar] [CrossRef] [PubMed] [Green Version]
  4. Centers for Disease Control and Prevention (CDC). Multistate Outbreak of Listeriosis Linked to Packaged Salads Produced at Springfield, Ohio Dole Processing Facility (Final Update). 2016. Available online: https://www.cdc.gov/listeria/outbreaks/bagged-salads-01-16/index.html (accessed on 2 February 2022).
  5. Stephan, R.; Althaus, D.; Kiefer, S.; Lehner, A.; Hatz, C.; Schmutz, C.; Jost, M.; Gerber, N.; Baumgartner, A.; Hachler, H.; et al. Foodborne transmission of Listeria monocytogenes via ready-to-eat salad: A nationwide outbreak in Switzerland, 2013–2014. Food Control. 2015, 57, 14–17. [Google Scholar] [CrossRef]
  6. Olaimat, A.N.; Holley, R.A. Factors influencing the microbial safety of fresh produce: A review. Food Microb. 2012, 32, 1–19. [Google Scholar] [CrossRef] [PubMed]
  7. Centers for Disease Control and Prevention (CDC). Multistate Outbreak of Shiga Toxin-Producing Escherichia coli O157: H7 Infections Linked to Ready-to-Eat Salads (Final Update). 2013. Available online: http://www.cdc.gov/ecoli/2013/O157H7-11-13/index.html?s_cid=cs_002 (accessed on 2 February 2022).
  8. Park, S.; Szonyi, B.; Gautam, R.; Nightingale, K.; Anciso, J.; Ivanek, R. Risk factors for microbial contamination in fruits and vegetables at the preharvest level: A systematic review. J. Food Prot. 2012, 75, 2055–2081. [Google Scholar] [CrossRef] [PubMed]
  9. Callejon, R.M.; Rodríguez-Naranjo, M.I.; Úbeda, C.; Hornedo-Ortega, R.; García-Parrilla, M.C.; Troncoso, A.M. Reported foodborne outbreaks due to fresh produce in the United States and european union: Trends and causes. Foodborne Pathog. Dis. 2015, 12, 32–38. [Google Scholar] [CrossRef] [PubMed]
  10. Castro-rosas, J.; Cerna-Cortés, J.F.; Méndez-Reyes, E.; Lopez-Hernandez, D.; Gómez-Aldapa, C.A.; Estrada-Garcia, T. Presence of faecal coliforms, Escherichia coli and diarrheagenic E. coli pathotypes in ready-to-eat salads, from an area where crops are irrigated with untreated sewage water. Int. J. Food Microbiol. 2012, 156, 176–180. [Google Scholar] [CrossRef] [PubMed]
  11. Taban, M.B.; Halkman, K. Do leafy green vegetables and their ready-to-eat [RTE] salads carry a risk of foodborne pathogens? Anaerobe 2011, 17, 286–287. [Google Scholar] [CrossRef] [PubMed]
  12. Long, S.M.; Adak, G.K.; O’Brien, S.J.; Gillespie, I.A. General outbreaks of infectious intestinal disease linked with salad vegetables and fruit, England and Wales, 1992–2000. Comm. Dis. Public Health 2002, 5, 101–105. [Google Scholar]
  13. Arienzo, A.; Murgia, L.; Fraudentali, I.; Gallo, V.; Angelini, R.; Antonini, G. Microbiological quality of ready-to-eat leafy green salads during shelf-life and home-refrigeration. Foods 2020, 9, 1421. [Google Scholar] [CrossRef] [PubMed]
  14. Söderström, C.; Borén, H.; Winquist, F.; Krantz-Rülcker, C. Use of an electronic tongue to analyze mold growth in liquid media. Int. J. Food Microbiol. 2003, 83, 253–261. [Google Scholar] [CrossRef]
  15. Zhao, G.; Lin, X.; Dou, W.; Tian, S.; Deng, S.; Shi, J. Use of the smart tongue to monitor mold growth and discriminate between four mold species grown in liquid media. Anal. Chim. Acta 2011, 690, 240–247. [Google Scholar] [CrossRef] [PubMed]
  16. Wei, Z.; Wang, J.; Zhang, X. Monitoring of quality and storage time of unsealed pasteurized milk by voltammetric electronic tongue. Electrochim. Acta 2013, 88, 231–239. [Google Scholar] [CrossRef]
  17. Gomez, J.K.C.; Acevedo, C.M.D.; Garcia, R.O. Application of an E-Tongue and E-nose for a rapid E. coli detection in a drinking water treatment plant. In Proceedings of the ISOEN 2019—18th International Symposium on Olfaction and Electronic Nose, Fukuoka, Japan, 26–29 May 2019. [Google Scholar]
  18. Ruiz-Rico, M.; Fuentes, A.; Masot, R.; Alcañiz, M.; Fernández-Segovia, I.; Barat, J.M. Use of the voltammetric tongue in fresh cod (Gadus morhua) quality assessment. Innov. Food Sci. Emerg. Technol. 2013, 18, 256–263. [Google Scholar] [CrossRef]
  19. Santonico, M.; Pennazza, G.; Grasso, S.; D’Amico, A.; Bizzarri, M. Design and test of a Biosensor-based multisensorial system: A proof of concept study. Sensors 2013, 13, 16625–16640. [Google Scholar] [CrossRef] [PubMed]
  20. Saini, R.K.; Ko, E.Y.; Keum, Y. Minimally processed ready-to-eat baby-leaf vegetables: Production, processing, storage, microbial safety, and nutritional potential. Food Rev. Int. 2017, 33, 644–663. [Google Scholar] [CrossRef]
  21. Santonico, M.; Parente, F.R.; Grasso, S.; Zompanti, A.; Ferri, G.; D’Amico, A.; Pennazza, G. Investigating a single sensor ability in the characterisation of drinkable water: A pilot study. Water Environ. J. 2016, 30, 253–260. [Google Scholar] [CrossRef]
  22. Santonico, M.; Frezzotti, E.; Incalzi, R.A.; Pedone, C.; Lelli, D.; Zompanti, A.; Grasso, S.; Pennazza, G. Non-invasive monitoring of lower-limb ulcers via exudate fingerprinting using BIONOTE. Sens. Actuators B Chem. 2016, 232, 68–74. [Google Scholar] [CrossRef]
Publisher’s Note: MDPI stays neutral with regard to jurisdictional claims in published maps and institutional affiliations.

Article Metrics

Citations

Article Access Statistics

Multiple requests from the same IP address are counted as one view.