Abstract
We present a new electrochemical sensor for Flunitrazepam using disposable and economic Screen Printed Graphene Electrodes. It was found that the electrochemical response of this sensor was improved compared to Screen Printed Graphite Electrodes and displayed an excellent analytical performance for the detection of Flunitrazepam. Those characteristics could be attributed to the high Flunitrazepam loading capacity on the electrode surface and the outstanding electric conductivity of graphene. The methodology is shown to be useful for quantifying low levels of Flunitrazepam in a buffer solution. The protocol is also shown to be applicable for the sensing of Flunitrazepam in an alcoholic beverage e.g., Gordon’s Gin & Tonic.
1. Introduction
Benzodiazepines such as Flunitrazepam have been receiving more attention in relation to their illicit use in assaults and robberies; [1,2,3]. Figure 1 depicts the chemical structure of Flunitrazepam.
Figure 1.
Chemical structure of Flunitrazepam.
Figure 1.
Chemical structure of Flunitrazepam.

Flunitrazepam is an anxiolytic and hypnotic drug know better under the name “Rohypnol” which is normally administered as a short term treatment for sleeping disorders such as insomnia [4]. Flunitrazepam is used illegally as a “date rape drug” by spiking alcoholic drinks above the recommended pharmacological dose of 0.5–1.0 mg in adults [5] to produce a prolonged and extreme intoxication. The sedative effect of the drug is increased by alcohol consumption which creates psychomotor impairment and causes the victim to suffer from a “blackout”, a type of a short term amnesia that prevents the victim from recalling much, if any, of the attack. The symptoms generally begin half an hour following ingestion and peak approximately two hours. The low dosage and high biotransformation makes its analysis very problematic drugs since it is so rapidly cleared out from the body [5].
Flunitrazepam can be analysed via traditional analytical methodologies such as Immunoassay, Liquid Chromatography-Mass Spectroscopy (LC-MS) [6,7,8,9,10] or Gas Chromatography-Mass Spectroscopy (GC-MS) [11,12,13] which have successfully been applied for their quantification in biological matrixes. Of note is the analysis of oral fluid (saliva) by Wang et al. [12] who found that typical benzodiazepine immunoassays have a broad cross reactivity towards widely prescribed benzodiazepines and found that due to the low dosage of the drug these systems lead to an unacceptable number of false negatives. More recently, Moore et al. [7] described a methodology where benzodiazepines in oral fluid samples were analyzed using the Quantisal collection device and quantified via Solid Phase Extraction and LC-MS. The detection of benzodiazepines in oral fluid (saliva) are especially challenging due to the low concentrations, legal prescription status, high lipophilicity and analyte instability in non-preserved oral fluid [14,15,16].
Electrochemistry is an advantageous analytical tool which is cost effective, portable and exhibits sensitivity and selectivity towards many target analytes. In the last twenty years the electrochemical detection of Flunitrazepam has attracted significant attention. Bermejo et al. [17] studied the behavior of Flunitrazepam at the hanging mercury drop electrode (HDME) using staircase voltammetry and adsorptive stripping differential pulse voltammetry and was applied to its determination in urine. Nunez et al. [18] reported the electrochemical characterisation via cyclic voltammetry of 1,4 benzodiazepines, ioprazolam and Flunitrazepam in protic, aprotic and mixed media only using a HDME electrode. There has only been one other electrochemical assay reported for the determination.
McGuire et al. [19] reported the detection of nitrazepam utilising screen printed graphite electrodes (SPGEs) in beverages by adsorptive stripping voltammetry. The drawbacks to these methods are that the times for the analysis are longer than 6 min per sample and a liquid/liquid extraction prior to analysis is also needed. Lledo-Fernandez et al. [20,21] investigated the behavior and detection of Flunitrazepam in buffer and beverages using SPGE. Those methods were not as sensitive as the method described in this manuscript. SPGrE exhibited better electrochemical performance with good stability, high selectivity and reproducibility.
In the last ten years [22] graphene has attracted a great attention due to its large surface area, high thermal and electrical conductivities, impressive mechanical properties, and low cost [22]. Graphene has been greatly employed in many fields [23,24,25,26,27] due to the superior performances and its potential applications, including nanoelectronics, sensors, nanocomposites, catalysis, capacitors etc.
The electrochemical behaviors of Flunitrazepam using SPGrE were investigated and discussed in this manuscript. A new electroanalytical method for detecting Flunitrazepam was proposed with a wide linear range from 10 to 200 g/mL (Peak Height/µA = 0.0094x + 6.3204, R2 = 0.9937 and N = 12) with a detection limit of 6 ng/mL (based on 3-sigma). This method exhibited better electrochemical performance with good stability, high selectivity and reproducibility. Furthermore, the applicability of SPGrE was demonstrated through determining Flunitrazepam in real samples.
2. Experimental Section
All chemicals used were of analytical grade and were used as received without any further purification from Sigma-Aldrich. All solutions were prepared with deionised water of resistively not less than 18.2 Ω cm. A stock solution of Flunitrazepam (Sigma-Aldrich, Dorset, UK) was prepared by dissolving the required mass in methanol to give a concentration of 1 mM. Working standards, for initial voltammetric studies, were prepared by dilution of this solution with phosphate buffer to give a final concentration of 100 mM phosphate buffer. Beverages samples were obtained from local commercial outlets. All solutions were vigorously degassed with nitrogen to remove oxygen.
Voltammetric measurements were carried out using a µ-AutolabIII (Eco Chemie, Amsterdam, The Netherlands) potentiostat/galvanostat and controlled by Autolab GPES software version 4.9 for Windows XP. Screen Printed Graphene Electrodes (SPGrE) and Screen printed graphite electrodes (SPGE) which both have a 3 mm diameter of working electrode were obtained from Gwent Electronic Materials Ltd. (Pontypool, Cardiff, UK). The electrodes have been characterised electrochemically and have found to exhibit a heterogeneous electron transfer rate constants of ~1.7 × 10−3 cm·s−1 using the ferro- cyanide redox couple in 1 M KCl.
3. Results and Discussion
3.1. Optimization of the Electrochemical Protocol
We first explored the cyclic voltammetric behaviour of Flunitrazepam in phosphate buffer solution at pH 6 with SPGE and SPGrE.
Figure 2b depicts two reduction peaks at: −0.9 V and −0.3 V denoted as R1 and R2 respectively in order of potential cycling and a single oxidation peak at −0.2 V denoted as O1. Figure 2a also depicts the same peaks observed in voltammogram b, however the peaks are not as well defined as in Figure 2a due to the dramatic increase of the peak current of SPGrE compared to SPGE. This increase in the peak current is owed to the excellent electric conduction of Graphene compared to Graphite. The peaks observed agree with previous literature where such electrochemical behaviour has been reported at different electrode materials including SPGE [20,21].
Figure 2.
Shows a voltammogram response obtained at pH 6 phosphate buffer using a screen printed graphene electrode (SPGrE), (a) in the absence and (b) in the presence of Flunitrazepam. Scan rate: 100 mV·s−1.
Figure 2.
Shows a voltammogram response obtained at pH 6 phosphate buffer using a screen printed graphene electrode (SPGrE), (a) in the absence and (b) in the presence of Flunitrazepam. Scan rate: 100 mV·s−1.

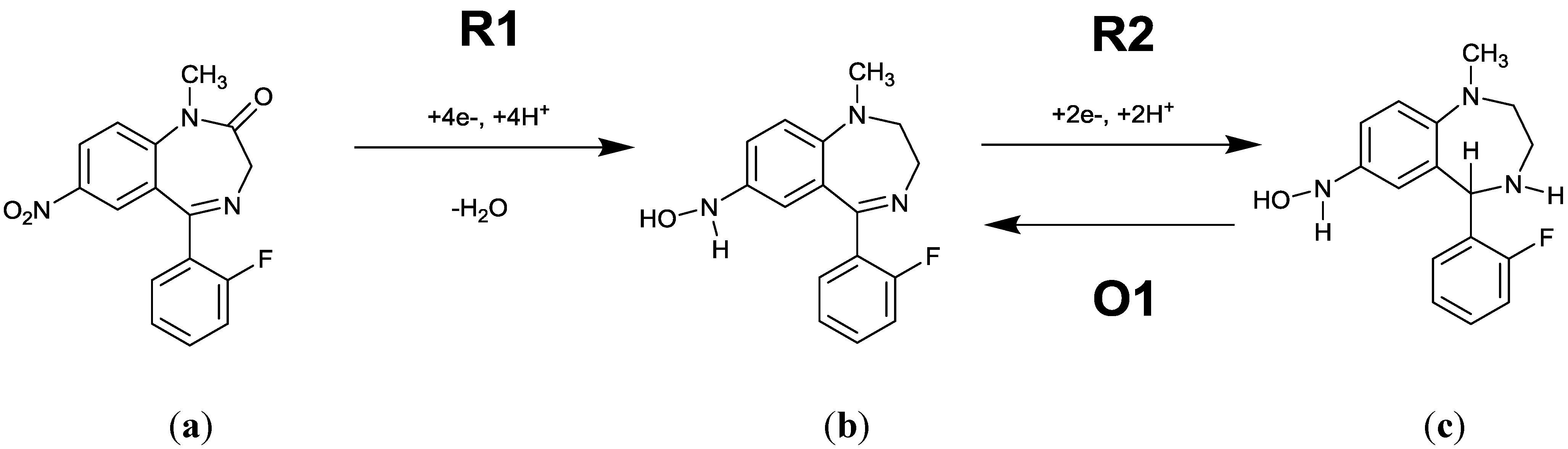
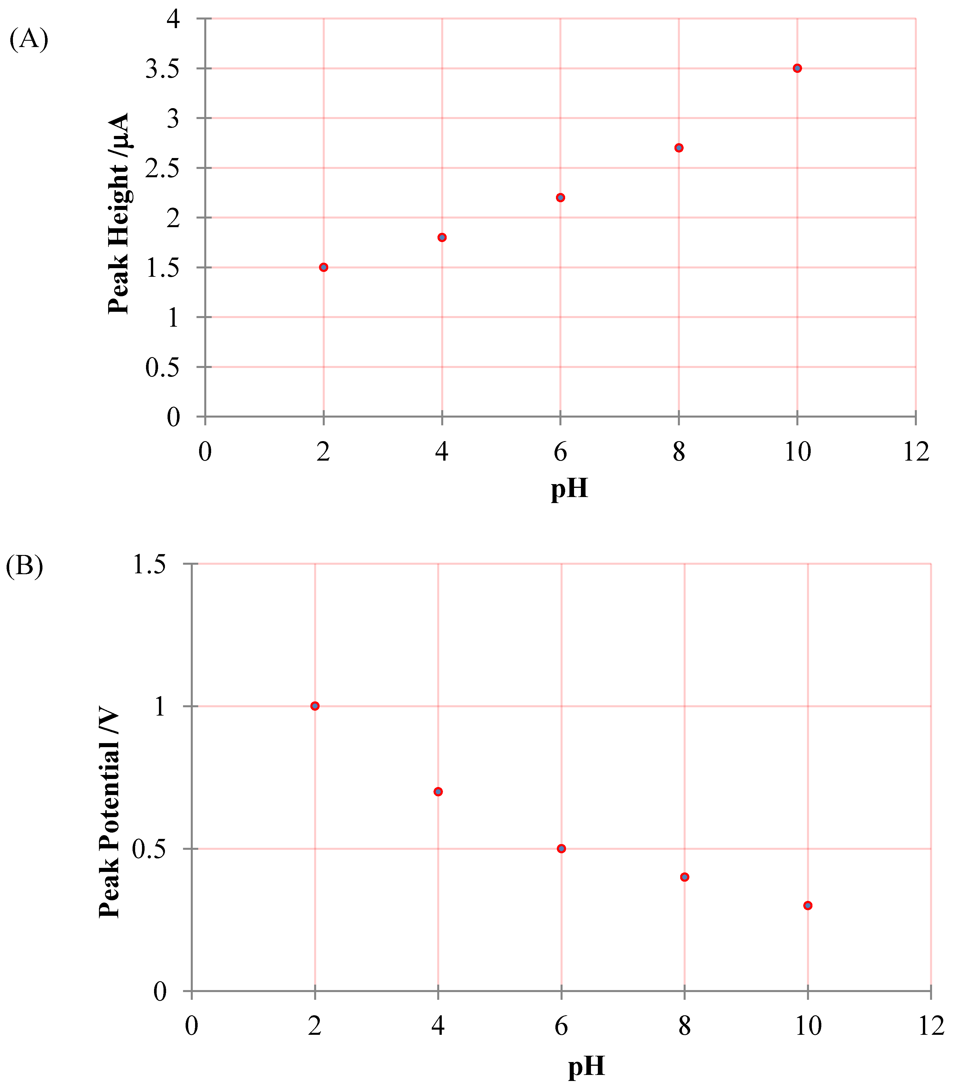
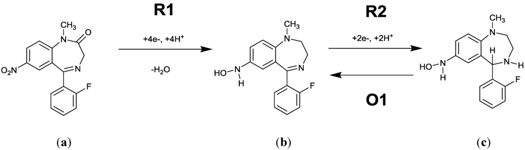
Next, the effect of the pH on the voltammetric response of the O1/R2 couple (depicted in Scheme 1) was explored as a function of pH over the range pH of 2 to 10 which is depicted in Figure 3.
Scheme 1.
Mechanism of Flunitrazepam. (a) Flunitrazepam. (b) Flunitrazepam red I. (c) Flunitrazepam red II.
Scheme 1.
Mechanism of Flunitrazepam. (a) Flunitrazepam. (b) Flunitrazepam red I. (c) Flunitrazepam red II.

Figure 3.
(A) A plot of peak potential, EP (A1), as a function of pH for the electrochemical oxidation of 1 µg/mL Rohypnol using SPEs. Scan rate: 100 mV−1. (B) A plot of peak height, IP (A1), as a function of pH for the electrochemical oxidation of 1 µg/mL Rohypnol using SPEs. Scan rate: 100 mV·s−1.
Figure 3.
(A) A plot of peak potential, EP (A1), as a function of pH for the electrochemical oxidation of 1 µg/mL Rohypnol using SPEs. Scan rate: 100 mV−1. (B) A plot of peak height, IP (A1), as a function of pH for the electrochemical oxidation of 1 µg/mL Rohypnol using SPEs. Scan rate: 100 mV·s−1.

The peak potential (Ep) of the O1/R2 couple was observed to shift to more negative potentials with increasing pH with a plot of peak potential against pH exhibiting a linear relationship (Ep/V = −0.062 V/pH + 0.142 V) over the pH range of 6–10 with a gradient of 62.0 mV/pH indicating an equal proton and electron transfer. Below a pH value of 4 there is deviation from this linear response probably due to protonation of the azomethine group [28].
The peak labelled R2 likely results from the 2e−, 2H+ reduction of the formed hydroxylamine group as described by Scheme 1b,c to the analogue amine. An oxidation peak (O1) is observed on the reverse positive scan, this is likely to be from the oxidation of the amine to the hydroxylamine which is reduced (R2) to the amine, as shown by Scheme 1b,c.
Next, after determining that the optimum experimental pH for Flunitrazepam using SPGrE was pH 6, the effect of varying the scan rate was studied. In order to investigate the reaction kinetics, the effect of scan rate on the redox of Flunitrazepam was investigated. Scan rates over the range 5 to 250 mV/s were explored which revealed a linear response described by the following equation (IP/µA = 18.14 µA/(V s−1)1/2 + 32.04 µA, R2 = 0.99) of the peak current (IP) as a function of the square root of the scan rate (ν). Indicating diffusion controlled electrochemical process. 100 mV/s scan rate was chosen to allow multiple scans at lower concentrations without the signal reducing effects of analyte diffusion.
O1/R2 will be chosen as the optimal reversible peak choice since these occur at potentials close to +0.0 V. When applied to real samples; the possibility from interferences is greatly reduced therefore in this manuscript we concentrate on this reversible peak only as our analytical signal.
Next we explored a range of concentrations of Flunitrazepam. Figure 4 depicts typical voltammetric profiles resulting from Flunitrazepam additions made into a pH 6 buffer solution over the concentration range from 10 to 200 ng/mL using Screen Printed Graphene Electrodes.
Figure 4.
A calibration plot corresponding to the addition of Flunitrazepam into a phosphate buffer pH 6 solution over the concentration range 10–200 ng/mL. Also included are error bars (N 3).
Figure 4.
A calibration plot corresponding to the addition of Flunitrazepam into a phosphate buffer pH 6 solution over the concentration range 10–200 ng/mL. Also included are error bars (N 3).

The Peak Height increased linearly with the concentration of Ketamine over the concentration range from 10 to 200 ng/mL with a (Peak Height/µA = 0.0091x + 6.456, R2 = 0.9943 and N = 12) with a detection limit of 7 ng/mL (based on 3-sigma). As shown in Figure 4, Peak Height displayed a good reproducibility with a good precision for repetitive measurements at different concentrations of Ketamine including the blank.
Following, depicted in Table 1, we show a summary and a comparison with current analytical approaches for the sensing of Ketamine and our method.
Table 1.
Summary of various analytical techniques which have been reported for the determination of Rohypnol in different solutions.
| Analytical Method | Reference | Matrix | Analytica Linear Range | Detection Limit |
|---|---|---|---|---|
| This method | Buffer, Beverage | 10–200 ng/mL | 6 ng/mL | |
| SPGE | [20,21] | Buffer, Beverage | 1–95.24 µg/mL | 0.47 µg/mL |
| LCMS-MS | [7] | Human Serum | 1–500 pg/mL | 0.2 ng/mL |
| Fluorescence spectroscopy | [29] | Beverage | 0–5 ng/mL | 1 ng/mL |
| Desorption Electrospray Ionization Mass-Spectrometry | [3] | Beverages | 25–300 ng/mL | 15 ng/mL |
| GC-MS | [11] | Oral Saliva | Not Disclosed | 0.1 pg/mL |
3.2. Electroanalytical Applications of ECL in an Alcoholic Beverage
Following confirmati on that successful determination of Flunitrazepam was possible in ideal conditions utilising a standard pH 6 Phosphate buffer, the viability of the analytical protocol was tested towards detection within analytically relevant media. First, attention was turned to exploring the analytical sensing of Flunitrazepam in an alcoholic beverage (Gordon’s Gin & Tonic). Additions of Flunitrazepam were made into Gordon’s Gin & Tonic solution over the concentration range of 200 to 2,000 ng/mL.
Figure 5.
A calibration plot corresponding to the addition of Flunitrazepam into an unmodified Gordon Gin & Tonic solution over the concentration range 200–2,000 ng/mL. Also included are error bars (N 3).
Figure 5.
A calibration plot corresponding to the addition of Flunitrazepam into an unmodified Gordon Gin & Tonic solution over the concentration range 200–2,000 ng/mL. Also included are error bars (N 3).

The minimum dosage of Flunitrazepam in alcoholic beverages to produce effects used in date-rape scenarios is 400 ng/mL [14]. As is shown in Figure 5 the calibration plot resulting from the addition of Flunitrazepam is linear over the concentration range 200 to 2,000 ng/mL (Peak Height/µA = 0.0110x + 6.233, R2 = 0.9813 and N = 10) with a detection limit of 181 ng/mL (based on 3-sigma) studied. Returning to the observed analytical response, critically the Gordon’s Gin & Tonic solution utilised was not modified in any way prior to use, the lack of sample pre-treatment highlights the truly useful nature of the analytical protocol when utilised for real-world applications.
4. Conclusions
We have successfully detected Flunitrazepam for the first time utilising disposable and economic SPGrE in a buffer model solution as well as being used in a real sample. We have also demonstrated the increase of sensitivity of Flunitrazepam using SPGrE compared to SPGE employed in other methods. This approach provides a rapid sensing strategy for determining Flunitrazepam in an alcoholic beverage e.g., Gordon’s Gin & Tonic. The niche of this electronalytical method is the lack of the requirement of any sample preparation and pre-treatment.
A linear response is observed for a buffered solution (Peak Height/µA = 0.0091x + 6.456, R2 = 0.9943 and N = 12) with a detection limit of 7 ng/mL (based on 3-sigma).
Ketamine is also linear over the concentration range 200 to 2,000 ng/mL (Peak Height/µA = 0.0110x + 6.233, R2 = 0.9813 and N = 10) with a detection limit of 181 ng/mL (based on 3-sigma) studied for an alcoholic beverage—Gordon’s Gin & Tonic.
Acknowledgments
Carlos Lledo-Fernandez expresses gratitude to Robert Gordon University and S3C (Scottish Sensor Systems Centre, Glasgow, UK) for financial support via a start-up grant. EGG would like to thank The University of Alicante for funding and support.
Conflicts of Interest
The authors declare no conflict of interest.
References
- Goulle, J.P.; Anger, J.P. Drug-facilitated robbery or sexual assault: Problems associated with amnesia. Ther. Drug Monit. 2004, 26, 206–210. [Google Scholar] [CrossRef]
- Ghosh, P.; Reddy, M.M.K.; Ramteke, V.B.; Rao, B.S. Analysis and quantitation of diazepam in cream biscuits by high-performance thin-layer chromatography and its confirmation by mass spectrometry. Anal. Chim. Acta 2004, 508, 31. [Google Scholar] [CrossRef]
- D’Aloise, P.; Chen, H. Rapid determination of flunitrazepam in alcoholic beverages by desorption electrospray ionization-mass spectrometry. Sci. Justice 2012, 52, 2–8. [Google Scholar] [CrossRef]
- Schwartz, R.; Milteer, R.; LeBeau, M.A. Drug-facilitated sexual assault (‘date rape’). South. Med. J. 2000, 93, 558–561. [Google Scholar]
- Schwartz, R.H.; Weaver, A.B. Rohypnol, the date rape drug. Clin. Pediatr. 1998, 37, 321–322. [Google Scholar] [CrossRef]
- Ngwa, G.; Fritch, D.; Blum, K.; Newland, G. Simultaneous analysis of 14 benzodiazepines in oral fluid by solid-phase extraction and LC-MS-MS. J. Anal. Toxicol. 2007, 31, 369–376. [Google Scholar] [CrossRef]
- Moore, C.; Coulter, C.; Crompton, K.; Zumwalt, M. Determination of benzodiazepines in oral fluid using LC-MS-MS. J. Anal. Toxicol. 2007, 31, 596–600. [Google Scholar] [CrossRef]
- Kempfa, J.; Wuskeb, T.; Schubertc, R.; Weinmanna, W. Pre-analytical stability of selected benzodiazepines on a polymeric oral fluid sampling device. Forensic Sci. Int. 2009, 186, 81–85. [Google Scholar] [CrossRef]
- Saracino, M.A.; Tallarico, K.; Raggi, M.A. Liquid chromatographic analysis of oxcarbazepine and its metabolites in plasma and saliva after a novel microextraction by packed sorbent procedure. Anal. Chim. Acta 2010, 661, 222–228. [Google Scholar] [CrossRef]
- Lledo-Fernandez, C.; Banks, C. An overview of quantifying and screening drugs of abuse in biological samples: Past and present. Anal. Methods 2011, 3, 1227–1244. [Google Scholar] [CrossRef]
- Samyn, N.; de Boeck, G.; Crimele, V.; Verstaete, A.; Klintz, P. Detection of flunitrazepam and 7-aminoflunitrazepam in oral fluid after controlled administration of rohypnol. J. Anal. Toxicol. 2002, 26, 211–215. [Google Scholar] [CrossRef]
- Wang, P.H.; Lui, C.; Tsay, W.I.; Li, J.H.; Liu, R.H.; Wu, T.G.; Cheng, W.J.; Lin, D.L.; Huang, T.Y. Improved screen and confirmation test of 7-aminoflunitrazepam in urine specimens for monitoring flunitrazepam (rohypnol) exposure. J. Anal. Toxicol. 2002, 26, 411–418. [Google Scholar] [CrossRef]
- Elsohly, M.A.; Feng, S.; Salamone, S.J.; Brenneisen, R. GC-MS determination of flunitrazepam and its major metabolite in whole blood and plasma. J. Anal. Toxicol. 1999, 23, 486–489. [Google Scholar] [CrossRef]
- Lawrence, R. The Encyclopedia of Addictive Drugs; Greenwood Publishing Group: Westport, CT, USA, 2002. [Google Scholar]
- Aberl, F.; Bonenberger, J.; Berg, R.-P.; Zimmermann, R.; Sachs, H. Human Detection and Positive Identification: Methods and Technologies; SPIE: Boston, MA, USA, 1996. [Google Scholar]
- Abdul Rahman, M.Z.; Anderson, R.A.; MacDonald, M.; Williams, K.; Jacob, B.; Bonte, W. Advances in Forensic Science; Verlag Dr. Koester: Berlin, Germany, 1995; Volume 5. [Google Scholar]
- Bermejo, E.; Zapardiel, A.; Pérez, J.A.; Huerta, A.; Hernández, L. Voltammetric studies of a psychotropic drug with nitro groups. Determination of flunitrazepam in urine using HMDE. Talanta 1993, 40, 1649–1656. [Google Scholar] [CrossRef]
- Nunez Vergara, L.J.; Bollo, S.; Olea-Azar, C.; Navarrete-Encina, P.A.; Squella, J.A. Cyclic voltammetric and EPR spectroscopic studies of benzodiazepines—Loprazolam and flunitrazepam. J. Electroanal. Chem. 1997, 436, 227–238. [Google Scholar] [CrossRef]
- McGuire, N.D.; Honeychurch, K.C.; Hart, J.P. The electrochemical behaviour of nitrazepam at a screen-printed carbon electrode and its determination in beverages by adsorptive stripping voltammetry. Electroanalysis 2009, 21, 2165–2170. [Google Scholar] [CrossRef]
- Smith, J.P.; Metters, J.P.; Kampouris, D.K.; Lledo-Fernandez, C.; Sutcliffe, O.B.; Banks, C.E. Forensic electrochemistry: The electroanalytical sensing of Rohypnol[registered sign] (flunitrazepam) using screen-printed graphite electrodes without recourse for electrode or sample pre-treatment. Analyst 2013, 138, 6185–6191. [Google Scholar] [CrossRef]
- Garcia-Gutierrez, E.; Lledo-Fernandez, C. The electroanalytical sensing of flunitrazepam (rohypnol) and 7-amino flunitrazepam in oral fluid, urine and alcoholic beverages. Univers. J. Chem. 2013, 1, 121–127. [Google Scholar]
- Pumera, M.; Ambrosi, A.; Bonanni, A.; Chng, E.L.K.; Poh, H.L. Graphene for electrochemical sensing and biosensing. TrAC Trends Anal. Chem. 2010, 29, 954–965. [Google Scholar] [CrossRef]
- Sui, Y.; Appenzeller, J. Screening and interlayer coupling in multilayer graphene field-effect transistors. Nano Lett. 2009, 9, 2973–2977. [Google Scholar] [CrossRef]
- Shan, C.; Yang, H.; Song, J.; Han, D.; Ivaska, A.; Niu, L. Direct electrochemistry of glucose oxidase and biosensing for glucose based on graphene. Anal. Chem. 2009, 81, 2378–2382. [Google Scholar] [CrossRef]
- Guo, S.; Dong, S.; Wang, E. Three-dimensional Pt-on-Pd bimetallic nanodendrites supported on graphene nanosheet: Facile synthesis and used as an advanced nanoelectrocatalyst for methanol oxidation. ACS Nano 2009, 4, 547–555. [Google Scholar]
- Seger, B.; Kamat, P.V. Electrocatalytically active graphene-platinum nanocomposites. Role of 2-D carbon support in PEM fuel cells. J. Phys. Chem. C 2009, 113, 7990–7995. [Google Scholar] [CrossRef]
- Wang, Y.; Shi, Z.; Huang, Y.; Ma, Y.; Wang, C.; Chen, M.; Chen, Y. Supercapacitor devices based on graphene materials. J. Phys. Chem. C 2009, 113, 13103–13107. [Google Scholar] [CrossRef]
- Smith, W.F. Voltammetric Determination of Molecules of Biological Significance; Wiley: Chichester, UK, 1992. [Google Scholar]
- Leesakul, N.; Pongampai, S.; Kanatharana, P.; Sudkeaw, P.; Tantirungrotechai, Y.; Buramachai, C. A new screening method for flunitrazepam in vodka and tequila by fluorescence spectroscopy. Luminescence 2013, 28, 76–83. [Google Scholar] [CrossRef]
© 2013 by the authors; licensee MDPI, Basel, Switzerland. This article is an open access article distributed under the terms and conditions of the Creative Commons Attribution license (http://creativecommons.org/licenses/by/3.0/).