Developmental Changes in the Philippine Health System: Accomplishments, Successes and Challenges
Abstract
1. Introduction
2. Materials and Methods
2.1. Data Description
2.1.1. Health Determinant Domain
2.1.2. Health Financing Domain
2.1.3. Health System Management/Development Domain
3. Analyses
3.1. Interrupted Time Series
- (a)
- Life expectancy;
- (b)
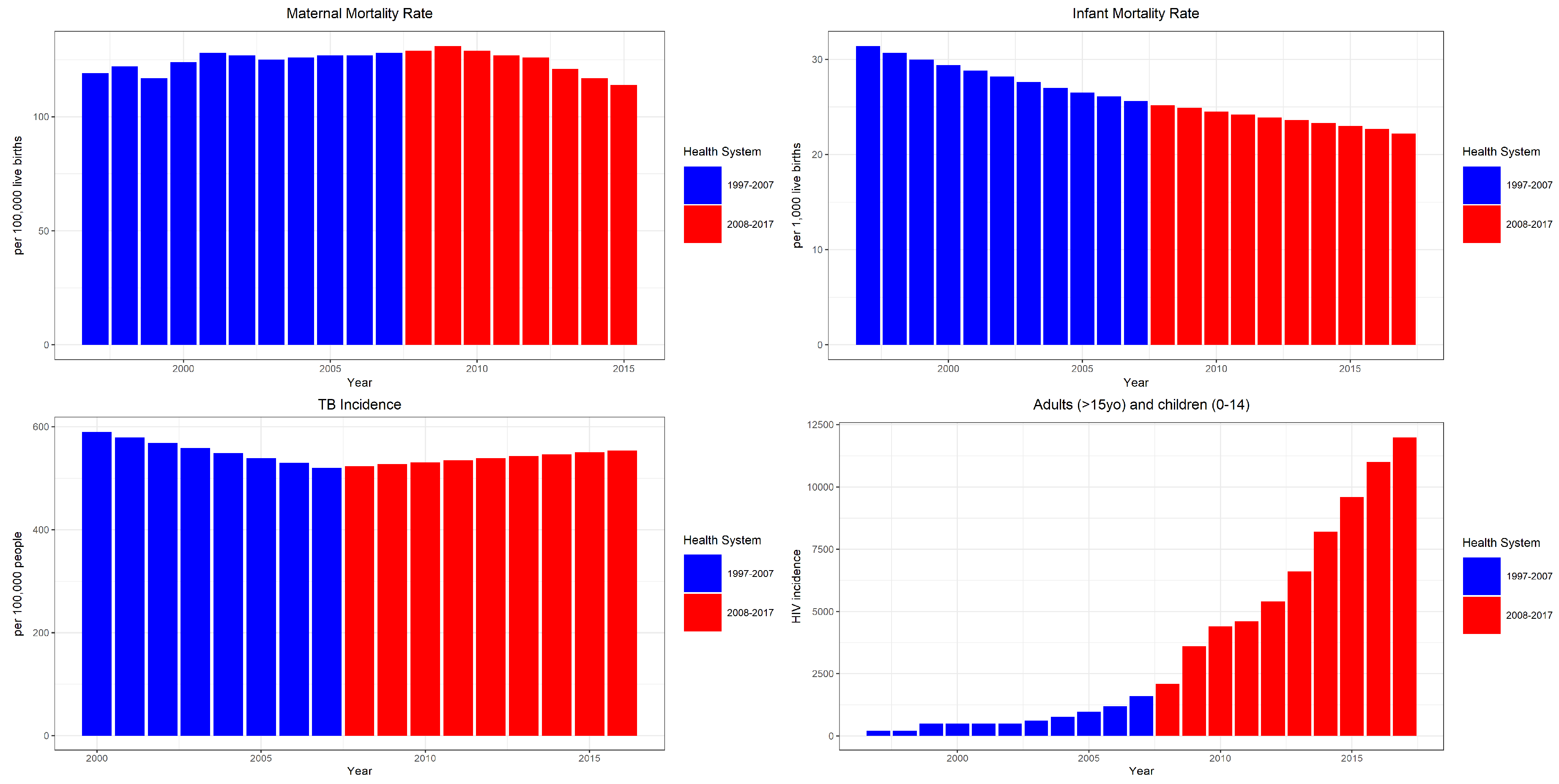
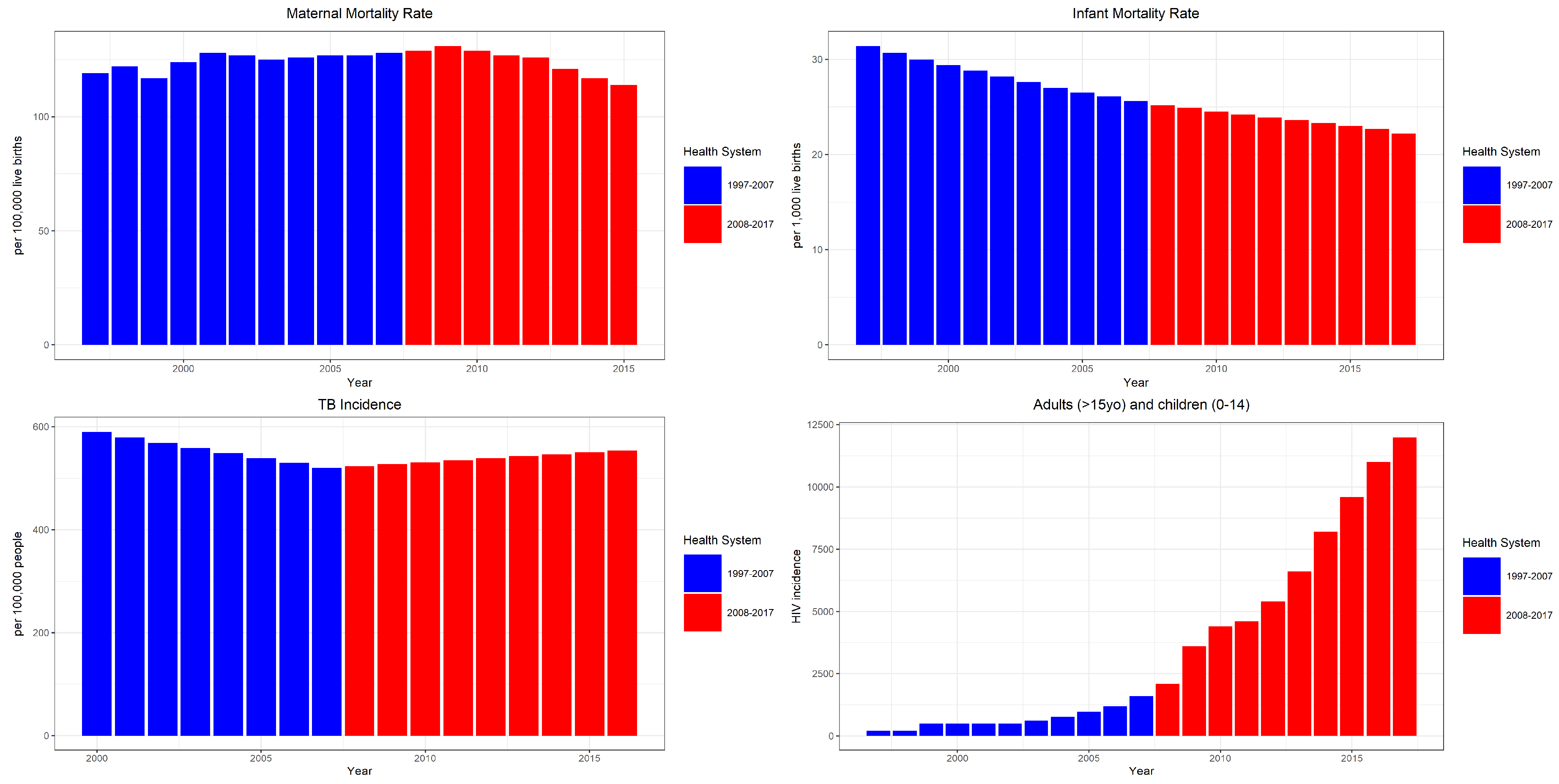
- Maternal mortality rate;
- (c)
- Infant mortality rate;
- (d)
- HIV prevalence;
- (e)
- TB prevalence;
- (f)
- Total health expenditure;
- (g)
- Tobacco excise taxes.
- (a)
- Malnutrition (wasting);
- (b)
- Overweight;
- (c)
- HIV expenditure.
3.2. Comparative Analysis
4. Results
5. Discussion
5.1. On Health Determinants
5.2. On Health Financing
5.3. On Health Management/Development
6. Limitations
7. Conclusions
Supplementary Materials
Funding
Conflicts of Interest
References
- Berman, P.; Bitran, R. Health Systems Analysis for Better Health System Strengthening; World Bank: Washington, DC, USA, 2011. [Google Scholar]
- Attali, J. L’ordre Cannibale. Vie et Mort de la Medicine; Grasset: Paris, France, 1979. [Google Scholar]
- Cylus, J.; Richardson, E.; Findley, L.; Longley, M.; O’Neill, C.; Steel, D. United Kingdom: Health System Review. Health Syst Transit. 2015, 17, 1–126. [Google Scholar] [PubMed]
- People’s Republic of China Health System Review. Available online: http://apps.searo.who.int/PDS_DOCS/B5413.pdf (accessed on 14 October 2019).
- Bohnet, A.; Hong, Z.; Müller, F. China’s open-door policy and its significance for transformation of the economic system. Intereconomics 1993, 28, 191–197. [Google Scholar] [CrossRef]
- Rice, T.; Rosenau, P.; Unruh, L.Y.; Barnes, A.J.; Saltman, R.B.; van Ginneken, E. United States of America: Health system review. Health Syst. Transit. 2013, 15, 1–431. [Google Scholar] [PubMed]
- Leeds, L.S. Private Health Insurance in the United States: An. Overview; Social Security Administration: Woodlawn, MD, USA, 1965.
- Ford, M.J.; Cruz, A.H. The Rural Health Unit in the Philippines. Public Health Rep. 1896-1970 1957, 72, 687–695. [Google Scholar] [CrossRef]
- Romualdez, A.G.; dela Rosa, J.F.E.; Flavier, J.D.; Quimbo, S.L.A.; Hartigan-Go, K.Y.; Lagrada, L.P.; David, L.C. The Philippines Health System Review; World Health Organization Regional Office for the Western Pacific: Manila, Philippines, 2011. [Google Scholar]
- Dayrit, M.M.; Lagrada, L.P.; Picazo, O.F.; Pons, M.C.; Villaverde, M.C. The Philippines Health System Review; World Health Organization Regional Office for South-East Asia: Manila, Philippines, 2018. [Google Scholar]
- Murray, C.J.L.; Frenk, J.; World Health Organization. Global Programme on Evidence for Health, P; A WHO framework for health system performance assessment; Christopher, J.L., Murray, J.F., Eds.; World Health Organization: Geneva, Switzerland, 1999. [Google Scholar]
- World Bank. World Development Indicators. Available online: http://datatopics.worldbank.org/world-development-indicators/ (accessed on 15 August 2019).
- Mcintyre, D.; Meheus, F.; Rottingen, J.A. What level of domestic government health expenditure should we aspire to for universal health coverage? Health Econ. Policy L 2017, 12, 125–137. [Google Scholar] [CrossRef]
- Penfold, R.B.; Zhang, F. Use of interrupted time series analysis in evaluating health care quality improvements. Acad Pediatr. 2013, 13, S38–S44. [Google Scholar] [CrossRef]
- Kontopantelis, E.; Doran, T.; Springate, D.A.; Buchan, I.; Reeves, D. Regression based quasi-experimental approach when randomisation is not an option: Interrupted time series analysis. BMJ 2015, 350, h2750. [Google Scholar] [CrossRef]
- Bernal, J.L.; Cummins, S.; Gasparrini, A. Interrupted time series regression for the evaluation of public health interventions: A tutorial. Int. J. Epidemiol. 2017, 46, 348–355. [Google Scholar]
- NBER. What’s New in Econometrics?—Difference-in-Differences Estimation. Available online: http://www.nber.org/WNE/lect_10_diffindiffs.pdf (accessed on 18 October 2018).
- Hawley, S.; Ali, M.S.; Berencsi, K.; Judge, A.; Prieto-Alhambra, D. Sample size and power considerations for ordinary least squares interrupted time series analysis: A simulation study. Clin. Epidemiol. 2019, 11, 197–205. [Google Scholar] [CrossRef]
- Kraft, A.D.; Nguyen, K.H.; Jimenez-Soto, E.; Hodge, A. Stagnant neonatal mortality and persistent health inequality in middle-income countries: A case study of the Philippines. PLoS ONE 2013, 8, e53696. [Google Scholar] [CrossRef]
- GBD Tuberculosis Collaboration Group. Global, regional, and national burden of tuberculosis, 1990–2016: Results from the Global Burden of Diseases, Injuries, and Risk Factors 2016 Study. Lancet Infect. Dis. 2018, 18, 1329–1349. [Google Scholar] [CrossRef]
- Sharma, A.; Hill, A.; Kurbatova, E.; van der Walt, M.; Kvasnovsky, C.; Tupasi, T.E.; Caoili, J.C.; Gler, M.T.; Volchenkov, G.V.; Kazennyy, B.Y.; et al. Estimating the future burden of multidrug-resistant and extensively drug-resistant tuberculosis in India, the Philippines, Russia, and South Africa: A mathematical modelling study. Lancet Infect. Dis. 2017, 17, 707–715. [Google Scholar] [CrossRef]
- Martinson, N.A.; Hoffmann, C.J.; Chaisson, R.E. Epidemiology of tuberculosis and HIV: Recent advances in understanding and responses. Proc. Am. Thorac. Soc. 2011, 8, 288–293. [Google Scholar] [CrossRef] [PubMed]
- Lawn, S.D.; Churchyard, G. Epidemiology of HIV-associated tuberculosis. Curr. Opin. HIV AIDS 2009, 4, 325–333. [Google Scholar] [CrossRef]
- Vianzon, R.; Garfin, A.M.; Lagos, A.; Belen, R. The tuberculosis profile of the Philippines, 2003-2011: Advancing DOTS and beyond. West. Pac. Surveill. Response J. 2013, 4, 11–16. [Google Scholar] [CrossRef]
- Zhang, T.; Guo, L.; Zhang, S.; Liu, W.; Chen, G.; Hui, M.; He, G.; van der Werf, M.J.; van den Hof, S. Improving detection and notification of tuberculosis cases in students in Shaanxi province, China: An intervention study. BMC Public Health 2011, 11, 147. [Google Scholar] [CrossRef]
- Salvana, E.M.T.; Schwem, B.E.; Ching, P.R.; Frost, S.D.W.; Ganchua, S.K.C.; Itable, J.R. The changing molecular epidemiology of HIV in the Philippines. Int J. Infect. Dis. 2017, 61, 44–50. [Google Scholar] [CrossRef]
- Farr, A.C.; Wilson, D.P. An hiv epidemic is ready to emerge in the philippines. J. Int. AIDS Soc. 2010, 13, 16. [Google Scholar] [CrossRef]
- Gokengin, D.; Doroudi, F.; Tohme, J.; Collins, B.; Madani, N. HIV/AIDS: Trends in the Middle East and North Africa region. Int. J. Infect. Dis. 2016, 44, 66–73. [Google Scholar] [CrossRef]
- WPRO. Noncommunicable Diseases are Top Killers Diseases in the Philippines. Available online: http://www.wpro.who.int/philippines/areas/noncommunicable_diseases/continuation_ncd_area_page/en/ (accessed on 10 January 2019).
- Adair, L.S. Dramatic rise in overweight and obesity in adult filipino women and risk of hypertension. Obes. Res. 2004, 12, 1335–1341. [Google Scholar] [CrossRef]
- Salti, N.; Brouwer, E.; Verguet, S. The health, financial and distributional consequences of increases in the tobacco excise tax among smokers in Lebanon. Soc. Sci. Med. 2016, 170, 161–169. [Google Scholar] [CrossRef] [PubMed]
- Verguet, S.; Gauvreau, C.L.; Mishra, S.; MacLennan, M.; Murphy, S.M.; Brouwer, E.D.; Nugent, R.A.; Zhao, K.; Jha, P.; Jamison, D.T. The consequences of tobacco tax on household health and finances in rich and poor smokers in China: An extended cost-effectiveness analysis. Lancet Glob. Health 2015, 3, E206–E216. [Google Scholar] [CrossRef]
- Tremolada, M.; Schiavo, S.; Varotto, S.; Basso, G.; Pillon, M. Patient Satisfaction in Italian Childhood Cancer Survivors: Human Aspects of Treatment as a Key Factor in Patients’ Quality of Life. Health Soc. Work 2015, 40, e148–e155. [Google Scholar] [CrossRef]






| Health Domain | Variables | Estimate | Standard Error | p-Value |
|---|---|---|---|---|
| Health determinants | Life Expectancy | −0.007 | 0.005 | - |
| Maternal Mortality Rate (MMR) | −3.25 | 0.435 | *** | |
| Infant Mortality Rate (IMR) | 0.260 | 0.015 | *** | |
| HIV Incidence | 965 | 57.5 | *** | |
| TB Incidence | 13.7 | 0.086 | *** | |
| Health financing | Total Health Expenditure (THE) | −0.135 | 0.048 | ** |
| Tobacco Excise Taxes | 13855 | 2824 | *** |
| Health System 1 (1997–2007) | Health System 2 (2008–2017) | |
|---|---|---|
| Features | 1. Decreasing Maternal Mortality Rate (MMR)/Infant Mortality Rate (IMR) | 1. Expansion of PhilHealth coverage; however, low financial protection |
| 2. Private health sector constituted bigger proportion in health service delivery than public health sector | 2. Data gathering was existent; however, intensified and modernized effort is needed | |
| 3. Decentralization of health care services (fragmented health service delivery) | 3. Intersectoral approaches to health and in its investment programming at the national and local levels (unified targeting for poor, etc.) | |
| 4. Emphasis on primary health care | 4. Increase in client satisfaction to government health services | |
| 5. Rapid increase in nursing schools | 5. Concerted efforts to ensure health care data privacy | |
| 6. Introduction of health technology assessment (HTA) by PhilHealth (in identifying priority problems on the use of medical technologies needing systematic assessment) | 6. Care-seeking behavior was dictated by ability to pay | |
| 7. Increasing PhilHealth coverage | 7. Waiting time improved | |
| 8. Waiting time/hospital length of stay decreased | 8. Treatment seeking attitude improved among households | |
| 9. Migration of health workers, particularly nurses | 9. Increased use of rural health units, decrease use of private clinics | |
| 10. Increase in health financing | 10. MMR decreased due to the increased facility-based deliveries and skilled birth attendants | |
| 11. Existence of palliative care (cancer patients) | ||
| 12. Success in closing the gender gap | ||
| 13. Disaster health management system in place | ||
| 14. Increase in health financing | ||
| Challenges | 1. Rising non-communicable diseases (NCDs) | 1. Problems with devolved health financing and service delivery (fragmented strategy) |
| 2. High cost of accessing health service | 2. Uneven distribution of health staff across the country (concentrated in National Capital Region) | |
| 3. Low level financial protection | 3. Uneven distribution of health facilities across the country (concentrated in NCR) | |
| 4. High out-of-pocket (OOP) payments | 4. TB Directly Observed Treatment Short Course (DOTS) accreditation is low | |
| 5. Absence of an integrated curative and preventive network | 5. Overregulation of programs (National TB Program and PhilHealth) | |
| 6. Weak health information system/governance | 6. High OOP payments | |
| 7. Absence/lack of access of private sector data | 7. Even though health services were utilized, this did not directly translate to health status improvement | |
| 8. PhilHealth still used paper-based claims management | 8. PhilHealth insurance claims stagnated at 33% | |
| 9. Lack of health service information (PhilHealth) | 9. Hospital bed availability was a difficulty | |
| 10. Weak/non-existent structures in engaging community and patient participation with regard to health decision-making | 10. Geographical constraints in service delivery (geographically isolated and disadvantaged areas) | |
| 11. Members’ perceptions are that they have insufficient information and that the transactional requirements to make claims were too large | 11. Stigma (HIV) and self-stigma (TB) were major barriers to care | |
| 12. Low sponsored program PhilHealth utilization rate | 12. Obesogenic environment; life-style related health problems | |
| 13. Uneven distribution of PhilHealth accredited providers (35% of doctors are in NCR) | 13. Air pollution and household air pollution | |
| 14. Uneven distribution of health facilities and beds across the country | 14. Low childhood immunization due to the fact of religious/cultural beliefs, as well as lack of coordination among public sector | |
| 15. Lack of geriatric facilities and services | 15. Healthcare provision tended to be either underprovided or overprovided, and costly | |
| 16. Adherence to clinical practice guidelines were loose | ||
| 17. Patient safety data was lacking | ||
| 18. Health equity issues included the apparent urban–rural divide | ||
| 19. Health technology assessment (HTA) was yet to be fully established | ||
| 20. Health data acquisition was still restricted (private sector, public sector, PhilHealth) | ||
| 21. Fragmented nature of health financing, devolved structure of service delivery, and mixed public–private health system posed immense challenges in monitoring health sector performance | ||
| 22. Issues with conflict of interest (physician-owned pharmacy) | ||
| Reforms | 1. Primary health care focus | 1. Primary health care expansion due to the intensified HFEP |
| 2. Health Facility Enhancement Program (HFEP) | 2. Deployment programs of the DOH and Local Government Units (LGUs) | |
| 3. Health sector reform agenda (HSRA) launched | ||
| 4. Corporatization of hospitals under HSRA | ||
| Health-related laws accompanying or independent of the reforms | 1. Republic Act No. 8344 “An Act Prohibiting the Demand of Deposits or Advance Payments for the Confinement or Treatment of Patients in Hospitals and Medical Clinics in Certain Cases” | 1. Sin Tax Law of 2014 |
| 2. Republic Act No. 7305 “Magna Carta for Public Health Workers” | 2. National Health Insurance Act of 2013 | |
| 3. Republic Act No. 9184 “Government Procurement Reform Act” | 3. Reproductive Health Law of 2012 | |
| 4. National Health Insurance Act of 1995 amended to Republic Act No. 9241 | 4. Tuberculosis Law of 2016 | |
| 5. 1988 Generics Act, amended to Republic Act No. 9502 “Cheaper and Quality Medicines Act” |
| Health System Development | Health System 1 (1997–2007) | Health System 2 (2008–2017) |
|---|---|---|
| Progressive | Increase in Health Financing | Increase in Health Financing |
| Increasing PhilHealth coverage | Expansion of PhilHealth coverage; however, low financial protection | |
| Waiting time/hospital length of stay decreased | Waiting time improved | |
| PhilHealth still used paper-based claims management | Data gathering was existent; however, intensified and modernized effort was needed | |
| Absence of an integrated curative and preventive network | Increased use of rural health units, decreased use of private clinics | |
| Low sponsored program PhilHealth utilization rate | Treatment seeking attitude improved among households | |
| Retrogressive | Introduction of health technology assessment (HTA) by PhilHealth (in identifying priority problems on the use of medical technologies needing systematic assessment) | Health technology assessment (HTA) was yet to be fully established |
| Decentralization of health care services (fragmented health service delivery) | Fragmented nature of health financing, devolved structure of service delivery, and mixed public–private health system posed immense challenges in monitoring health sector performance | |
| Rising non-communicable diseases (NCDs) | Obesogenic environment; life-style-related health problems | |
| High cost of accessing health service | Healthcare provision tended to be either underprovided or overprovided, and costly | |
| Low level financial protection | PhilHealth insurance claims stagnated at 33% | |
| High out-of-pocket (OOP) payments | High OOP payments | |
| Weak health information system/governance | Adherence to clinical practice guidelines were loose | |
| Patient safety data was lacking | ||
| Absence/lack of access of private sector data | Health data acquisition was still restricted (private sector, public sector, PhilHealth) | |
| Uneven distribution of PhilHealth accredited providers (35% of doctors are in NCR) | Uneven distribution of health staff across the country (concentrated in NCR) | |
| Uneven distribution of health facilities and beds across the country | Uneven distribution of health facility across the country (concentrated in NCR) | |
| Challenges in regard to hospital bed availability |
© 2019 by the author. Licensee MDPI, Basel, Switzerland. This article is an open access article distributed under the terms and conditions of the Creative Commons Attribution (CC BY) license (http://creativecommons.org/licenses/by/4.0/).
Share and Cite
Seposo, X. Developmental Changes in the Philippine Health System: Accomplishments, Successes and Challenges. Healthcare 2019, 7, 116. https://doi.org/10.3390/healthcare7040116
Seposo X. Developmental Changes in the Philippine Health System: Accomplishments, Successes and Challenges. Healthcare. 2019; 7(4):116. https://doi.org/10.3390/healthcare7040116
Chicago/Turabian StyleSeposo, Xerxes. 2019. "Developmental Changes in the Philippine Health System: Accomplishments, Successes and Challenges" Healthcare 7, no. 4: 116. https://doi.org/10.3390/healthcare7040116
APA StyleSeposo, X. (2019). Developmental Changes in the Philippine Health System: Accomplishments, Successes and Challenges. Healthcare, 7(4), 116. https://doi.org/10.3390/healthcare7040116

