Abstract
As dynamic systems, social networks exhibit continuous topological changes over time, and are typically modeled as temporal networks. In order to understand their dynamic characteristics, it is essential to investigate temporal community detection (TCD), which poses significant challenges compared to static network analysis. These challenges arise from the need to simultaneously detect community structures and track their evolutionary behaviors. To address these issues, we propose TCDA-NE, a novel TCD algorithm that combines evolutionary clustering with convex non-negative matrix factorization (Convex-NMF). Our method innovatively integrates community structure into network embedding, preserving both microscopic details and community-level information in node representations while effectively capturing the evolutionary dynamics of networks. A distinctive feature of TCDA-NE is its utilization of a common-neighbor similarity matrix, which significantly enhances the algorithm’s ability to identify meaningful community structures in temporal networks. By establishing coherent relationships between node representations and community structures, we optimize both the Convex-NMF-based representation learning model and the evolutionary clustering-based TCD model within a unified framework. We derive the updating rules and provide rigorous theoretical proofs for the algorithm’s validity and convergence. Extensive experiments on synthetic and real-world social networks, including email and phone call networks, demonstrate the superior performance of our model in community detection and tracking temporal network evolution. Notably, TCDA-NE achieves a maximum improvement of up to 0.1 in the normalized mutual information (NMI) index compared to state-of-the-art methods, highlighting its effectiveness in temporal community detection.
Keywords:
temporal community detection; social networks; network embedding; evolutionary clustering; convex non-negative matrix factorization MSC:
90C35
1. Introduction
With the rapid advancement of internet and 5G communication technologies, social networks have grown increasingly complex and dynamic. These networks encompass diverse forms, including author collaboration networks (comprising authors and articles), social communication platforms (e.g., WeChat, QQ, Facebook, WhatsApp), blogging platforms (e.g., Weibo, X), self-media channels (e.g., Bilibili, YouTube), and professional mobility networks (e.g., LinkedIn). These platforms serve as critical links both within and between groups, embedding rich information about community structures and complex relationships. The extraction and analysis of such information holds significant academic and practical value, enabling efficient mining of actionable data and uncovering patterns in community evolution. This in turn supports more accurate predictions of future trends [1].
While previous research on community detection has predominantly focused on static networks [2], there is increasing acknowledgment of the dynamic nature of network structures. Most real-world networks, such as transportation and social networks, are inherently dynamic, being characterized by evolving node attributes, relationships, and community structures [3,4]. This dynamism introduces unique challenges in community detection, particularly in capturing the temporal evolution of networks. Specifically, the dynamic nature of network structures, manifested through variations in the number of nodes and communities as well as changes in link densities between nodes, gives rise to evolutionary behaviors [4]; furthermore, community sizes expand as data volumes grow, leading to increased time and space complexity in traditional methods [5,6], which ultimately results in inefficient community detection.
A key innovation of our method lies in the integration of network embedding (NE), which maps network nodes to continuous low-dimensional representations, thereby enhancing the capture of structural features within the network [7,8,9,10]. TCDA-NE employs an advanced NE technique that integrates both first-order and second-order proximities [11,12], effectively transforming the high-dimensional sparse vector space of the network into a low-dimensional dense representation. This transformation facilitates more comprehensive and precise extraction of the fundamental structural characteristics of the original network, particularly in the context of temporal evolution. To address the challenges of community detection in complex networks, we utilize non-negative matrix factorization (NMF) [4,13,14], which not only improves computational efficiency and simplifies matrix operations but also enhances the interpretability of the decomposition results. Specifically, TCDA-NE incorporates Convex-NMF, which imposes convex constraints on the centroid matrix to effectively mitigate the persistent issue of data sparsity in dynamic networks [15,16]. Our study investigates various combinations of NMF methods and network embedding techniques, with a particular emphasis on integrating first-order and second-order proximities in temporal community detection using Convex-NMF. The results demonstrate the efficacy of this approach in preserving microscopic topological structures, accurately capturing node relationships, and addressing data sparsity challenges in dynamic network analysis. The key contributions of this study are as follows:
- 1.
- Enhanced Network Representation: We propose a novel approach integrating network embedding (NE) with first-order and second-order proximity considerations. We generate more effective node embeddings by employing a similarity matrix rather than a traditional adjacency matrix, facilitating more precise representation of the network’s microscopic community structure. This approach significantly enhances the quality of community detection in complex networks.
- 2.
- Advanced Temporal Community Detection: Unlike traditional two-step or incremental clustering methods, TCDA-NE utilizes evolutionary clustering to enforce temporal smoothness between consecutive time steps. This innovative strategy enables more refined and precise tracking of community evolution in dynamic networks, effectively addressing a critical challenge in temporal network analysis.
- 3.
- Optimized Matrix Factorization: We employ Convex-NMF to derive community membership matrices, which exhibit superior performance over Semi-NMF and other mainstream NMF methods. This optimization substantially improves both the quality and interpretability of community detection results, especially in the context of temporal networks.
- 4.
- Comprehensive Experimental Validation: The effectiveness of TCDA-NE is rigorously validated through comprehensive experiments on both real-world and synthetic datasets. We propose a novel evaluation framework that assesses static and dynamic performance metrics. The results conclusively show that TCDA-NE not only surpasses existing methods in community detection quality but also demonstrates superior dynamic performance, which is primarily attributed to its integration of temporal smoothness constraints.
- 5.
- Bridging Static and Dynamic Network Analysis: TCDA-NE represents a significant advancement in bridging the gap between static and dynamic network analysis techniques. By integrating advanced network embedding, evolutionary clustering, and optimized matrix factorization, our method provides a more holistic approach to understanding complex network dynamics over time.
The remainder of this paper is structured as follows: Section 2 presents an overview of related work on temporal community detection and network embedding; Section 3 outlines the objective function and provides a theoretical analysis of the proposed algorithm; Section 4 describes experiments conducted on multiple datasets; finally, Section 5 presents our conclusions.
2. Related Work
The related work involves the two primary areas: temporal community detection and network embedding methods for temporal networks.
2.1. Temporal Community Detection
Temporal community detection is a model specifically tailored to analyze community structures in temporal networks, where a community organization undergoes temporal variations with each time step. Methods developed in recent years fall into two categories.
2.1.1. Methods Based on Heuristic Optimization
In the context of temporal community detection, heuristic optimization approaches can be classified into three main categories: two-stage methods, incremental clustering-based methods, and evolutionary clustering techniques.
Two-stage or two-step methods. These approaches address community detection and its evolution as distinct tasks. Specifically, community detection is conducted independently at each time step and similarity measures are utilized to establish correspondences between communities across different time steps. Yang et al. [17] proposed an innovative approach by integrating multiple strategies into a community-related link prediction method enhanced with an evolutionary process in order to effectively improve the identification of ambiguous community structures in complex networks. Extending this work, Cha et al. [18] implemented two-step methods for early-stage depression detection. Furthermore, Odhiambo et al. [19] evaluated a two-step case-finding approach designed to address the healthcare needs and challenges faced by this population, particularly in the context of obstructive respiratory diseases.
Incremental clustering-based methods. These methods are typically initiated with a community structure derived from a static network at the first time step, and subsequently adapt community assignments as the network evolves. DynaMo [20], an incremental clustering method based on modularity, demonstrates superior computational efficiency compared to the Louvain algorithm [21], particularly in identifying emerging activity classes while preserving established ones. McGann et al. [22] and Guo et al. [23] also proposed models that utilize incremental clustering. In 2023, Li et al. [24] introduced an incremental clustering algorithm based on big data representative points and covariance (IDPC-RC). This method selects representative points from the initial dataset, calculates the similarity between new data points and these points to identify preassigned clusters, and adaptively adjusts the number of clusters using a covariance row-column formula. However, the reliance on covariance makes the algorithm highly sensitive to noise, and it may underperform in noisy environments, where even minor data perturbations can lead to inaccurate clustering results.
Evolutionary Clustering. Clustering at any given time step should accurately reflect current data while minimizing abrupt changes, thereby achieving lower historical costs and higher snapshot quality through the incorporation of regularization terms. Classical methods include FacetNet and DYNMOGA [25]. Furthermore, a series of multi-objective evolutionary clustering algorithms have been proposed, such as DECS [26] and DYN-MODPSO [27]. Martinet et al. [28] developed a methodology to address the challenges associated with noisy networks, while Sapci [29] identified gene modules exhibiting temporal and inter-subject variability.
In summary, some previous methods overlook the temporal evolution of community information in dynamic networks, while others treat community detection and evolution as separate issues. Furthermore, certain approaches lack a comprehensive theoretical framework to address the joint problem of community detection and evolution.
2.1.2. Generative Models
Model generation is meant to establish the mechanism for generating dynamic complex networks, simulate the network formation process, and transform community detection into a parameter estimation problem. There are two categories of generation models.
Latent space approaches [30]. Sewell et al. [31] utilized an embedding approach to transform a dynamic network into a Euclidean space, enabling the detection of communities within dynamic friendship networks and global export–import data. Passino and Heard [32] proposed a Bayesian model to estimate the latent dimensions and communities in stochastic block models. Akcay et al. [33] used a semi-supervised learning framework for anomaly detection, leveraging generative adversarial networks (GANs) to effectively detect anomalies in various domains. Similar approaches were proposed in 2021, such as PAE and DLSM [34]. Recently, Xu et al. introduced bi-layer dynamic network embedding (Bi-DNE) [35] for preserving evolutionary patterns in dynamic networks in 2024. This method captures both micro- and macro-level dynamics through reinforced triadic closure and dynamic power-law evolution, significantly improving performance in link prediction and temporal analysis.
Approaches based on Dynamic Stochastic Block Models. Schaub et al. [36] introduced an innovative method for recovering stochastic block models (SBMs) without the need for prior knowledge of the network structure. In recent years, several similar approaches have been developed, such as DSBM [6], BPPM [37], and MMSBM [38]. These methods are particularly noteworthy, as they incorporate various previous models as special cases.
2.2. Network Embedding
Network embedding methods aim to capture the low-dimensional representations of communities within a network. Community detection techniques that leverage network embedding models have significant applications in two primary domains.
2.2.1. Matrix Decomposition
These methods utilize the similarity matrix of a projection network to derive node embeddings and microscopic community structures. GraRep [39] is a learning algorithm that generates low-dimensional vertex representations for weighted graphs, aiming to create compact vectors that effectively represent the vertices in the graph while incorporating global structural information. The high-order proximity-preserved embedding (HOPE) method seeks to preserve asymmetric transitivity and capture high-order proximities in large-scale graphs. The SENE network embedding model [40] utilizes seed expansion sampling to effectively capture the structural information of communities in the network. Zhen D et al. [41] proposed a hierarchical community structure maintenance method for network embedding (HCNE), aiming to effectively preserve the intralayer and hierarchical community structures under multigranularity. Hierarchical network embedding methods such as HB-DSBM [42] and LONE-NMF [43] have subsequently been proposed.
2.2.2. Deep Neural Networks
Deep neural network technology has been integrated with network embedding to learn network representations. Classical machine learning methods such as representational learning, RF, and CNN [44] have also been incorporated into deep embedded networks. Wu et al. [45] explored a deep learning approach to recognize clinical entities, employing minimal feature engineering. Wang and Gao et al. focused on deep structured network embedding and deep attribute network embedding. Shen et al. [46] examined the classification of cross-network nodes, utilizing labeled information from a source network to classify unlabeled nodes in a target network. Kan et al. [47] introduced a novel approach for deep feature embedding in 2022. Recently, Kojaku et al. [48] proposed a method for network community detection via neural embeddings, demonstrating that shallow linear graph neural networks such as node2vec can achieve the information-theoretic limit of community detectability.
3. TCDA-NE Model
TCDA-NE is a dynamic community detection model that incorporates the community structure in network embedding to effectively preserve the microstructure and mesoscopic community structure. We leverage the node degree and the number of shared neighbors to quantify the node similarity. In addition, we gradually optimize the community structure to address the challenge of network sparsity. Below, we explain the TCDA-NE model, including its formulation, derivation, solution, and pseudocode.
3.1. Model Description
Consider a dynamic undirected network , where V and E represent the sets of nodes and edges, respectively. The network evolves over time, and this temporal aspect is captured by the binary adjacency matrix , where t is time. At time t, the matrix element in the complex network matrix indicates the presence or absence of a direct connection between nodes i and j, reflecting the existence or absence of an edge connecting them. If there is an edge, then ; otherwise, . Similarly to the traditional model based on the non-negative convex matrix decomposition, the theoretical representation of TCDA-NE is shown in Figure 1.
Figure 1.
Model theory diagram of TCDA-NE.
Modeling community structure. By applying the principle of NMF, it becomes feasible to discover non-negative matrices and that provide an approximation of the matrix through the relationship . This factorization represents the decomposition of a non-negative matrix into the product of two non-negative matrices. The non-negativity property of and implies that can be interpreted as a weight matrix, where the numerical values of its nodes represent the weights assigned to them at time t; captures the community membership, where indicates the probability that node i belongs to the community j at time t. In particular, represents the centroid of the community. The centroid matrix is defined as , where each column corresponds to the central node of a specific community. Thus, we can derive the function
A temporal smoothness constraint is incorporated into the community membership matrix to consider the interdependence between consecutive time steps, quantifying the likelihood of significant changes in the community structure between times 1 and t. The cost function encompasses modeling the network topology and the temporal smoothness constraint, combining the community discovery quality and historical cost. We aim to maximize community discovery quality while minimizing the historical cost; hence, we derive the cost function
To quantify the importance of the temporal smoothness constraint, we introduce a temporal smoothness weight parameter, denoted as . Typically, assumes a value between 0 and 1. A more significant value of indicates a higher weight for the temporal smoothness constraint in the cost function, meaning that the algorithm prioritizes the continuity and stability of the community structure across consecutive time steps. Consequently, during community detection, the algorithm minimizes significant changes in community structure between adjacent time steps, resulting in a smoother evolution of the community structure. Therefore, a higher value of emphasizes the temporal smoothness constraint.
Modeling microscopic structure. The first-order proximity captures the most directly observed probability of proximity between two nodes. The value of indicates the existence or absence of first-order proximity between nodes i and j. When is greater than 0, this signifies the presence of first-order positive proximity, while a value of 0 indicates its absence.
We consider the adjacency matrix X to represent the first-order proximity. Preserving this is crucial, as it provides a direct representation of the proximity between nodes in a complex network. It has been demonstrated that the presence of a direct edge between two nodes implies their adjacency within a reduced-dimension vector space. However, in realistic scenarios complex networks often exhibit sparsity in observed edges, with only a limited number of edges connecting nodes; consequently, the absence of an edge does not necessarily indicate a lack of similarity. Hence, it is overly simplistic to rely solely on first-order proximity in low-dimensional settings to determine node similarity. A feasible solution is to utilize their common neighbor nodes. Specifically, two nodes with common neighbors are similar even if they have no directly connected edges, which yields the second-order proximity measure .
We represent the first-order proximity between node i and all other nodes as . The second-order proximity is then determined by evaluating the similarity between and using the cosine similarity; here, for nodes i and j, , where is the norm of N. The utilization of cosine similarity ensures that the second-order proximity value falls within the range of 0 to 1.
To maintain the characteristics of both first- and second-order proximity, we introduce a weight parameter to establish their relationship. Specifically, we define the combined proximity matrix as , where is a positive constant that can be changed according to the situation. In our experiments, we set in order to obtain better results.
To preserve both the community structure and the microscopic node properties of the network, we modify the original objective function by replacing with the combined proximity matrix , which integrates both the first- and second-order proximity. Thus, the following final objective function is obtained:
3.2. Model Solution
Next, we present the update rules for the variables and with respect to the objective function in (3) and prove their correctness by mathematical derivation. Due to the non-negative property of matrix factorization, there is no global optimal solution; however, when only one of the parameters is fixed, there is a local optimal solution.
When is fixed and is updated, we can write Equation (3) as follows:
To achieve the optimal solution, we incorporate the Lagrange multiplier matrix under a non-negativity constraint to ensure that remains non-negative. By setting the Lagrange multiplier to zero, we can derive the following objective function:
We assume ,
Introducing the KKT fixed point condition, we can obtain
which is equivalent to
Hence, the update transformation formula of is
Similarly, when is held constant and is updated, we introduce a non-negative Lagrange multiplier matrix to enforce the non-negativity constraint on , and obtain
We assume ,
Introducing the KKT fixed point condition, we can obtain
which is equivalent to
Hence, the update transformation formula fo can be expressed as
Based on the above update rules, an iterative algorithm can be derived to optimize the TCDA-NE model, which is presented as Algorithm 1.
3.3. Temporal Complexity
Here, we analyze the temporal complexity associated with the update formulation. In Equation (9), and have temporal complexities of and , respectively. Similarly, in Equation (14), , , , and have respective complexities of , , , and . Here, and refer to the edge counts of the network at times t and , respectively. The variable e is the number of nodes within the network, while k is the count of communities under consideration.
As a result, the temporal complexities of Equations (9) and (14) are and , respectively. The overall temporal complexity of TCDA-NE is , where N is the total number of iterations required for convergence. Consequently, with a larger number of communities, the temporal complexity of TCDA-NE exhibits significant variation. In theory, it has more advantages when the network is much larger than the community.
| Algorithm 1: TCDA-NE model |
![]() |
4. Experiments
Based on five network datasets (three real and two synthetic), we conducted experiments to compare current benchmark methods and widely accepted traditional methods and evaluate the performance of TCDA-NE in dynamic network community detection and function convergence.
4.1. Baselines and Settings
Dynamic community detection methods are based on concepts such as evolutionary clustering, genetic algorithm-based techniques, fusion clustering, modularity computation, genome representation, and convex non-negative matrix factorization; their outcomes serve as benchmarks for the identification of communities in dynamic complex networks. The comparison models in our experiments were as follows:
- Facenet [25] utilizes evolutionary clustering to analyze the dynamics of virtual communities, examining their evolution within a unified framework. It uses MAP estimation, incorporating both observed network data and a priori distributions derived from the historical community structure.
- DYNMOGA [25] uses a genetic algorithm-based approach to address the task of community discovery in dynamic networks. It formulates community detection with temporal smoothing as a multi-objective problem.
- AFFECT [49] uses shrinkage estimation to dynamically estimate the optimal smoothing parameters. This framework allows for the comparison of static clustering algorithms. In this paper, we use K-means clustering and spectral clustering extended to evolutionary clustering algorithms, denoted as AFFECT_kmeans and AFFECT_spectral, respectively.
- DECS [26] is a genome-based multi-objective evolutionary clustering algorithm that takes modular computation based on genomic matrices as an optimization objective.
- ECD [50] adopts a decomposition framework with a genomic representation to address the task of evolutionary community detection. It formulates the problem as a multi-objective optimization one, aiming to identify the evolutionary patterns of communities in dynamic social networks.
- CDNMF [51] is a novel algorithm for community detection that enhances the feature representation capability of non-negative matrix factorization (NMF) by integrating deep learning and contrastive learning mechanisms to more accurately identify community structures in networks.
- FBCD [52] is a community detection algorithm that integrates graph embedding models with node proximity measures to leverage both node attributes and network structure for enhanced accuracy in detecting communities within social networks.
- StaNMF [53] is a two-step approach for community detection based on stochastic non-negative matrix factorization (StaNMF), which initially divides the snapshot and subsequently applies NMF to detect communities in each time step.
- DCNMF [54] improves upon traditional community detection algorithms based on NMF by employing evolutionary clustering and convex non-negative matrix decomposition, leading to enhanced accuracy.
- Semi-NMF [54] is an evolutionary clustering-based algorithm for community detection that operates at both the community and node levels.
To obtain fair results, we used the authors’ published source code and the published default parameters. Based on the convex non-negative matrix factorization method combining NE, we applied random initialization to the solution of NMF in each time step of all datasets. To mitigate the risk of TCDA-NE converging to a local minimum, we conducted 20 experimental runs and computed the average results, thereby enhancing the accuracy of the outcomes.
4.2. Performance Metrics and Datasets
We introduce three metrics that are widely employed to assess the efficacy of community detection algorithms and the network datasets utilized in our experiments.
(1) Performance Evaluation Metrics: Accuracy (AC) [55], or error rate, is the difference between the matrix of community members obtained by an algorithm and that in the real network. It is defined as
where U represents the community members obtained by an algorithm and denotes the actual community members. The Frobenius norm is utilized to quantify this difference. The AC is evaluated at each time step; a smaller AC indicates greater accuracy.
Normalized mutual information (NMI) [56] is employed to evaluate the accuracy of a detection model, and is suitable for static networks and those with ground truth values. In this paper, we compute the NMI at each time step. The similarity measure between the community partition obtained from our method and the true community structure is quantified as
where and are the respective entropy values of U and U’, which range between 0 and 1. The closer it is to 1, the closer the correlation is to the true result.
F-Score [56] is the harmonic mean of precision and recall. It ranges from 0 to 1, with higher values indicating better precision and recall. The F-Score between detected communities and real communities can be computed as
(2) Datasets: We evaluated the performance of TCDA-NE by conducting experiments on selected synthetic and real datasets of representative dynamic complex networks, then compared the results with existing community detection methods.
- Dataset 1: Dynamic-GN Synthetic NetworkThe GN network, introduced by Girvan et al. [57], is commonly employed for community detection in static networks, which typically consist of 128 or 256 nodes, four communities, and ten time steps. Lin et al. [25] proposed dynamic GN networks incorporating community evolution, where the vertices within each community are randomly reassigned to other communities in predefined proportions. Compared with other networks, the dynamic change of data between time steps is more stable. By changing the parameter settings, it is possible to obtain different dynamic networks for experiments.
- Dataset 2: Dynamic-LFR Synthetic NetworkTo enhance the resemblance to real-world scenarios, synthetic datasets were generated using a modified version of the Lancichinetti–Fortunato–Radicchi (LFR) model proposed by Greene et al. [58], which uses embedded ground truth communities to generate networks whose internal graphs have similar characteristics in which each graph has community members arranged in a specific way. To thoroughly evaluate the TCDA-NE method, the networks used in our experiments consisted of 1000 nodes over ten time steps, and various parameters were employed to generate distinct network instances. We set the fundamental parameters as follows: controlled the mixing parameter that governs the inter-community edge levels, ranging from 0.1 to 0.8; the probability of transitioning between nodes belonging to different communities was fixed at ; the number of communities was set to 36, with an average node degree of ; and the total number of time steps T was set to 10.
- Dataset 3: KIT-Email Real-World NetworkThe KIT-Email (https://i11www.iti.kit.edu/en/projects/spp1307/emaildata) dataset was constructed based on the contact network derived from email communication within the KIT Information Department. As detailed in Table 1, it comprises 27,887 messages from 1097 email accounts with average degree ranging from 10.10 to 23.72 across temporal snapshots. Each vertex represents an email sender/receiver, with edges denoting message exchanges. Temporal networks were constructed (see topological parameters in Table 1) using 2–6 month intervals, identifying 23–27 communities.
Table 1. Basic parameters of the KIT-Email dataset. - Dataset 4: Enron Real-World NetworkThe Enron email corpus (http://www.cs.cmu.edu/~enron/) contains 2001 communications categorized into 12 monthly periods (network statistics in Table 2). With 151 fixed nodes representing user accounts, Table 2 reveals significant monthly variation in edge density (346–1106 edges) and maximum degree (14–59). This dataset’s inclusion of erroneous data enables robust evaluation of community detection algorithms under real-world noise conditions.
Table 2. Basic parameters of the Enron dataset. - Dataset 5: Cell Real-World NetworkDerived from the VAST 2008 challenge (http://www.cs.umd.edu/hcil/VASTchallenge08/), this mobile network (parameters in Table 3) contains 400 nodes representing phones with 996–1060 edges across 10 daily time steps. As shown in Table 3, the network maintains stable size (400 nodes) while exhibiting dynamic clustering coefficients (0.0071–0.0239) and maximum degrees (24–35). Call records from June 2006 demonstrate temporal communication patterns through daily network snapshots.
Table 3. Basic parameters of the Cell dataset.
4.3. Sensitivity Analysis of Parameters
Parameter sensitivity is critical in machine learning models, as it directly impacts their performance and outcomes. To assess the parameter sensitivity of TCDA-NE, we conducted a series of experiments. For more realistic results, we utilized a dataset from the KIT real-world network. As outlined in Algorithm 1, variation of the parameters and in TCDA-NE influences community detection outcomes. We employed the NMI index to quantify the quality of the experimental results.
Figure 2 illustrates the average experimental outcomes of the TCDA-NE model across various time steps considering different parameter configurations. The color and shape in the figure indicate the NMI result of TCDA-NE at the corresponding time as varies continuously from 0 to 1. As a whole, the NMI value of the experimental results fluctuates within 0.06, indicating that TCDA-NE has weak sensitivity to parameters; thus, the time usually does not require tedious adjustment of the parameters. In addition, the NMI value of the experimental results increases with and . When is greater than 5, the experimental results show little change. In particular, when , , the model has better community detection results. When is chosen as 0, the latter term of the model is invalid, which is equivalent to ignoring the case of temporal smoothness. The noticeable decline in the experimental outcomes also signifies the validity of the model.
Figure 2.
Parameter sensitivity analysis.
4.4. Evaluation of Community Detection Performance
To assess the performance of our model, we conducted a comparative analysis with various baseline models on two categories of synthetic datasets as well as real-world temporal networks.
(1) Analysis of Synthetic Networks: On the Dynamic-GN dataset, we set the average degree to 20 or 21, the transfer rate to [0.1, 0.2, 0.2, 0.1, 0.3], and the network noise to over an average of 20 runs. In Figure 3, it can be seen that TCDA-NE, DCNMF, StaNMF, and DECS have the best performance in terms of the NMI metrics, scoring much higher than the other methods, with almost all of them close to 1. However, there are some time steps where the NMI metrics of StaNMF fluctuate, such as the sixth time step in Figure 3a,c and the fourth time step in Figure 3b, while our method suffers little effect because its temporal smoothing correlates adjacent time slices to some extent, eliminating the effect of separate time steps and making the results more robust. At the same time, our method always has a better initialization result than DCNMF.
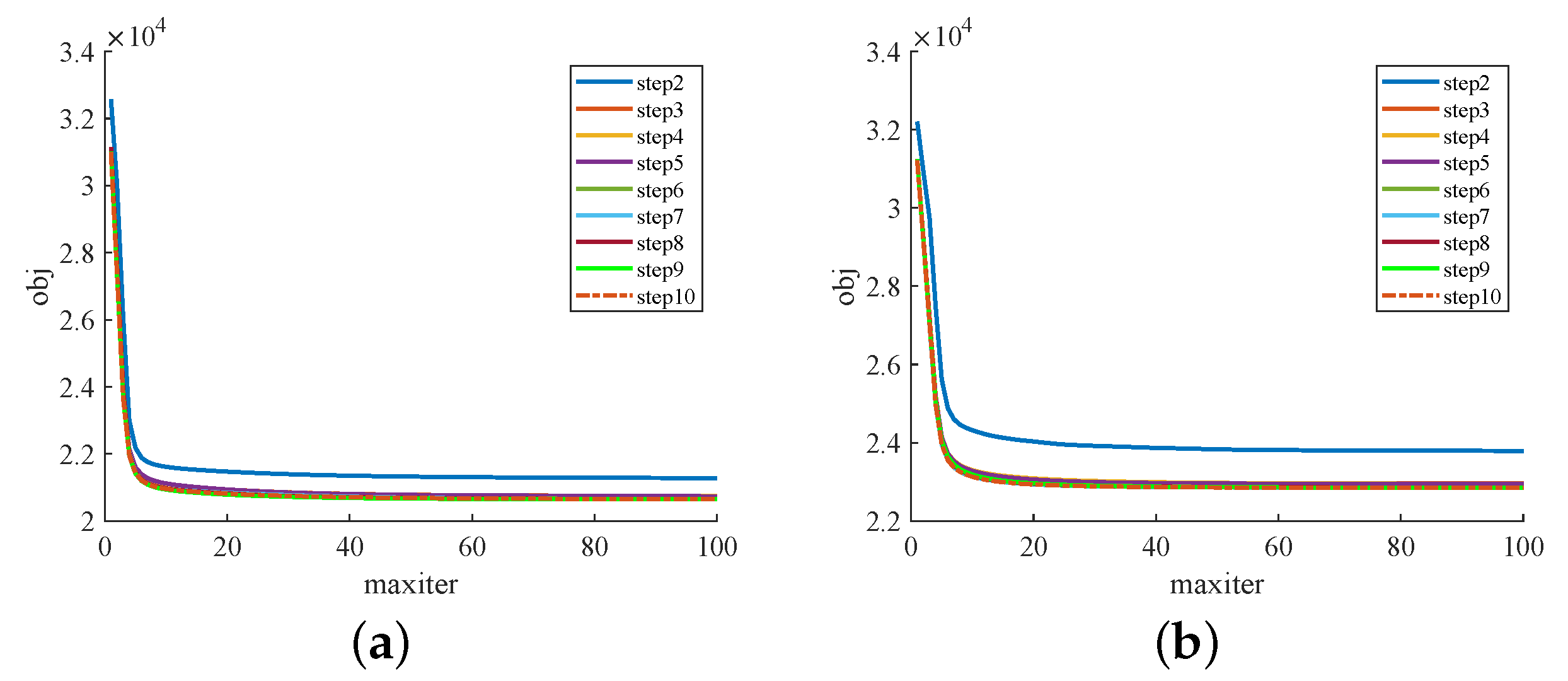
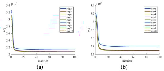
Figure 3.
(a–c) The average NMI result of the Dynamic-GN networks, where the horizontal axis is the time steps: a: z = 3, d = 21, nc = 10%; b: z = 4, c = 21, nc = 20%; c: z = 6, d = 21, nc = 20%. (d–f) The convergence behavior of the objective function on the corresponding dataset.
As can be seen from Figure 4, when the network structure becomes more complex over time, the performance of all methods becomes worse under the condition of high noise. However, for NMI results, TCDA-NE outperforms all other methods in almost all time steps. Compared with other NMF-based methods, the overall NMI of TCDA-NE is improved by 0.01–0.04.
Figure 4.
Average NMI result of Dynamic-GN networks: (a) z = 3, d = 20, nc = 10%; (b) z = 3, c = 20, nc = 30%.
To verify the convergence of the proposed framework, we employed gradient descent and analyzed the results, as shown in Figure 3d–f. Through 100 iterations, we observed that the algorithm consistently converged to a point. This behavior demonstrates that, assuming infinite iterations, the algorithm can ultimately reach the global optimal solution.
Figure 5 shows the results obtained from the temporal network generated using the LFR model, where the network consists of 1000 nodes and exhibits 36 embedded dynamic communities. The values of the parameters were set as and . Figure 5 shows that TCDA-NE outperforms the other methods. In the left part of Figure 5, the NMI values of the other models reach a maximum of 0.965, while TCDA-NE achieves values ranging from 0.968 to 0.97. In the right part of Figure 5, the performance of TCDA-NE is not outstanding at first, but the results continue to improve with increasing time. In the fifth to tenth time steps, the NMI results exhibit improvement by 0.01–0.04 compared to the maximum values achieved by other methods. It is noteworthy that the performance consistently excels across all time steps except for the initial one, where the accuracy is lower; this discrepancy can be attributed to the random initialization decomposition of the matrix, with significant improvements observed over time. The proposed model has a low error in most cases, and detects dynamic communities more accurately. These results show that TCDA-NE is more robust than the other methods. The proposed algorithm shows stable convergence, as illustrated in Figure 6.
Figure 5.
Average NMI and AC results on the Dynamic-LFR dataset. The parameters of the images are as follows: for this image on the left, average degree = 10, mixing parameter ; for the image on the right, average degree = 10, mixing parameter .
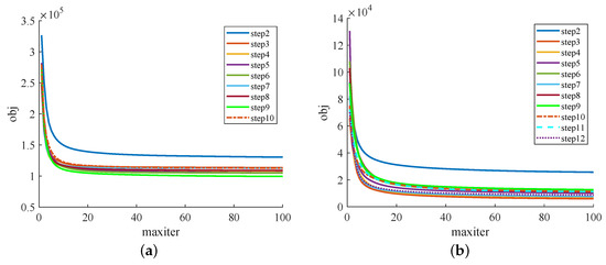
Figure 6.
Convergence result of objective function on Dynamic-LFR networks: (a) average degree = 10, ; (b) average degree = 10, .
(2) Analysis of Real-World Networks: We utilized the NMI, AC, and F-score to evaluate the performance of different methods on real-world networks. Figure 7 displays the results obtained from the four KIT-Email datasets. We selected KIT datasets with snapshot durations of 2, 3, 4, and 6 months. Based on the results of our analysis of the nodal degree similarity between consecutive time steps, the basic evolutionary clustering framework is more suitable for the KIT dataset. It can be seen that TCDA-NE performs best in most time steps of almost all datasets. For example, considering the NMI, TCDA-NE consistently has higher scores by a margin of 0.01–0.05. Similar improvements are observed for AC and F-score. TCDA-NE exhibits a notable enhancement compared to DCNMF, highlighting the effectiveness of the multidimensional approximation matrix on real-world networks.
Figure 7.
Average results of NMI, AC, and F-score on the KIT-Email dataset. Each column of images represents a separate dataset, with 2, 3, 4, and 6 months as a snapshot from left to right.
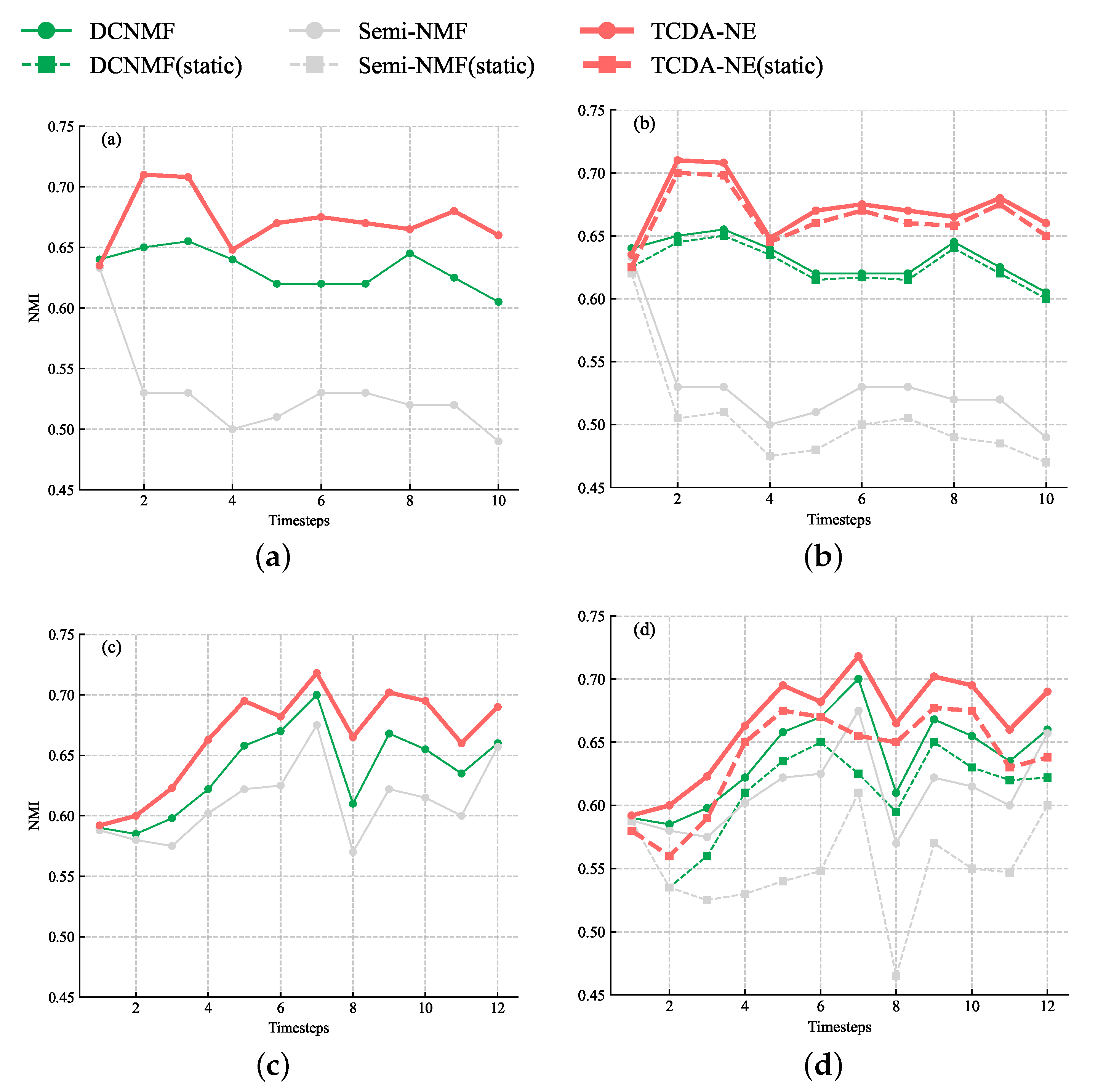
The above experiments demonstrated that NMF consistently outperforms the other methods. Therefore, we removed the temporal smoothness constraint for the three NMF methods in order to compare the performance of dynamic and static methods on the Enron and Cell datasets, using line types for dynamic methods and dotted types for static methods. In Figure 8, it can be seen that TCDA-NE outperforms Semi-NMF and DCNMF in terms of both static and dynamic performance. Notably, TCDA-NE consistently performs the best across all datasets, with the difference in NMI values compared to the other two methods ranging from 0.01 to 0.09. This improvement can be attributed to the accuracy of the NE component. Furthermore, the dynamic performance of all methods surpasses their static performance, with an overall increase of approximately 0.01, which can be attributed to time smoothness. We examined the convergence of TCDA-NE on the Cell and Enron datasets, as shown in Figure 9, where the objective function of the algorithm converges.
Figure 8.
Average NMI result: (a,b) Cell dataset; (c,d) Enron dataset.
Figure 9.
Convergence result of objective function: (a) Cell network; (b) Enron network.
4.5. Complexity Comparison
TCDA-NE is an iterative method based on the NMF principle; thus, the computational complexity of the model is influenced by that of the network. Networks with more communities, nodes, or edges tend to have longer running times. We conducted a comparative analysis of the computational complexity of the TCDA-NE algorithm. To ensure fairness and reproducible results, all experiments were performed on machines with 8 GB of memory and an Intel Core i5-9300H CPU. Figure 10 shows the runtimes of the different methods on the generated dataset with increasing numbers of nodes. The average degree of all datasets was fixed at 18, and the networks became increasingly sparse as the number of datasets increased. Notably, AFFECT exhibited faster performance on each dataset due to the shrinkage estimation employed in the fusion clustering algorithm. TCDA-NE is better than Facetnet and DYNMOGA with fewer than 512 nodes, after which TCDA-NE has a lower running time than other methods. This is because TCDA-NE must spend extra time on sparse network calculation in order to extract more information in the sparse network; hence, its advantages gradually decrease. An out of time (OOT) error of ECD and DECS occurs when there are 1024 nodes. Node data above the dotted line indicate that the trial time was too long, but did not affect the observation results. While TCDA-NE is still not fast enough on networks with a large number of nodes, this problem can be solved by neural network or parallel processing technology, which will be the object of our subsequent research.
Figure 10.
Comparison of running times on composite datasets with different numbers of nodes.
4.6. Ablation Study
Continuing from the previous examination of parameter sensitivity in the TCDA-NE model, it is imperative to delve deeper with an ablation study that provides further insights into the contributions of various components within the model to its overall effectiveness. The results of the ablation study can elucidate the importance of incorporating temporal dynamics and the interplay of different parameters in community detection tasks. In our ablation study, we systematically removed certain components of TCDA-NE to evaluate their individual impacts on the model’s performance. By analyzing the outcomes, we aimed to understand which elements are essential for maintaining the integrity and accuracy of community detection. For instance, we performed experiments with and without the temporal smoothness mechanism. The results indicate a significant drop in NMI scores when the temporal smoothness was omitted, reinforcing the notion that the incorporation of time-aware features enhances the model’s ability to capture evolving community structures. Moreover, we examined the influence of different embedding techniques utilized within TCDA-NE. By contrasting the outcomes of the model with embedding strategies such as and , we observed notable variances in community detection results. These findings suggest that the embedding technique can substantially affect the model’s performance, emphasizing the need for careful selection based on the specific characteristics of the dataset being analyzed. Additionally, we explored the robustness of TCDA-NE against noisy data. In real-world applications, networks often contain noise that can obscure true community structures. We introduced synthetic noise into our datasets and reassessed the performance of TCDA-NE. The model demonstrated a commendable level of resilience, maintaining relatively stable NMI scores even under adverse conditions. This robustness is a crucial attribute for any community detection model intended for real-world applications where data quality cannot always be guaranteed.
Table 4 provides valuable insights into the critical components of the TCDA-NE model and their impacts on performance across different datasets. The full TCDA-NE model achieved the highest NMI and F-score metrics across all three datasets, indicating the strong performance of the TCDA-NE model on community detection tasks. When removing the interaction terms, the NMI and F-score decreased by 0.02, 0.03, and 0.04 on the three datasets, respectively. This suggests that the interaction terms are an important component of the TCDA-NE model, contributing to its improved detection capability. When removing the temporal smoothness mechanism, the NMI and F-score saw more significant drops of 0.04, 0.07, and 0.08 on the three datasets. This highlights the importance of temporal features in dynamic community detection and underscores the advantage of TCDA-NE in leveraging temporal information. Overall, removing either of the interaction terms or the temporal smoothness mechanism resulted in performance degradation for the TCDA-NE model, indicating that these two components play crucial roles and are key factors contributing to the excellent performance of TCDA-NE.
Table 4.
Ablation study results (NMI scores).
5. Discussion and Conclusions
Temporal community detection and analysis have garnered significant attention in the field of complex networks due to their continuous evolution and advancement. Detecting community structures in dynamic networks plays a crucial role in predicting and analyzing future changes in their structure and functionality. In this paper, we have introduced the TCDA-NE method for temporal community detection, which uses evolutionary clustering to integrate the community structure of dynamic networks into network embedding. This approach effectively addresses data sparsity in complex networks and enables the learned nodes to preserve both the microstructure and community structure.
In our experiments, we compared the efficacy of TCDA-NE with several other dynamic community detection algorithms. TCDA-NE outperformed the other methods on both synthetic and real-world networks, demonstrating superior accuracy in community detection within temporal networks. By eliminating time smoothness constraints and leveraging the combination of NMF and evolutionary clustering, TCDA-NE exhibits a clear advantage over other NMF methods in terms of both static and dynamic performance.
The implications of these findings extend beyond mere performance metrics, offering significant avenues for future research. One potential direction is the exploration of hybrid models that leverage the strengths of TCDA-NE in combination with other state-of-the-art community detection algorithms. For example, integrating the temporal dimension of TCDA-NE with density-based approaches could provide a more holistic understanding of community evolution in dynamic networks. Additionally, we propose the development of adaptive algorithms capable of automatically tuning parameters such as and based on real-time data characteristics. Such advancements could minimize the need for manual tuning, thereby enhancing the applicability of TCDA-NE across diverse scenarios ranging from social network analysis to biological networks.
Furthermore, expanding TCDA-NE to accommodate large-scale networks and exploring its potential applications beyond social networks, for example in biological and financial systems, presents promising directions for future work. By continuously refining the model to adapt to the complexities of real-world data, we can significantly enhance the efficacy of community detection tasks, thereby contributing to the broader fields of machine learning and network analysis. As this research area progresses, it will be crucial to remain open to emerging methodologies that can complement our findings and push the boundaries of what is achievable in community detection for dynamic networks.
Author Contributions
Conceptualization, L.Y. and Y.K.; Methodology, L.Y., X.Z. and Y.K.; Software, X.Z. and Z.L.; Validation, L.Y.; Investigation, X.Z. and Y.K.; Resources, L.Y.; Writing—original draft, L.Y.; Writing—review & editing, L.Y., X.Z., Y.K., Z.L. and X.L.; Supervision, X.L. and C.L.; Project administration, X.L. and C.L. All authors have read and agreed to the published version of the manuscript.
Funding
This work was supported by Bingtuan Science and Technology Programs (2024AB080, 2023CB005, 2023ZD066, 2022CB002-08). The research was conducted at the National Security Research Institute, Shihezi University, China.
Data Availability Statement
The original contributions presented in this study are included in the article. Further inquiries can be directed to the corresponding authors.
Conflicts of Interest
The authors declare no conflicts of interest.
References
- Zhu, J.; Wei, D. Analysis of stock market based on visibility graph and structure entropy. Phys. Stat. Mech. Appl. 2021, 576, 126036. [Google Scholar] [CrossRef]
- Zhang, H.; Wang, C.D.; Lai, J.H.; Yu, P.S. Modularity in complex multilayer networks with multiple aspects: A static perspective. In Applied Informatics; SpringerOpen: Berlin/Heidelberg, Germay, 2017; Volume 4, pp. 1–29. [Google Scholar]
- Tran, D.T.; Iosifidis, A.; Kanniainen, J.; Gabbouj, M. Temporal attention-augmented bilinear network for financial time-series data analysis. IEEE Trans. Neural Netw. Learn. Syst. 2018, 30, 1407–1418. [Google Scholar] [CrossRef]
- Ye, F.; Chen, C.; Zheng, Z. Deep autoencoder-like nonnegative matrix factorization for community detection. In Proceedings of the 27th ACM International Conference on Information and Knowledge Management, Lingotto, Italy, 22–26 October 2018; pp. 1393–1402. [Google Scholar]
- Mucha, P.J.; Richardson, T.; Macon, K.; Porter, M.A.; Onnela, J.P. Community structure in time-dependent, multiscale, and multiplex networks. Science 2010, 328, 876–878. [Google Scholar] [CrossRef]
- Yang, T.; Chi, Y.; Zhu, S.; Gong, Y.; Jin, R. Detecting communities and their evolutions in dynamic social networks—A Bayesian approach. Mach. Learn. 2011, 82, 157–189. [Google Scholar] [CrossRef]
- Qiu, J.; Dong, Y.; Ma, H.; Li, J.; Wang, C.; Wang, K.; Tang, J. Netsmf: Large-scale network embedding as sparse matrix factorization. In The World Wide Web Conference; Association for Computing Machinery: New York, NY, USA, 2019; pp. 1509–1520. [Google Scholar]
- Wu, Z.; Pan, S.; Chen, F.; Long, G.; Zhang, C.; Philip, S.Y. A comprehensive survey on graph neural networks. IEEE Trans. Neural Netw. Learn. Syst. 2020, 32, 4–24. [Google Scholar] [CrossRef] [PubMed]
- Zhang, D.; Yin, J.; Zhu, X.; Zhang, C. Network representation learning: A survey. IEEE Trans. Big Data 2018, 6, 3–28. [Google Scholar] [CrossRef]
- Zhang, Z.; Cui, P.; Zhu, W. Deep learning on graphs: A survey. IEEE Trans. Knowl. Data Eng. 2020, 34, 249–270. [Google Scholar] [CrossRef]
- Guo, J.; Xu, L.; Liu, J. SPINE: Structural identity preserved inductive network embedding. arXiv 2018, arXiv:1802.03984. [Google Scholar]
- Liu, X.X.; Wang, K.; Wang, C.D.; Huang, L. Attention-based Multi-proximity Preserved Attributed Network Embedding. In Proceedings of the 2021 International Joint Conference on Neural Networks (IJCNN), Virtual, 18–22 July 2021; pp. 1–8. [Google Scholar]
- Zhu, Z.; Li, X.; Liu, K.; Li, Q. Dropping symmetry for fast symmetric nonnegative matrix factorization. Adv. Neural Inf. Process. Syst. 2018, 31, 1–11. [Google Scholar]
- Liang, N.; Yang, Z.; Li, Z.; Sun, W.; Xie, S. Multi-view clustering by non-negative matrix factorization with co-orthogonal constraints. Knowl.-Based Syst. 2020, 194, 105582. [Google Scholar] [CrossRef]
- Ortega-Martorell, S.; Lisboa, P.J.; Vellido, A.; Simões, R.V.; Pumarola, M.; Julià-Sapé, M.; Arús, C. Convex non-negative matrix factorization for brain tumor delimitation from MRSI data. PLoS ONE 2012, 7, e47824. [Google Scholar] [CrossRef]
- Li, G.; Zhang, X.; Zheng, S.; Li, D. Semi-supervised convex nonnegative matrix factorizations with graph regularized for image representation. Neurocomputing 2017, 237, 1–11. [Google Scholar] [CrossRef]
- Yang, Q.; Wei, W.; Zhang, R.; Pang, B.; Feng, X. Enhance Ambiguous Community Structure via Multi-strategy Community Related Link Prediction Method with Evolutionary Process. arXiv 2022, arXiv:2204.13301. [Google Scholar]
- Cha, J.; Kim, S.; Park, E. A lexicon-based approach to examine depression detection in social media: The case of Twitter and university community. Humanit. Soc. Sci. Commun. 2022, 9, 1–10. [Google Scholar] [CrossRef]
- Odhiambo, L.A.; Anaba, E.; Stephens, P.C.; Cheruvu, V.K.; Zullo, M.D. Community-Based Approach to Assess Obstructive Respiratory Diseases and Risk in Urban African American Churches. J. Immigr. Minor. Health 2023, 25, 389–397. [Google Scholar] [CrossRef] [PubMed]
- Bala, V.; Duesterwald, E.; Banerjia, S. Dynamo: A transparent dynamic optimization system. In Proceedings of the ACM SIGPLAN 2000 Conference on Programming Language Design and Implementation, Vancouver, BC, Canada, 18–21 June 2000; pp. 1–12. [Google Scholar]
- Traag, V.A.; Waltman, L.; Van Eck, N.J. From Louvain to Leiden: Guaranteeing well-connected communities. Sci. Rep. 2019, 9, 5233. [Google Scholar] [CrossRef] [PubMed]
- McGann, D.; Rogers, J.G., III; Kaess, M. Robust Incremental Smoothing and Mapping (riSAM). arXiv 2022, arXiv:2209.14359. [Google Scholar]
- Saini, R.; Mussbacher, G.; Guo, J.L.; Kienzle, J. Machine learning-based incremental learning in interactive domain modelling. In Proceedings of the 25th International Conference on Model Driven Engineering Languages and Systems, Montreal, QC, Canada, 16–21 October 2022; pp. 176–186. [Google Scholar]
- Li, J.; Wu, Q.; Li, L.; Sun, R.; Mu, H.; Zhao, K. Incremental clustering algorithm based on representative points and covariance for large data. Int. J. Simul. Process. Model. 2023, 20, 113–124. [Google Scholar] [CrossRef]
- Ma, X.; Dong, D. Evolutionary nonnegative matrix factorization algorithms for community detection in dynamic networks. IEEE Trans. Knowl. Data Eng. 2017, 29, 1045–1058. [Google Scholar] [CrossRef]
- Liu, F.; Wu, J.; Xue, S.; Zhou, C.; Yang, J.; Sheng, Q. Detecting the evolving community structure in dynamic social networks. World Wide Web 2020, 23, 715–733. [Google Scholar] [CrossRef]
- Yin, Y.; Zhao, Y.; Li, H.; Dong, X. Multi-objective evolutionary clustering for large-scale dynamic community detection. Inf. Sci. 2021, 549, 269–287. [Google Scholar] [CrossRef]
- Martinet, L.E.; Kramer, M.; Viles, W.; Perkins, L.; Spencer, E.; Chu, C.; Cash, S.; Kolaczyk, E. Robust dynamic community detection with applications to human brain functional networks. Nat. Commun. 2020, 11, 1–13. [Google Scholar] [CrossRef]
- Şapcı, A.O.; Lu, S.; Tastan, O.; Keleş, S. MuDCoD: Multi-Subject Community Detection in Personalized Dynamic Gene Networks from Single Cell RNA Sequencing. bioRxiv 2021, 39, btad592. [Google Scholar] [CrossRef]
- Choong, J.J.; Liu, X.; Murata, T. Variational approach for learning community structures. Complexity 2018, 2018, 4867304. [Google Scholar] [CrossRef]
- Sewell, D.K.; Chen, Y. Latent space approaches to community detection in dynamic networks. Bayesian Anal. 2017, 12, 351–377. [Google Scholar] [CrossRef]
- Passino, F.S.; Heard, N.A. Bayesian estimation of the latent dimension and communities in stochastic blockmodels. Stat. Comput. 2020, 30, 1291–1307. [Google Scholar] [CrossRef]
- Akcay, S.; Atapour-Abarghouei, A.; Breckon, T.P. Ganomaly: Semi-supervised anomaly detection via adversarial training. In Proceedings of the Asian Conference on Computer Vision, Perth, Australia, 2–6 December 2018; Springer: Berlin/Heidelberg, Germany, 2018; pp. 622–637. [Google Scholar]
- Rusanen, J.; Hietanen, M.; Sethi, A.; Rahkonen, T.; Pärssinen, A.; Aikio, J.P. Ka-Band stacked power amplifier on 22 nm CMOS FDSOI technology utilizing back-gate bias for linearity improvement. In Proceedings of the 2019 IEEE Nordic Circuits and Systems Conference (NORCAS): NORCHIP and International Symposium of System-on-Chip (SoC), Helsinki, Finland, 29–30 October 2019; pp. 1–4. [Google Scholar]
- Gu, X.; Chen, X.; Yang, M.; Du, Y.; Tang, M. Bi-DNE: Bilayer evolutionary pattern preserved embedding for dynamic networks. Complex Intell. Syst. 2024, 10, 3763–3788. [Google Scholar] [CrossRef]
- Schaub, M.T.; Segarra, S.; Tsitsiklis, J.N. Blind identification of stochastic block models from dynamical observations. SIAM J. Math. Data Sci. 2020, 2, 335–367. [Google Scholar] [CrossRef]
- Junuthula, R.; Haghdan, M.; Xu, K.S.; Devabhaktuni, V. The block point process model for continuous-time event-based dynamic networks. In Proceedings of the The World Wide Web Conference, San Francisco, CA, USA, 13–17 May 2019; pp. 829–839. [Google Scholar]
- Jing, B.Y.; Li, T.; Lyu, Z.; Xia, D. Community detection on mixture multilayer networks via regularized tensor decomposition. Ann. Stat. 2021, 49, 3181–3205. [Google Scholar] [CrossRef]
- Cao, S.; Lu, W.; Xu, Q. Grarep: Learning graph representations with global structural information. In Proceedings of the 24th ACM International on Conference on Information and Knowledge Management, Melbourne, Australia, 19–23 October 2015; pp. 891–900. [Google Scholar]
- Yang, Y.; Ning, N.; Zhang, Y.; Wu, B. Community preserving node embedding based on seed-expansion sampling. In Proceedings of the 2019 IEEE Fourth International Conference on Data Science in Cyberspace (DSC), Hangzhou, China, 23–25 June 2019; pp. 459–465. [Google Scholar]
- Duan, Z.; Sun, X.; Zhao, S.; Chen, J.; Zhang, Y.; Tang, J. Hierarchical community structure preserving approach for network embedding. Inf. Sci. 2021, 546, 1084–1096. [Google Scholar] [CrossRef]
- Jiao, P.; Li, T.; Wu, H.; Wang, C.D.; He, D.; Wang, W. HB-DSBM: Modeling the Dynamic Complex Networks From Community Level to Node Level. IEEE Trans. Neural Netw. Learn. Syst. 2022, 34, 8310–8323. [Google Scholar] [CrossRef] [PubMed]
- Tian, Q.; Pan, L.; Zhang, W.; Li, T.; Wu, H.; Jiao, P.; Wang, W. Lower order information preserved network embedding based on non-negative matrix decomposition. Inf. Sci. 2021, 572, 43–56. [Google Scholar] [CrossRef]
- Kwak, G.H.; Park, C.w.; Lee, K.d.; Na, S.i.; Ahn, H.y.; Park, N.W. Potential of hybrid CNN-RF model for early crop mapping with limited input data. Remote Sens. 2021, 13, 1629. [Google Scholar] [CrossRef]
- Wu, Y.; Jiang, M.; Lei, J.; Xu, H. Named entity recognition in Chinese clinical text using deep neural network. Stud. Health Technol. Informatics 2015, 216, 624. [Google Scholar]
- Shen, X.; Dai, Q.; Mao, S.; Chung, F.l.; Choi, K.S. Network together: Node classification via cross-network deep network embedding. IEEE Trans. Neural Netw. Learn. Syst. 2020, 32, 1935–1948. [Google Scholar] [CrossRef] [PubMed]
- Kan, S.; Cen, Y.; Li, Y.; Vladimir, M.; He, Z. Local Semantic Correlation Modeling Over Graph Neural Networks for Deep Feature Embedding and Image Retrieval. IEEE Trans. Image Process. 2022, 31, 2988–3003. [Google Scholar] [CrossRef]
- Kojaku, S.; Radicchi, F.; Ahn, Y.Y.; Fortunato, S. Network community detection via neural embeddings. Nat. Commun. 2024, 15, 9446. [Google Scholar] [CrossRef] [PubMed]
- Blackman, L.; Venn, C. Affect. Body Soc. 2010, 16, 7–28. [Google Scholar] [CrossRef]
- Xu, X.; Gu, R.; Dai, F.; Qi, L.; Wan, S. Multi-objective computation offloading for internet of vehicles in cloud-edge computing. Wirel. Netw. 2020, 26, 1611–1629. [Google Scholar] [CrossRef]
- Li, Y.; Chen, J.; Chen, C.; Yang, L.; Zheng, Z. Contrastive deep nonnegative matrix factorization for community detection. In Proceedings of the ICASSP 2024-2024 IEEE International Conference on Acoustics, Speech and Signal Processing (ICASSP), Seoul, Korea, 14–19 April 2024; pp. 6725–6729. [Google Scholar]
- Gmati, H.; Mouakher, A.; Gonzalez-Pardo, A.; Camacho, D. A new algorithm for communities detection in social networks with node attributes. J. Ambient. Intell. Humaniz. Comput. 2024, 15, 1779–1791. [Google Scholar] [CrossRef]
- Wu, S.; Joseph, A.; Hammonds, A.S.; Celniker, S.E.; Yu, B.; Frise, E. Stability-driven nonnegative matrix factorization to interpret spatial gene expression and build local gene networks. Proc. Natl. Acad. Sci. USA 2016, 113, 4290–4295. [Google Scholar] [CrossRef]
- Peng, S.; Yang, Z.; Ling, B.W.K.; Chen, B.; Lin, Z. Dual semi-supervised convex nonnegative matrix factorization for data representation. Inf. Sci. 2022, 585, 571–593. [Google Scholar] [CrossRef]
- Lin, Y.R.; Chi, Y.; Zhu, S.; Sundaram, H.; Tseng, B.L. Analyzing communities and their evolutions in dynamic social networks. ACM Trans. Knowl. Discov. Data (TKDD) 2009, 3, 1–31. [Google Scholar] [CrossRef]
- Jing, L.; Ng, M.K.; Huang, J.Z. An entropy weighting k-means algorithm for subspace clustering of high-dimensional sparse data. IEEE Trans. Knowl. Data Eng. 2007, 19, 1026–1041. [Google Scholar] [CrossRef]
- Girvan, M.; Newman, M.E. Community structure in social and biological networks. Proc. Natl. Acad. Sci. USA 2002, 99, 7821–7826. [Google Scholar] [CrossRef] [PubMed]
- Greene, D.; Doyle, D.; Cunningham, P. Tracking the evolution of communities in dynamic social networks. In Proceedings of the 2010 International Conference on Advances in Social Networks Analysis and Mining, Odense, Denmark, 9–11 August 2010; pp. 176–183. [Google Scholar]
Disclaimer/Publisher’s Note: The statements, opinions and data contained in all publications are solely those of the individual author(s) and contributor(s) and not of MDPI and/or the editor(s). MDPI and/or the editor(s) disclaim responsibility for any injury to people or property resulting from any ideas, methods, instructions or products referred to in the content. |
© 2025 by the authors. Licensee MDPI, Basel, Switzerland. This article is an open access article distributed under the terms and conditions of the Creative Commons Attribution (CC BY) license (https://creativecommons.org/licenses/by/4.0/).










