On Bregman Asymptotically Quasi-Nonexpansive Mappings and Generalized Variational-like Systems
Abstract
1. Introduction
2. Preliminaries
- (L1)
- The interior of its domain is nonempty (), h is Gâteaux differentiable on , and ;
- (L2)
- The interior of the domain of its conjugate is nonempty (), is Gâteaux differentiable on , and .
- (P1)
- h is Legendre if and only if is Legendre;
- (P2)
- The subdifferential inverse satisfies ;
- (P3)
- The gradients are inverses: , with and ;
- (P4)
- Both h and are strictly convex on and , respectively.
- (1)
- Suppose and on Then, on where . Hence, h and are Legendre.
- (2)
- Halved energy: is Legendre on
- (3)
- Suppose and on . Then, on where . Hence, h is Legendre, whereas is not.
- (4)
- De Pierro and Iusem: Suppose
- (B1)
- Two-point identity:
- (B2)
- Three-point identity:
- (B3)
- Four-point identity:
- (D1)
- A point is an asymptotic fixed point of if there exists a sequence such that and . The set of all asymptotic fixed points is denoted by .
- (D2)
- The mapping is Bregman quasi-nonexpansive (BQNE) if and
- (D3)
- (D4)
- The mapping is Bregman relatively nonexpansive (BRNE) if and
- (D5)
- The mapping is Bregman firmly nonexpansive (BFNE) if, for all ,or, equivalently,
- (D6)
- The mapping is asymptotically regular on Q if, for every bounded subset ,
- (i)
- If E is a smooth Banach space and for all then the Bregman projection is reduced to the generalized projection (see [39]), which is defined bywhere the Lyapunov function is given by for all , and denotes the normalized duality mapping.
- (ii)
- When E is a Hilbert space and for all , the Bregman projection coincides with the standard metric projection of s onto Q.
- (i)
- Totally convex at a point if its modulus of total convexity at p, defined as the function withis positive for every .
- (ii)
- Totally convex if it is totally convex at every point .
- (iii)
- Totally convex on bounded sets if, for any bounded set , the function defined byis positive for each .
- (i)
- Coercive if it satisfies the growth condition:
- (ii)
- Sequentially consistent if, for any sequences with bounded, the following implication holds:
- (i)
- h is sequentially consistent;
- (ii)
- h is totally convex on bounded sets.
- (i)
- ;
- (ii)
- (i)
- s is the Bregman projection of p onto Q; i.e., ;
- (ii)
- s uniquely satisfies the variational inequality
- (iii)
- s uniquely satisfies the inequality
3. Existence of Solutions and Resolvent Operator
- (i)
- Skew-symmetry property:
- (ii)
- Convexity in the second argument: For each fixed , the function is convex;
- (iii)
- Continuity: is continuous on .
- (i)
- For fixed , the mapping is hemicontinuous;
- (ii)
- For fixed , the mapping is convex and lower semicontinuous;
- (iii)
- satisfies the skew-symmetry condition: ;
- (iv)
- is generalized relaxed α-monotone: for any and ,where satisfies
- (v)
- For fixed , the function is lower semicontinuous.
- (i)
- is single-valued;
- (ii)
- is Bregman firmly nonexpansive, satisfying
- (iii)
- The fixed-point set is closed and convex;
- (iv)
- For all , the following inequality holds:
- (v)
- is Bregman quasi-nonexpansive.
4. Main Results
| Algorithm 1: Iterative scheme |
Initializataion. Choose , and for each . Pick arbitrary . Set . Step 1. Calculate Step 2. Find such that Step 3. Evaluate , where Step 3. Increase n to and go back to Step 1. |
5. Consequences
| Algorithm 2: Iterative scheme. |
Initializataion. Choose , such that, for each . Pick arbitrary . Set . Step 1. Calculate Step 2. Find such that Step 3. Evaluate , where Step 3. Increase n to and go back to Step 1. |
| Algorithm 3: Iterative scheme. |
Initializataion. Choose , and for each . Pick arbitrary . Set . Step 1. Calculate Step 2. Find such that Step 3. Evaluate where Step 3. Increase n to and go back to Step 1. |
| Algorithm 4: Iterative scheme. |
Initializataion. Choose , and for each . Pick arbitrary . Set . Step 1. Calculate Step 2. Evaluate , where Step 3. Increase n to and go back to Step 1. |
6. Application
| Algorithm 5: Iterative scheme. |
Initializataion. Choose , and for each . Pick arbitrary . Set . Step 1. Calculate Step 2. Find such that Step 3. Evaluate , where Step 3. Increase n to and go back to Step 1. |
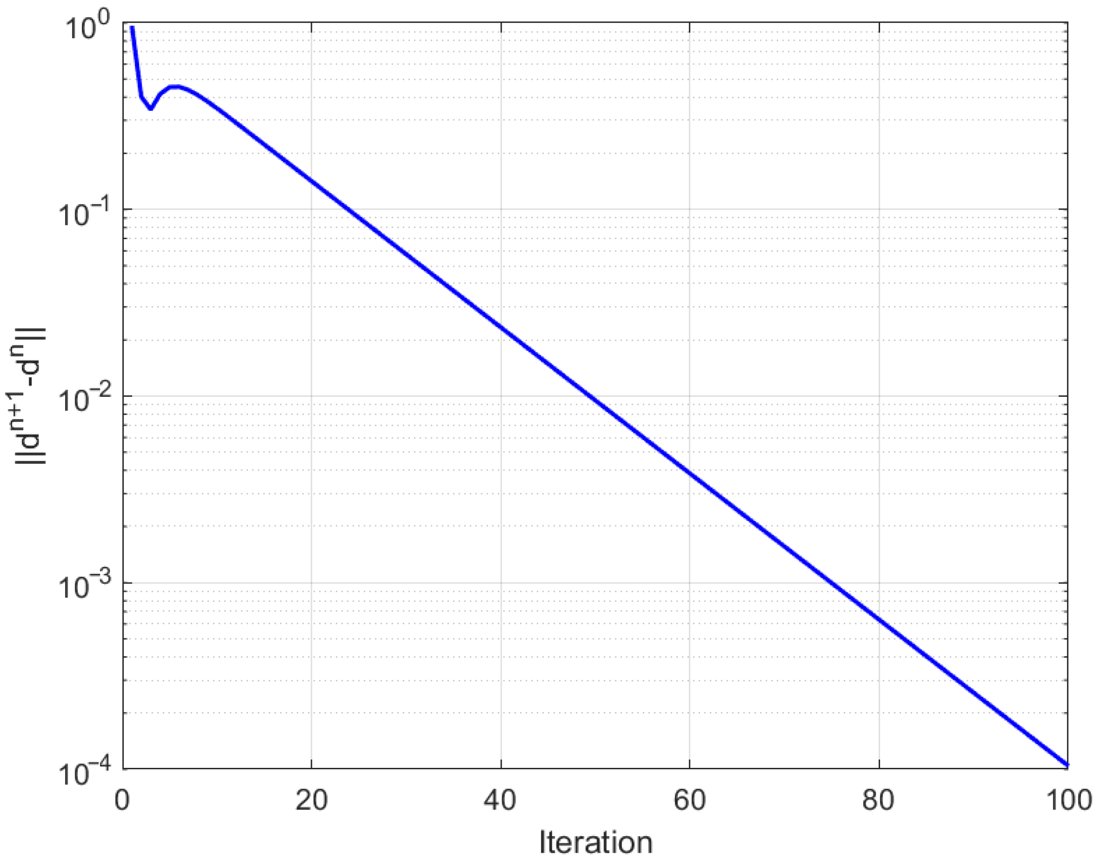
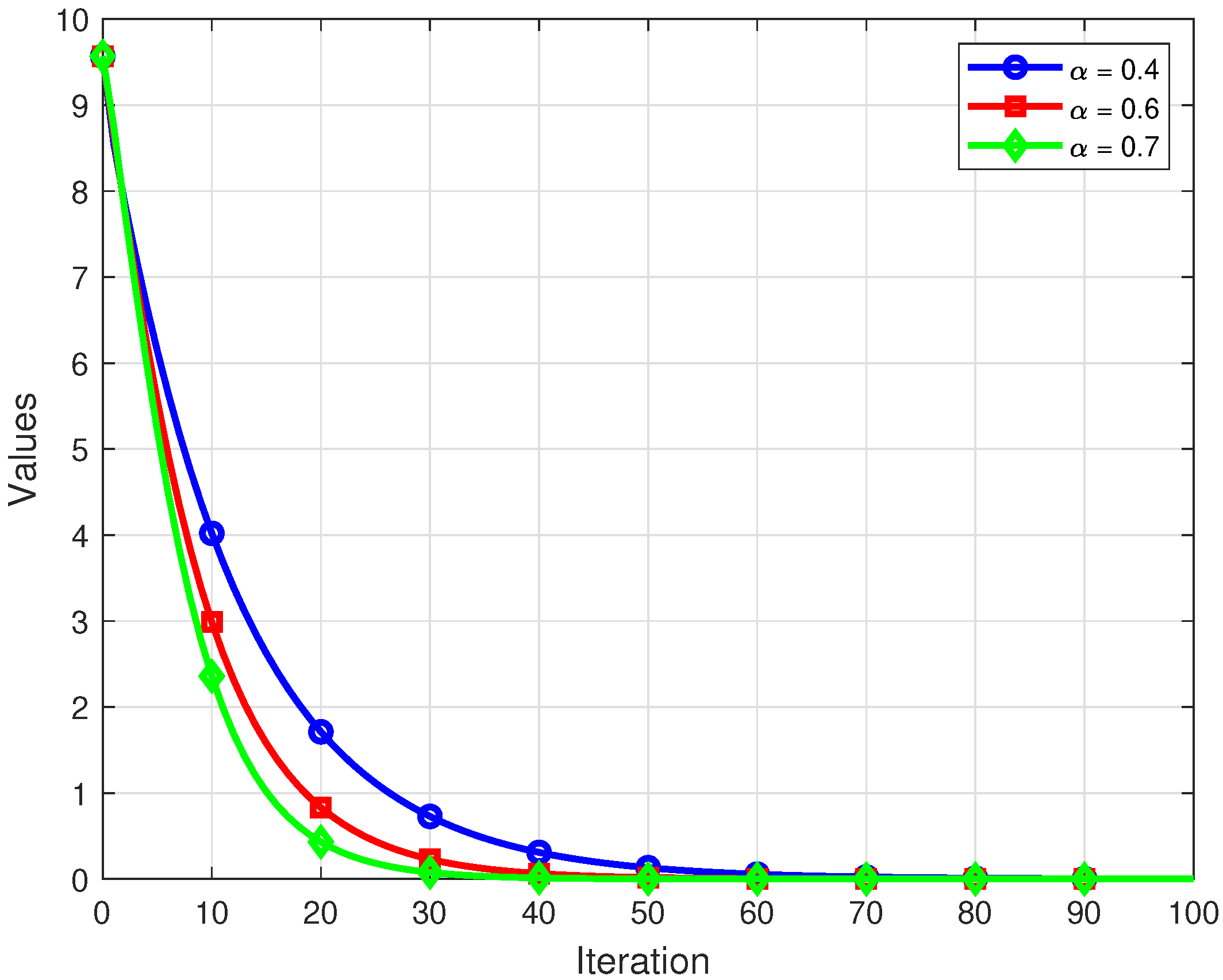
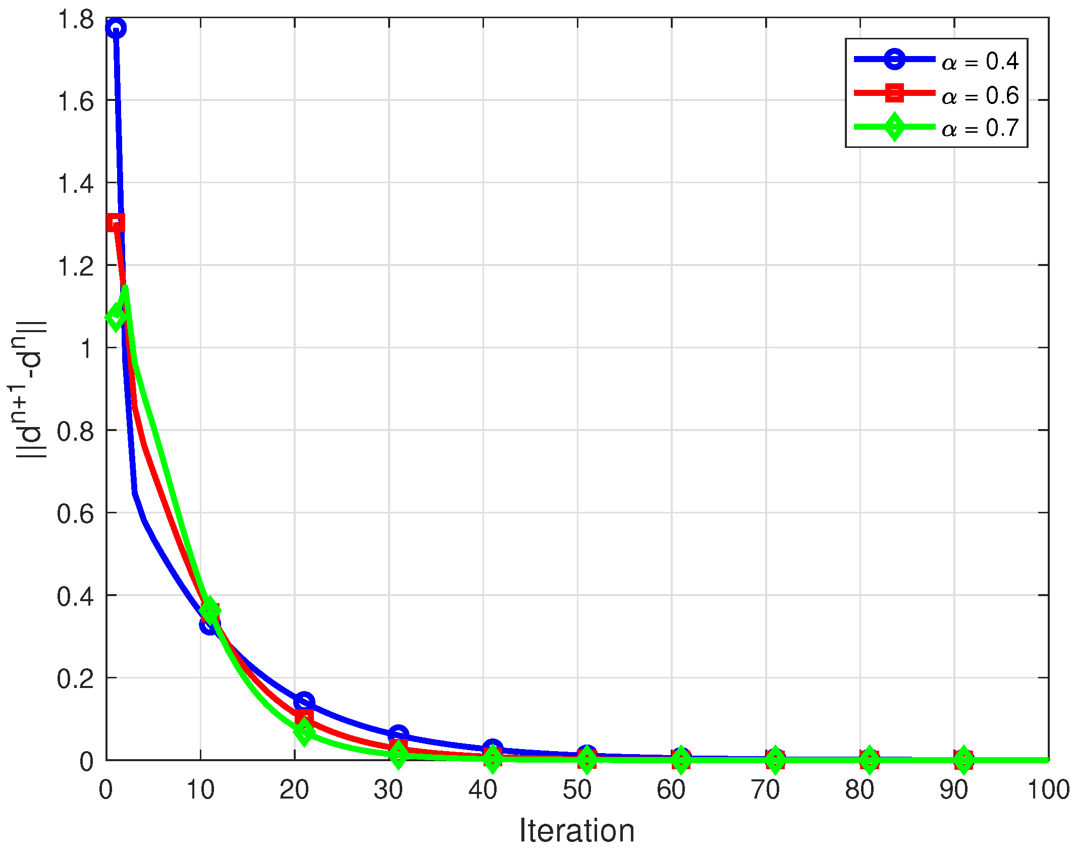
7. Numerical Example
Algorithm Comparison Summary
8. Conclusions
- (i)
- (ii)
- In [41], the authors proved a strong convergence theorem for a Bregman relatively nonexpansive mapping in a reflexive banach space, whereas, in our Theorem 1, a strong convergence theorem is proved for a Bregman asymptotically quasi-nonexpansive mapping in the intermediate sense.
- (iii)
- Our result generalizes [3] by proving a strong convergence theorem for Bregman asymptotically quasi-nonexpansive mappings in the intermediate sense in reflexive Banach spaces, extending the earlier result on asymptotically quasi--nonexpansive mappings in 2-uniformly convex and uniformly smooth spaces.
- (iv)
- In our results, we need only the generalized relaxed--monotonicity assumption, which is weaker than monotonicity.
- (v)
- Theorems 1 and 2 generalize Theorem 1 of [3] by considering duality mappings induced by the Legendre function that are strongly coercive, uniformly Fréchet differentiable, and totally convex.
- (vi)
- In [28,29], the author considered the fixed-point problem for a Bregman asymptotically quasi-nonexpansive mapping in the intermediate sense, while, in this paper, a system of unrelated generalized mixed variational-like inequality problems and the common fixed point of a Bregman asymptotically quasi-nonexpansive mapping in the intermediate sense are considered.
- (vii)
Author Contributions
Funding
Data Availability Statement
Conflicts of Interest
Appendix A. MATLAB-Style Pseudocode
| Listing A1. MATLAB skeleton of Algorithm 5. |
|
function [d_hist, info] = alg1_bregman_resolvent(problem, params) % Inertial Bregman--Resolvent algorithm (E \cong \mathbb{R}^m) grad_h = problem.grad_h; grad_hstar = problem.grad_hstar; D_h = problem.D_h; Delta = problem.Delta; N = params.N; d_prev = params.dminus1; d_curr = params.d0; for n = 0:params.maxIter-1 theta_n = get_param(params.theta_seq,n); w = d_curr + theta_n * (d_curr - d_prev); % --- Step 1 --- for idx = 1:numel(Delta) i = Delta{idx}; delta_i = get_param(params.delta_seq{i},n); alpha_i = get_param(params.alpha_seq{i},n); dual_sum = alpha_i(1)*grad_h(w); for j = 1:N Tij = problem.Tijs{idx}{j}; dual_sum = dual_sum + alpha_i(j+1)*grad_h(Tij(w)); end z_i = grad_hstar(dual_sum); y_i = grad_hstar(delta_i*grad_h(w)+(1-delta_i)*grad_h(z_i)); Y{idx}=y_i; W=w; end % --- Step 2 --- for idx = 1:numel(Delta) y_i = Y{idx}; u_i = problem.resolvent_solver{idx}(y_i,problem.Qi{idx},... problem.Hi{idx},problem.fi{idx},grad_h,grad_hstar); U{idx}=u_i; end % --- Step 3 --- nonlcon=@(z)build_nonlcon(z,problem,U,W,d_curr,params); obj=@(z)D_h(z,params.d0); opts=optimoptions(’fmincon’,’Display’,’off’,’Algorithm’,’sqp’); [d_next,~]=fmincon(obj,d_curr,[],[],[],[],[],[],nonlcon,opts); d_hist(:,n+2)=d_next; if norm(d_next-d_curr)<params.tol info.converged=true; info.iter=n; break; end d_prev=d_curr; d_curr=d_next; end end |
References
- Djafari-Rouhani, B.; Kazmi, K.R.; Rizvi, S.H. A hybrid-extragradient-convex approximation method for a system of unrelated mixed equilibrium problems. Trans. Math. Program. Appl. 2013, 8, 82–95. [Google Scholar]
- Kazmi, K.R.; Ali, R. Hybrid projection method for a system of unrelated generalized mixed variational-like inequality problems. Georgian Math. J. 2019, 26, 63–78. [Google Scholar] [CrossRef]
- Farid, M.; Cholamjiak, W.; Ali, R.; Kazmi, K.R. A new shrinking projection algorithm for a generalized mixed variational-like inequality problem and asymptotically quasi-ϕ-nonexpansive mapping in a Banach space. RACSAM 2021, 115, 114. [Google Scholar] [CrossRef]
- Preda, V.; Beldiman, M.; Batatoresou, A. On variational-like inequalities with generalized monotone mappings. In Generalized Convexity and Related Topics, Lecture Notes in Economics and Mathematical Systems; Springer: Berlin/Heidelberg, Germany, 2006; Volume 583, pp. 415–431. [Google Scholar]
- Mahato, N.K.; Nahak, C. Hybrid projection methods for the general variational-like inequality problems. J. Adv. Math. Stud. 2013, 6, 143–158. [Google Scholar]
- Parida, J.; Sahoo, M.; Kumar, A. A variational-like inequality problem. Bull. Aust. Math. Soc. 1989, 39, 225–231. [Google Scholar] [CrossRef]
- Hartman, P.; Stampacchia, G. On some non-linear elliptic differential-functional equation. Acta Math. 1966, 115, 271–310. [Google Scholar] [CrossRef]
- Blum, E.; Oettli, W. From optimization and variational inequalities to equilibrium problems. Math. Stud. 1994, 63, 123–145. [Google Scholar]
- Mahato, N.K.; Noor, M.A.; Sahu, N.K. Existence results for trifunction equilibrium problems and fixed point problems. Anal. Math. Phy. 2019, 9, 323–347. [Google Scholar] [CrossRef]
- Moudafi, A. Second order differential proximal methods for equilibrium problems. J. Inequalities Pure Appl. Math. 2003, 4, 18. [Google Scholar]
- Takahashi, W.; Takeuchi, Y.; Kubota, R. Strong convergence theorems by hybrid methods for families of nonexpansive mappings in Hilbert spaces. J. Math. Anal. Appl. 2008, 341, 276–286. [Google Scholar] [CrossRef]
- Schu, J. Weak and strong convergence to fixed point of asymptotically nonexpansive mapping. Bull. Aust. Math. Soc. 1991, 43, 153–159. [Google Scholar] [CrossRef]
- Inchan, I. Strong convergence theorems of modified Mann iteration methods for asymptotically nonexpansive mappings in Hilbert spaces. Int. J. Math. Anal. 2008, 2, 1135–1145. [Google Scholar]
- Qin, X.L.; Wang, L. On asymptotically quasi-ϕ-nonexpansive mappings in the intermediate sense. Abstr. Appl. Anal. 2012, 2012, 636217. [Google Scholar] [CrossRef]
- Kazmi, K.R.; Ali, R. Common solution to an equilibrium problem and a fixed point problem for an asymptotically quasi-ϕ-nonexpansive mapping in intermediate sense. RACSAM 2017, 111, 877–889. [Google Scholar] [CrossRef]
- Ceng, L.C.; Petrusel, A.; Yao, J.C.; Yao, Y. Hybrid viscosity extragradient method for systems of variational inequalities, fixed Points of nonexpansive mappings, zero points of accretive operators in Banach spaces. Fixed Point Theory 2018, 19, 487–502. [Google Scholar] [CrossRef]
- Ceng, L.C.; Petrusel, A.; Yao, J.C.; Yao, Y. Systems of variational inequalities with hierarchical variational inequality constraints for Lipschitzian pseudocontractions. Fixed Point Theory 2019, 20, 113–133. [Google Scholar] [CrossRef]
- Bregman, L.M. The relaxation method of finding the common point of convex sets and its application to the solution of problems in convex programming. USSR Comput. Math. Phys. 1967, 7, 200–217. [Google Scholar] [CrossRef]
- Bauschke, H.H.; Borwein, J.M.; Combettes, P.I. Essential smoothness, essential strict convexity, and Legendre function in Banach spaces. Comm. Contemp. Math. 2001, 3, 615–647. [Google Scholar] [CrossRef]
- Butnairu, D.; Iusem, A.N. Totally Convex Functions for Fixed Points Computation and Infinite Dimensional Optimization. Applied Optimization; Kluwer Academic: Dordrecht, The Netherlands, 2000; Volume 40. [Google Scholar]
- Reich, S.; Sabach, S. Two strong convergence theorems for a proximal method in reflexive Banach spaces. Numer. Funct. Anal. Optim. 2010, 31, 22–44. [Google Scholar] [CrossRef]
- Agarwal, R.P.; Chen, J.W.; Cho, Y.J. Strong convergence theorems for equilibrium problems and weak Bregman relatively nonexpansive mappings in Banach spaces. J. Ineq. Appl. 2013, 2013, 119. [Google Scholar] [CrossRef]
- Chen, J.W.; Wan, Z.P.; Yuan, L.Y.; Zheng, Y. Approximation of fixed points of weak Bregman relatively nonexpansive mappings in Banach spaces. Int. J. Math. Math. Sci. 2011, 2011, 420192. [Google Scholar] [CrossRef]
- Reich, S.; Sabach, S. Two strong convergence theorems for Bregman strongly nonexpansive operators in reflexive Banach spaces. Nonlinear Anal. 2010, 73, 122–135. [Google Scholar] [CrossRef]
- Suantai, S.; Cho, Y.J.; Cholamjiak, P. Halpern’s iteration for Bregman strongly nanexpansive mappings in reflexive Banach space. Comput. Math. Appl. 2012, 64, 489–499. [Google Scholar] [CrossRef]
- Reich, S. A weak convergence theorem for the alternating method with Bregman distances. In Theory and Applications of Nonlinear Operators; Marcel Dekker: New York, NY, USA, 1996; pp. 313–318. [Google Scholar]
- Reich, S.; Sabach, S. A projection method for solving nonlinear problems in reflexive Banch spaces. J. Fixed Point Theory Appl. 2011, 9, 101–116. [Google Scholar] [CrossRef]
- Tomizawa, Y. A strong convergence theorem for Bregman asymptotically quasi-nonexpansive mappings in the intermediate sense. J. Fixed Point Theory Appl. 2014, 2014, 154. [Google Scholar] [CrossRef]
- Tomizawa, Y. Asymptotically quasi-nonexpansive mappings with respect to Bregman distance in the intermediate sense. Fixed Point Theory 2017, 18, 391–406. [Google Scholar] [CrossRef]
- Maingé, P.E. Convergence theorem for inertial KM-type algorithms. J. Comput. Appl. Math. 2008, 219, 223–236. [Google Scholar] [CrossRef]
- Bot, R.I.; Csetnek, E.R.; Hendrich, C. Inertial Douglas-Rachford splitting for monotone inclusion problems. Appl. Math. Comput. 2015, 256, 472–487. [Google Scholar]
- Dong, Q.L.; Yuan, H.B.; Cho, Y.J.; Rassias, T.M. Modified inertial Mann algorithm and inertial CQ-algorithm for nonexpansive mappings. Optim. Lett. 2018, 12, 87–102. [Google Scholar] [CrossRef]
- Dong, Q.L.; Kazmi, K.R.; Ali, R.; Li, X.H. Inertial Krasnoseski-Mann type hybrid algorithms for solving hierarchical fixed point problems. J. Fixed Point Theory Appl. 2019, 21, 57. [Google Scholar] [CrossRef]
- Khan, S.A.; Suantai, S.; Cholamjiak, W. Shrinking projection methods involving inertial forward-backward splitting methods for inclusion problems. RACSAM 2019, 113, 645–656. [Google Scholar] [CrossRef]
- Liu, L.; Cho, S.Y.; Yao, J.C. Convergence analysis of an inertial Tseng’s extragradient algorithm for solving pseudomonotone variational inequalities and applications. J. Nonlinear Var. Anal. 2021, 5, 627–644. [Google Scholar] [CrossRef]
- Tian, M.; Xu, G. Inertial modified Tseng’s extragradient algorithms for solving monotone variational inequalities and fixed point problems. J. Nonlinear Funct. Anal. 2020, 2020, 35. [Google Scholar] [CrossRef]
- Alansari, M.; Ali, R.; Farid, M. Strong convergence of an inertial iterative algorithm for variational inequality problem, generalized equilibrium problem, and fixed point problem in a Banach space. J. Ineq. Appl. 2020, 2020, 42. [Google Scholar] [CrossRef]
- Kassay, G.; Reich, S.; Sabach, S. Iterative methods for solving systems of variational inequalities in reflexive Banach spaces. SIAM J. Optim. 2011, 21, 1319–1344. [Google Scholar] [CrossRef]
- Alber, Y.I. Metric and generalized projection operators in Banach spaces: Properties and applications. In Theory and Applications of Nonlinear Operators of Accretive and Monotone Type; Dekker: New York, NY, USA, 1996; pp. 15–50. [Google Scholar]
- Butnairu, D.; Resmerita, E. Bregman distances, totally convex functions, and a method for solving operator equations in Banach spaces. Abstr. Appl. Anal. 2006, 2006, 84919. [Google Scholar] [CrossRef]
- Aldosary, S.F.; Cholamjiak, W.; Ali, R.; Farid, M. Strong Convergence of an Inertial Iterative Algorithm for Generalized Mixed Variational-like Inequality Problem and Bregman Relatively Nonexpansive Mapping in Reflexive Banach Space. J. Math. 2021, 2021, 9421449. [Google Scholar] [CrossRef]







| Aspect | Dong et al. [33] (Theorem 3.1) | This Paper/Result |
|---|---|---|
| Ambient space | Real Hilbert space H | Real Banach space E with Legendre function h |
| Problem class | Hierarchical fixed point/VIP | SUGMVLIP: mixed variational-like systems + fixed points |
| Operators | Nonexpansive mappings () | (bifunctions) and families |
| Distance/geometry | Euclidean norm; metric projection | Bregman distance ; Bregman projection |
| Resolvent | Not required (or standard monotone resolvent) | Explicit resolvent per iteration |
| Convergence target | Strong convergence to | Strong convergence to |
| Computation | Metric projections | Bregman projections/resolvent solves |
| Relation | Special case when and | Generalizes Dong et al.’s result (reduces to it) |
| Error | Proposed | Dong et al. [33] | Speed-Up (%) |
|---|---|---|---|
| 5 | 12 | 58 | |
| 9 | 20 | 55 | |
| 18 | 40 | 55 | |
| 25 | 60 | 58 |
Disclaimer/Publisher’s Note: The statements, opinions and data contained in all publications are solely those of the individual author(s) and contributor(s) and not of MDPI and/or the editor(s). MDPI and/or the editor(s) disclaim responsibility for any injury to people or property resulting from any ideas, methods, instructions or products referred to in the content. |
© 2025 by the authors. Licensee MDPI, Basel, Switzerland. This article is an open access article distributed under the terms and conditions of the Creative Commons Attribution (CC BY) license (https://creativecommons.org/licenses/by/4.0/).
Share and Cite
AlNemer, G.; Ali, R.; Farid, M. On Bregman Asymptotically Quasi-Nonexpansive Mappings and Generalized Variational-like Systems. Mathematics 2025, 13, 3641. https://doi.org/10.3390/math13223641
AlNemer G, Ali R, Farid M. On Bregman Asymptotically Quasi-Nonexpansive Mappings and Generalized Variational-like Systems. Mathematics. 2025; 13(22):3641. https://doi.org/10.3390/math13223641
Chicago/Turabian StyleAlNemer, Ghada, Rehan Ali, and Mohammad Farid. 2025. "On Bregman Asymptotically Quasi-Nonexpansive Mappings and Generalized Variational-like Systems" Mathematics 13, no. 22: 3641. https://doi.org/10.3390/math13223641
APA StyleAlNemer, G., Ali, R., & Farid, M. (2025). On Bregman Asymptotically Quasi-Nonexpansive Mappings and Generalized Variational-like Systems. Mathematics, 13(22), 3641. https://doi.org/10.3390/math13223641

