An Efficient Quasi-Monte Carlo Algorithm for High Dimensional Numerical Integration
Abstract
1. Introduction
2. Preliminaries
2.1. Quasi-Monte Carlo Lattice Rules
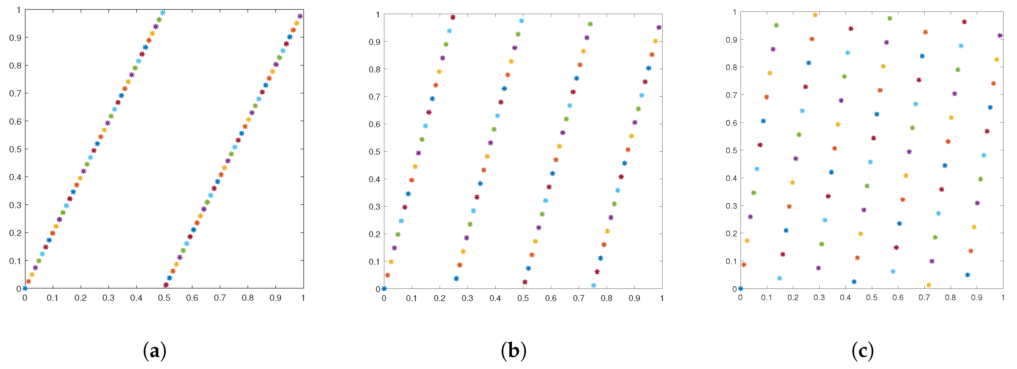
2.2. Examples of Good Rank-One Lattice Rules
- (i)
- Set .
- (ii)
- With held fixed, choose from to minimize in 2-d.
- (iii)
- With held fixed, choose from to minimize in 3-d.
- (iv)
- repeat the above process until all are determined.
3. Reformulation of Lattice Rules
3.1. Construction of Affine Coordinate Transformations
3.2. Improved Lattice Rules
4. The MDI-LR Algorithm
Formulation of the MDI-LR Algorithm
| Algorithm 1 MDI(d, g, ) |
Inputs:
Output: .
|
- (a)
- Algorithm 1 recursively generates a sequence of symbolic functions , each function has m fewer arguments than its predecessor.
- (b)
- Since , when , we simply use the underlying low dimensional QMC quadrature rules. As was performed in [22], we name those low dimensional algorithms as 2d-MDI and 3d-MDI, and introduce the following conventions.
- −
- If , set MDI, which is computed by using the underlying 1-d QMC quadrature rule.
- −
- If , set MDI 2d-MDI.
- −
- If , set MDI 3d-MDI.
We note that when , the parameter m becomes a dummy variable and can be given any value. - (c)
- We also note that the MDI algorithm in [22] has an additional parameter r which selects the 1-d quadrature rule. However, such a choice is not needed here because the underlying QMC rule is used as the 1-d quadrature rule.
| Algorithm 2 MDI-LR(f, ) |
Inputs: . Output: . |
5. Numerical Performance Tests
5.1. Two and Three-Dimensional Tests
5.2. High Dimensional Tests
6. Influence of Parameters
6.1. Influence of Parameter a
6.2. Influence of Parameter
7. Computational Complexity
7.1. The Relationship Between the CPU Time and N
7.2. The Relationship Between the CPU Time and the Dimension d
8. Conclusions
Author Contributions
Funding
Data Availability Statement
Conflicts of Interest
References
- Bungartz, H.-J.; Griebel, M. Sparse grids. Acta Numer. 2014, 13, 147–269. [Google Scholar] [CrossRef]
- Gerstner, T.; Griebel, M. Numerical integration using sparse grids. Numer. Algorithms 1998, 18, 209–232. [Google Scholar] [CrossRef]
- Caflisch, R.E. Monte Carlo and quasi-Monte Carlo methods. Acta Numer. 1998, 7, 1–49. [Google Scholar] [CrossRef]
- Ogata, Y. A Monte Carlo method for high dimensional integration. Numer. Math. 1989, 55, 137–157. [Google Scholar] [CrossRef]
- Bratley, P.; Fox, B.; Niederreiter, H. Implementation and Tests of Low Discrepancy Sequences. ACM Trans. Model. Comput. Simul. 1992, 2, 195–213. [Google Scholar] [CrossRef]
- Niederreiter, H. Low-discrepancy and low-dispersion sequences. J. Number Theory 1988, 30, 51–70. [Google Scholar] [CrossRef]
- Faure, H. Good permutations for extreme discrepancy. J. Number Theory 1992, 42, 47–56. [Google Scholar] [CrossRef]
- Sobol, I. Uniformly distributed sequences with an additional uniform property. USSR Comput. Math. Math. Phys. 1977, 16, 236–242. [Google Scholar] [CrossRef]
- Kuo, F.Y.; Schwab, C.; Sloan, I.H. Quasi-Monte Carlo methods for high-dimensional integration: The standard (weighted Hilbert space) setting and beyond. ANZIAM J. 2011, 53, 1–37. [Google Scholar] [CrossRef]
- Dick, J.; Kuo, F.Y.; Sloan, I.H. High-dimensional integration: The quasi-Monte Carlo way. Acta Numer. 2013, 22, 133–288. [Google Scholar] [CrossRef]
- Niederreiter, H. Random Number Generation and Quasi-Monte Carlo Methods; Society for Industrial and Applied Mathematics: Philadelphia, PA, USA, 1992. [Google Scholar] [CrossRef]
- Korobov, N.M. The approximate computation of multiple integrals. Dokl. Akad. Nauk SSSR 1959, 124, 1207–1210. (In Russian) [Google Scholar] [CrossRef]
- Sloan, I.H.; Joe, S. Lattice Methods for Multiple Integration; Oxford University Press: Oxford, UK, 1994. [Google Scholar] [CrossRef]
- Wang, X.; Sloan, I.H.; Dick, J. On Korobov lattice rules in weighted spaces. SIAM J. Numer. Anal. 2004, 42, 1760–1779. [Google Scholar] [CrossRef]
- Krommer, A.R.; Ueberhuber, C.W. Computational Integration; Society for Industrial and Applied Mathematics: Philadelphia, PA, USA, 1998. [Google Scholar] [CrossRef]
- Haber, S. Experiments on optimal coefficients. In Applications of Number Theory to Numerical Analysis; Academic Press: New York, NY, USA, 1972; pp. 11–37. [Google Scholar] [CrossRef]
- Guth, P.A.; Kaarnioja, V. Quasi-Monte Carlo for partial differential equations with generalized Gaussian input uncertainty. SIAM J. Numer. Anal. 2025, 63, 1666–1690. [Google Scholar] [CrossRef]
- Wang, H.; Wang, X. On the convergence rate of Quasi Monte Carlo method with importance sampling for unbounded functions in RKHS. Appl. Math. Lett. 2025, 160, 109352. [Google Scholar] [CrossRef]
- Melnikov, O.; Milz, J. Randomized quasi-Monte Carlo methods for risk-averse stochastic optimization. J. Optim. Theory Appl. 2025, 206, 14. [Google Scholar] [CrossRef]
- Hok, J.; Kucherenko, S. The unreasonable effectiveness of Randomized Quasi-Monte Carlo in option pricing and risk analysis. Available at SSRN. 2025. Available online: https://www.broda.co.uk/Slides/Risk_RQMC_PCA_Presentation.pdf (accessed on 28 May 2025). [CrossRef]
- Imai, J.; Tan, K.S. Dimension reduction for Quasi-Monte Carlo methods via quadratic regression. Math. Comput. Simul. 2025, 227, 371–390. [Google Scholar] [CrossRef]
- Feng, X.; Zhong, H. A fast multilevel dimension iteration algorithm for high dimensional numerical integration. Ann. Math. Sci. Appl. 2023, 83, 427–460. [Google Scholar] [CrossRef]
- Niederreiter, H. Existence of good lattice points in the sense of Hlawka. Monatsh. Math. 1978, 86, 203–219. [Google Scholar] [CrossRef]
- Niederreiter, H. Quasi-Monte Carlo methods and pseudo-random numbers. Bull. Am. Math. Soc. 1978, 84, 957–1041. [Google Scholar] [CrossRef]
- Niederreiter, H.; Winterhof, A. Applied Number Theory; Springer: Cham, Switzerland, 2015. [Google Scholar] [CrossRef]
- Korobov, N.M. Properties and calculation of optimal coefficients. Dokl. Akad. Nauk 1960, 132, 1009–1012. [Google Scholar]
- Sloan, I.H.; Reztsov, A. Component-by-component construction of good lattice rules. Math. Comput. 2002, 71, 263–273. [Google Scholar] [CrossRef]
- Kritzer, P.; Niederreiter, H.; Pillichshammer, F. Ian Sloan and Lattice Rules. In Contemporary Computational Mathematics—A Celebration of the 80th Birthday of Ian Sloan; Springer: Cham, Switzerland, 2018; pp. 741–769. [Google Scholar] [CrossRef]
- Zhong, H.; Feng, X. An efficient and fast sparse grid algorithm for high dimensional numerical integration. Mathematics 2023, 11, 4191. [Google Scholar] [CrossRef]













| SLR (Standard LR) | Imp-LR (Improved LR) | MDI-LR | ||||
|---|---|---|---|---|---|---|
| Total Nodes () | Relative Error | CPU Time (s) | Relative Error | CPU Time (s) | Relative Error | CPU Time (s) |
| 101 | 0.0422 | 0.0423 | 0.0877 | |||
| 501 | 0.0567 | 0.0547 | 0.3230 | |||
| 1001 | 0.0610 | 0.0657 | 0.5147 | |||
| 5001 | 0.0755 | 0.0754 | 1.6242 | |||
| 10,001 | 0.0922 | 0.0921 | 3.9471 | |||
| 40,001 | 0.1782 | 0.1787 | 7.0408 | |||
| SLR (Standard LR) | Imp-LR(Improved LR) | MDI-LR | ||||
|---|---|---|---|---|---|---|
| Total Nodes () | Relative Error | CPU Time (s) | Relative Error | CPU Time (s) | Relative Error | CPU Time (s) |
| 101 | 0.0415 | 0.0410 | 0.0980 | |||
| 501 | 0.0539 | 0.0546 | 0.3498 | |||
| 1001 | 0.0647 | 0.0653 | 0.5028 | |||
| 5001 | 0.0723 | 0.0733 | 1.7212 | |||
| 10,001 | 0.0965 | 0.0945 | 3.4528 | |||
| 40,001 | 0.1386 | 0.1399 | 6.1104 | |||
| SLR (Standard LR) | Imp-LR (Improved LR) | MDI-LR | ||||
|---|---|---|---|---|---|---|
| Total Nodes () | Relative Error | CPU Time (s) | Relative Error | CPU Time (s) | Relative Error | CPU Time (s) |
| 101 | 0.0574 | 0.0588 | 0.0877 | |||
| 1001 | 0.0634 | 0.0654 | 0.2684 | |||
| 10001 | 0.0833 | 0.0877 | 0.6322 | |||
| 100,001 | 0.1500 | 0.1499 | 2.5866 | |||
| 1,000,001 | 1.0589 | 1.0587 | 14.737 | |||
| 10,000,001 | 9.8969 | 10.280 | 91.897 | |||
| SLR (Standard LR) | Imp-LR (Improved LR) | MDI-LR | ||||
|---|---|---|---|---|---|---|
| Total Nodes () | Relative Error | CPU Time (s) | Relative Error | CPU Time (s) | Relative Error | CPU Time (s) |
| 101 | 0.0580 | 0.0554 | 0.1366 | |||
| 1001 | 0.0628 | 0.0649 | 0.3804 | |||
| 10,001 | 0.0820 | 0.0828 | 1.1032 | |||
| 100,001 | 0.1443 | 0.1557 | 4.8794 | |||
| 1,000,001 | 1.1163 | 1.2104 | 20.305 | |||
| 10,000,001 | 10.207 | 10.427 | 101.22 | |||
| SLR (Standard LR) Total Nodes () | Imp-LR (Improved LR) Total Nodes () | MDI-LR Total Nodes () | ||||
|---|---|---|---|---|---|---|
| Dimension () | Relative Error | CPU Time (s) | Relative Error | CPU Time (s) | Relative Error | CPU Time (s) |
| 2 | 0.0622 | 0.0637 | 0.1335 | |||
| 4 | 0.1068 | 0.1206 | 0.5780 | |||
| 6 | 1.2450 | 1.2745 | 1.2890 | |||
| 8 | 124.91 | 126.85 | 1.4083 | |||
| 10 | 13,084 | 13,255 | 3.1418 | |||
| 11 | 132,927 | 141,665 | 3.8265 | |||
| 12 | failed | failed | failed | failed | 4.5919 | |
| SLR | MDI-LR | |||||
|---|---|---|---|---|---|---|
| Dimension () | Total Nodes () | Value | Relative Error | CPU Time (s) | Relative Error | CPU Time (s) |
| 2 | 1 + | 31 | 0.0369 | 0.432905 | ||
| 6 | 1 + | 10 | 1.2450 | 0.790102 | ||
| 10 | 1 + | 4 | 1.2453 | 0.582487 | ||
| 14 | 1 + | 4 | 144.759 | 0.536131 | ||
| 18 | 1 + | 3 | 1649.59 | 0.774606 | ||
| 22 | 1 + | 3 | 18,694.04 | 0.702708 | ||
| 26 | 1 + | 3 | 217,381.41 | 0.866122 | ||
| 30 | 1 + | 3 | 269,850.87 | 1.045107 | ||
Nodes () | Nodes () | |||||
|---|---|---|---|---|---|---|
| Dimension () | Value | Relative Error | CPU Time (s) | Value | Relative Error | CPU Time (s) |
| 10 | 8 | 0.4329063 | 20 | 0.9851172 | ||
| 100 | 8 | 71.253076 | 20 | 11.1203255 | ||
| 300 | 8 | 1856.91018 | 20 | 37.0903112 | ||
| 500 | 8 | 8076.92429 | 20 | 65.9497657 | ||
| 700 | 8 | 20,969.96162 | 20 | 108.989057 | ||
| 900 | 8 | 47,870.50843 | 20 | 157.487672 | ||
| 1000 | 8 | 69,991.88017 | 20 | 189.132615 | ||
| N (n) | Korobov Parameter () | Relative Error | CPU Time (s) | Relative Error | CPU Time (s) |
|---|---|---|---|---|---|
| 4 () | 4 | 0.1456465 | 0.3336161 | ||
| 6 () | 6 | 0.1911801 | 0.5690320 | ||
| 8 () | 8 | 0.3373442 | 0.9552591 | ||
| 10 () | 10 | 0.3884146 | 1.9385378 | ||
| 12 () | 12 | 0.6545521 | 3.5639475 | ||
| 14 () | 14 | 0.7224777 | 6.0036393 | ||
| 16 () | 16 | 1.0909097 | 8.4313528 | ||
| N (n) | Korobov Parameter () | Relative Error | CPU Time (s) | Relative Error | CPU Time (s) |
|---|---|---|---|---|---|
| 4 () | 4 | 0.1323887 | 0.2775234 | ||
| 6 () | 6 | 0.1955847 | 0.4267706 | ||
| 8 () | 8 | 0.2689113 | 0.5697773 | ||
| 10 () | 10 | 0.3227299 | 0.7828456 | ||
| 12 () | 12 | 0.4056192 | 0.9228344 | ||
| 14 () | 14 | 0.4940739 | 1.0968489 | ||
| 16 () | 16 | 0.6079693 | 1.2933549 | ||
| N (n) | Korobov Parameter () | Relative Error | CPU Time (s) | Relative Error | CPU Time (s) |
|---|---|---|---|---|---|
| 4 () | 4 | 0.1254485 | 0.2460844 | ||
| 6 () | 6 | 0.1802281 | 0.3613987 | ||
| 8 () | 8 | 0.2114595 | 0.4414383 | ||
| 10 () | 10 | 0.2748469 | 0.4892808 | ||
| 12 () | 12 | 0.3092816 | 0.5859328 | ||
| 14 () | 14 | 0.3602077 | 0.6783681 | ||
| 16 () | 16 | 0.4157161 | 0.7819849 | ||
| Integrand | a | m | d | Fitting Function | R-Square |
|---|---|---|---|---|---|
| N | 1 | 5 | 0.9687 | ||
| N | 1 | 5 | 0.9920 | ||
| N | 1 | 5 | 0.9946 | ||
| N | 1 | 10 | 0.9968 | ||
| N | 1 | 10 | 0.9984 | ||
| N | 1 | 10 | 0.9901 |
| Integrand | a | N | m | Fitting Function | R-Square |
|---|---|---|---|---|---|
| 8 | 8 | 1 | 0.9973 | ||
| 10 | 10 | 1 | 0.9995 | ||
| 20 | 20 | 1 | 0.9978 | ||
| 10 | 10 | 1 | 0.9983 | ||
| 14 | 14 | 1 | 0.9987 | ||
| 20 | 20 | 1 | 0.9964 | ||
| 8 | 8 | 1 | 0.9983 | ||
| 10 | 10 | 1 | 0.9986 | ||
| 14 | 14 | 1 | 0.9972 | ||
| 10 | 10 | 1 | 0.9988 | ||
| 20 | 20 | 1 | 0.9974 | ||
| 10 | 10 | 1 | 0.9996 | ||
| 14 | 14 | 1 | 0.9993 | ||
| 10 | 10 | 1 | 0.9983 | ||
| 20 | 20 | 1 | 0.9998 |
Disclaimer/Publisher’s Note: The statements, opinions and data contained in all publications are solely those of the individual author(s) and contributor(s) and not of MDPI and/or the editor(s). MDPI and/or the editor(s) disclaim responsibility for any injury to people or property resulting from any ideas, methods, instructions or products referred to in the content. |
© 2025 by the authors. Licensee MDPI, Basel, Switzerland. This article is an open access article distributed under the terms and conditions of the Creative Commons Attribution (CC BY) license (https://creativecommons.org/licenses/by/4.0/).
Share and Cite
Zhong, H.; Feng, X. An Efficient Quasi-Monte Carlo Algorithm for High Dimensional Numerical Integration. Mathematics 2025, 13, 3437. https://doi.org/10.3390/math13213437
Zhong H, Feng X. An Efficient Quasi-Monte Carlo Algorithm for High Dimensional Numerical Integration. Mathematics. 2025; 13(21):3437. https://doi.org/10.3390/math13213437
Chicago/Turabian StyleZhong, Huicong, and Xiaobing Feng. 2025. "An Efficient Quasi-Monte Carlo Algorithm for High Dimensional Numerical Integration" Mathematics 13, no. 21: 3437. https://doi.org/10.3390/math13213437
APA StyleZhong, H., & Feng, X. (2025). An Efficient Quasi-Monte Carlo Algorithm for High Dimensional Numerical Integration. Mathematics, 13(21), 3437. https://doi.org/10.3390/math13213437

