Abstract
In order to protect the environment, an increasing number of people are paying attention to the recycling and remanufacturing of EOL (End-of-Life) products. Furthermore, many companies aim to establish their own closed-loop supply chains, encouraging the integration of disassembly and assembly lines into a unified closed-loop production system. In this work, a hybrid production line that combines disassembly and assembly processes, incorporating human–machine collaboration, is designed based on the traditional disassembly line. A mathematical model is proposed to address the human–machine collaboration disassembly and assembly hybrid line balancing problem in this layout. To solve the model, an evolutionary learning-based whale optimization algorithm is developed. The experimental results show that the proposed algorithm is significantly faster than CPLEX, particularly for large-scale disassembly instances. Moreover, it outperforms CPLEX and other swarm intelligence algorithms in solving large-scale optimization problems while maintaining high solution quality.
Keywords:
disassembly line balancing; disassembly sequence; sustainability; carbon savings; discrete whale optimization algorithm MSC:
90B30
1. Introduction
With the development of the manufacturing industry, an increasing number of enterprises are aiming to establish their own closed-loop supply chains [1]. Consequently, the integration of traditional assembly and disassembly operations has become an inevitable trend. Disassembly refers to the careful process of taking apart End-of-Life (EOL) [2,3,4,5] products to retrieve valuable components and materials for recycling and reuse. While disassembly involves breaking down EOL products into parts for recycling and assembly focuses on combining parts into complete products, the two operations share similarities, such as the use of the same tools, parts, and operational skills, even though disassembly is not the exact opposite of assembly.
Recently, research on disassembly, scheduling, and multi-objective optimization has gained prominence in industrial engineering, driven by increasing production demands and advancements in automation. Guo et al. addressed the disassembly line balancing problem under stochastic operation times, proposing a multi-objective shuffled frog leaping algorithm to enhance efficiency and resource utilization [6]. In another study, they incorporated human fatigue indices as an optimization objective in U-shaped disassembly line balancing problems, employing advanced heuristic methods to improve solution efficiency [7]. Additionally, Guo et al. tackled multi-product disassembly challenges by introducing a stochastic hybrid discrete grey wolf optimizer to optimize sequencing and line balancing, demonstrating its effectiveness in complex disassembly scenarios [8]. These studies exemplify the feasibility and effectiveness of advanced algorithms in solving complex multi-objective disassembly line balancing problems. Fu et al. [9] reviewed the applications of ensemble meta-heuristics and reinforcement learning in manufacturing scheduling, emphasizing their potential to address complex production challenges with adaptive and intelligent optimization strategies. Zhang et al. [10] extended this work by developing a learning-driven multi-objective cooperative artificial bee colony algorithm to address distributed flexible job shop scheduling problems, incorporating preventive maintenance and transportation operations to enhance system robustness and efficiency. Furthermore, Fu et al. [11] applied a knowledge-based artificial bee colony algorithm to multi-objective home health care routing and scheduling, focusing on shared services and providing efficient solutions for resource allocation and task optimization in healthcare operations. Zhao et al. tackled scheduling and logistics optimization in batch manufacturing processes by developing meta-heuristic algorithms to manage temperature constraints and alternative thermal device configurations, thereby enhancing efficiency and production performance [12]. They also proposed an integrated optimization framework for multi-mobile-robot transport and production systems, combining robot scheduling with constraint planning to streamline resource coordination and system operations [13]. Moreover, Zhao et al. introduced a lexicographic dual-objective path finding algorithm for multi-agent systems, effectively balancing task priorities and navigation efficiency for improved multi-agent coordination in dynamic environments [14]. These studies underscore the versatility and effectiveness of meta-heuristic approaches in addressing complex manufacturing and logistics challenges, paving the way for future advancements in industrial automation and decision-making.
Ketzenberg et al. [15] were among the first to propose a framework for a hybrid production line that integrates assembly and disassembly lines, demonstrating its potential. Mete et al. [16] extended this framework by introducing common workstations capable of performing both disassembly and assembly tasks. They developed a mathematical model to minimize total costs and used a toy car as a test case to demonstrate that hybrid production lines can significantly reduce costs. The study also confirmed that meta-heuristic algorithms, such as ant colony optimization, remain effective in solving these problems. Subsequently, Zhang et al. [17] proposed a hybrid production line balancing optimization problem with objectives to minimize the number of workstations, idle time, and equipment usage, employing a multi-objective hybrid evolutionary search algorithm based on evolutionary simulated annealing to solve the problem. Guo et al. [18] addressed the impact of uncertainty in hybrid production line problems, proposing stochastic hybrid production line optimization with production cost and load balancing objectives, using a combined variable neighborhood search (VNS) and non-dominated sorting genetic algorithm II (NSGA-II) to verify the correctness of their model and the algorithm’s effectiveness.
With the increasing integration of industrialization and information technology, the use of robots [19] has become increasingly popular. Human–robot collaboration [20,21,22,23] effectively leverages human intelligence and robot speed, enabling robots to perform repetitive or simple disassembly tasks while allowing humans to focus on complex assembly and disassembly operations.
The whale optimization algorithm (WOA) [24], a swarm intelligence optimization algorithm inspired by the hunting behavior of humpback whales, is characterized by a small number of parameters and fast convergence. It has been applied to various problems, including pipe network design [25], the traveling salesman problem [26], image processing [27], and knapsack problems [28]. Given its success in these domains, this work explores its application to the human–machine collaboration disassembly and assembly hybrid line balance problem (DALHBP).
To address existing research gaps, this work proposes an evolutionary learning whale optimization algorithm (ELWOA) to solve the DALHBP. The main contributions of this work are as follows:
- A novel layout scheme for a parallel disassembly line running in reverse for the same product is proposed to enhance the utilization of disassembled parts at each workstation.
- A new mathematical model for DALHBP is developed, incorporating human–machine collaborative disassembly, with defined decision variables, objective functions, and constraints.
- The ELWOA is introduced to solve large-scale DALHBP cases, incorporating evolutionary learning strategies to enhance global and local search capabilities.
- The mathematical model is first solved using CPLEX to verify its correctness. The robustness and efficiency of ELWOA are then demonstrated through numerical experiments, and its superiority is confirmed by comparing it with other algorithms.
2. Human–Machine Collaboration Disassembly and Assembly Hybrid Line Balance Problem
2.1. Problem Description
A DALHBP aims to rationally assign disassembly and assembly tasks to workstations. The objective of DALHBP is to maximize profit while adhering to the priority relationship constraints of disassembly tasks, the priority relationship constraints of assembly tasks, and the cycle time constraints of workstations. This section describes the DALHBP using an example of a flashlight, with its disassembled structure illustrated in Figure 1. The figure shows the parts that can be obtained when the flashlight is completely disassembled. The number of each part is used in the model and algorithm to represent the corresponding part.
Figure 1.
Flashlight disassembly structure graph.
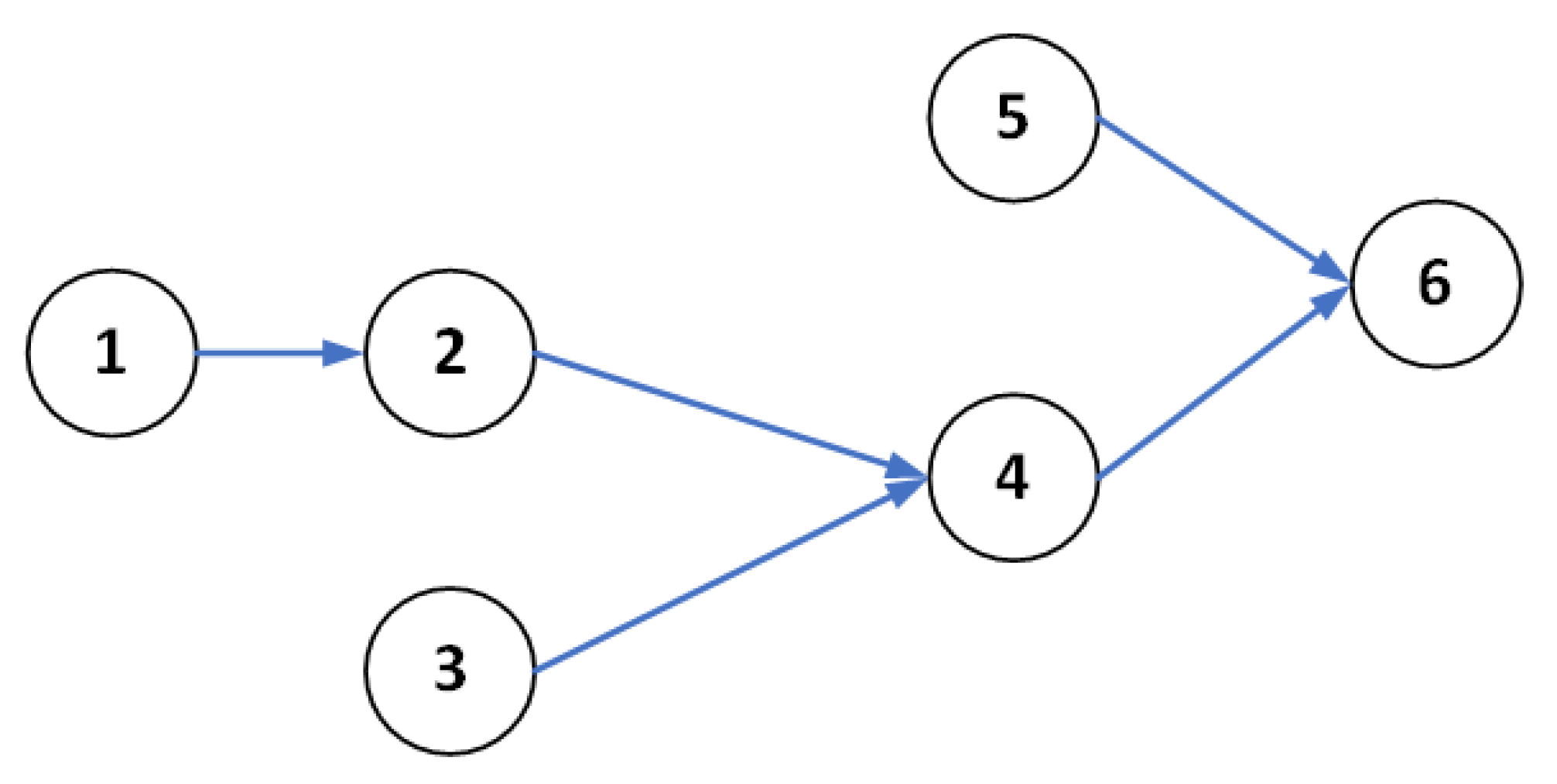
The priority constraints of the assembly tasks in this work are described using a priority relation graph G. Figure 2 shows the assembly task priority graph for the flashlight, where the numbers inside the circles represent task numbers. The directed arc between Task 1 and Task 2 indicates that Task 1 is the immediate predecessor of Task 2, meaning Task 2 can be assigned to the current workstation only after Task 1 has been assigned to the same or a preceding workstation. Tasks 1, 3, and 5 have no predecessor constraints, sharing the same priority. Furthermore, Task 4 can only proceed after both Tasks 2 and 3 are completed. This means the following steps must be executed: assembling the main housing spring and battery together (Task 2, forming the “back”), and assembling the bulb and head housing together (Task 3, forming the “front”). Only then can the “front” and “back” be assembled together (Task 4). Similarly, Task 6 can only proceed after both Tasks 4 and 5 are completed. Detailed operational descriptions of the assembly tasks, along with their operating times, are provided in Table 1.
Figure 2.
Assembly task precedence relationship graph of flashlight.
Table 1.
Assembly task description and operation time.
The precedence relationship of assembly tasks can be represented by the immediate predecessor task matrix , which defines the execution order between two assembly tasks, where i and j denote two distinct assembly tasks:
For example, Figure 2 can be transformed into the following immediate predecessor task matrix:
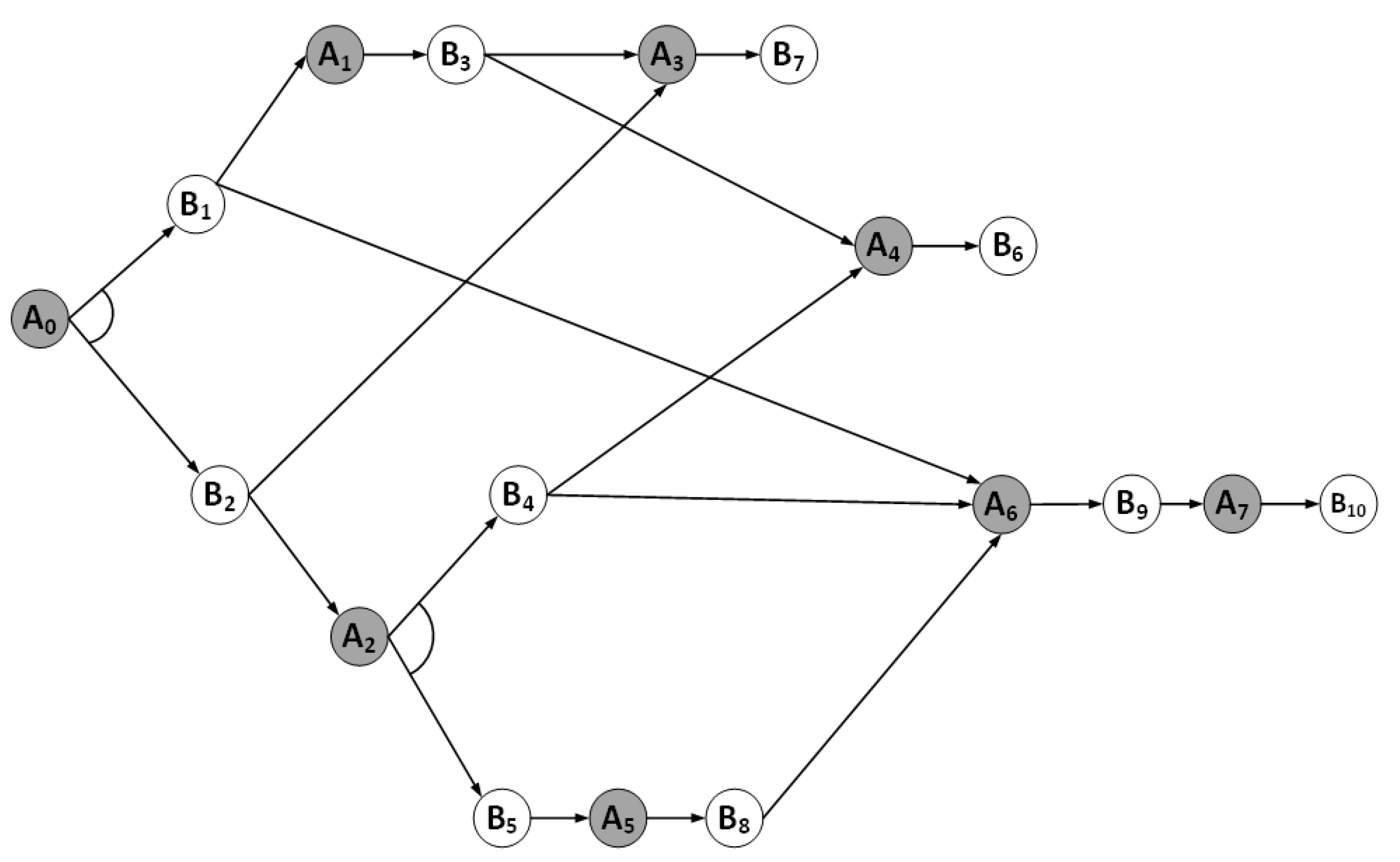
The priority constraints for disassembly tasks in this work are described as a Transformed AND/OR Graph (TAOG) [29]. Figure 3 shows the TAOG for a flashlight. The graph consists of gray artificial nodes A and white normal nodes B. Each artificial node represents a component, while each normal node represents a disassembly task. The component represents the combination of multiple parts. The product is disassembled into different components through the disassembly task, and finally the parts are obtained. The direct connection between artificial and normal nodes forms an AND-type relationship, where all subsequent normal nodes of an artificial node must be selected and executed sequentially for disassembling the product. In contrast, arcs connecting artificial nodes and normal nodes form an OR-type relationship, meaning that only one of the subsequent normal nodes needs to be selected. To derive a feasible disassembly sequence, the selected normal node numbers are organized sequentially. A sample process is as follows: represents the product to be disassembled, with two tasks, and , available. Since and have an OR-type relationship, either one can be chosen for execution. Assuming is selected, subassemblies and are obtained. and share an AND-type relationship, so both must be disassembled, but the order can vary. Assuming is chosen first, task is executed. After is completed, subassemblies and are obtained, along . Among these, any one subassembly can be selected for further disassembly. Assuming is chosen, after task is executed, all its parts are disassembled, leaving and for further processing. This disassembly process continues sequentially until no subassemblies remain. Organizing the disassembly tasks in order produces a feasible disassembly sequence, such as (1, 3, 7, 6, 9, 10). The composition of components – in the figure is shown in Table 2. The Included Parts column is the corresponding number in Figure 1.
Figure 3.
TAOG of flashlight.
Table 2.
Component definitions for flashlight.
Similarly, the TAOG can also be represented by an incidence matrix , which describes the relationship between normal nodes and artificial nodes. Here, l represents artificial nodes, and j represents normal nodes:
For example, Figure 3 can be transformed into the following incidence matrix:
Figure 4 shows the layout of a hybrid remanufacturing system featuring disassembly and assembly lines. The system consists of two parallel production lines that operate in opposite directions. One line, called the disassembly line, is used for disassembling EOL products and operates from left to right. The other, called the assembly line, is used for assembling new products and operates from right to left. This layout design reflects the consideration that disassembly and assembly processes can be viewed as inverse operations to some extent. The reverse layout offers advantages such as reducing material transport distances and improving part utilization rates.
Figure 4.
Layout of disassembly and assembly line. The number in the figure represents the workstation number.
Tasks involving the same parts in both assembly and disassembly are termed similar tasks. Table 3 provides examples of similar tasks for flashlights. Similar tasks can be assigned to shared workstations. For instance, workstations 1, 4, and 7 in Figure 4 are shared between the disassembly and assembly lines. Shared workstations enhance the flexibility of task allocation, reduce the total number of workstations required, and improve the overall efficiency of the disassembly and assembly lines.
Table 3.
Similar tasks for flashlight.
Before establishing the DALHBP model, the following assumptions are made:
(1) The and matrix of the products are known.
(2) Similarity tasks for each product are predefined based on their process characteristics.
(3) Since similarity tasks focus on parts, each product must be completely disassembled into all its components.
(4) Each running workstation is assigned at least one disassembly task.
(5) As parts disassembled on the disassembly line may not be directly applicable to the assembly line, they must be manually inspected. Consequently, it is assumed that all assembly tasks are performed manually, while robots are exclusively used on the disassembly line.
2.2. Mathematical Model
This section presents a mathematical model for the DALHBP problem. The notations and decision variables used in the model are defined as follows:
(1) Notations
| I | Number of assembly tasks. |
| J | Number of disassembly tasks. |
| K | Number of workstations. |
| E | Number of subassemblies. |
| L | Sum of subassemblies and parts. |
| c | Cycle time of each workstation. |
| I | Set of all assembly tasks, . |
| J | Set of all disassembly tasks, |
| E | Set of all subassemblies, |
| L | Set of all subassemblies and parts, |
| W | Set of workstations, |
| Time to execute the i-th assembly task. | |
| Time for a worker to execute the j-th disassembly task. | |
| Time for a robot to execute the j-th disassembly task. | |
| Ae | Artificial node of TAOG. |
| Normal node in TAOG. | |
| Set of immediate predecessors of Ae. | |
| Set of immediate successors of Ae. | |
| ST | Set of pairs g = (i, j) of similar assembly task i and disassembly task j. |
| Unit time cost of executing the i-th assembly task. | |
| Unit time cost of a robot execute the j-th disassembly task. | |
| Unit time cost of a worker execute the j-th disassembly task. | |
| Penalty cost for a pair of similar tasks not assigning to a same workstation. | |
| Operating cost of opening of the k-th workstation. | |
| The value of reusing the l-th subassembly of the product. | |
| Profit from assembly. |
(2) Decision variables
(3) Model formulation
Based on the notations and decision variables, the mathematical formulations for the objective and the constraints of the mathematical model are as follows:
The objective function (1) aims to maximize profit. Constraints (2) and (3) ensure that in the TAOG, only one of the conflicting successors is selected, thereby establishing a correct disassembly sequence. Constraints (4) to (6) assign disassembly tasks to specific workstations. Constraint (7) ensures that each assembly task is assigned only once, while Constraint (8) states that for a subassembly, the task receiving the subassembly must be assigned to a workstation that precedes the workstation where the subassembly is disassembled. Constraint (9) maintains the precedence relationships between assembly tasks, and Constraint (10) ensures that the total runtime of both the assembly and disassembly tasks on each workstation does not exceed the cycle time. Constraints (11) and (12) verify whether similar tasks are assigned to the same workstation. Finally, Constraints (13) to (19) define the ranges and conditions for the decision variables.
3. Proposed Algorithm
DALHBP is a discrete optimization problem characterized by high complexity and diversity, requiring the consideration of multiple constraints and objective functions. The whale optimization algorithm (WOA) simulates the feeding behavior of humpback whales in nature and is known for its fast global search capability. In the WOA, represents the position of the leading whale in the t-th generation, and represents the position of the other individual from the whales in the t-th generation, where t indicates the current iteration. and are coefficient vectors, calculated as follows:
where and are random vectors in [0,1], is linearly decreased from 2 to 0 over the course of iterations, and M is a maximum number of iterations. For a more detailed explanation of the algorithm, please refer to [24].
However, its effectiveness in solving discrete optimization problems, particularly those with multiple constraints, is limited. To address these limitations, this section introduces the ELWOA, an enhanced version of WOA that integrates crossover and mutation operations from genetic algorithms. These modifications simulate population update strategies, enhancing the ELWOA global and local search capabilities, improving exploration, convergence speed, and solution accuracy. Additionally, the designed crossover and mutation operators ensure that precedence relationships remain intact after the operations. Inspired by population retention strategies in evolutionary learning, an elite retention strategy is also incorporated to further enhance the ELWOA exploration capabilities. This strategy maintains a balance between global exploration and local exploitation. The flowchart of ELWOA is shown in Figure 5.
Figure 5.
ELWOA flowchart.
3.1. Encoding
In order to solve DALHBP with the whale optimization algorithm, it is necessary to discretize the genes of an individual whale according to the features of DALHBP. In ELWOA, the encoding of each solution represents the genes of an individual whale, with the structure illustrated in Figure 6. A feasible solution s consists of three integer codes, i.e., , where we have the following:
Figure 6.
Solution encoding.
- represents the task number. A positive integer denotes a disassembly task, while a negative integer denotes an assembly task.
- represents the performer of the disassembly task: 0 indicates that the task is performed manually, and 1 indicates that it is performed by a robot. Assembly tasks are performed manually by default (“-” in the figure), so the performer is not distinguished.
- represents the workstation number to which each task is assigned.
To generate a new solution, the process involves several steps: (1) Construct a disassembly sequence according to Algorithm 1. (2) Construct an assembly sequence according to Algorithm 2. (3) Merge the disassembly and assembly sequences randomly to form a solution sequence. (4) Assign appropriate operators to the tasks in the solution sequence. (5) Arrange suitable workstations for each task in the solution sequence using Algorithm 3. The overall process is illustrated in Figure 7.
| Algorithm 1: Creating a disassembly sequence |
| Input: Subassembly stack, part stack, incidence matrix D |
| Output: Disassembly sequence |
|
Figure 7.
Solution generation process.
| Algorithm 2: Create assembly sequence |
| Input: Total number of assembly tasks , immediately predecessor task matrix |
| Output: Assembly Sequence |
|
| Algorithm 3: Assign workstations |
| Input: |
| Output: |
|
3.2. Decoding
For the decoding process, we propose a decoding scheme for the three-part encoding and analyze each segment layer by layer. And through , , and , we can calculate the values required by the objective function. calculates the value of parts obtained from executing the task sequence and the associated task costs; determines the costs based on whether the disassembly sequence is performed by humans or robots; and evaluates the workstation activation costs and additional costs incurred when similar tasks are not assigned to the same workstation.
3.3. Search Process
The WOA optimizes the search process through three key strategies: searching for prey, encircling prey, and bubble-net attacking. In this work, the crossover and mutation methods from evolutionary learning are incorporated into the WOA to enhance its global and local search capabilities. To simulate the three predator–prey strategies of whales, three specialized operators are designed for the ELWOA. Since adjusting the solution sequence has been shown to significantly improve the objective value and computational efficiency, the three operators focus on refining the solution sequence.
3.3.1. Search for Prey
The primary purpose of random prey search in the WOA is to enable global exploration and prevent the algorithm from converging prematurely to local optima. In this work, a global crossover operator is designed to implement this strategy. The operator works as follows: two whales are randomly selected from the population. One whale retains the disassembly sequence from its solution, while the other retains the assembly sequence from its solution. These two sequences are then recombined to form a new solution sequence. Subsequently, operators and workstations are reassigned for the tasks in the new sequence. The detailed process of this operator is illustrated in Figure 8.
Figure 8.
The process of encircling prey. The top and bottom of the figure are two parent solution sequences. Sequence 1 retains the disassembly sequence, and sequence 2 retains the assembly sequence. The two recombine to create a new child sequence.
3.3.2. Bubble-Net Attacking Method
This strategy in WOA primarily updates the position of each whale based on the position of the lead whale. By simulating the behavior of WOA and integrating the crossover operator from genetic algorithms in evolutionary learning, a discrete bubble-net attacking strategy is designed. The specific process is illustrated in Figure 9 and Algorithm 4.
Figure 9.
Bubble-net attacking method. In the figure, the left side is the leader whale, and the right side is the normal whale. The assembly sequence and disassembly sequence of the two whales are decomposed respectively, and then the assembly sequence of the leader whale and the disassembly sequence of the normal whale are combined, and the disassembly sequence of the leader whale and the assembly sequence of the normal whale are combined to obtain two new sequences.
Shrinking Encircling: The assembly sequence from the normal whale and the disassembly sequence from the lead whale are retained and recombined to form a new solution sequence. The operator assignment remains the same as the parent operator, while the workstation assignments are updated.
Spiral Updating Position: The disassembly sequence from the normal whale is preserved and crossed with the assembly sequence from the lead whale to generate a new disassembly sequence. The operator assignment remains the same as the parent operator, and the workstation assignments are updated.
| Algorithm 4: Bubble-net attacking method |
| Input: Best sequence B, Normal sequence N |
| Output: New sequence 1, New sequence 2 |
|
3.3.3. The Process of Encircling Prey
The principle of surrounding prey in the WOA involves updating the positions of normal whales relative to the lead whale. In the ELWOA designed in this work, this principle is simulated by preserving certain superior genes from the lead whale and replacing corresponding genes in the normal whale. To achieve this, a mutation operator is designed. The strategy of the operator is as follows: Two random points are selected within the genes of a normal whale. The genes located at these points are checked against those in the lead whale. If they exist in the lead whale, they are sorted according to their sequence in the lead whale and then reinserted into the normal whale at their original positions. The detailed process of this operator is illustrated in Figure 10.
Figure 10.
The process of encircling prey. Blue represents the corresponding random sequence fragments of the random normal whale and the mutated whale, and red represents the sequence fragments with the same elements as the lead whale.
3.4. Elite Reservation
In the search phase of the WOA, each ordinary whale updates its position using the position update formula. However, this strategy can lead to premature convergence and getting trapped in the local optima. To address this, an elite population reservation strategy inspired by genetic algorithms in evolutionary learning is designed for the ELWOA. This strategy retains both offspring and parent populations after the search phase. The total population is then reduced to the initial population size using the elite retention strategy as detailed in Algorithm 5. This approach ensures that the optimal solution is preserved, as high-quality individuals (elite whales) are retained in each generation, enhancing the convergence and stability of the ELWOA. Additionally, since new whales are added to the population in each generation, this strategy also increases population diversity, thereby improving the exploration capability and adaptability of the ELWOA. By balancing global search and local search, this method maintains high optimization efficiency and solution quality.
| Algorithm 5: Elite population retention strategy. |
| Input: Initial Population P, population size N, offspring population Q |
| Output: Updated population |
|
4. Experimental Studies
In this section, we first use CPLEX to solve five EOL product examples to verify the correctness of the established DALHBP mathematical model. Subsequently, a series of experiments are conducted to determine the parameter settings that optimize the performance of the ELWOA. Following this, the ELWOA is employed to obtain near-optimal solutions for the DALHBP model, and the results are compared with those from CPLEX to demonstrate the advantages of the ELWOA in solving the optimization problem of disassembly and assembly lines. Finally, the ELWOA is compared with FOA, DOA, CS, AO, and other algorithms to further establish its superiority. The problem-solving process is implemented using the JMetal framework and IBM ILOG CPLEX optimization studio. All experiments are conducted in a Windows 11 environment on a system equipped with an Intel(R) Core(TM) i7-7700HQ CPU (2.80 GHz) and 16.00 GB of RAM.
4.1. Test Instances
We select five EOL products as test cases, including ballpoint pen [30], a radio [30], a flashlight [31], a washing machine [32] and a hammer drill [33]. The complete set of test cases is presented in Table 4.
Table 4.
Case description.
4.2. Experimental Parameters
To determine the optimal parameter settings for the ELWOA, extensive experiments are conducted to evaluate the algorithm’s performance under various parameter combinations. The ELWOA involves several parameters, including the initial population size, the number of iterations, the percentage of population retention, and others. If these parameters are not configured appropriately, the algorithm’s effectiveness in solving large-scale cases may be significantly compromised. In this section, eight representative parameter groups are selected for analysis. The details of these experimental parameter groups are presented in Table 5.
Table 5.
Experimental parameters.
In this section, the hammer drill is used as an experimental case, and extensive experiments are conducted based on the parameter sets listed in Table 6. The experiments measure the algorithm’s running time and record the optimal, worst, and average objective values. By comparing parameter combinations 1, 2, 3, and 4, it is observed that a larger initial population size leads to a higher number of optimal solutions but also increases the solution time when other parameters remain constant. Notably, when the initial population size is set to 300, the number of optimal solutions is comparable to that with a population size of 400. However, the average objective value is slightly higher, and the solution time is significantly reduced. Based on this finding, an initial population size of 300 is selected for subsequent experiments. Comparing parameter sets 3, 5, and 6, it is found that increasing the number of iterations improves the number of optimal solutions. However, beyond 200 iterations, such as at 500 iterations, the improvement becomes negligible. This can be attributed to the fast convergence of the ELWOA, as the algorithm approaches the optimal solution within approximately 200 generations. Further comparison of parameter sets 3, 7, and 8 reveals that the best performance of the elite retention strategy occurs when the percentage of retained highly adaptive whales is set to 0.8. At a retention percentage of 0.9, the population diversity decreases, leading to a higher risk of getting trapped in the local optima. Conversely, at 0.5, the retention of good genes is insufficient, limiting the solution space and hindering the algorithm’s ability to reach higher-quality solutions. Based on these analyses, the following experimental parameters are selected for the ELWOA: an initial population size of 300, 200 iterations, a retention percentage of 0.8 for highly adaptive whales, 0.15 for medium adaptive whales, and 0.05 for low adaptive whales.
Table 6.
Parameter experiment results.
4.3. Experimental Results
The test case set is solved using both CPLEX and the ELWOA, with the results presented in Table 7 and Table 8, respectively. The running parameters for the ELWOA are configured based on the experimental findings from the previous section: an initial population size of 300, 200 iterations, and retention percentages of 0.8 for highly adaptive whales, 0.15 for medium-adaptive whales, and 0.05 for low-adaptive whales.
Table 7.
Results of solving the instances set based on CPLEX.
Table 8.
Results of solving the instances set based on the ELWOA.
From Table 7, the CPLEX solutions satisfy the priority relationship constraints for disassembly and assembly tasks, verifying the correctness of the DALHBP mathematical model. CPLEX demonstrates better results for small-scale cases (Case 1, Case 2, and Case 3), achieving optimal solutions in a relatively short time. However, for large-scale cases (Case 4 and Case 5), the solution speed decreases significantly, and in some instances, CPLEX fails to find a feasible solution within the specified time.
The ELWOA solution results, shown in Table 8, differ from those of CPLEX due to differences in encoding and decoding methods. Nevertheless, the ELWOA solutions also satisfy the priority relationship constraints for disassembly and assembly tasks. Additionally, the algorithm’s solution time is very short, demonstrating the high efficiency of the ELWOA.
Table 9 compares the experimental results of the ELWOA and CPLEX. The findings reveal that the ELWOA performs comparably to CPLEX in small-scale cases, with both algorithms achieving optimal solutions. However, for large-scale cases, the ELWOA not only obtains optimal solutions but also significantly reduces the solution time. These results indicate that the ELWOA is an efficient and effective algorithm for solving the DALHBP.
Table 9.
Comparison of the ELWOA and CPLEX results.
4.4. Algorithm Performance Experiments
To assess the robustness and efficiency of the ELWOA, we compare it with several meta-heuristic algorithms proposed in recent years. The following four algorithms are selected for comparison: the Discrete Whale Optimization Algorithm (DWOA) [34], the Dingo Optimizer (DOA) [35], the Aquila Optimizer (AOA) [36], and the Discrete Fruit Fly Optimization Algorithm (DFOA) [37].
The performance of these algorithms is evaluated by testing their number of Excellent times and calculating their Excellent rates. The experimental results are presented in Table 10. The results show that all algorithms perform well in solving small-scale cases. However, for large-scale cases, the ELWOA achieves a significantly higher Excellent rate compared to the other algorithms, demonstrating its superior robustness in solving the DALHBP.
Table 10.
Excellent rates for different cases.
Additionally, this section presents a comparison of the optimal objective value, worst objective value, average objective value, and solution time achieved by different algorithms across various test cases. The experimental results are summarized in Table 11. While all algorithms are capable of achieving the optimal value, the ELWOA outperforms the others in large-scale cases. Specifically, the ELWOA produces significantly better worst and average objective values compared to the other algorithms. Furthermore, the ELWOA demonstrates a substantially faster solution time for large-scale cases. These findings highlight the superior robustness and efficiency of the ELWOA in solving DALHBP.
Table 11.
Optimization solutions for different algorithms.
Finally, this section compares the convergence speeds and results of the selected algorithms. Figure 11 illustrates the convergence curves for each algorithm in solving the hammer drill case. The results indicate that the ELWOA converges the fastest and achieves a solution closer to the optimal compared to the other algorithms.
Figure 11.
Convergence curves for different algorithms.
5. Conclusions
This work addresses the human–machine collaboration disassembly and assembly hybrid line balance problem (DALHBP) by proposing a mathematical model. The correctness of the model is verified using the IBM ILOG CPLEX solver, which is also employed to determine the optimal sequence for a set of test instances. To solve large-scale cases, an evolutionary learning-based whale optimization algorithm (ELWOA) is developed. The ELWOA incorporates crossover and mutation operations from genetic algorithms into the WOA framework, simulating population update strategies to achieve both global and local search. This enhances the diversity and exploratory capability of the algorithm while improving its convergence speed and accuracy. The designed crossover and mutation operators ensure that the original priority relationships are preserved after these operations. Additionally, an elite retention strategy, inspired by population retention strategies in genetic algorithms, is implemented to balance global and local search, thereby improving the exploration capability of the ELWOA. To demonstrate the superiority of the ELWOA in terms of objective function values and computational efficiency, its performance is compared with IBM ILOG CPLEX. The results reveal that the ELWOA achieves significantly faster computation times than CPLEX and produces consistent results for small-scale instances. For large-scale instances, the ELWOA outperforms CPLEX by obtaining better solutions, making it an efficient and robust algorithm for solving discrete optimization problems.
In our future work, we plan to address the variability in human–machine collaboration efficiency, which can significantly impact the performance of disassembly and assembly line balancing in real-world scenarios. By incorporating models that capture this variability, we aim to enhance the practical applicability and robustness of the proposed approach. Additionally, we plan to expand the current model by incorporating more comprehensive human factors, such as ergonomic factors, safety constraints, and task learning, to better capture the complexities of human–robot collaboration. This will move beyond the idealized assumptions in the current study and provide a more practical framework for real-world applications.
Author Contributions
Methodology, X.C.; Software, Q.M.; Formal analysis, J.W.; Investigation, X.G.; Resources, P.L. and Y.J.; Writing—original draft, X.C.; Writing—review & editing, L.Q., S.Q. and B.H. All authors have read and agreed to the published version of the manuscript.
Funding
This research was funded by ‘National Local Joint Engineering Laboratory for Optimization of Petrochemical Process Operation and Energy saving Technology’ grant number LJ232410148002. and ‘the Innovation Team Project of the Educational Department of Liaoning Province’ grant number LJ222410148036.
Data Availability Statement
The original contributions presented in this study are included in the article. Further inquiries can be directed to the corresponding author.
Conflicts of Interest
The authors declare no conflicts of interest.
References
- Yolmeh, A.; Saif, U. Closed-loop supply chain network design integrated with assembly and disassembly line balancing under uncertainty: An enhanced decomposition approach. Int. J. Prod. Res. 2021, 59, 2690–2707. [Google Scholar] [CrossRef]
- Brennan, L.; Gupta, S.M.; Taleb, K.N. Operations planning issues in an assembly/disassembly environment. Int. J. Oper. Prod. Manag. 1994, 14, 57–67. [Google Scholar] [CrossRef]
- Ilgin, M.A.; Akçay, H.; Araz, C. Disassembly line balancing using linear physical programming. Int. J. Prod. Res. 2017, 55, 6108–6119. [Google Scholar] [CrossRef]
- Liu, M.; Liu, X.; Chu, F.; Zheng, F.; Chu, C. Robust disassembly line balancing with ambiguous task processing times. Int. J. Prod. Res. 2020, 58, 5806–5835. [Google Scholar] [CrossRef]
- Wang, K.; Li, X.; Gao, L.; Li, P. Modeling and balancing for disassembly lines considering workers with different efficiencies. IEEE Trans. Cybern. 2021, 52, 11758–11771. [Google Scholar] [CrossRef]
- Guo, X.; Fan, C.; Zhou, M.; Liu, S.; Wang, J.; Qin, S.; Tang, Y. Human–robot collaborative disassembly line balancing problem with stochastic operation time and a solution via multi-objective shuffled frog leaping algorithm. IEEE Trans. Autom. Sci. Eng. 2023, 21, 4448–4459. [Google Scholar] [CrossRef]
- Guo, X.; Wei, T.; Wang, J.; Liu, S.; Qin, S.; Qi, L. Multiobjective U-shaped disassembly line balancing problem considering human fatigue index and an efficient solution. IEEE Trans. Comput. Soc. Syst. 2022, 10, 2061–2073. [Google Scholar] [CrossRef]
- Guo, X.; Zhang, Z.; Qi, L.; Liu, S.; Tang, Y.; Zhao, Z. Stochastic hybrid discrete grey wolf optimizer for multi-objective disassembly sequencing and line balancing planning in disassembling multiple products. IEEE Trans. Autom. Sci. Eng. 2021, 19, 1744–1756. [Google Scholar] [CrossRef]
- Fu, Y.; Wang, Y.; Gao, K.; Huang, M. Review on ensemble meta-heuristics and reinforcement learning for manufacturing scheduling problems. Comput. Electr. Eng. 2024, 120, 109780. [Google Scholar] [CrossRef]
- Zhang, Z.; Fu, Y.; Gao, K.; Pan, Q.; Huang, M. A learning-driven multi-objective cooperative artificial bee colony algorithm for distributed flexible job shop scheduling problems with preventive maintenance and transportation operations. Comput. Ind. Eng. 2024, 196, 110484. [Google Scholar] [CrossRef]
- Fu, Y.; Ma, X.; Gao, K.; Li, Z.; Dong, H. Multi-objective home health care routing and scheduling with sharing service via a problem-specific knowledge-based artificial bee colony algorithm. IEEE Trans. Intell. Transp. Syst. 2023, 25, 1706–1719. [Google Scholar] [CrossRef]
- Zhao, Z.; Bian, Z.; Liang, J.; Liu, S.; Zhou, M. Scheduling and logistics optimization for batch manufacturing processes with temperature constraints and alternative thermal devices. IEEE Trans. Ind. Inform. 2024, 20, 11930–11939. [Google Scholar] [CrossRef]
- Zhao, Z.; Li, X.; Liu, S.; Zhou, M.; Yang, X. Multi-Mobile-Robot Transport and Production Integrated System Optimization. IEEE Trans. Autom. Sci. Eng. 2024, 1–12. [Google Scholar] [CrossRef]
- Zhao, Z.; Li, S.; Liu, S.; Zhou, M.; Li, X.; Yang, X. Lexicographic dual-objective path finding in multi-agent systems. IEEE Trans. Autom. Sci. Eng. 2024, 1–11. [Google Scholar] [CrossRef]
- Ketzenberg, M.E.; Souza, G.C.; Guide Jr, V.D.R. Mixed assembly and disassembly operations for remanufacturing. Prod. Oper. Manag. 2003, 12, 320–335. [Google Scholar] [CrossRef]
- Mete, S.; Çil, Z.A.; Özceylan, E.; Ağpak, K.; Battaïa, O. An optimisation support for the design of hybrid production lines including assembly and disassembly tasks. Int. J. Prod. Res. 2018, 56, 7375–7389. [Google Scholar] [CrossRef]
- Zhang, Z.; Zhu, L.; Chen, Y.; Guan, C. A multi-objective hybrid evolutionary search algorithm for parallel production line balancing problem including disassembly and assembly tasks. Int. Trans. Oper. Res. 2023, 30, 3508–3553. [Google Scholar] [CrossRef]
- Guo, J.; Pu, Z.; Du, B.; Li, Y. Multi-objective optimisation of stochastic hybrid production line balancing including assembly and disassembly tasks. Int. J. Prod. Res. 2022, 60, 2884–2900. [Google Scholar] [CrossRef]
- Murphy, R.R.; Nomura, T.; Billard, A.; Burke, J.L. Human–robot interaction. IEEE Robot. Autom. Mag. 2010, 17, 85–89. [Google Scholar] [CrossRef]
- Maurtua, I.; Ibarguren, A.; Kildal, J.; Susperregi, L.; Sierra, B. Human–robot collaboration in industrial applications: Safety, interaction and trust. Int. J. Adv. Robot. Syst. 2017, 14, 1729881417716010. [Google Scholar] [CrossRef]
- Umbrico, A.; Orlandini, A.; Cesta, A.; Faroni, M.; Beschi, M.; Pedrocchi, N.; Scala, A.; Tavormina, P.; Koukas, S.; Zalonis, A.; et al. Design of advanced human–robot collaborative cells for personalized human–robot collaborations. Appl. Sci. 2022, 12, 6839. [Google Scholar] [CrossRef]
- Lee, R.K.J.; Zheng, H.; Lu, Y. Human-robot shared assembly taxonomy: A step toward seamless human-robot knowledge transfer. Robot. Comput.-Integr. Manuf. 2024, 86, 102686. [Google Scholar] [CrossRef]
- Wang, L.; Gao, R.; Váncza, J.; Krüger, J.; Wang, X.V.; Makris, S.; Chryssolouris, G. Symbiotic human-robot collaborative assembly. CIRP Ann. 2019, 68, 701–726. [Google Scholar] [CrossRef]
- Mirjalili, S.; Lewis, A. The whale optimization algorithm. Adv. Eng. Softw. 2016, 95, 51–67. [Google Scholar] [CrossRef]
- Ezzeldin, R.M.; Djebedjian, B. Optimal design of water distribution networks using whale optimization algorithm. Urban Water J. 2020, 17, 14–22. [Google Scholar] [CrossRef]
- Zhang, J.; Hong, L.; Liu, Q. An improved whale optimization algorithm for the traveling salesman problem. Symmetry 2020, 13, 48. [Google Scholar] [CrossRef]
- Abd El Aziz, M.; Ewees, A.A.; Hassanien, A.E. Whale optimization algorithm and moth-flame optimization for multilevel thresholding image segmentation. Expert Syst. Appl. 2017, 83, 242–256. [Google Scholar] [CrossRef]
- Li, Y.; He, Y.; Liu, X.; Guo, X.; Li, Z. A novel discrete whale optimization algorithm for solving knapsack problems. Appl. Intell. 2020, 50, 3350–3366. [Google Scholar] [CrossRef]
- Koc, A.; Sabuncuoglu, I.; Erel, E. Two exact formulations for disassembly line balancing problems with task precedence diagram construction using an AND/OR graph. IIE Trans. 2009, 41, 866–881. [Google Scholar] [CrossRef]
- Lu, Q.; Ren, Y.; Jin, H.; Meng, L.; Li, L.; Zhang, C.; Sutherland, J.W. A hybrid metaheuristic algorithm for a profit-oriented and energy-efficient disassembly sequencing problem. Robot. Comput.-Integr. Manuf. 2020, 61, 101828. [Google Scholar] [CrossRef]
- Tang, Y. Disassembly modeling, planning, and application. J. Manuf. Syst. 2002, 21, 200–217. [Google Scholar] [CrossRef]
- Nowakowski, P. A novel, cost efficient identification method for disassembly planning of waste electrical and electronic equipment. J. Clean. Prod. 2018, 172, 2695–2707. [Google Scholar] [CrossRef]
- Pistolesi, F.; Lazzerini, B.; Dalle Mura, M.; Dini, G. EMOGA: A hybrid genetic algorithm with extremal optimization core for multiobjective disassembly line balancing. IEEE Trans. Ind. Inform. 2017, 14, 1089–1098. [Google Scholar] [CrossRef]
- Cui, X.; Guo, X.; Zhou, M.; Wang, J.; Qin, S.; Qi, L. Discrete whale optimization algorithm for disassembly line balancing with carbon emission constraint. IEEE Robot. Autom. Lett. 2023, 8, 3055–3061. [Google Scholar] [CrossRef]
- Bairwa, A.K.; Joshi, S.; Singh, D. Dingo optimizer: A nature-inspired metaheuristic approach for engineering problems. Math. Probl. Eng. 2021, 2021, 2571863. [Google Scholar] [CrossRef]
- Abualigah, L.; Yousri, D.; Abd Elaziz, M.; Ewees, A.A.; Al-Qaness, M.A.; Gandomi, A.H. Aquila optimizer: A novel meta-heuristic optimization algorithm. Comput. Ind. Eng. 2021, 157, 107250. [Google Scholar] [CrossRef]
- Wang, J.; Guo, X.; Zhou, M.; Wang, J.; Qin, S.; Qi, L. Discrete fruit fly optimization algorithm for disassembly line balancing problems by considering human worker’s learning effect. In Proceedings of the 2022 Australian & New Zealand Control Conference (ANZCC), Gold Coast, Australia, 24–25 November 2022; IEEE: Piscataway, NJ, USA, 2022; pp. 201–206. [Google Scholar]
Disclaimer/Publisher’s Note: The statements, opinions and data contained in all publications are solely those of the individual author(s) and contributor(s) and not of MDPI and/or the editor(s). MDPI and/or the editor(s) disclaim responsibility for any injury to people or property resulting from any ideas, methods, instructions or products referred to in the content. |
© 2025 by the authors. Licensee MDPI, Basel, Switzerland. This article is an open access article distributed under the terms and conditions of the Creative Commons Attribution (CC BY) license (https://creativecommons.org/licenses/by/4.0/).










