Abstract
This manuscript deals with a novel two-parameter stochastic distribution, obtained by transforming the Cauchy distribution, using generalized logistic mapping, into a unit interval. In this way, according to the well-known properties of the Cauchy distribution, a unit random variable with significantly accentuated values at the ends of the unit interval is obtained. Therefore, the proposed stochastic distribution, named the Cauchy–logistic unit distribution, represents a stochastic model that may be suitable for modeling phenomena and processes with emphasized extreme values. Key stochastic properties of the CLU distribution are examined, such as moments, entropy, modality, and symmetry conditions. In addition, a quantile-based parameter estimation procedure, an asymptotic analysis of the thus obtained estimators, and their Monte Carlo simulation study are conducted. Finally, the application of the proposed distribution in stochastic modeling of some real-world data with emphasized extreme values is provided.
Keywords:
unit distributions; Cauchy distribution; generalized logistic map; stochastic properties; parameter estimation; quantiles; application MSC:
60E05; 62E10; 62F10
1. Introduction
One of the important tools of contemporary probability theory is the so-called unit stochastic distributions, primarily used as stochastic models that describe proportional (i.e., percentage-based) variables. A proportional analysis is often used in various applied fields, such as econometrics, medicine, and engineering, where random variables (RVs) with a distribution defined on a unit interval are used to model the behavior of some real-world phenomena (see, as the most recent example, [1,2,3,4,5,6,7,8,9]). At the same time, due to the limitation of data within the interval, the modeling procedure itself is significantly different from the usual, traditional stochastic modeling. A typical approach to the construction of these stochastic distributions is usually based on the application of continuously differentiable transformations from distributions defined on infinite intervals to unit intervals. Therefore, various transformations of continuous distributions into a unit interval are applied, such as Log-logistic distribution [10], Gompertz distribution [11], Teisser distribution [12], inverse Teisser distribution [13], Burr Type-X distribution [14], Maxwell–Boltzmann distribution [15], or unit distributions close to the exponential one [16,17]. In addition, recently, semi-logistic mappings have been frequently used in these types of transformations [18,19].
On the other hand, most unit distributions are limited, for instance, by only one form of (a)symmetry, or the property of “vanishing” data at the ends of the unit interval, which is inconvenient when it comes to phenomena with emphasized extreme values. To this end, a new unit distribution, called the Cauchy–logistic unit (CLU) distribution, is proposed here. Using similar ideas as in [20,21], the CLU distribution is based on a general logistic mapping of the Cauchy distribution to the unit interval. As is known, the Cauchy distribution has ˝heavy tails”, so the CLU distribution could be used in modeling empirical data on a unit interval with emphasized extremes, especially at the ends of the unit interval. In this way, it can be an alternative model to well-known unitary distributions such as Beta-type distributions [22], cumulative distribution function-quantile (CDF-Q) distributions [23,24], or the recently proposed, bounded truncated Cauchy power exponential (BTCPE) distribution [25].
The procedure for obtaining the CLU distribution is presented in the next Section 2, along with its key stochastic properties, such as moment-based features, (a)symmetry and modality conditions, entropy, hazard rates, quantile functions, etc. Section 3 discusses the methods of estimating the parameters of the CLU distribution, using the order and quantile statistics, as well as the numerical study and asymptotic properties of the estimators thus obtained. An application of the CLU distribution in fitting some real-world data with emphasized extremes is presented in Section 4, where it is also compared with some of the previously known unit stochastic distributions. Finally, Section 5 contains some concluding remarks and highlights.
2. Cauchy–Logistic Unit Distribution. Definition and Main Properties
We start from the random variable (RV) Y with a symmetric Cauchy distribution, defined by the probability density function (PDF):
where is the scale parameter. For some , let us define the so-called generalized logistic map , which is an obvious bijective, continuous transformation , with the following limits:
According to Equation (1) and the inverse transformation , the PDF of the new RV X, after some computations, is obtained as follows:
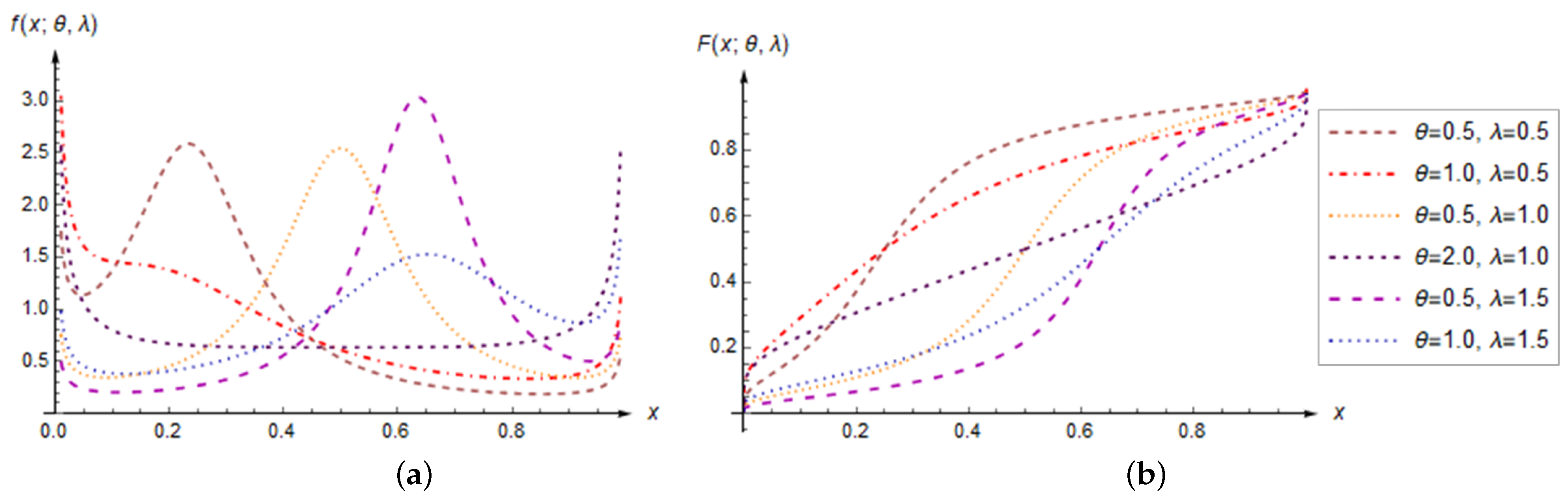
where and . Therefore, we say that the RV X, whose PDF is given by Equation (2), has a Cauchy–logistic unit (CLU) distribution, with the parameters , or abbr. . Based on that, it is obvious that the CLU distribution is a two-parameter distribution, where, in addition to the scale parameter , there is also a shape parameter . Due to them, the CLU distribution has various forms, asymmetries, and flexibilities, as shown in Figure 1a. Furthermore, it is easy to verify that the following boundary conditions hold:
that is, the CLU distribution can be suitable for modeling phenomena with accentuated extremes at the ends of the unit interval.
Figure 1.
Plots of the PDFs (a) and CDFs (b) of the CLU distribution for some values of parameters .
Additionally, the right plots (Figure 1b) show the cumulative distribution function (CDF) of the CLU distribution, obtained from Equation (1), after some computations, as follows:
Here, , and function is well defined outside the unit interval, since for all parameter values is valid:
Based on the above, some key features of the CLU distribution are discussed below.
2.1. Moment-Based Features
Firstly, the PDF and CDF of the CLU distribution can be used to obtain the incomplete moments:
where r is an integer and . According to
the integral in Equation (4) converges, but it cannot be expressed in a closed form. The following statement gives a series expansion for incomplete moments, suitable for its numerical approximation.
Theorem 1.
The incomplete moment of the CLU distributed RV X can be expressed in the following way:
where
and
with and .
Proof.
Applying integration by parts in Equation (4), and then changing the variable , we obtain
Now, the following two cases can be observed:
When , or equivalently , we have , that is, . Thus, by applying the generalized binomial formula in the last integral in Equation (7), one obtains
At the same time, for some fixed and positive , i.e., , the last sum and integral are absolutely convergent and are valid:
Therefore, the sign of the integral and the sign of the sum in Equation (8) can be inverted (see, e.g., Theorem 1.38 in [26]), after which it obviously gives the first expression in Equation (5).
In the second case, when , that is, , using a similar procedure as above, we have
that is, after substitution ,
Similarly to before, for some fixed , i.e., , the following applies:
Remark 1.
Note that to apply the procedure for obtaining incomplete moments, described in the previous theorem, it is necessary to calculate the integrals defined by Equations (6). This can be achieved after some algebraic calculation, which yields the following equality for the corresponding indefinite integral:
where and is the exponential integral. At the same time, the above indefinite integral is real-valued, because:
According to Theorem 1, one can easily obtain the moments of the CLU distribution:
They can be viewed as limiting cases of incomplete moments, when , and similarly as in [21], using the second one of Equations (5), it immediately follows:
Corollary 1.
The moment of the CLU of the distributed RV X can be expressed as
where:
and and are the cosine and sine integrals, respectively.
Remark 2.
Note that Equation (11) can be used for (approximate) calculation of the mean value and the variance . For instance, when , it is easy to obtain the (exact) value of the mean , as well as the approximate value of the variance (calculated by summing terms in Equation (11)) . Similarly, with arbitrary precision, one can calculate the skewness and the kurtosis of the CLU distributed RV X, respectively,
Remark 3.
The ratio of the incomplete and ordinary first-order moments defines the so-called Lorenz curve:
which is often used as a tool to measure income inequality. Figure 2a shows the plots of Lorenz curves for some values of the parameters of the CLU distribution, with those “closer” to the diagonal line indicating a more even distribution of income, and vice versa. As can be seen, the CLU distribution shows the ability to describe significant inequality in the distribution of income, and this is in accordance with its definition, i.e., with the possibility of describing extreme data values.
Figure 2.
(a) Lorenz curves of the CLU distribution obtained for some parameter values; (b) 3D plot of the parameter dependence of Shannon entropy.
The entropy of the CLU distribution, as an important measure of uncertainty, is briefly discussed below. One of the frequently used, generalized ways of defining the entropy of RVs is the so-called Rényi entropy, given by the following equation:
where and . According to the definition of the CLU distributed RV , after some algebraic calculations similar to the proof of Theorem 1, one obtains
where
Based on the above, the well-known Shannon entropy can be obtained as follows:
where , and the listed partial derivative exists but is omitted here due to its complexity. In Figure 2b, a 3D plot of the Shannon entropy is shown, in dependence on parameters . Note that high values of Shannon entropy are obtained even with a slight increase in the shape parameter . This (again) corresponds to the interpretation of the CLU distribution as a unit distribution with pronounced extremes.
2.2. Hazard Rate and Quantile Function
In this part, two more important functions that can further characterize the properties of the CLU distribution are considered. First, we introduce the hazard rate function (HRF), which is easily obtained according to Equations (2) and (3), as follows:
Similar to the PDF of the CLU distribution, given by Equation (2), one can easily see that the function satisfies the following boundary conditions:
This means that the HRF has two asymptotic points at and , i.e., in addition to the usual tendency to increase with increasing values of , there is also the so-called decreasing failure rate (DFR). It describes the phenomenon where the probability of failure decreases in a unit interval, with the possibility that in some cases a sudden jump in the probability of failure is possible, as can be seen in Figure 3.
Figure 3.
Plots of the HRFs , CHRFs , RHRFs , and Odds for some values of the CLU distribution parameters .
Additionally, after some simple algebraic calculations, the cumulative hazard rate function (CHRF), reversed hazard rate function (RHRF), and odds function (Odds) can be obtained, respectively, as follows:
where . As is known (see, for more details, [27,28,29]), the CHRF represents total accumulated risk up to a certain time , while the RHRF gives the conditional probability of failure provided that it has already occurred. As can be easily seen, in the case of the CLU distribution, the CHRF is an increasing function, while the RHRF has infinite values at both ends of the unit interval. At the same time, due to the previously mentioned properties of the CLU distribution, both functions have a very pronounced and fast convergence towards infinity when . This means that the probability of a failure occurring increases rapidly as time approaches the end of the observation period. Finally, in survival analysis, the Odds represent the ratio of the likelihood that a certain failure will not occur (in a given time period) compared with the probability that it will occur. It is clear that the Odds is a monotonically decreasing function, tending to zero when . This can also be seen in Figure 3, where plots of all the previously mentioned reliability functions are shown.
Further, by using Equation (3), the quantile function (QF) can be easily obtained, as follows:
where . As is well known, the QF plays an important role in stochastic theory by mapping probabilities (i.e., quantiles) on them corresponding values in a given distribution. Additionally, in our case it can be a very useful tool for some additional ways of examining the shape properties of the CLU distribution, which are listed below.
Theorem 2.
Let be the RV with the CLU distribution, whose QF is given by Equation (13). Then, the following statements hold:
The RV X is symmetrically distributed if and only if . Otherwise, X is positively asymmetric when and negatively asymmetric when .
The RV X is unimodal if and only if its parameters satisfy the equality:
wherein is , and is the mode of the CLU distribution. Otherwise, the PDF of X is a convex, bathtub-shaped function.
Proof.
Substituting the quantile in the QF , given by Equation (13), the median is simply obtained. Thus, the RV X is symmetrically distributed if and only if the median is equal to 1/2, that is, when . The positive and negative asymmetry conditions are also easily obtained from here by solving the inequalities and , respectively.
Using the rule for the derivative of the inverse function for the derivatives up to the third order of the QF , one obtains
Thus, is the mode of RV X, that is, the point of maxima of the PDF if and only if the value satisfies
Remark 4.
Note that the functional dependence in Equation (14) is periodic, with respect to , as can be seen in Figure 4. Here, a polar plot of dependence of parameters is presented that gives a unimodal CLU distribution, for different and various angular “views”. As can be observed, these dependencies have a spiral shape, whereas in the case of (Figure 4a), a circle, as a trivial spiral, is obtained. As shown in the previous theorem, each then yields a symmetric CLU distribution. Thereby, the value implies , and after some calculation, one obtains
Figure 4.
Polar plots of the parameters dependence which gives the unimodal CLU distribution, with fixed and three various angular intervals: (a) ; (b) ; (c) .
Thus, when , the CLU distribution is unimodal, while for it has a convex bathtub shape, which can also be seen in Figure 1a.
Remark 5.
Using the QF , defined by Equation (13), some more measures of the shape of the CLU distribution can be studied. These are, for instance, Galton skewness (GS) which measures the degree of long tail, and Moors kurtosis (MK) which measures the degree of weight of the tail of the distribution (see, e.g., Nasiru et al. [5,8]). In the case of the CLU distribution, these two measures, after some calculation, can be expressed as follows:
Figure 5 shows 3D plots of the dependences of both these coefficients with respect to the parameters . Let us notice, for instance, in the same way as in Theorem 2, that the coefficient has positive values (i.e., positive asymmetry is valid) for the values of the parameter and vice versa.
Figure 5.
Thre-dimensional graphs of the dependence of the Galton skewness and Moors kurtosis with respect to the parameters .
3. Parameters Estimation and Simulation Study
In this section, the procedure for estimating the parameters of the CLU-distributed RV X is presented. It is worth pointing out that, based on the previously mentioned properties of the CLU distribution, the usage of some common estimation procedures has some difficulties. For instance, due to the complexity of calculating the moments, that is, the likelihood function, the method of moments, or the maximum likelihood estimation methods are somewhat unsuitable. Therefore, similar to [20,21], the estimation methods based on the quantiles of the CLU distribution, i.e., the values of the QF , are discussed here.
3.1. Estimation of CLU Distribution Parameters
First, for a random sample of the length n, let us define the corresponding order statistics , whose PDFs are given with the following well-known expression:
where . Then, similar to the proof of Theorem 2, by substituting , into the QF , the quartiles of the RV X are obtained:
while the second quartile is the median . On the other hand, the sample quantiles are given as follows:
where is the integer part of . Obviously, the sample quantiles are the order statistics, so their distribution is simply obtained according to Equation (17). Furthermore, sample quartiles , can be used as the estimators of theoretical ones, and based on them, the estimator of the shape parameter is given by , where is the sample median. Also, according to Equation (13), it follows that
and using estimator , for the estimator of the scale parameter , one obtains
Note that this estimator is close to the so-called Hodges–Lehmann estimator for the scale parameter of the Cauchy distribution [30]. In addition, both obtained estimators have certain asymptotic and efficiency properties, which can be expressed as follows:
Theorem 3.
Statistics are consistent and asymptotic normal (AN) estimators for the true parameters .
Proof.
Using some general asymptotic sample quantile theory [31,32,33], we first prove the consistency of the proposed estimators. To this end, for any , note that the CDF is a differentiable, increasing function. Thus, quantile is uniquely determined by Equation (13), so according to Bahadur’s representation of sample quantiles (see, e.g., Theorem 1 in [32] or [33], pp. 91–92), it is valid that
where is the empirical CDF. As is well known, for each , the almost sure and uniform convergence , holds. By applying this convergence to Equation (20), when , it is obtained that
i.e., the sample quantiles are consistent estimators of the theoretical ones. Finally, as estimators are continuous functions of sample quartiles , , by using the property of continuity of almost sure convergence (see, e.g., [33], p. 24), it follows that
For the proof of the AN property, notice that according to Equation (20), under the same assumptions as above, the following convergence in distribution is valid:
According to this and the continuity of convergence in distribution (see, e.g., [33], p. 118), for the estimator , the following holds:
wherein
3.2. Simulation Study
In the following, using Monte Carlo simulations of samples from the CLU distribution, the proposed estimators for each of the samples are calculated, and their statistical analysis is performed. To this end, three different types of samples are considered:
Sample I is drawn from a positively asymmetric bathtub-shaped CLU distribution , with parameters , .
Sample II is drawn from a symmetric unimodal CLU distribution , with parameters , .
Sample III is drawn from a negatively asymmetric unimodal CLU distribution , with parameters , .
Note that the simulated values of all samples are generated by the R-package “distr” [34], according to which the estimates and are simply calculated. For each of them, four different sample sizes are considered, equal to , , , and , respectively. Some realizations of these samples are shown in Figure 6 below, and it is worth pointing out that the choice of sample lengths, among others, was taken as “close” to some real-world data series that will be discussed later. The results of Monte Carlo simulations and statistical analyses of estimated parameters obtained based on the realization of the above samples are presented in Table 1, Table 2 and Table 3.
Figure 6.
Left panels: realizations of samples with CLU distribution. Right panels: empirical and fitted PDFs of the RV .
Table 1.
Summary statistics, estimation errors, and AN testing of parameter estimates of the CLU distribution. (Sample I with the true parameters: ).
Table 2.
Summary statistics, estimation errors, and AN testing of parameter estimates of the CLU distribution. (Sample II with the true parameters: ).
Table 3.
Summary statistics, estimation errors, and AN testing of parameter estimates of the CLU distribution. (Sample III with the true parameters: ).
In order to check the effectiveness of proposed estimators, independent simulations of each sample were conducted, and the results of the statistical analysis of the obtained estimates are presented in Table 1, Table 2 and Table 3. In other words, Table 1, Table 2 and Table 3 contain their summary statistics, as well as the mean square errors of estimation (MSEE), fractional errors of estimation (FEE), and the results of the Anderson–Darling (AD) and Lilliefors (D) normality tests. According to this, it can be observed that the proposed estimators are efficient, as the SD, MSEE, and FEE values decrease with increasing sample size. Therefore, the estimates are more stable and accurate than , since the estimates are obtained by a two-stage procedure, that is, using Equation (19) and previously calculated values of .
Some confirmation of this can be seen in Figure 6, where sample realizations, as well as their empirical and fitted distributions, are shown. The AN properties of the obtained estimates also confirm similar conclusions. The test statistics and the appropriate p-values, computed using the R-package “nortest” [35], show that for smaller samples, the estimates of have a less pronounced AN property than . Nevertheless, the AN property was confirmed in most samples, as can be also seen in Figure 7. Here, in order to compare the empirical distribution of the obtained samples with the Gaussian distribution, Q-Q plots of estimates of both parameters for samples of size are shown.
Figure 7.
Q-Q plots of parameter estimates (left) and (right) for samples of length .
4. Applications of the CLU Distribution
Some possibilities for the application of LCU distribution in real-world data modeling are discussed here, as well as a comparison of the proposed model with some existing ones. To this end, the following three real-world data sets were observed whose empirical distributions have a presence of “heavy tails”:
The first set of data, named Series A, was obtained by researching the percentage of use of certain types of antibiotics (aminoglycosides, penicillins, and cephalosporins), before and during the SarS CoV virus pandemic. In this way, by using the official data of the General Hospital in the city of Vranje, the regional center of southern Serbia, a data set of length was obtained.
The second one, named Series B, represents the percentage of time spent using the service by end users and is part of the training data set relating to network and telecommunication traffic in India. This data set, also observed in [21], was collected by [36] and consists of monthly end-user costs (in Indian rupees), normalized to their maximum and minimum values, yielding a data set within a unit interval.
The third, Series C, obtained according to the official data of the National Association of Securities Dealers in Automated Quotations (NASDAQ) [37], refers to the daily log-returns of stock prices in the period from 29 May 2018 to 24 May 2023 and represents a time series of length . Notice that its dynamics were examined earlier in [38], where it is shown that it can be viewed as independent realizations of the RV with Cauchy distribution. Therefore, this series is transformed here by the previously mentioned logistic function, that is, it represents the input of the logistic regression model, while the output is the realization of the RV with the CLU distribution.
It is also worth noting that data with larger lengths are observed, as the presence of “heavy tails” in their empirical distributions is more noticeable (see Figure 8 below). To check the efficiency of the CLU distribution, it is compared with the following three previously known unit distributions:
Figure 8.
Left panels: observed values of the real-world data series. Right panels: empirical and fitted PDFs, obtained with CLU, Beta, and Kumaraswamy distributions.
Beta distribution, whose PDFs is
where ; are the distribution parameters, and is the beta function.
Bounded truncated Cauchy power exponential (BTCPE) distribution, introduced by [25], whose PDF is
where and .
The unit-Weibull (UW) distribution, proposed by [39], whose PDF is:
where and .
To obtain the estimated parameter values of the Beta distribution, the method of moments (MM) is applied (see, e.g., [40]). According to this, the resulting estimates are
where is the sample mean, is the sample variance, and . From the other side, for the other two distributions, the maximum likelihood (ML) estimation method is used, where the parameters are estimated by maximizing the following log-likelihood function:
For numerical optimization of the log-likelihood functions given by Equation (25), the R-function “optim()” within the “stats” package was used. As is well known, the proposed estimators for both of the above distributions have desirable properties, such as consistency and AN features. Therefore, one of the reasons for choosing such estimation methods is to compare the CLU distribution with other, well-known distributions, also in terms of different estimation procedures.
The observations of the aforementioned series, along with fitted PDFs obtained by the previously described parameter estimation procedures, are also shown in Figure 8. As can be seen, all series have pronounced and persistent fluctuations, which create “heavy tails” in their distributions. In particular, it is noticeable that the empirical distribution of Series A is significantly positively skewed, and Series B has a negatively asymmetric distribution, while Series C has an approximately symmetric empirical distribution. This can be confirmed by the estimated parameter values for each series, as well as for all competing distributions, which are shown in Table 4, Table 5 and Table 6. Thus, for instance, Series C has an estimated value of the shape parameter , which indicates the possibility of symmetry of its distribution.
Table 4.
Estimated parameters of the competing distributions for Series A, along with corresponding estimation errors, fit, and test statistics.
Table 5.
Estimated parameters of the competing distributions for Series B, along with corresponding estimation errors, fit, and test statistics.
Table 6.
Estimated parameters of the competing distributions for Series C, along with corresponding estimation errors, fit, and test statistics.
In the following, independent Monte Carlo simulations were conducted for all competing models. Agreement between the distributions of the real and fitted data was checked using the MSEE error statistics, the Akaike information criterion (AIC), the Bayesian information criterion (BIC), and the Hannan–Quinn Information Criterion (HQIC). In addition, two-sample Kolmogorov–Smirnov (KS), Anderson–Darling (AD), and Cramér–von Mises (CVM) tests of asymptotic distributions equivalence were conducted, and their test statistics, along with the corresponding p-values, are also shown in Table 4, Table 5 and Table 6. According to the presented results, it can be seen that the MSEE, AIC, and BIC values are significantly lower in the case of CLU distribution. More specifically, in the case of Series A with only two distributions, CLU and UW, the hypothesis of equivalence of the empirical and fitted distributions is not rejected at either significance level, or .
At the same time, it is noticeable that in the case of Series B, the CLU distribution has slightly better fitting characteristics compared with all other competing distributions. Thus, for instance, for the CLU distribution, the values of the MSEE, AIC, BIC, and HQIC statistics are relatively lower than for other distributions, while its testing results do not reject the hypothesis of equivalence of the empirical or theoretical distributions. Finally, when it comes to Series C, it can be noted that it has an approximately symmetric distribution, as well as that the CLU and Beta distributions have a similar, approximately equal fitting quality. Also, for these two distributions, the values of the corresponding test statistics, at the significant level , do not reject the null hypothesis of asymptotic equality of the empirical distributions with the corresponding fitted distributions. Nevertheless, similar to before, it is clear that the CLU distribution has better fitting characteristics compared with all other theoretical distributions. (See also Table A1 and Figure A1 in Appendix A).
5. Conclusions
This manuscript discusses a new unit stochastic distribution, obtained by the logistic transformation of the Cauchy distribution to the unit interval. In this way, the CLU distribution was obtained, which is examined in terms of its basic stochastic properties, as well as the quantile-based procedure for estimating its parameters. The consistency and AN properties of this estimation procedure were also investigated, as well as a numerical study of its effectiveness. Finally, a practical application of the CLU distribution in fitting three real-world data sets is presented. In order to test the effectiveness of the CLU distribution in its fitting capabilities, it is compared with three well-known distributions, that is, with the Beta, BTCPE, and UW distributions. According to the results obtained in this way, it can be noted that the CLU distribution generally fits the empirical distributions of the observed data better. Moreover, the proposed distribution can be applied to fitting both asymmetric and symmetric distributions with “heavy tails”.
All of this can certainly be a motive for further research, which can be carried out in several different directions. First of all, logistic mapping of some other continuous distributions (such as, for instance, Gaussian, Weibull, or exponential power distribution) can lead to new unit distributions with somewhat different stochastic properties. As already pointed out, this has been carried out in [20,21], where logistic transformations of the Laplacian and Gumbel distributions were performed. Additionally, as is well known, logistic regressions can be applied in machine learning and data science, and this may also be an additional motivation to further examine unit distributions based on logistic maps.
Author Contributions
Conceptualization, V.S.S., T.J.S. and R.B.; methodology, V.S.S., T.J.S. and R.B.; software, V.S.S., T.J.S. and B.P.; validation, V.S.S., T.J.S. and R.B.; formal analysis, V.S.S., T.J.S. and R.B.; data curation, V.S.S., B.P. and Z.L.; writing—original draft preparation, V.S.S., T.J.S. and R.B.; writing—review and editing, T.J.S., B.P. and Z.L.; visualization, V.S.S., R.B. and B.P.; supervision, B.P. and Z.L.; project administration, B.P. and Z.L. All authors have read and agreed to the published version of the manuscript.
Funding
This research received no external funding.
Data Availability Statement
The original data presented in this study are publicly available on the “Kaggle” website: https://www.kaggle.com (accessed on 2 January 2025) and the National Association of Securities Dealers Automated Quotations (NASDAQ): https://nasdaq.com (accessed on 7 August 2024).
Acknowledgments
The authors are very grateful to the anonymous reviewers whose valuable comments significantly improved this manuscript.
Conflicts of Interest
The authors declare no conflicts of interest.
Appendix A
Table A1.
Comparison of empirical quartiles (EQs) for observed real-world data and theoretical ones obtained using CLU, Beta, BTCPE, and UW distributions (The most appropriate ones are shown in bold).
Table A1.
Comparison of empirical quartiles (EQs) for observed real-world data and theoretical ones obtained using CLU, Beta, BTCPE, and UW distributions (The most appropriate ones are shown in bold).
| Series | Quartile | EQs | CLU | BETA | BTCPE | UW |
|---|---|---|---|---|---|---|
| 0.1241 | 0.1217 | 0.0829 | 0.1298 | 0.1259 | ||
| Series A | 0.1997 | 0.2054 | 0.2335 | 0.2897 | 0.2537 | |
| 0.3807 | 0.3755 | 0.4613 | 0.5010 | 0.4443 | ||
| 0.5188 | 0.5251 | 0.4470 | 0.4180 | 0.3953 | ||
| Series B | 0.6739 | 0.6696 | 0.6511 | 0.6271 | 0.6292 | |
| 0.8032 | 0.7889 | 0.8216 | 0.7988 | 0.8230 | ||
| 0.4836 | 0.4849 | 0.4802 | 0.4789 | 0.4740 | ||
| Series C | 0.5016 | 0.5016 | 0.5000 | 0.5027 | 0.4982 | |
| 0.5173 | 0.5183 | 0.5198 | 0.5220 | 0.5282 |
Figure A1.
Comparison of ECDFs for observed real-world data and corresponding theoretical CDFs obtained using CLU, Beta, BTCPE, and UW distributions.
Figure A1.
Comparison of ECDFs for observed real-world data and corresponding theoretical CDFs obtained using CLU, Beta, BTCPE, and UW distributions.

References
- Afify, A.Z.; Nassar, M.; Kumar, D.; Cordeiro, G.M. A New Unit Distribution: Properties and Applications. Electron. J. Appl. Stat. 2022, 15, 460–484. [Google Scholar]
- Martínez-Flórez, G.; Azevedo-Farias, R.B.; Tovar-Falón, R. New Class of Unit-Power-Skew-Normal Distribution and Its Associated Regression Model for Bounded Responses. Mathematics 2022, 10, 3035. [Google Scholar] [CrossRef]
- Korkmaz, M.Ç.; Korkmaz, Z.S. The Unit Log–log Distribution: A New Unit Distribution with Alternative Quantile Regression Modeling and Educational Measurements Applications. J. Appl. Stat. 2023, 50, 889–908. [Google Scholar] [CrossRef] [PubMed]
- Condino, F.; Domma, F. Unit Distributions: A General Framework, Some Special Cases, and the Regression Unit-Dagum Models. Mathematics 2023, 11, 2888. [Google Scholar] [CrossRef]
- Nasiru, S.; Abubakari, A.G.; Chesneau, C. The Arctan Power Distribution: Properties, Quantile and Modal Regressions with Applications to Biomedical Data. Math. Comput. Appl. 2023, 28, 25. [Google Scholar] [CrossRef]
- Alomair, G.; Akdoğan, Y.; Bakouch, H.S.; Erbayram, T. On the Maximum Likelihood Estimators’ Uniqueness and Existence for Two Unitary Distributions: Analytically and Graphically, with Application. Symmetry 2024, 16, 610. [Google Scholar] [CrossRef]
- Alotaibi, R.; Nassar, M.; Elshahhat, A. Estimation and Optimal Censoring Plan for a New Unit Log-Log Model via Improved Adaptive Progressively Censored Data. Axioms 2024, 13, 152. [Google Scholar] [CrossRef]
- Nasiru, S.; Chesneau, C.; Ocloo, S.K. The Log-Cosine-Power Unit Distribution: A New Unit Distribution for Proportion Data Analysis. Decis. Anal. J. 2024, 10, 100397. [Google Scholar] [CrossRef]
- Alvarez, P.I.; Varela, H.; Cortés, I.E.; Venegas, O.; Gómez, H.W. Modified Unit-Half-Normal Distribution with Applications. Mathematics 2024, 12, 136. [Google Scholar] [CrossRef]
- Shakhatreh, M.K.; Aljarrah, M.A. Bayesian Analysis of Unit Log-Logistic Distribution Using Non-Informative Priors. Mathematics 2023, 11, 4947. [Google Scholar] [CrossRef]
- Alsadat, N.; Hassan, A.S.; Elgarhy, M.; Chesneau, C.; Mohamed, R.E. An Efficient Stress–Strength Reliability Estimate of the Unit Gompertz Distribution Using Ranked Set Sampling. Symmetry 2023, 15, 1121. [Google Scholar] [CrossRef]
- Krishna, A.; Maya, R.; Chesneau, C.; Irshad, M.R. The Unit Teissier Distribution and Its Applications. Math. Comput. Appl. 2022, 27, 12. [Google Scholar] [CrossRef]
- Alsadat, N.; Elgarhy, M.; Karakaya, K.; Gemeay, A.M.; Chesneau, C.; Abd El-Raouf, M.M. Inverse Unit Teissier Distribution: Theory and Practical Examples. Axioms 2023, 12, 502. [Google Scholar] [CrossRef]
- Fayomi, A.; Hassan, A.S.; Baaqeel, H.; Almetwally, E.M. Bayesian Inference and Data Analysis of the Unit–Power Burr X Distribution. Axioms 2023, 12, 297. [Google Scholar] [CrossRef]
- Biçer, C.; Bakouch, H.S.; Biçer, H.D.; Alomair, G.; Hussain, T.; Almohisen, A. Unit Maxwell-Boltzmann Distribution and Its Application to Concentrations PoGLUtant Data. Axioms 2024, 13, 226. [Google Scholar] [CrossRef]
- Bakouch, H.S.; Hussain, T.; Tošić, M.; Stojanović, V.S.; Qarmalah, N. Unit Exponential Probability Distribution: Characterization and Applications in Environmental and Engineering Data Modeling. Mathematics 2023, 11, 4207. [Google Scholar] [CrossRef]
- Alsadat, N.; Taniş, C.; Sapkota, L.P.; Kumar, A.; Marzouk, W.; Gemeay, A.M. Inverse Unit Exponential Probability Distribution: Classical and Bayesian Inference with Applications. AIP Adv. 2024, 14, 055108. [Google Scholar] [CrossRef]
- Ramadan, A.T.; Tolba, A.H.; El-Desouky, B.S. A Unit Half-Logistic Geometric Distribution and Its Application in Insurance. Axioms 2022, 11, 676. [Google Scholar] [CrossRef]
- Nasiru, S.; Chesneau, C.; Abubakari, A.G.; Angbing, I.D. Generalized Unit Half-Logistic Geometric Distribution: Properties and Regression with Applications to Insurance. Analytics 2023, 2, 438–462. [Google Scholar] [CrossRef]
- Stojanović, V.S.; Jovanović Spasojević, T.; Jovanović, M. Laplace-Logistic Unit Distribution with Application in Dynamic and Regression Analysis. Mathematics 2024, 12, 2282. [Google Scholar] [CrossRef]
- Stojanović, V.S.; Jovanović, M.; Pažun, B.; Langović, Z.; Grujčić, Ž. Gumbel–Logistic Unit Distribution with Application in Telecommunications Data Modeling. Symmetry 2024, 16, 1513. [Google Scholar] [CrossRef]
- McDonald, J.B.; Xu, Y.J. A generalization of the beta distribution with applications. J. Econom. 1995, 66, 133–152. [Google Scholar] [CrossRef]
- Smithson, M.; Shou, Y. CDF-quantile distributions for modelling random variables on the unit interval. Brit. J. Math. Stat. Psy. 2017, 70, 412–438. [Google Scholar] [CrossRef]
- Smithson, M.; Shou, Y. Flexible CDF-quantile distributions on the closed unit interval, with software and applications. Commun. Stat. A-Theor. 2024, 53, 3876–3898. [Google Scholar] [CrossRef]
- Nasiru, S.; Abubakari, A.G.; Chesneau, C. New Lifetime Distribution for Modeling Data on the Unit Interval: Properties, Applications and Quantile Regression. Math. Comput. Appl. 2022, 27, 105. [Google Scholar] [CrossRef]
- Rudin, W. Real and Complex Analysis, 3rd ed.; McGraw-Hill: New York, NY, USA, 1987; Available online: https://59clc.wordpress.com/wp-content/uploads/2011/01/real-and-complex-analysis.pdf (accessed on 5 December 2024).
- Lawless, J.F. Statistical Models and Methods for Lifetime Data, 2nd ed.; John Wiley and Sons: Hoboken, NJ, USA, 2003. [Google Scholar] [CrossRef]
- Finkelstein, M.S. On the Reversed Hazard Rate. Reliab. Eng. Syst. Safe. 2002, 78, 71–75. [Google Scholar] [CrossRef]
- Unnikrishnan Nair, N.; Sankaran, P.G. Odds Function and Odds Rate for Discrete Lifetime Distributions. Commun. Stat. A-Theor. 2015, 44, 4185–4202. [Google Scholar] [CrossRef]
- Kravchuk, O.Y.; Pollett, P.K. Hodges-Lehmann scale estimator for Cauchy distribution. Commun. Stat. A-Theor. 2012, 41, 3621–3632. [Google Scholar] [CrossRef]
- Zieliński, R. Uniform Strong Consistency of Sample Quantiles. Stat. Prob. Lett. 1998, 37, 115–119. [Google Scholar] [CrossRef]
- Dudek, D.; Kuczmaszewska, A. Some Practical and Theoretical Issues Related to the Quantile Estimators. Stat. Pap. 2024, 65, 3917–3933. [Google Scholar] [CrossRef]
- Serfling, R.J. Approximation Theorems of Mathematical Statistics, 2nd ed.; John Wiley and Sons: Hoboken, NJ, USA, 2002. [Google Scholar]
- Ruckdeschel, P.; Kohl, M.; Stabla, T.; Camphausen, F. S4 Classes for Distributions. R News 2006, 6. Available online: https://CRAN.R-project.org/doc/Rnews (accessed on 1 August 2024).
- Gross, L.; Tests for Normality. R Package Version 1.0-2. 2013. Available online: http://CRAN.R-project.org/package=nortest (accessed on 1 August 2024).
- Mirza, M.H. “Telecom_CHURN_DATASET” (Dataset). 2023. Available online: https://www.kaggle.com/datasets/mirzahasnine/telecom-churn-dataset (accessed on 2 January 2025).
- Nasdaq. Available online: https://nasdaq.com (accessed on 7 August 2024).
- Ljajko, E.; Stojanović, V.; Tošić, M.; Božović, I. Cauchy Split-BREAK Process: Asymptotic Properties and Application in Securities Market Analysis. U.P.B. Sci. Bull. Series A 2023, 85, 139–154. [Google Scholar]
- Mazucheli, J.; Menezes, A.F.B.; Ghitany, M.E. The Unit-Weibull Distribution and Associated Inference. J. Appl. Prob. Stat. 2018, 13, 1–22. [Google Scholar]
- Kachiashvili, K.J.; Melikdzhanjan, D.I. Estimators of the Parameters of Beta Distribution. Sankhya B 2019, 81, 350–373. [Google Scholar] [CrossRef]
Disclaimer/Publisher’s Note: The statements, opinions and data contained in all publications are solely those of the individual author(s) and contributor(s) and not of MDPI and/or the editor(s). MDPI and/or the editor(s) disclaim responsibility for any injury to people or property resulting from any ideas, methods, instructions or products referred to in the content. |
© 2025 by the authors. Licensee MDPI, Basel, Switzerland. This article is an open access article distributed under the terms and conditions of the Creative Commons Attribution (CC BY) license (https://creativecommons.org/licenses/by/4.0/).







