Sign in to use this feature.

Years

Between: -

Subjects

remove_circle_outline
remove_circle_outline
remove_circle_outline
remove_circle_outline
remove_circle_outline
remove_circle_outline
remove_circle_outline
remove_circle_outline
remove_circle_outline

Journals

Article Types

Countries / Regions

Search Results (41)

Search Parameters:
Keywords = disassembly line balancing

Order results
Result details
Results per page
Select all
Export citation of selected articles as:
22 pages, 1672 KB  
Article
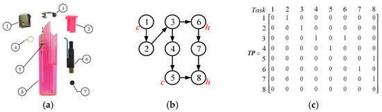
Optimizing Robotic Disassembly-Assembly Line Balancing with Directional Switching Time via an Improved Q(λ) Algorithm in IoT-Enabled Smart Manufacturing
by Qi Zhang, Yang Xing, Man Yao, Xiwang Guo, Shujin Qin, Haibin Zhu, Liang Qi and Bin Hu
Electronics 2025, 14(17), 3499; https://doi.org/10.3390/electronics14173499 - 1 Sep 2025
Cited by 1 | Viewed by 793
Abstract
With the growing adoption of circular economy principles in manufacturing, efficient disassembly and reassembly of end-of-life (EOL) products has become a key challenge in smart factories. This paper addresses the Disassembly and Assembly Line Balancing Problem (DALBP), which involves scheduling robotic tasks across [...] Read more.
With the growing adoption of circular economy principles in manufacturing, efficient disassembly and reassembly of end-of-life (EOL) products has become a key challenge in smart factories. This paper addresses the Disassembly and Assembly Line Balancing Problem (DALBP), which involves scheduling robotic tasks across workstations while minimizing total operation time and accounting for directional switching time between disassembly and assembly phases. To solve this problem, we propose an improved reinforcement learning algorithm, IQ(λ), which extends the classical Q(λ) method by incorporating eligibility trace decay, a dynamic Action Table mechanism to handle non-conflicting parallel tasks, and switching-aware reward shaping to penalize inefficient task transitions. Compared with standard Q(λ), these modifications enhance the algorithm’s global search capability, accelerate convergence, and improve solution quality in complex DALBP scenarios. While the current implementation does not deploy live IoT infrastructure, the architecture is modular and designed to support future extensions involving edge-cloud coordination, trust-aware optimization, and privacy-preserving learning in Industrial Internet of Things (IIoT) environments. Four real-world disassembly-assembly cases (flashlight, copier, battery, and hammer drill) are used to evaluate the algorithm’s effectiveness. Experimental results show that IQ(λ) consistently outperforms traditional Q-learning, Q(λ), and Sarsa in terms of solution quality, convergence speed, and robustness. Furthermore, ablation studies and sensitivity analysis confirm the importance of the algorithm’s core design components. This work provides a scalable and extensible framework for intelligent scheduling in cyber-physical manufacturing systems and lays a foundation for future integration with secure, IoT-connected environments. Full article
(This article belongs to the Section Networks)
Show Figures

Figure 1

19 pages, 713 KB  
Article
LLM-Assisted Reinforcement Learning for U-Shaped and Circular Hybrid Disassembly Line Balancing in IoT-Enabled Smart Manufacturing
by Xiwang Guo, Chi Jiao, Jiacun Wang, Shujin Qin, Bin Hu, Liang Qi, Xianming Lang and Zhiwei Zhang
Electronics 2025, 14(11), 2290; https://doi.org/10.3390/electronics14112290 - 4 Jun 2025
Cited by 1 | Viewed by 883
Abstract
With the sharp increase in the number of products and the development of the remanufacturing industry, disassembly lines have become the mainstream recycling method. In view of the insufficient research on the layout of multi-form disassembly lines and human factors, we previously proposed [...] Read more.
With the sharp increase in the number of products and the development of the remanufacturing industry, disassembly lines have become the mainstream recycling method. In view of the insufficient research on the layout of multi-form disassembly lines and human factors, we previously proposed a linear-U-shaped hybrid layout considering the constraints of employee posture and a Duel-DQN algorithm assisted by Large Language Model (LLM). However, there is still room for improvement in the utilization efficiency of workstations. Based on this previous work, this study proposes an innovative layout of U-shaped and circular disassembly lines and retains the constraints of employee posture. The LLM is instruction-fine-tuned using the Quantized Low-Rank Adaptation (QLoRA) technique to improve the accuracy of disassembly sequence generation, and the Dueling Deep Q-Network(Duel-DQN) algorithm is reconstructed to maximize profits under posture constraints. Experiments show that in the more complex layout of U-shaped and circular disassembly lines, the iterative efficiency of this method can still be increased by about 26% compared with the traditional Duel-DQN, and the profit is close to the optimal solution of the traditional CPLEX solver, verifying the feasibility of this algorithm in complex scenarios. This study further optimizes the layout problem of multi-form disassembly lines and provides an innovative solution that takes into account both human factors and computational efficiency, which has important theoretical and practical significance. Full article
Show Figures

Figure 1

25 pages, 3552 KB  
Article
A Stochastic Sequence-Dependent Disassembly Line Balancing Problem with an Adaptive Large Neighbourhood Search Algorithm
by Dong Zhu, Xuesong Zhang, Xinyue Huang, Duc Truong Pham and Changshu Zhan
Processes 2025, 13(6), 1675; https://doi.org/10.3390/pr13061675 - 27 May 2025
Viewed by 869
Abstract
The remanufacturing of end-of-life products is an effective approach to alleviating resource shortages, environmental pollution, and global warming. As the initial step in the remanufacturing process, the quality and efficiency of disassembly have a decisive impact on the entire workflow. However, the complexity [...] Read more.
The remanufacturing of end-of-life products is an effective approach to alleviating resource shortages, environmental pollution, and global warming. As the initial step in the remanufacturing process, the quality and efficiency of disassembly have a decisive impact on the entire workflow. However, the complexity of product structures poses numerous challenges to practical disassembly operations. These challenges include not only conventional precedence constraints among disassembly tasks but also sequential dependencies, where interference between tasks due to their execution order can prolong operation times and complicate the formulation of disassembly plans. Additionally, the inherent uncertainties in the disassembly process further affect the practical applicability of disassembly plans. Therefore, developing reliable disassembly plans must fully consider both sequential dependencies and uncertainties. To this end, this paper employs a chance-constrained programming model to characterise uncertain information and constructs a multi-objective sequence-dependent disassembly line balancing (MO-SDDLB) problem model under uncertain environments. The model aims to minimise the hazard index, workstation time variance, and energy consumption, achieving a multi-dimensional optimisation of the disassembly process. To efficiently solve this problem, this paper designs an innovative multi-objective adaptive large neighbourhood search (MO-ALNS) algorithm. The algorithm integrates three destruction and repair operators, combined with simulated annealing, roulette wheel selection, and local search strategies, significantly enhancing solution efficiency and quality. Practical disassembly experiments on a lithium-ion battery validate the effectiveness of the proposed model and algorithm. Moreover, the proposed MO-ALNS demonstrated a superior performance compared to other state-of-the-art methods. On average, against the best competitor results, MO-ALNS improved the number of Pareto solutions (NPS) by approximately 21%, reduced the inverted generational distance (IGD) by about 21%, and increased the hypervolume (HV) by nearly 8%. Furthermore, MO-ALNS exhibited a superior stability, providing a practical and feasible solution for disassembly optimisation. Full article
Show Figures

Figure 1

23 pages, 860 KB  
Article
Hybrid Disassembly Line Balancing of Multi-Factory Remanufacturing Process Considering Workers with Government Benefits
by Xiaoyu Niu, Xiwang Guo, Peisheng Liu, Jiacun Wang, Shujin Qin, Liang Qi, Bin Hu and Yingjun Ji
Mathematics 2025, 13(5), 880; https://doi.org/10.3390/math13050880 - 6 Mar 2025
Viewed by 1043
Abstract
Optimizing multi-factory remanufacturing systems with social welfare considerations presents critical challenges in task allocation and process coordination. This study addresses this gap by proposing a hybrid disassembly line balancing and multi-factory remanufacturing process optimization problem, considering workers with government benefits. A mixed-integer programming [...] Read more.
Optimizing multi-factory remanufacturing systems with social welfare considerations presents critical challenges in task allocation and process coordination. This study addresses this gap by proposing a hybrid disassembly line balancing and multi-factory remanufacturing process optimization problem, considering workers with government benefits. A mixed-integer programming model is formulated to maximize profit, and its correctness is verified using the CPLEX solver. Furthermore, a discrete zebra optimization algorithm is proposed to solve the model, integrating a survival-of-the-fittest strategy to improve its optimization capabilities. The effectiveness and convergence of the algorithm are demonstrated through experiments on disassembly cases, with comparisons made to six peer algorithms and CPLEX. The experimental results highlight the importance of this research in improving resource utilization efficiency, reducing environmental impacts, and promoting sustainable development. Full article
Show Figures

Figure 1

23 pages, 1857 KB  
Article
An Evolutionary Learning Whale Optimization Algorithm for Disassembly and Assembly Hybrid Line Balancing Problems
by Xinshuo Cui, Qingbo Meng, Jiacun Wang, Xiwang Guo, Peisheng Liu, Liang Qi, Shujin Qin, Yingjun Ji and Bin Hu
Mathematics 2025, 13(2), 256; https://doi.org/10.3390/math13020256 - 14 Jan 2025
Cited by 3 | Viewed by 1153
Abstract
In order to protect the environment, an increasing number of people are paying attention to the recycling and remanufacturing of EOL (End-of-Life) products. Furthermore, many companies aim to establish their own closed-loop supply chains, encouraging the integration of disassembly and assembly lines into [...] Read more.
In order to protect the environment, an increasing number of people are paying attention to the recycling and remanufacturing of EOL (End-of-Life) products. Furthermore, many companies aim to establish their own closed-loop supply chains, encouraging the integration of disassembly and assembly lines into a unified closed-loop production system. In this work, a hybrid production line that combines disassembly and assembly processes, incorporating human–machine collaboration, is designed based on the traditional disassembly line. A mathematical model is proposed to address the human–machine collaboration disassembly and assembly hybrid line balancing problem in this layout. To solve the model, an evolutionary learning-based whale optimization algorithm is developed. The experimental results show that the proposed algorithm is significantly faster than CPLEX, particularly for large-scale disassembly instances. Moreover, it outperforms CPLEX and other swarm intelligence algorithms in solving large-scale optimization problems while maintaining high solution quality. Full article
Show Figures

Figure 1

24 pages, 5273 KB  
Article
Design Optimization of an Innovative Instrumental Single-Sided Formwork Supporting System for Retaining Walls Using Physics-Constrained Generative Adversarial Network
by Wei Liu, Lin He, Jikai Liu, Xiangyang Xie, Ning Hao, Cheng Shen and Junyong Zhou
Buildings 2025, 15(1), 132; https://doi.org/10.3390/buildings15010132 - 4 Jan 2025
Viewed by 2504
Abstract
Single-sided formwork supporting systems (SFSSs) play a crucial role in the urban construction of retaining walls using cast-in-place concrete. By supporting the formwork from one side, an SFSS can minimize its spatial footprint, enabling its closer placement to boundary lines without compromising structural [...] Read more.
Single-sided formwork supporting systems (SFSSs) play a crucial role in the urban construction of retaining walls using cast-in-place concrete. By supporting the formwork from one side, an SFSS can minimize its spatial footprint, enabling its closer placement to boundary lines without compromising structural integrity. However, existing SFSS designs struggle to achieve a balance between mechanical performance and lightweight construction. To address these limitations, an innovative instrumented SFSS was proposed. It is composed of a panel structure made of a panel, vertical braces, and cross braces and a supporting structure comprising an L-shaped frame, steel tubes, and anchor bolts. These components are conducive to modular manufacturing, lightweight installation, and convenient connections. To facilitate the optimal design of this instrumented SFSS, a physics-constrained generative adversarial network (PC-GAN) approach was proposed. This approach incorporates three objective functions: minimizing material usage, adhering to deformation criteria, and ensuring structural safety. An example application is presented to demonstrate the superiority of the instrumented SFSS and validate the proposed PC-GAN approach. The instrumented SFSS enables individual components to be easily and rapidly prefabricated, assembled, and disassembled, requiring only two workers for installation or removal without the need for additional hoisting equipment. The optimized instrumented SFSS, designed using the PC-GAN approach, achieves comparable deformation performance (from 2.49 mm to 2.48 mm in maxima) and slightly improved component stress levels (from 97 MPa to 115 MPa in maxima) while reducing the total weight by 20.85%, through optimizing panel thickness, the dimensions and spacings of vertical and lateral braces, and the spacings of steel tubes. This optimized design of the instrumented SFSS using PC-GAN shows better performance than the current scheme, combining significant weight reduction with enhanced mechanical efficiency. Full article
Show Figures

Figure 1

20 pages, 1598 KB  
Article
Large Language Model-Assisted Reinforcement Learning for Hybrid Disassembly Line Problem
by Xiwang Guo, Chi Jiao, Peng Ji, Jiacun Wang, Shujin Qin, Bin Hu, Liang Qi and Xianming Lang
Mathematics 2024, 12(24), 4000; https://doi.org/10.3390/math12244000 - 19 Dec 2024
Cited by 1 | Viewed by 1597
Abstract
Recycling end-of-life products is essential for reducing environmental impact and promoting resource reuse. In the realm of remanufacturing, researchers are increasingly concentrating on the challenge of the disassembly line balancing problem (DLBP), particularly on how to allocate work tasks effectively to enhance productivity. [...] Read more.
Recycling end-of-life products is essential for reducing environmental impact and promoting resource reuse. In the realm of remanufacturing, researchers are increasingly concentrating on the challenge of the disassembly line balancing problem (DLBP), particularly on how to allocate work tasks effectively to enhance productivity. However, many current studies overlook two key issues: (1) how to reasonably arrange the posture of workers during disassembly, and (2) how to reasonably arrange disassembly tasks when the disassembly environment is not a single type of disassembly line but a hybrid disassembly line. To address these issues, we propose a mixed-integrated programming model suitable for linear and U-shaped hybrid disassembly lines, while also considering how to reasonably allocate worker postures to alleviate worker fatigue. Additionally, we introduce large language model-assisted reinforcement learning to solve this model, which employs a Dueling Deep Q-Network (Duel-DQN) to tackle the problem and integrates a large language model (LLM) into the algorithm. The experimental results show that compared to solutions that solely use reinforcement learning, large language model-assisted reinforcement learning reduces the number of iterations required for convergence by approximately 50% while ensuring the quality of the solutions. This provides new insights into the application of LLM in reinforcement learning and DLBP. Full article
Show Figures

Figure 1

7 pages, 1339 KB  
Proceeding Paper
Optimization of Multi-Operator Human–Robot Collaborative Disassembly Line Balancing Problem Using Hybrid Artificial Fish Swarm Algorithm
by Hansen Su, Gaofei Wang and Mudassar Rauf
Eng. Proc. 2024, 75(1), 16; https://doi.org/10.3390/engproc2024075016 - 24 Sep 2024
Cited by 2 | Viewed by 772
Abstract
This paper addresses the multi-operator human–robot collaborative disassembly line balancing problem aimed at minimizing the number of workstations, workstation idle time, and disassembly costs, considering the diversity of end-of-life products and the characteristics of their components. A hybrid artificial fish swarm algorithm (HAFSA) [...] Read more.
This paper addresses the multi-operator human–robot collaborative disassembly line balancing problem aimed at minimizing the number of workstations, workstation idle time, and disassembly costs, considering the diversity of end-of-life products and the characteristics of their components. A hybrid artificial fish swarm algorithm (HAFSA) is designed in accordance with the problem characteristics and applied to a disassembly case of a hybrid refrigerator. Comparative experiments with the non-dominated sorting genetic algorithm II (NSGA-II) and teaching–learning-based optimization (TLBO) algorithms demonstrate the superiority of the proposed algorithm. Finally, the performance of the three algorithms is evaluated based on non-dominated rate (NR), generational distance (GD), and inverted generational distance (IGD) metrics. Full article
Show Figures

Figure 1

24 pages, 2484 KB  
Article
Unified Modeling and Multi-Objective Optimization for Disassembly Line Balancing with Distinct Station Configurations
by Tao Yin, Yuanzhi Wang, Shixi Cai, Yuxun Zhang and Jianyu Long
Mathematics 2024, 12(17), 2734; https://doi.org/10.3390/math12172734 - 1 Sep 2024
Cited by 1 | Viewed by 1514
Abstract
Disassembly line balancing (DLB) is a crucial optimization item in the recycling and remanufacturing of waste products. Considering the variations in the number of operators assigned to each station, this study investigates DLBs with six distinct station configurations: single-manned, multi-manned, single-robotic, multi-robotic, single-manned–robotic, [...] Read more.
Disassembly line balancing (DLB) is a crucial optimization item in the recycling and remanufacturing of waste products. Considering the variations in the number of operators assigned to each station, this study investigates DLBs with six distinct station configurations: single-manned, multi-manned, single-robotic, multi-robotic, single-manned–robotic, and multi-manned–robotic setups. First, a unified mixed-integer programming (MIP) model is established for Type-I DLBs with each configuration to minimize four objectives: the number of stations, the number of operators, the total disassembly time, and the idle balancing index. To obtain more solutions, a novel bi-metric is proposed to replace the quadratic idle balancing index and is used in lexicographic optimization. Subsequently, based on the unified Type-I models, a unified MIP model for Type-II DLBs is established to minimize the cycle time, the number of operators, the total disassembly time, and the idle balancing index. Finally, the correctness of the established unified models and the effectiveness of the proposed bi-metric are verified by solving two disassembly cases of lighters and hairdryers, which further shows that the mathematical integration method of unified modeling has significant theoretical value for the multi-objective optimization of the DLBs with six distinct station configurations. Full article
(This article belongs to the Section E2: Control Theory and Mechanics)
Show Figures

Figure 1

21 pages, 2883 KB  
Article
Human–Robot Collaboration on a Disassembly-Line Balancing Problem with an Advanced Multiobjective Discrete Bees Algorithm
by Yanda Shen, Weidong Lu, Haowen Sheng, Yangkun Liu, Guangdong Tian, Honghao Zhang and Zhiwu Li
Symmetry 2024, 16(7), 794; https://doi.org/10.3390/sym16070794 - 24 Jun 2024
Cited by 3 | Viewed by 2748
Abstract
As resources become increasingly scarce and environmental demands grow, the recycling of products at the end of their lifecycle becomes crucial. Disassembly, as a key stage in the recycling process, plays a decisive role in the sustainability of the entire operation. Advances in [...] Read more.
As resources become increasingly scarce and environmental demands grow, the recycling of products at the end of their lifecycle becomes crucial. Disassembly, as a key stage in the recycling process, plays a decisive role in the sustainability of the entire operation. Advances in automation technology and the integration of Industry 5.0 principles make the balance of human–robot collaborative disassembly lines an important research topic. This study uses disassembly-precedence graphs to clarify disassembly-task information and converts it into a task-precedence matrix. This matrix includes both symmetry and asymmetry, reflecting the dependencies and independencies among disassembly tasks. Based on this, we develop a multiobjective optimisation model that integrates disassembly-task allocation, operation mode selection, and the use of collaborative robots. The objectives are to minimise the number of workstations, the idle rate of the disassembly line, and the energy consumption. Given the asymmetry in disassembly-task attributes, such as the time differences required for disassembling various components and the diverse operation modes, this study employs an evolutionary algorithm to address potential asymmetric optimisation problems. Specifically, we introduce an advanced multi-objective discrete bee algorithm and validate its effectiveness and superiority for solving the disassembly-line balancing problem through a comparative analysis with other algorithms. This research not only provides innovative optimisation strategies for the product-recycling field but also offers valuable experience and reference for the further development of industrial automation and human–robot collaboration. Full article
(This article belongs to the Section Engineering and Materials)
Show Figures

Figure 1

14 pages, 1630 KB  
Article
Research on the Human–Robot Collaborative Disassembly Line Balancing of Spent Lithium Batteries with a Human Factor Load
by Jie Jiao, Guangsheng Feng and Gang Yuan
Batteries 2024, 10(6), 196; https://doi.org/10.3390/batteries10060196 - 3 Jun 2024
Cited by 9 | Viewed by 2274
Abstract
The disassembly of spent lithium batteries is a prerequisite for efficient product recycling, the first link in remanufacturing, and its operational form has gradually changed from traditional manual disassembly to robot-assisted human–robot cooperative disassembly. Robots exhibit robust load-bearing capacity and perform stable repetitive [...] Read more.
The disassembly of spent lithium batteries is a prerequisite for efficient product recycling, the first link in remanufacturing, and its operational form has gradually changed from traditional manual disassembly to robot-assisted human–robot cooperative disassembly. Robots exhibit robust load-bearing capacity and perform stable repetitive tasks, while humans possess subjective experiences and tacit knowledge. It makes the disassembly activity more adaptable and ergonomic. However, existing human–robot collaborative disassembly studies have neglected to account for time-varying human conditions, such as safety, cognitive behavior, workload, and human pose shifts. Firstly, in order to overcome the limitations of existing research, we propose a model for balancing human–robot collaborative disassembly lines that take into consideration the load factor related to human involvement. This entails the development of a multi-objective mathematical model aimed at minimizing both the cycle time of the disassembly line and its associated costs while also aiming to reduce the integrated smoothing exponent. Secondly, we propose a modified multi-objective fruit fly optimization algorithm. The proposed algorithm combines chaos theory and the global cooperation mechanism to improve the performance of the algorithm. We add Gaussian mutation and crowding distance to efficiently solve the discrete optimization problem. Finally, we demonstrate the effectiveness and sensitivity of the improved multi-objective fruit fly optimization algorithm by solving and analyzing an example of Mercedes battery pack disassembly. Full article
(This article belongs to the Special Issue Lithium-Ion Battery Recycling)
Show Figures

Figure 1

18 pages, 1073 KB  
Article
An Improved Q-Learning Algorithm for Optimizing Sustainable Remanufacturing Systems
by Shujin Qin, Xiaofei Zhang, Jiacun Wang, Xiwang Guo, Liang Qi, Jinrui Cao and Yizhi Liu
Sustainability 2024, 16(10), 4180; https://doi.org/10.3390/su16104180 - 16 May 2024
Cited by 5 | Viewed by 1985
Abstract
In our modern society, there has been a noticeable increase in pollution due to the trend of post-use handling of items. This necessitates the adoption of recycling and remanufacturing processes, advocating for sustainable resource management. This paper aims to address the issue of [...] Read more.
In our modern society, there has been a noticeable increase in pollution due to the trend of post-use handling of items. This necessitates the adoption of recycling and remanufacturing processes, advocating for sustainable resource management. This paper aims to address the issue of disassembly line balancing. Existing disassembly methods largely rely on manual labor, raising concerns regarding safety and sustainability. This paper proposes a human–machine collaborative disassembly approach to enhance safety and optimize resource utilization, aligning with sustainable development goals. A mixed-integer programming model is established, considering various disassembly techniques for hazardous and delicate parts, with the objective of minimizing the total disassembly time. The CPLEX solver is employed to enhance model accuracy. An improvement is made to the Q-learning algorithm in reinforcement learning to tackle the bilateral disassembly line balancing problem in human–machine collaboration. This approach outperforms CPLEX in both solution efficiency and quality, especially for large-scale problems. A comparative analysis with the original Q-learning algorithm and SARSA algorithm validates the superiority of the proposed algorithm in terms of convergence speed and solution quality. Full article
(This article belongs to the Special Issue Sustainable Supply Chain Management in Industry 4.0)
Show Figures

Figure 1

19 pages, 1866 KB  
Article
Multi-Objective Optimization for a Partial Disassembly Line Balancing Problem Considering Profit and Carbon Emission
by Wanlin Yang, Zixiang Li, Chenyu Zheng, Zikai Zhang, Liping Zhang and Qiuhua Tang
Mathematics 2024, 12(8), 1218; https://doi.org/10.3390/math12081218 - 18 Apr 2024
Cited by 2 | Viewed by 1618
Abstract
Disassembly lines are widely utilized to disassemble end-of-life products. Most of the research focuses on the complete disassembly of obsolete products. However, there is a lack of studies on profit and on carbon emission saved. Hence, this study considers the multi-objective partial disassembly [...] Read more.
Disassembly lines are widely utilized to disassemble end-of-life products. Most of the research focuses on the complete disassembly of obsolete products. However, there is a lack of studies on profit and on carbon emission saved. Hence, this study considers the multi-objective partial disassembly line balancing problem with AND/OR precedence relations to optimize profit, saved carbon emission and line balance simultaneously. Firstly, a multi-objective mixed-integer programming model is formulated, which could optimally solve the small number of instances with a single objective. Meanwhile, an improved multi-objective artificial bee colony algorithm is developed to generate a set of high-quality Pareto solutions. This algorithm utilizes two-layer encoding of the task permutation vector and the number of selected parts, and develops two-phase decoding to handle the precedence relation constraint and cycle time constraint. In addition, the modified employed bee phase utilizes the neighborhood operation, and the onlooker phase utilizes the crossover operator to achieve a diverse population. The modified scout phase selects a solution from the Pareto front to replace the abandoned individual to obtain a new high-quality solution. To test the performance of the proposed algorithm, the algorithm is compared with the multi-objective simulated annealing algorithm, the original multi-objective artificial bee colony algorithm and the well-known fast non-dominated genetic algorithm. The comparative study demonstrates that the proposed improvements enhance the performance of the method presented, and the proposed methodology outperforms all the compared algorithms. Full article
Show Figures

Figure 1

19 pages, 574 KB  
Article
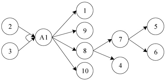
Generally Applicable Q-Table Compression Method and Its Application for Constrained Stochastic Graph Traversal Optimization Problems
by Tamás Kegyes, Alex Kummer, Zoltán Süle and János Abonyi
Information 2024, 15(4), 193; https://doi.org/10.3390/info15040193 - 31 Mar 2024
Cited by 1 | Viewed by 1548
Abstract
We analyzed a special class of graph traversal problems, where the distances are stochastic, and the agent is restricted to take a limited range in one go. We showed that both constrained shortest Hamiltonian pathfinding problems and disassembly line balancing problems belong to [...] Read more.
We analyzed a special class of graph traversal problems, where the distances are stochastic, and the agent is restricted to take a limited range in one go. We showed that both constrained shortest Hamiltonian pathfinding problems and disassembly line balancing problems belong to the class of constrained shortest pathfinding problems, which can be represented as mixed-integer optimization problems. Reinforcement learning (RL) methods have proven their efficiency in multiple complex problems. However, researchers concluded that the learning time increases radically by growing the state- and action spaces. In continuous cases, approximation techniques are used, but these methods have several limitations in mixed-integer searching spaces. We present the Q-table compression method as a multistep method with dimension reduction, state fusion, and space compression techniques that project a mixed-integer optimization problem into a discrete one. The RL agent is then trained using an extended Q-value-based method to deliver a human-interpretable model for optimal action selection. Our approach was tested in selected constrained stochastic graph traversal use cases, and comparative results are shown to the simple grid-based discretization method. Full article
(This article belongs to the Special Issue Second Edition of Predictive Analytics and Data Science)
Show Figures

Figure 1

24 pages, 961 KB  
Article
Multi-Objective Advantage Actor-Critic Algorithm for Hybrid Disassembly Line Balancing with Multi-Skilled Workers
by Jiacun Wang, Guipeng Xi, Xiwang Guo, Shujin Qin and Henry Han
Information 2024, 15(3), 168; https://doi.org/10.3390/info15030168 - 19 Mar 2024
Cited by 4 | Viewed by 2791
Abstract
The scheduling of disassembly lines is of great importance to achieve optimized productivity. In this paper, we address the Hybrid Disassembly Line Balancing Problem that combines linear disassembly lines and U-shaped disassembly lines, considering multi-skilled workers, and targeting profit and carbon emissions. In [...] Read more.
The scheduling of disassembly lines is of great importance to achieve optimized productivity. In this paper, we address the Hybrid Disassembly Line Balancing Problem that combines linear disassembly lines and U-shaped disassembly lines, considering multi-skilled workers, and targeting profit and carbon emissions. In contrast to common approaches in reinforcement learning that typically employ weighting strategies to solve multi-objective problems, our approach innovatively incorporates non-dominated ranking directly into the reward function. The exploration of Pareto frontier solutions or better solutions is moderated by comparing performance between solutions and dynamically adjusting rewards based on the occurrence of repeated solutions. The experimental results show that the multi-objective Advantage Actor-Critic algorithm based on Pareto optimization exhibits superior performance in terms of metrics superiority in the comparison of six experimental cases of different scales, with an excellent metrics comparison rate of 70%. In some of the experimental cases in this paper, the solutions produced by the multi-objective Advantage Actor-Critic algorithm show some advantages over other popular algorithms such as the Deep Deterministic Policy Gradient Algorithm, the Soft Actor-Critic Algorithm, and the Non-Dominated Sorting Genetic Algorithm II. This further corroborates the effectiveness of our proposed solution. Full article
(This article belongs to the Special Issue Feature Papers in Information in 2023)
Show Figures

Figure 1

Back to TopTop