Next Article in Journal
Overcoming Stagnation in Metaheuristic Algorithms with MsMA’s Adaptive Meta-Level Partitioning
Next Article in Special Issue
Carbon Emission Reduction Decision-Making in an Online Freight Platform Service Supply Chain Under Carbon Trading Mechanism
Previous Article in Journal
Advances in Zeroing Neural Networks: Convergence Optimization and Robustness in Dynamic Systems
Previous Article in Special Issue
Research on Dynamic Decision-Making of Shared Supply Chain Considering Multi-Agent Altruistic Preferences
 
 
Font Type:
Arial Georgia Verdana
Font Size:
Aa Aa Aa
Line Spacing:
Column Width:
Background:
Article

Forward–Reverse Blockchain Traceability Strategy in the NEV Supply Chain Considering Consumer Green Preferences

College of Economics and Management, Nanjing Tech University, Nanjing 211816, China
*
Author to whom correspondence should be addressed.
Mathematics 2025, 13(11), 1804; https://doi.org/10.3390/math13111804
Submission received: 30 March 2025 / Revised: 15 May 2025 / Accepted: 21 May 2025 / Published: 28 May 2025

Abstract

The rapid development of the new energy vehicle (NEV) industry has led to concerns about battery quality and the transparency of green recycling, causing uncertainty among consumers. Many firms adopt blockchain technology to solve this problem, but blockchain adoption will bring privacy leakage risk to consumers. A Stackelberg game model of a three stage NEV supply chain is constructed to examine the impact of adapting blockchain on strategic decisions of supply chain participants. We consider a setting in which a battery supplier provides batteries to a NEV manufacturer, and a third-party recycler recovers retired batteries for a NEV manufacturer. We explore the influence of consumers’ green recycling preferences on the decisions of NEV supply chain members in three scenarios: not adopting blockchain traceability (NB), adopting blockchain with forward traceability (FB), and adopting blockchain with forward–reverse traceability (DB). We find that NEV supply chain members are more likely to adopt forward–reverse traceability under certain conditions. Moreover, the adoption of blockchain drives the battery supplier and NEV manufacture to increase wholesale price and retail price, especially under forward–reverse traceability. In addition, when consumers exhibit strong preferences for green recycling, third-party recyclers are more willing to invest in blockchain-based recycling due to its ability to enhance the accuracy and credibility of recycling data.

1. Introduction

In recent years, consumers have increasingly been purchasing new energy vehicles. In 2024, the sales volume of NEVs in China reached 12.866 million units [1]. At the same time, consumers have been paying more attention to information regarding the entire process from production to sale. According to the “2024 Consumer Reports EV Range Testing Highlights” [2], nearly half of the tested models failed to reach the EPA-labeled value. The 2023 CCA report [3] showed that there were many complaints about new energy vehicles‘ unilateral “power locks” and discrepancies between the advertised and actual ranges. The “Automobile Complaint Report” published by the China Consumer Association [4] points out that the most popular complaints include NEV battery failure, malfunctioning intelligent assistance systems, and brake failure. These issues greatly decrease consumers’ trust in the quality of new energy vehicles, and providing information transparency throughout the entire process has become urgent for NEV manufacturers to rebuild trust [5]. Furthermore, more customers are concerned with the green recycling traceability of retired power batteries [6,7]. Green recycling preference [8] refers to the tendency of consumers or firms to prioritize environmentally friendly recycling behaviors or services when faced with multiple recycling options. It is projected that the amount of retired power batteries in China will reach 1.04 million tons by 2025 and may soar to 3.5 million tons by 2030. The U.S. and the EU have issued battery and waste battery regulations that set explicit recycling targets for 2025 and 2030, incorporating carbon emissions during the recycling phase into the accounting framework. Standardized recycling could provide an effective solution for reusing retired batteries by enabling the quantitative monitoring of energy consumption and carbon emissions during the recycling process. The batteries with remaining capacities between 20% and 80% will follow cascade utilization and those below 20% will follow elemental recycling. Cascade utilization not only maximizes the residual value of retired batteries but also significantly reduces the environmental burden, making it a core strategy for achieving full-lifecycle green battery management [9]. However, the standardized recycling rate of retired power batteries in China remains below 25% [10]. Some manufacturers have attempted to use anti-counterfeiting codes, and recyclers have built reverse logistics networks. For example, BMW established a battery lifecycle management system in 2017. However, there is insufficient information transparency because the traditional traceability technologies usually use centralized data storage, with information silos and vulnerability to data tampering, which hinder efficient information traceability throughout the lifecycle of retired batteries from collection to final treatment. Hence, effective cascade utilization remains limited [11]. Currently, data silos persist across the upstream and downstream segments of the supply chain. The low application rate of cascade utilization weakens consumers’ trust in the recycling system, which in turn affects their recognition of the environmental value of NEVs and reduces their purchasing intention.
Blockchain technology is characterized by decentralization, immutability, and traceability [12]. Blockchain technology can reduce consumers’ uncertainty regarding the quality of new energy vehicles and enhance consumer trust [13]. By adopting blockchain technology, manufacturers could comprehensively record the entire lifecycle of products, from raw material extraction to end-of-life recycling, ensuring data authenticity. Some NEV businesses have already adopted blockchain for the forward traceability of power batteries. For instance, in 2019 Volvo achieved global traceability of raw battery materials using blockchain technology. BYD launched the “Battery Passport” app, utilizing blockchain to trace the entire process from battery production and sales to usage. Some electric vehicle manufacturers, in collaboration with battery manufacturers, have established forward and reverse traceability platforms. In early 2025, two battery manufacturers, Guo Xuan and CATL, cooperating with three car manufacturers, Great Wall, Feng sheng, and Chery, participated in the debugging of the developed Battery Traceability Platform.
However, the adoption of blockchain also raises new challenges. First, the cost of establishing blockchain traceability is very high because it includes high initial investment costs in technological infrastructure, system development, and customization [14]. In addition, the adoption of blockchain may incur privacy issues for consumers, as it will collect consumers’ information during usage, such as battery usage frequency, charging times, mileage, and driving habits. There is a certain privacy leakage cost for consumers during the use of blockchain traceability, which further affects the promotion of blockchain technology [15]. These privacy risks may discourage consumers from participating in green recycling channels.
Considering factors such as consumer green preferences, privacy leakage costs, and blockchain implementation costs, this study focuses on the following questions:
(1)
What are the equilibriums in not adopting blockchain traceability (NB), adopting blockchain with forward traceability (FB), and adopting blockchain with forward–reverse traceability (DB)?
(2)
How do blockchain and privacy leakage costs affect the strategic decisions of supply chain members?
(3)
How does consumers’ green recycling preference affect the optimal decisions of supply chain participants in the three scenarios?
To answer the above questions, we propose to examine a supply chain that consists of one NEV manufacturer, one power battery supplier, and one power battery recycler. The NEV manufacturer will order batteries from the supplier and simultaneously recycle batteries through the recycler. The NEV manufacturer could adopt blockchain for the forward traceability of power batteries or the forward–backward traceability of retired batteries. Compared to recently published papers that focus on the blockchain technology (BT) in NEV supply chains [13,14,15], the impacts of the preference for green recycling, the BT cost, and the privacy leakage cost on an NEV supply chain have not been well studied. We further incorporate the interactions between the manufacturer and the recycler to explore the effects of green recycling, BT cost, and the privacy leakage cost, which have attracted considerable attention under a reverse setting [16,17]. The obtained results can be summarized as follows. First, NEV supply chain members are more likely to adopt forward–reverse traceability under certain conditions. Moreover, the NEV manufacturer does not always opt for forward–reverse blockchain traceability. When adopting blockchain, the manufacturer should consider the impact of consumer green preference, the privacy leakage cost, and the blockchain cost on equilibrium outcomes. Moreover, we find that the forward–reverse traceability strategy of the NEV manufacturer is closely related to consumers’ green recycling preference and privacy leakage cost. The NEV manufacturer is more inclined to adopt forward–reverse traceability when the consumer’s green preference is high. In addition, when the privacy leakage cost is relatively high, the profit in the forward–reverse traceability scenario increases with the increase in the privacy leakage cost.
Compared with the previous literature, our contributions are as follows: Firstly, we examine the impact of blockchain cost on the strategic decisions of NEV supply chain members in both forward and forward–reverse blockchain traceability. Secondly, we make an attempt to combine consumer privacy concerns with green preferences for recycling. Much of the previous BT-related literature has focused on forward blockchain traceability [12], and some research has focused on reverse blockchain traceability [7,11]. A few articles have explored dual blockchain traceability without considering the green recycling preference and consumer privacy concerns. This study examines the adoption of blockchain technology in a closed-loop NEV supply chain. Considering consumers’ green recycling preference and consumer privacy concerns, we developed a tripartite game model involving one battery supplier, one NEV manufacturer, and one third-party recycler in no blockchain traceability, forward blockchain traceability, and forward–reverse blockchain traceability scenarios. We further explored how these factors influence the strategic decisions of NEV supply chain members. We found that when the cost coefficient of the green recycling level is high, supply chain members should adopt forward–reverse blockchain traceability. Additionally, when consumers exhibit strong green recycling preferences, the third-party recycler will adopt blockchain technology, which, in turn, benefits the manufacturer as well. When the unit cost of blockchain usage is high, the NEV manufacturer tends to increase the retail price in the forward blockchain traceability scenario. Under such conditions, supply chain members are more likely to adopt forward–reverse traceability. Likewise, as the consumer privacy leakage cost rises, supply chain members are also inclined to adopt forward–reverse traceability, even when the unit cost of blockchain usage remains high. Our insights provide valuable managerial implications for NEV supply chain management.
The rest of this paper is structured as follows: Section 2 reviews the existing literature and highlights the contributions of this study. Section 3 presents the model construction, outlining the fundamental assumptions and developing game models in three scenarios: no blockchain traceability, forward blockchain traceability, and forward–reverse blockchain traceability. Section 4 analyzes the optimal blockchain traceability strategies. Section 5 provides the simulation analysis, focusing on the impact of consumer green recycling preferences on NEV supply chain decisions. Section 6 concludes the paper, summarizing the key contributions and managerial implications.

2. Literature Review

This study is closely related to two streams of research in the literature: closed-loop supply chains for NEVs and the application of blockchain technology in supply chains.
In closed-loop supply chains (CLSCs) for new energy vehicles (NEVs), a significant focus has been placed on the comparative analysis of different recycling models in the literature. For example, Li et al. [16] examined four recycling strategies from the perspective of NEV manufacturers and Alamdar et al. [17] developed a tripartite game model involving a manufacturer, retailer, and third-party recycler. In a similar vein, Sun et al. [18] systematically compared the environmental performance of different recycling models, such as manufacturer-led, retailer-led, and hybrid models, within the framework of carbon trading policies. Furthermore, the role of government intervention in shaping recycling outcomes has been widely discussed. Zhang et al. [19] and Zhang et al. [20] examined the effects of EV quota trading and carbon emission reduction policies on recycling decisions and operational efficiency. Li et al. [21] demonstrated that deposit subsidy policies can play a pivotal role in enhancing the formal recycling of EV batteries. Similarly, Zhang et al. [22] constructed a Stackelberg game model to assess the effects of penalty and reward policies on recycling rates and social welfare. Some research has explored the competition among NEV supply chain members. For instance, Sun [18] and Zhu et al. [23] investigated how cooperation and competition among manufacturers can influence market structures and supply chain outcomes. Wang and Huang [24] examined the effects of various cooperation models on supply chain energy efficiency and profit distribution. Additionally, Yu et al. [25] and Yi and Chen [26] analyzed strategic decision-making in NEV supply chains in both competitive and cooperative contexts.The previous literature [27] on closed-loop supply chains for NEVs provides valuable insights into the optimization of recycling strategies, the influence of government policies, and the dynamics of supply chain coordination. However, there has been limited attention paid to the role of consumers’ green recycling preferences. Moreover, the existing literature rarely provides a comprehensive analysis of the interplay between consumer green recycling preference, privacy leakage cost, and blockchain technology—a gap that this study aims to address. This is particularly important for NEV manufacturers to rebuild consumers’ trust.
Blockchain technology is widely used in areas such as cross-border trade, food traceability, and counterfeit prevention for high-value goods [28]. Most research has explored how blockchain improves the efficiency and accountability of supply chains. For example, Choi and Luo [29] developed a tripartite game model in sustainable fashion supply chains. Choi et al. [30] further employed a duopolistic leasing platform competition model. Pun et al. [31] utilized signaling game theory to develop a dynamic game framework between manufacturers and counterfeiters. A growing body of research has focused on the impact of blockchain technology on the operational decisions of manufacturers in different competitive and cooperative scenarios. For example, Liu et al. [32] explored the impact of government subsidies on green manufacturers’ adoption of blockchain technology. Wu et al. [33] developed a game theory model to examine the impact of blockchain on market entry strategies, pricing, and social welfare. Their findings suggest that blockchain adoption can help entrants by reducing entry barriers, particularly when the adoption cost is low. Liao [34] found that blockchain adoption is beneficial when the privacy costs are low, and subsidies encourage green investment. Several studies have addressed the trade-offs between the operational costs and the increased transparency. Fan et al. [35] explored the dynamic interactions between blockchain system operating costs, production costs, and consumer traceability perceptions. Zhang et al. [36] further examined blockchain adoption in dual-channel supply chains, highlighting the importance of synergy between blockchain costs, sales channel costs, and market demand fluctuations in determining adoption strategies. Additionally, Naoum-Sawaya et al. [37] revealed that higher blockchain operating costs can undermine the incentives for manufacturers to adopt blockchain technology. Niu et al. [38] demonstrated that factors such as market competition intensity and demand stability play a significant role in influencing the diffusion of blockchain technology, with moderate competition and stable demand environments promoting its adoption among retailers.
Only a few articles have focused on blockchain’s specific applications in NEV supply chains. Li et al. [39] designed a blockchain-based information-sharing mechanism for collaborative emission reductions in NEV supply chains. They found that the blockchain mechanism could mitigate the negative effects of concealed consumer low-carbon preferences on coordination efficiency and significantly improve overall supply chain profits. Similarly, Ma et al. [40] proposed a blockchain-based NEV power battery recycling supply chain framework, demonstrating that blockchain adoption enhances recycling efficiency, particularly in manufacturer consortium-led and third-party-led recycling models.
Our research can be distinguished from the studies discussed above. Unlike their settings, this work integrates consumers’ green recycling preference and privacy privilege costs in the forward and forward–reverse blockchain traceability of a NEV supply chain.
For the ease of presentation, compared to the important related references, we show the position of our work in terms of the literature in Table 1.

3. Model Construction

3.1. Problem Description

We consider a new energy vehicle (NEV) supply chain consisting of a battery supplier, a NEV manufacturer, and a third-party battery recycler, denoted as “S”, “M”, and “T”, respectively. We assume that consumers possess a green recycling and environmental protection preference and that green recycling practices enhance their purchase intentions [41]. We assume that consumers can perceive the degree of the value uncertainty regarding NEVs, denoted as ϕ [42].
The manufacturer will order the battery from the battery supplier at the wholesale price ω s . The NEV will be sold to the consumers with the price P . The third-party recycler collects used batteries from consumers with a level of green investment e . The recycler “T” then sells the collected used batteries to the manufacturer “M” at a wholesale price for reuse in vehicle production. Based on the Stackelberg game framework, the decision-making sequence in this study is as follows (displayed in Figure 1).
We assume that the recycler’s green investment cost is C e , where C e = 1 2 k r e 2 , and k r is the cost factor for green recycling, following the related references [43,44]. We assume that the batteries of the new energy vehicles sold by the NEV manufacturer cannot be fully recycled, and the level of green investment of the third party has an impact on the number of batteries recycled; thus, the number of batteries recycled is Q t = e D [45]. If the NEV manufacturer decides to adopt blockchain technology, we assume the NEV manufacturer will bear the cost of the blockchain infrastructure. The battery supplier and the third-party recycler must pay a unit cost to the NEV manufacturer for adopting blockchain technology. Table 2 shows all the notations in this paper.

3.2. Non-Blockchain Traceability (NB)

We use NB to represent the non-blockchain traceability. In an NB situation, the expression of the consumer’s utility function is
U N B = 1 ϕ v P + k β e .
Here, the consumers’ heterogeneous preference for quality is vU [0, 1]. ϕ represents the degree of consumer uncertainty about the vehicle value [40]. P represents the price of new energy vehicles, k represents the echelon utilization rate [46]. The echelon use of the recycled batteries is denoted by k, k 0 ,   1 . β represents the consumer preference for green recycling. e represents the green recycling effort level [43].
Consumers will buy NEVs from the NEV manufacturer only when U N B > 0 , that is, v v ^ = P k β e 1 ϕ . Therefore, the demand for NEVs is
D N B = v ^ 1 d v = P k β e 1 ϕ 1 d v = 1 P k β e 1 ϕ .
The battery supplier’s profit function is formulated by
Π s N B = ( ω s c s ) D N B .
The NEV manufacturer’s profit function is formulated as
Π M N B = P ω s c m D N B + A k λ Q t ω t Q t .
Here, Q t = e D N B .
The third-party recycler’s profit function is formulated as
Π T N B = ω t p t Q t C e .
Here, C e = 1 2 k r e 2 .
Lemma 1.
In the scenario of non-blockchain traceability, when k r > max   2 β k w t p t 1 ϕ , A k λ + 3 β k w t ω t p t 2 1 ϕ , the optimal decisions for the battery supplier, the NEV manufacturer, and the third-party recycler in a supply chain are, respectively:
w s N B * = c s c m ϕ + 1 2 ,
P N B * = k r 3 1 ϕ 2 + c m + c s 1 ϕ 2 ω t p t β k 2 2 ϕ + c m + c s + A k λ 2 w t 1 ϕ 2 [ 2 k r ( 1 ϕ ) 3 β k + A k λ w t ω t p t ]   ,
e N B * = p t w t c m + c s + ϕ 1 2 [ 2 k r ( 1 ϕ ) 3 β k + A k λ w t ω t p t ] .
Proof. 
See Appendix A. □
Substituting (7) and (8) into the demand function for NEVs, the optimal demand is
D N B * = k r 1 ϕ β k ω t p t 1 ϕ c m w s 2 1 ϕ 2 k r 1 ϕ A k λ + 3 β k w t ω t p t .
Substituting (6)–(9) into the profit functions of the battery supplier, the NEV manufacturer, and the third-party recycler, the optimal profits for the battery supplier, the NEV manufacturer, and the third-party recycler can be found, respectively:
Π s N B * = c m + c s + ϕ 1 2 k r 1 ϕ β k ω t p t 4 1 ϕ 2 k r 1 ϕ A k λ + 3 β k w t ω t p t ,
Π M N B * = c m + c s + ϕ 1 2 k r 1 ϕ β k ω t p t 2 4 1 ϕ 2 k r 1 ϕ A k λ + 3 β k w t ω t p t 2 ,
Π T N B * = p t w t 2 c m + c s + ϕ 1 2 k r 1 ϕ β k ω t p t 8 1 ϕ 2 k r 1 ϕ A k λ + 3 β k w t ω t p t 2 .
Proposition 1.
In the scenario of non-blockchain traceability, we have the following.
(i.) 
When 0 < ϕ < A k λ w t ω t p t + k r k r , d Π s N B * d β > 0 , d Π M N B * d β > 0 .
(ii.) 
When  ϕ > m i n { 4 k r 3 β k + w t A k λ ω t p t 4 k r , 1 } , d Π T N B * d β > 0 .
Proof. 
See Appendix D. □
Proposition 1 shows that, in the absence of blockchain-based traceability, the consumer preference for green recycling significantly influences the profits of participants in the NEV supply chain. When consumers’ uncertainty about NEVs is below a certain threshold, i.e., 0 < ϕ < A k λ w t ω t p t + k r k r , the profits of the battery supplier and the NEV manufacturer increase and the market demand for NEVs increases as consumers’ green recycling preferences increase. Consequently, both the battery supplier and the NEV manufacturer can achieve more profit. When consumers’ uncertainty about NEVs is high, the profits of the third-party recycler will increase with the increase in the green recycling preference of consumers. In this scenario, consumers with a higher green preference are more likely to trust the third-party recycler who cooperates with the NEV manufacturer over other informal recycling channels. Therefore, as the volume of recycled batteries increases, the revenue of the third-party recycler increases.

3.3. Forward Blockchain Traceability (FB)

In the FB scenario, the battery supplier adopts blockchain traceability, and the NEV manufacturer is responsible for the construction of the blockchain infrastructure and provides blockchain services to the supplier. The third-party recycler does not adopt blockchain, and the NEV manufacturer makes fundamental technological investments in blockchain. In this case, consumers can use blockchain to access all reliable information about the battery and NEV manufacturing process when purchasing a NEV. As a result, consumers’ uncertainty about the vehicle is reduced to zero, i.e., ϕ = 0 . We use subscript FB to represent the forward blockchain traceability scenario.
In an FB scenario, the consumer’s utility function is expressed as
U F B = v P + k β e .
When the battery supplier adopts blockchain, and the NEV manufacturer establishes and uses blockchain technology, consumers can obtain true information about the batteries and NEVs. At this point, i.e., ϕ = 0 .
Consumers will buy NEVs from the NEV manufacturer only when U F B > 0 , Therefore, the demand for vehicles is
D F B = P k β e 1 d v = 1 P + k β e .
We assume that the cost of blockchain infrastructure is denoted as F. The NEV manufacturer’s profit function is formulated as
Π M F B = P ω s c m D F B + A k λ Q t ω t Q t + c D F B F = ( P ω s + A k λ e ω t e c m + c ) D F B F .
Here, Q t = e D F B .
At this point, the battery supplier pays the NEV manufacturer for the use of the blockchain c. Therefore, the battery supplier’s profit function is formulated by
Π s F B = ( ω s c s c ) D F B .
The third-party recycler’s profit function is formulated as
Π T F B = ω t p t Q t C e = ω t p t e D B C e .
Here, C e = 1 2 k r e 2 , Q t = e D F B .
Lemma 2.
In the case of forward blockchain traceability, when k r > max 2 β k w t p t , 3 β k + A k λ w t w t p t 2 , the optimal decisions for the battery supplier, the NEV manufacturer, and the third-party recycler in a supply chain are, respectively:
w s F B * = 2 c + c s c m + 1 2 ,
P F B * = 3 + c + c m + c s k r 2 c + c m + c s + 2 k β + A λ k w t ω t p t 2 2 k r 3 β k + A k λ w t ω t p t ,
e F B * = ω t p t 1 c c m c s 2 2 k r 3 β k + A k λ w t ω t p t .
Proof. 
See Appendix B. □
Substituting (19) and (20) into the demand function for new energy vehicles, the optimal demand is
D F B * = k r β k ω t p t 1 c c m c s 2 2 k r 3 β k + A k λ w t ω t p t .
Substituting (18)–(20) into the profit functions of the battery supplier, the NEV manufacturer, and the third-party recycler, the optimal profits for the battery supplier, the NEV manufacturer, and the third-party recycler in the forward blockchain traceability scenario can be found, respectively:
Π s F B * = k r β k ω t p t 1 c c m c s 2 4 2 k r 3 β k + A k λ w t ω t p t ,
Π M F B * = k r + β k ( p t w t ) ( c + c m + c s 1 ) 2 c + c m + c s + 1 2 k r ( c + c m + c s + 3 ) 2 k r + ( p t w t ) A λ ( 2 k + 1 ) 3 w t + 5 β k + 2 β k ( c + c m + c s ) 2 k r + p t w t A λ w t + 3 β k 2 + ( w t A λ ) k r + β k ( p t w t ) ( p t w t ) c + c m + c s 1 2 [ 2 k r + p t w t A λ w t + 3 β k ] 2 c k r + β k ( p t w t ) c + c m + c s 1 2 k r + p t w t A λ w t + 3 β k F
Π T F B * = 1 2 k r β k ω t p t p t w t 2 c + c m + c s 1 2 4 2 k r 3 β k + A k λ w t ω t p t 2 .
Proposition 2.
In a forward blockchain traceability scenario, w h e n   c > 1 c m c s   , we have
(i.) 
d Π s F B * d c > 0 ;
(ii.) 
d Π M F B * d c > 0 ;
(iii.) 
d Π T F B * d c > 0 .
Proof. 
See Appendix E. □
Proposition 2 implies that, in a forward blockchain traceability scenario, if the unit cost of blockchain usage is high enough, i.e., c > 1 c m c s , the profit of the battery supplier increases as the unit cost of blockchain usage rises. The battery supplier uses blockchain technology to reveal the true quality of the battery to consumers. As blockchain usage cost increases, the battery supplier gains higher brand utility, thereby earning more consumer trust, which increases order volume and profits. With the increase in the unit cost of blockchain usage, more information about the battery will be disclosed, and consumers’ trust for the manufacturer and supplier will increase, resulting in higher sales of new energy vehicles and therefore higher profits. In a forward blockchain traceability scenario, without additional investment in recycling technologies, the third-party recycler will obtain higher-quality used batteries during recycling. Therefore, as the unit cost of blockchain usage increases, the profit of the third-party recycler increases.

3.4. Forward–Reverse Blockchain Traceability (DB)

We use the subscript DB to represent the forward–reverse blockchain traceability scenario. In the DB situation, the NEV manufacturer will invest in basic blockchain technology, and both the battery supplier and the third-party recycler will adopt blockchain traceability. Through the NEV manufacturer, consumers can obtain all the information about the NEVs from production to sales, and ϕ becomes 0. Moreover, the third-party recycler can accurately identify the remaining battery capacity of used batteries. The echelon utilization rate of the used batteries k becomes 1. However, when the third-party battery recycler chooses to adopt blockchain technology, the information about consumer privacy will be disclosed to the third-party battery recycler, such as the battery usage frequency, charging times, mileage, and driving habits. Consumers will suffer a privacy cost, denoted as a [47], due to the use of blockchain.
In this scenario, the consumer’s utility function can be expressed as
U D B = v P + β e a .
Consumers will buy NEVs from the NEV manufacturer only when U D B > 0 . The demand for new energy vehicles is formulated as
D D B = P β e + a 1 d v = 1 P + β e a .
Similar to the case in FB, the battery supplier’s profit function is formulated as
Π s D B = ( ω s c s c ) D D B .
In the DB scenario, the third-party recycler adopts blockchain technology to enhance its recycling efficiency. Consequently, the third-party recycler will pay the NEV manufacturer a unit usage fee for accessing the blockchain system, denoted as c [31]. The third-party recycler’s profit function is formulated as
Π T D B = ω t p t c Q t C e = ω t p t c e D D B C e .
The NEV manufacturer’s profit function is formulated as
Π M D B = P ω s c m + c D D B + A λ + c Q t ω t Q t F .
Lemma 3.
In the forward–reverse blockchain traceability scenario, when k r > max 2 β w t p t c , 3 β + A λ w t w t c p t 2 , the optimal decisions for the battery supplier, the NEV manufacturer, and the third-party recycler are, respectively:
w s D B * = c a c m + c s + 1 2 ,
P D B * = k r 3 3 a + c + c m + c s 2 A λ + 2 β w t 1 a + β c m + c s + c w t p t c 2 2 k r 3 β + A λ w t w t p t c ,
e D B * = w t p t c 1 a c c m c s 2 2 k r 3 β + A λ w t w t p t c .
Proof. 
See Appendix C. □
Substituting (30) and (31) into the demand function for NEVs, the optimal demand is
D D B * = k r β w t p t c 1 a c c m c s 2 2 k r 3 β + A λ w t w t p t c .
Then, the optimal profits for the battery supplier, the NEV manufacturer, and the third-party recycler in the FB scenario can be found, respectively:
Π s D B * = k r β w t p t c 1 a c c m c s 2 4 2 k r 3 β + A λ w t w t p t c ,
Π M D B * = k r 2 [ 2 a 1 c m + c s 1 + ( c m + c s ) 2 + a 2 16 F 1 ] 4 2 k r A λ + 3 β + c w t w t p t c + β 2 ( 1 + c m 2 2 a 2 β 2 c m 2 c s + a 2 + c s 2 36 F ) ( c 2 + p t 2 + w t 2 ) 4 2 k r A λ + 3 β + c w t w t p t c + 2 β k r ( c + p t w t ) 4 ( 6 F w t 2 F p t 2 4 F k r ) c 2 4 ( F p t 2 4 F k r F w t 2 ) w t 2 8 ( 3 F β + F p t 2 F w t ) c 3 + 8 ( 3 F β + 2 F c + F p t ) w t 3 4 F c 4 4 [ 2 k r ( A λ + 3 β + c w t ) ( w t p t c ) ]
Π T D B * = w t p t c 2 1 a c c m c s 2 k r 2 β w t p t c 8 2 k r 3 β + A λ + c w t w t p t c 2
Proposition 3.
In the forward–reverse blockchain traceability scenario, when c > 1 a c m c s , we have
(i.) 
d Π S D B * d a > 0 ;
(ii.) 
d Π M D B * d a > 0 ;
(iii.) 
d Π T D B * d a > 0 .
Proof. 
See Appendix F. □
Proposition 3 illustrates that, in the forward–reverse blockchain traceability situation, when the unit cost of blockchain usage is above a certain threshold, the profit of the battery supplier, the profit of the NEV manufacturer, and the profit of the third-party recycler will increase as the privacy costs of consumers increase. In the forward–reverse blockchain traceability scenario, a higher blockchain cost indicates more comprehensive information being recorded, ranging from battery raw materials to production and the manufacturing information and sales information of NEVs. Higher consumer privacy leakage costs suggest more detailed consumer information related to the usage of NEVs, although this information helps the manufacturer enhance the value of the used batteries, thereby increasing the profits of all three parties in the supply chain. However, as consumer concerns about privacy increase, supply chain members will obtain the profits from adopting blockchain technology against the losses caused by its negative impact on consumers.

4. Analysis of the Optimal Blockchain Traceability Strategy

Various factors may affect the optimal decisions of supply chain members in different scenarios. Therefore, we explored the impact of different blockchain adoption strategies on supply chain decision-making under various influencing factors, such as the degree of consumer uncertainty about the product value (ϕ), consumer preferences for green recycling ( β ), and the cost of blockchain implementation ( c ).
Proposition 4.
The comparison of profits in three situations is as follows:
(i.) 
When
k r > m a x { E [ β k ( 1 c c m c s ) 2 + 1 ϕ ( A k λ + 3 β k w t ) c m + c s + ϕ 1 2 ] 1 ϕ 2 1 c c m c s 2 c m + c s + ϕ 1 2 ,    3 β + A λ w t E c 2 , 3 β k + A k λ w t E 2 , β E c A 1 B 1 β k E A 2 B 2 A 1 B 1 A 2 B 2 },
Π s D B * > Π s F B * > Π s N B * .
(ii.) 
When k r > β k E [ c m + c s + c 1 A k λ + 3 β k w t 2 1 ϕ c m + c s + ϕ 1 ] 2 1 ϕ A k λ + 3 β k w t + c m + c s + c 1 E ,   Π M D B * > Π M F B * > Π M N B * .
(iii.) 
When k r > m a x 3 β + A λ + c w t E c 2 , 3 β k + A λ w t E 2 ,   Π T D B * > Π T F B * > Π T N B * .
Proof. 
See Appendix G. □
Proposition 4 reveals the blockchain adoption decisions of supply chain members under different circumstances. Specifically, when the cost coefficient of green recycling level exceeds a certain threshold, the profit of the battery supplier in the forward–reverse blockchain traceability scenario is higher than in the forward blockchain traceability scenario. When the cost coefficient of the green recycling level is high, the NEV manufacturer earns higher profits in the forward–reverse blockchain traceability scenario than in the forward blockchain traceability scenario. When the cost coefficient of green recycling level exceeds a certain threshold, the third-party recycler gains more profit in the forward–reverse blockchain traceability scenario than in the forward blockchain traceability scenario. This is because, in scenarios with high green costs, information transparency within the supply chain plays a critical role in supply chain coordination. In a forward–reverse blockchain traceability scenario, full traceability and the feedback mechanism enable all participants to access real-time trustworthy information, which facilitates better strategic adjustments. This transparency reduces the inefficiencies caused by information asymmetry and enhances supply chain collaboration, ultimately increasing the profits of all supply chain participants. In contrast, in a forward blockchain traceability scenario, only partial information is traceable, which reduces efficiency and leads to lower profits. When blockchain is not adopted, low information transparency significantly reduces the efficiency of supply chain members, resulting in lower profits.
Proposition 5.
When c > 2 β k ω t p t c m + c s + 2 + ω t p t 2 w t 2 A k λ k r c m + c s + 3 k r 2 β k ω t p t ,   P D B * > P F B * > P N B * . Otherwise, when c < min c 1 , c 2 , P F B * > P D B * > P N B * ,
where c 1 = 2 β k ω t p t c m + c s + 2 + ω t p t 2 w t 2 A k λ k r c m + c s + 3 k r 2 β k ω t p t ,
c 2 = 2 [ ( A λ + 2 β w t ) ( 1 a ) + β ( c m + c s ) ] ( w t p t ) + k r ( 3 a c m c s ) k r + 2 β ( w t p t ) ( 3 β + A λ w t ) ( w t p t ) .
Proof. 
See Appendix H. □
From Proposition 5, we found that when the unit cost of blockchain technology was above a certain threshold, the NEV manufacturer prefers to increase the price of NEVs, and the price in the forward–reverse blockchain traceability scenario is higher than in the forward blockchain traceability scenario. The reason for this is that the more nodes a block links into, the higher the cost is. To maintain profitability, the price of the NEVs will be higher than not adopting blockchain technology; when both the supplier and the recycler adopt blockchain technology, the manufacturer has to invest much more money in the blockchain infrastructure. Conversely, when the unit cost of blockchain technology falls below a certain threshold, the NEV manufacturer prefers to increase the price of NEVs, with the price in the forward blockchain traceability scenario being higher than that in the forward–reverse blockchain traceability scenario. This is because it provides greater production transparency and quality assurance, which can more effectively attract consumers.
Proposition 6.
When ϕ > m i n { a c , 1 }   ,   w s F B * > w s D B * >   w s N B * . Otherwise, ϕ < m a x { 0 , a c } , w s F B * >   w s N B * > w s D B * .
Proof. 
See Appendix I. □
Proposition 6 indicates that when the degree of consumer uncertainty about the product value is above a certain level, the wholesale price in the forward blockchain traceability scenario is the highest and the wholesale price in the non-blockchain traceability scenario is the lowest. This means that when the supplier and the manufacturer adopt blockchain, forward traceability directly addresses consumers’ uncertainty about the production information, thereby enhancing their trust and motivating the manufacturer to raise the product price to offset the cost of blockchain implementation. In the DB scenario, the blockchain system records the entire supply chain—from the battery supplier to the third-party recycler—which not only eliminates consumers’ uncertainty about the product quality and origin but also fulfills their preferences for environmentally responsible recycling and sustainability. As a result, the overall perceived value of the product increases. Consequently, the manufacturer is willing to pay a higher wholesale price to the supplier to maintain the highly transparent cooperative structure, thereby enabling a higher retail price and profit margin. Conversely, when the degree of consumer uncertainty about the product value is below a certain level, the wholesale price in the forward blockchain traceability scenario is the highest of the three scenarios, but the wholesale price when both the supplier and third-party recycler adopt blockchain is the lowest in the three scenarios. Here, consumers are less inclined to pay a premium for additional recycling information, making it difficult for the high cost in the forward–reverse blockchain traceability scenario to be justified by the perceived value. Consequently, the manufacturer is reluctant to accept a higher wholesale price and tends to negotiate a lower battery price.
Proposition 7.
When β > m a x { β ^ 1 , β ^ 2 } ,   e D B * > e F B * > e N B * . Otherwise, when β < min β ^ 1 , β ^ 2 ,   e D B * < e F B * < e N B * ,
where β ^ 1 = E E w s + 2 k r 2 k r ϕ A E k λ c + c m + c s 1 E 4 k r + 2 E w s 2 A E k λ c m ϕ + w s + 1 3 E 2 k c c m + c s 2 ϕ 2 w s + 1 ,
β ^ 2 = E 2 k r + E c w t A λ c + c m + c s 1 2 k r + E w s A k λ E c a + c + c m + c s 1 E 3 E 3 c c + c m + c s 1 3 E k E c a + c + c m + c s 1 .
Proof. 
See Appendix J. □
Proposition 7 indicates that when consumers’ preference for green recycling is above a certain threshold, the third-party recycler will produce more effort in the forward–reverse blockchain traceability scenario than that in the forward blockchain traceability scenario or in the non-blockchain traceability scenario. In the forward blockchain traceability scenario, the third-party recycler could accurately identify the quality of the recycled batteries and carry out efficient cascading utilization of batteries and thus obtain higher profits. Therefore, the third-party recycler will enhance their green recycling efforts in the forward–reverse blockchain traceability scenario. When consumers’ preference for green recycling is below a certain threshold, consumers are not highly motivated to participate in recycling activities, and recyclers are unlikely to gain additional benefits in terms of either the quantity or quality of recycled products in the blockchain traceability scenario.

5. Numerical Analysis

In order to observe the impact of the blockchain and consumers more intuitively, we assigned parameter values without violating the basic assumptions [31,48]. We assumed F = 0.1 , a = 0.4 , k = 0.4 , A = 1 , λ = 0.6 , c m = 0.3 , c s = 0.2 , w t = 1 , p t = 0.6 .

5.1. The Impact of Consumer Preference for Green Recycling

The impact of the green recycling effort level on decision variables is shown in Figure 2 and Figure 3.
Figure 2 shows that the green recycling effort level in the forward–reverse blockchain traceability situation is higher than that in the forward blockchain traceability situation and non-blockchain traceability situation. In addition, with the increase in the consumer preference for green recycling, the optimal green recycling effort level in the forward–reverse blockchain traceability situation decreases, and the optimal green recycling effort level in the forward blockchain traceability situation increases. Our findings exhibit similar trends to those observed in previous research on sales efforts. Forward–reverse blockchain traceability will enhance transparency and consumer trust, and the recycler will be able to more easily determine the quality of batteries. Therefore, the recycler decreases its effort levels as consumers’ preference for green recycling increases. In contrast, in the forward blockchain traceability scenario, recyclers must continuously increase their effort levels with rising consumer green preferences to compensate for the partial traceability and sustain consumer trust. Meanwhile, in the non-blockchain traceability scenario, recyclers’ effort levels remain largely insensitive to changes in consumer green preferences due to the lack of reliable information mechanisms. Our finding aligns with previous findings [47] that blockchain adoption in a forward blockchain traceability scenario alters the effort allocation strategies of supply chain participants. However, we further discovered that forward–reverse blockchain adoption allows the recycler to save effort and cost under high green preference conditions.
Figure 3 presents the impact of consumer preference for green recycling on the optimal price of new energy vehicles in the three scenarios. We found that the optimal price of NEVs in the non-blockchain traceability scenario decreased as the consumer preference for green recycling decreased. This conclusion is consistent with Liu et al. [32]. However, we found that the optimal price of a NEV in forward-blockchain traceability decreased as the consumer preference for green recycling decreased. Our study shows that forward–reverse traceability enables the manufacture to mitigate consumer concerns more effectively, thereby supporting higher sales prices as green preferences intensify. In addition, with the increase in consumers’ green recycling preference, the manufacturer continuously decreases the optimal sales price in both the non-blockchain traceability and forward traceability scenarios. Moreover, in the forward traceability scenario, the price reduction is greater than that in the non-blockchain traceability scenario in the same unit β .

5.2. The Impact of the Unit Cost of Blockchain Usage

Figure 4 shows that the profit of suppliers will decrease and then increase with the increase in the blockchain costs in the forward blockchain traceability scenario. The profit of suppliers in the forward–reverse blockchain traceability scenario will increase. This indicates that all NEV supply chain members who adopt blockchain traceability benefit the supplier. We found that when the unit cost of the blockchain usage was high enough, the supplier’s profit in the forward–reverse blockchain was the highest of the three scenarios.
Studies [47,48] have shown that high operational or blockchain-related costs may reduce the consumer surplus and supply chain profits, despite the privacy benefits offered by blockchain adoption. Our conclusions are similar: when the blockchain cost is relatively low, the supplier prefers to adopt forward blockchain traceability, which will enhance the NEVs’ brand effect and thereby attract more consumers. As a result, the supplier can achieve higher profits. However, when the blockchain cost is high, the profit brought by the use of blockchain may far exceed the negative impact caused by the cost of blockchain usage and consumer privacy breaches. We found that when the blockchain costs were relatively low, the supplier benefited more from adopting forward traceability to leverage the brand effect. Different from the results of prior studies, when the blockchain costs were high, the supplier preferred to adopt forward–reverse blockchain traceability.
Figure 5 shows that the profit of the NEV manufacturer in the forward–reverse blockchain traceability scenario is always larger than that in the forward blockchain traceability and non-blockchain traceability scenarios. In addition, with the increase in the unit cost of blockchain usage, the manufacturer’s profit initially decreases and then increases in the forward blockchain traceability scenario.
Figure 6 reveals that when the cost of using blockchain is low, under the same blockchain cost, the optimal effort level of recyclers in the forward blockchain traceability scenario is higher than that in the forward–reverse blockchain traceability scenario. When the cost of using blockchain is high, the optimal effort level of recyclers in the forward–backward blockchain traceability scenario is higher than in the forward blockchain traceability scenario. In addition, with the increase in the unit cost of blockchain usage, the recyclers will continuously improve the green recycling effort level in the forward blockchain traceability scenario.
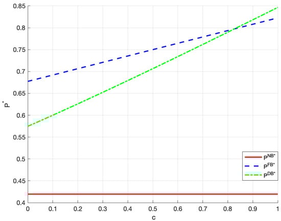
Figure 7 shows that the manufacturer will continuously increase the retail price of new energy vehicles in the forward blockchain traceability and forward–reverse blockchain traceability scenarios. In addition, when the unit cost of blockchain usage is low, the retail price of new energy vehicles in forward–reverse blockchain traceability will be lower than that in the forward blockchain traceability scenario. However, when the unit cost of blockchain usage is sufficiently high, the retail price of new energy vehicles in the forward–reverse blockchain traceability scenario will be higher than that in the forward blockchain traceability scenario.

5.3. The Impact of the Privacy Leakage Cost to Consumers

To more intuitively understand the impact of the privacy cost incurred by consumers after adopting blockchain on the optimal profits of supply chain members in the forward blockchain traceability scenario, we explored its effects on the optimal profits, as seen in Figure 8.
Figure 8 shows that the profit of the manufacturer and supplier will decrease as the privacy leakage cost increases, when the privacy leakage cost is a lower value. However, the profit of the manufacturer and supplier will increase as the privacy leakage cost increases, above a certain threshold. The above conclusion is consistent with Li et al. [49], who suggested that when consumer privacy costs are high, blockchain members can benefit from adopting blockchain technology.
Otherwise, we find the profit of the third-party recycler increases as the privacy leakage costs increase when the privacy cost is low, and the recycler’s profit decreases as privacy leakage cost increases when the privacy cost becomes sufficiently high. The relatively low unit privacy leakage cost encourages consumers to actively participate in reverse recycling, leading to higher collection volumes and increased profits for the recycler. However, as privacy costs continue to rise, excessive privacy leakage costs deter the participation of consumers, thereby reducing the recycler’s profits.

6. Conclusions and Managerial Implications

In this study, we investigated the blockchain adoption problem in a closed-loop new energy vehicle (NEV) supply chain consisting of a battery supplier, a manufacturer, and a third-party recycler. We considered three scenarios of traceability (non-blockchain traceability, forward blockchain traceability, and forward–reverse blockchain traceability), and the unit blockchain cost was considered. Consumers’ green recycling preference and privacy leakage costs were also considered. First, we investigated the optimal wholesale prices, the retail prices, and the recycling investment levels. Second, we discussed the blockchain traceability strategy of NEV supply chain members. The effect of the unit blockchain cost on the optimal decision and profits of NEV supply chain members was also investigated. Finally, the impact of the green recycling preference of consumers and the privacy leakage cost on the optimal decision and profits of NEV supply was analyzed.
Consequently, we can highlight our answers to the proposed research questions as follows.
1. When the cost of green recycling is high, members of the NEV supply chain are more inclined to adopt blockchain technology to disclose information related to production, manufacturing, and recycling. This transparency reduces consumer uncertainty in terms of the quality of NEVs, fulfills the demand for product traceability, and ultimately enhances the supply chain profitability.
2. Compared with the non-blockchain traceability scenario, the NEV manufacturer tends to set a higher retail price when adopting blockchain. This pricing effect is even more pronounced in the forward–reverse blockchain scenario. Therefore, the NEV manufacturer is incentivized to adopt blockchain to share more product-related information and build consumer trust.
3. When consumer uncertainty about NEVs is high, battery suppliers can benefit from adopting blockchain as it leads to higher wholesale prices. In addition, when consumers exhibit strong preferences for green recycling, third-party recyclers are more willing to invest in blockchain-based recycling due to its ability to enhance the accuracy and credibility of recycling data. This, in turn, increases consumers’ willingness to participate in recycling and boosts recyclers’ profits.
4. When consumer privacy leakage costs are relatively high, supply chain members achieve greater profits with the adoption of blockchain. The decentralized, immutable, and anonymous characteristics of blockchain help alleviate privacy concerns, enhance consumer trust, and encourage more participation in the usage of blockchain, making it a beneficial strategy for all supply chain members.
According to the above findings, some managerial insights can be derived to help the NEV supply chain members develop associated action plans.
The battery supplier, NEV manufacturer, and recycler should recognize that adopting blockchain is not merely a technical decision but also a strategic response to consumer trust and information transparency. When the cost coefficient of green recycling is high, blockchain technology (BT) becomes a key enabler of consumer confidence by providing reliable and transparent records of production and recycling processes. Therefore, managers should actively invest in traceability systems and ensure the public availability of product-level sustainability information to enhance consumer loyalty and brand equity.
NEV manufacturers can leverage consumers’ willingness to pay a premium for transparent and reliable information by adopting either forward or reverse blockchain systems. Since forward–reverse traceability provides stronger reliability and accountability signals in the market, manufacturers should consider gradually upgrading from single-direction traceability to a comprehensive BT system. In addition, they can use such systems to differentiate product lines, justify higher prices, and create value propositions around authenticity, safety, and sustainability.
Unilateral investment in blockchain may fail to unlock the full value of the system. Therefore, NEV manufacturers should act as coordinators to align upstream and downstream partners, especially battery suppliers and recyclers, in jointly adopting BT. This can be achieved through contractual arrangements, co-investment strategies, or shared digital platforms. By establishing a shared digital infrastructure, the entire supply chain can benefit from enhanced data visibility, synchronized decision-making, and collective performance improvements.
Our findings indicate that when consumers’ privacy costs are high, the adoption of BT leads to higher profitability. This suggests that the decentralized and anonymous structure of BT effectively addresses privacy concerns. Supply chain participants should incorporate privacy-preserving mechanisms, such as zero-knowledge proofs, selective disclosure, or permissioned blockchain protocols, to ensure the protection of sensitive consumer data. Moreover, managers should clearly communicate these privacy safeguards to consumers to alleviate concerns and promote participation in traceability initiatives to rebuild trust.
Recyclers should monitor and analyze shifts in consumer environmental awareness and be prepared to adjust their investment strategies accordingly. As blockchain enables more credible and granular environmental performance records, recyclers can leverage it to enhance the transparency of waste treatment, thereby strengthening consumers’ willingness to return end-of-life products. Marketing strategies should emphasize the role of blockchain in responsible recycling to attract eco-conscious consumers and secure a competitive advantage.
Finally, supply chain members should actively engage with government agencies to jointly establish industry standards for blockchain-based traceability, seek funding for pilot projects, and advocate for targeted subsidies. This is especially important for recyclers and small-scale suppliers, as financial and technological support from public institutions can significantly lower the entry barriers to blockchain adoption and accelerate the digital transformation of the industry.
Our work has several limitations that present opportunities for future research. First, we assumed that the new electric vehicle manufacturer was the builder of the blockchain system and provided blockchain services. Future studies could consider battery suppliers or third-party blockchain firms as potential builders. Second, our model focused on a non-competitive environment for pricing and recycling; future work could explore scenarios involving competition among manufacturers and recyclers. Finally, it would be valuable to consider the integration of other technologies, such as machine learning and artificial intelligence [50,51,52,53,54], which could further improve supply chain coordination.

Author Contributions

Conceptualization and methodology, Y.S.; formal analysis and visualization, Y.Y.; writing—original draft, Y.S. and Y.Y. All authors have read and agreed to the published version of the manuscript.

Funding

Major Project of Philosophy and Social Sciences in Colleges and Universities of Jiangsu Province (2024sjzd122); National Natural Science Foundation of China (71301073, 71701093, 71801125); National Social Science Foundation of China (22&ZD122); and Humanities and Social Science Foundation Project of Ministry of Education (20YJC630142).

Data Availability Statement

There is no new data created in this manuscript.

Conflicts of Interest

The authors declare no conflict of interest.

Appendix A. Proof of Lemma 1

Using the backward induction method, given that w t > p t ,   q n = ϕ + q ϕ q > 0 ,   k r > 0 ,   k ω t A λ , the second-order partial derivatives with respect to e and P are calculated to construct the Hessian matrix.
H = 2 Π T N B e 2 2 Π T N B e P 2 Π M N B P e 2 Π M N B P 2 = k r 2 β k p t w t 1 ϕ p t w t 1 ϕ w t + β k A k λ 1 ϕ 2 1 ϕ H ( 1 ) = 2 β k w t p t 1 ϕ k r < 0 , H ( 1 ) = 2 k r 1 ϕ A k λ + 3 β k w t ( ω t p t ) ( 1 ϕ ) 2 > 0 w h e n   k r > m a x {   2 β k w t p t 1 ϕ , A k λ + 3 β k w t ( ω t p t ) 2 1 ϕ }
If the Hessian matrix is negative definite, then e and P have a unique solution. Next, we construct the Jacobian matrix for the implicit function:
F ( e ,   P ) = 0 ,   G ( e ,   P ) = 0 J = F e F P G e G P = k r 2 β k p t w t 1 ϕ p t w t 1 ϕ w t + β k A k λ 1 ϕ 2 1 ϕ d e t ( J ) = 2 k r 1 ϕ A k λ + 3 β k w t ( ω t p t ) ( 1 ϕ ) 2 0 ,   J ( e ,   P )   0 ,
Thus, the solution for e   and P   is locally unique, and the second-order derivative with respect to e is
2 π T N B e 2 = k r 2 β k ( p t w t ) 1 ϕ < 0 ,
indicating the existence of a unique optimal solution. Similarly, we can derive that when
k w t A λ 2 π M N B P 2 = 2 k r 1 ϕ + β k ( p t w t ] [ k r ( 1 ϕ ) + ( 2 β k + A k λ w t ) ( p t w t ) ] ( 1 ϕ ) [ k r ( 1 ϕ ) + 2 β k ( p t w t ) ] 2 < 0 ,
indicating the existence of a unique optimal solution. Solving the system of equations by setting the first-order derivative of π M N B with respect to P ,
π M N B P = 0
and the first-order derivative of π T N B with respect to e ,
π T N B e = 0 .
Similarly, we can derive that when
k w t A λ , 2 π S N B ω S 2 = k r 1 ϕ + β k ( p t w t ) 1 ϕ [ k r 1 ϕ + ( 2 β k + A k λ w t ) ( p t w t ) ] < 0
there exists a unique optimal solution. Solving the first-order derivative of π s N B with respect to ω S :
π S N B ω S = 0
we obtain the optimal solution.

Appendix B. Proof of Lemma 2

Similar to Appendix A.

Appendix C. Proof of Lemma 3

Similar to Appendix A.

Appendix D. Proof of Proposition 1

The maximum profits of the members of the supply chain under the non-blockchain traceability. Taking the first-order derivative with respect to β in each of these formulas the following results. We can obtain:
d Π s N B * d β = 3   k   ω t p t   k r   ϕ 1 + β   k   ω t p t   c m + c s + ϕ 1 2 4   ϕ 4   2   k r   ϕ 1 + ω t p t   3   β   k w t + A   k   λ 2 k   ω t p t   c m + c s + ϕ 1 2 4   ϕ 4   2   k r   ϕ 1 + ω t p t   3   β   k w t + A   k   λ d Π M N B * d β = 6   k   ( ω t p t )   ( k r   ( ϕ 1 ) + β   k   ( ω t p t ) ) 2   ( c m + c s + ϕ 1 ) 2 ( 4   ϕ 4 )   ( 2   k r   ( ϕ 1 ) + ( ω t p t )   ( 3   β   k w t + A   k   λ ) ) 3 2   k   ( ω t p t )   ( k r   ( ϕ 1 ) + β   k   ( ω t p t ) )   ( c m + c s + ϕ 1 ) 2 ( 4   ϕ 4 )   ( 2   k r   ( ϕ 1 ) + ( ω t p t )   ( 3   β   k w t + A   k   λ ) ) 2 d Π T N B * d β = k   ( ω t p t )   ( p t w t ) 2   ( c m + c s + ϕ 1 ) 2 ( 8   ϕ 8 )   ( 2   k r   ( ϕ 1 ) + ( ω t p t )   ( 3   β   k w t + A   k   λ ) ) 2 6   k   ( ω t p t )   ( p t w t ) 2   ( k r   ( ϕ 1 ) + β   k   ( ω t p t ) )   ( c m + c s + ϕ 1 ) 2 ( 8   ϕ 8 )   ( 2   k r   ( ϕ 1 ) + ( ω t p t )   ( 3   β   k w t + A   k   λ ) ) 3
When d Π s N B * d β > 0 , we can obtain ϕ < A k λ w t ω t p t + k r k r ,
When d Π M N B * d β > 0 , we can obtain ϕ < A k λ w t ω t p t + k r k r ,
When d Π T N B * d β > 0 , we can obtain ϕ > m a x { 1 , 4 k r ω t p t 3 β k + w t A k λ 4 k r } .

Appendix E. Proof of Proposition 2

The maximum profits of the members of the supply chain under the forward blockchain traceability is as follows:
Π s F B * = [ k r β k ( ω t p t ) ] 1 c c m c s 2 4 [ 2 k r 3 β k + A k λ w t ( ω t p t ) ]
Π M F B * = ( p t w t ) ( 2 w t 2 k ( 2 β + A λ + β c + β c m + β c s ) + 2 ( ω t A k λ + 1 ) ( 3 β k w t + A k λ ) ( c c m + c s + 1 ) k r [ c + c m + c s + 3 ) 4 2 k r 3 β k + A k λ w t ω t p t 2
( ( 2 ω t 2 A k λ + 2 ) ( c c m + c s + 1 ) ] ( k r + β k p t β k w t ) ( c + c m + c s 1 ) 4 2 k r 3 β k + A k λ w t ω t p t 2 F
Π T F B * = [ 1 2 k r β k ( ω t p t ) ] p t w t 2 c + c m + c s 1 2 4 [ 2 k r 3 β k + A k λ w t ( ω t p t ) ] 2
Taking the first-order derivative with respect to c in each of these formulas the following results. We can obtain:
d Π s F B * d c = k r β k E c + c m + c s 1 2 [ 2 k r E 3 β k + A k λ w t ]
d Π M F B * d c = E 2 β k 2 ω t A k λ + 1 3 β k w t + A k λ + k r k r β k E c + c m + c s 2 ω t A k λ + 1 c c m + c s + 1 + 3 4 2 k r E 3 β k + A k λ w t 2
+ k r ( k r β k E ) 2 ω t 2 A k λ + 1 c + c m + c s 1 } 4 [ 2 k r E 3 β k + A k λ w t ] 2
d Π T F B * d c = 2 E 2 k r 2 β k E 2 c + c m + c s 1 4 [ 2 k r E 3 β k + A k λ w t ] 2
When d Π s F B * d c > 0 , d Π M F B * d c > 0 , d Π T F B * d c > 0 ,
We can obtain c + c m + c s 1 > 0 .

Appendix F. Proof of Proposition 3

The maximum profits of the members of the supply chain under the forward-reverse blockchain traceability is as follows:
Π s D B * = [ k r β ( w t p t c ) ] 1 a c c m c s 2 4 [ 2 k r 3 β + A λ w t ( w t p t c ) ]
Π M D B * = k r 2 [ 2 a 1 c m + c s 1 + ( c m + c s ) 2 + a 2 16 F 1 ] 4 2 k r A λ + 3 β + c w t w t p t c                                                                + β 2 ( 1 + c m 2 2 a 2 β 2 c m 2 c s + a 2 + c s 2 36 F ) ( c 2 + p t 2 + w t 2 ) 4 2 k r A λ + 3 β + c w t w t p t c
+ 2 β k r ( c + p t w t ) 4 ( 6 F w t 2 F p t 2 4 F k r ) c 2 4 ( F p t 2 4 F k r F w t 2 ) w t 2 8 ( 3 F β + F p t 2 F w t ) c 3 + 8 ( 3 F β + 2 F c + F p t ) w t 3 4 F c 4 4 [ 2 k r ( A λ + 3 β + c w t ) ( w t p t c ) ]
Π T D B * = w t p t c 2 1 a c c m c s 2 k r 2 β w t p t c 8 2 k r 3 β + A λ w t ( w t p t c ) 2
Taking the first-order derivative with respect to c in each of these formulas the following results. We can obtain:
d Π S D B * d a = [ k r β w t p t c ] a + c + c m + c s 1 2 [ 2 k r 3 β w t + A λ ( w t p t c ) ]
d Π M D B * d a = [ k r β E c ] 2 a + c + c m + c s 1 2 [ 2 k r 3 β w t + c + A λ ( E c ) ] 2
d Π T D B * d a = [ k r β E c ] E c 2 a + c + c m + c s 1 4 [ 2 k r 3 β w t + A λ ( E c ) ] 2
When d Π S D B * d a > 0 , d Π M B * d a > 0 , d Π T B * d a > 0 .
We can obtain a + c + c m + c s 1 > 0 .

Appendix G. Proof of Proposition 4

In Section 2, we have optimal profits of supply chain members in three scenarios
Let   E = w t p t , H = 3   β   k w t + A   k   λ , Z =   w t   A   k   λ + 1 ,
A 1 = ( 1 a c c m c s ) 2 , A 2 = ( 1 c c m c s ) 2 ,
B 1 = 2 k r ( 3 β k + A k λ w t ) E , B 2 = 2 k r ( 3 β + A λ w t ) ( E c )
C = E ( 1 ϕ ) + 2 k [ A λ + β ( c + c m + c s + 2 ) ] 2 H Z ( c c m + c s + 1 ) 2 w t ( c m + c s + ϕ 1 ) 2
When Π s F B * Π s N B * > 0 , we have
k r > w t p t [ β k 1 c c m c s 2 + 1 ϕ ( A k λ + 3 β k w t ) c m + c s + ϕ 1 2 ] 1 ϕ [ 2 1 c c m c s 2 c m + c s + ϕ 1 2 ]
Proposition 4 (ii.), (iii.), (iv.), (v.) similar to the above.

Appendix H. Proof of Proposition 5

The optimal price of NEVs in NB, FB, DB scenarios are:
P N B * = k r 3 1 ϕ 2 + c m + c s 1 ϕ 2 ω t p t β k 2 2 ϕ + c m + c s + A k λ 2 w t 1 ϕ 2 [ 2 k r ( 1 ϕ ) 3 β k + A k λ w t ω t p t ]
P F B * = 3 + c + c m + c s k r 2 c + c m + c s + 2 k β + A λ k w t ω t p t 2 2 k r 3 β k + A k λ w t ω t p t
P D B * = k r 3 3 a + c + c m + c s 2 A λ + 2 β w t 1 a + β c m + c s + c w t p t c 2 2 k r 3 β + A λ w t w t p t c
When
c > 2 β k ω t p t c m + c s + 2 + ω t p t 2 w t 2 A k λ k r c m + c s + 3 k r 2 β k ω t p t ,
  P D B * > P F B * > P N B *

Appendix I. Proof of Proposition 6

The wholesale price of new batteries in NB, FB, DB scenarios are:
w s N B * = c s c m ϕ + 1 2 , w s F B * = 2 c + c s c m + 1 2 , w s D B * = c a c m + c s + 1 2
When ϕ > m i n { a c , 1 } , w s F B * > w s D B * > w s N B * , otherwise ϕ < m a x { 0 , a c } , w s F B * > w s N B * > w s D B * .

Appendix J. Proof of Proposition 7

The green recycling effort levels in NB, FB, DB scenarios are:
e N B * = ( ω t p t ) 1 ϕ c m w s 2 k r 1 ϕ A k λ + 3 β k w t ( ω t p t )
e F B * = ( ω t p t ) 1 c c m c s 2 2 k r 3 β k + A k λ w t ( ω t p t )
e D B * = w t p t c 1 a c c m c s 2 [ 2 k r 3 β + A λ w t ( w t p t c ) ]
Let
β ^ 1 = E E w s + 2 k r 2 k r ϕ A E k λ c + c m + c s 1 E 4 k r + 2 E w s 2 A E k λ c m ϕ + w s + 1 3 E 2 k c c m + c s 2 ϕ 2 w s + 1 ,
β ^ 2 = E 2 k r + E c w t A λ c + c m + c s 1 2 k r + E w s A k λ E c a + c + c m + c s 1 E 3 E 3 c c + c m + c s 1 3 E k E c a + c + c m + c s 1
When β > m a x { β ^ 1 , β ^ 2 } , e D B * > e F B * > e N B * .

References

  1. China Energy News. China Has Ranked First Globally in NEV Production and Sales for Ten Consecu tive Years. 2025. Available online: https://www.yicaiglobal.com/news/chinas-nev-industry-ranks-first-globally-by-production-sales-for-10th-straight-year (accessed on 10 May 2025).
  2. CR’s Real-World EV Range Tests Show Which Models Beat EPA Estimates—Consumer Reports. 15 December 2023. Available online: https://www.consumerreports.org/cars/hybrids-evs/real-world-ev-range-tests-models-that-beat-epa-estimates-a1103288135/ (accessed on 10 May 2025).
  3. People’s Daily Online. “3·15” Investigation: Why Is the Driving Range of New Energy Vehicles Often Inaccurate? 15 March 2024. Available online: https://xinwen.bjd.com.cn/content/s67d54e06e4b08edd28f644c5.html (accessed on 26 April 2025).
  4. China Quality News. China Consumers Association Releases Special Report on Vehicle Complaints. 11 May 2023. Available online: https://m.cqn.com.cn/pp/content/2023-05/11/content_8937814.htm (accessed on 26 April 2025).
  5. Wu, D.; Qiu, Y.; Xue, M. Decision Optimization of New Energy Vehicle Supply Chain Considering Information Sharing for Perceived Quality under Dual Credit Policy. J. Ind. Manag. Optim. 2025, 21, 4536–4559. [Google Scholar] [CrossRef]
  6. Li, J.; Liu, F.; Zhang, J.Z.; Li, L.; Ferreira, J. Forward–Reverse Blockchain Traceability: Promoting Electric Vehicles with Battery Recycling in the Presence of Subsidy. Ann. Oper. Res. 2024. [Google Scholar] [CrossRef]
  7. Fan, J.; Teng, H.; Wang, Y. Research on Recycling Strategies for New Energy Vehicle Waste Power Batteries Based on Consumer Responsibility Awareness. Sustainability 2022, 14, 10016. [Google Scholar] [CrossRef]
  8. Ma, S.; He, Y.; Gu, R.; Li, S. Sustainable Supply Chain Management Considering Technology Investments and Government Intervention. Transp. Res. Part E Logist. Transp. Rev. 2021, 149, 102290. [Google Scholar] [CrossRef]
  9. Wang, N.; Garg, A.; Su, S.; Mou, J.; Gao, L.; Li, W. Echelon Utilization of Retired Power Lithium-Ion Batteries: Challenges and Prospects. Batteries 2022, 8, 96. [Google Scholar] [CrossRef]
  10. Xing, P.; Wang, M. The Interplay of Recycling Channel Selection and Blockchain Adoption in the New Energy Vehicle Supply Chain Under the Government Reward-Penalty Scheme. J. Clean. Prod. 2025, 487, 144384. [Google Scholar] [CrossRef]
  11. Nie, Y.; Wang, Y.; Li, L.; Liao, H. Literature Review on Power Battery Echelon Reuse and Recycling from a Circular Economy Perspective. Int. J. Environ. Res. Public Health 2023, 20, 4346. [Google Scholar] [CrossRef]
  12. MacCarthy, B.L.; Ivanov, D. The Digital Supply Chain—Emergence, Concepts, Definitions, and Technologies. In The Digital Supply Chain; Elsevier: Amsterdam, The Netherlands, 2022. [Google Scholar]
  13. Xing, P.; Yao, J. Power Battery Echelon Utilization and Recycling Strategy for New Energy Vehicles Based on Blockchain Technology. Sustainability 2022, 14, 11835. [Google Scholar] [CrossRef]
  14. Ma, M.; Li, Y.; Huang, B. New Energy Vehicles’ Technological Innovation Strategy under Dual Credit Policy: The Role of Blockchain Adoption and Demand Information Sharing. IEEE Access 2025, 13, 25256–25281. [Google Scholar] [CrossRef]
  15. Liao, C. An Analysis of Strategies for Adopting Blockchain in Green Supply Chains under Corporate Social Responsibility. Environ. Sci. Pollut. Res. 2023, 30, 81189–81205. [Google Scholar] [CrossRef]
  16. Li, X.; Du, J.; Liu, P.; Wang, C.; Hu, X.; Ghadimi, P. Optimal Choice of Power Battery Joint Recycling Strategy for Electric Vehicle Manufacturers under a Deposit-Refund System. Int. J. Prod. Res. 2023, 61, 7281–7301. [Google Scholar] [CrossRef]
  17. Alamdar, S.F.; Rabbani, M.; Heydari, J. Pricing, Collection, and Effort Decisions with Coordination Contracts in a Fuzzy, Three-Level Closed-Loop Supply Chain. Expert Syst. Appl. 2018, 104, 261–276. [Google Scholar] [CrossRef]
  18. Sun, Q.; Chen, H.; Long, R.; Li, Q.; Huang, H. Comparative Evaluation for Recycling Waste Power Batteries with Different Collection Modes Based on Stackelberg Game. J. Environ. Manag. 2022, 312, 114892. [Google Scholar] [CrossRef] [PubMed]
  19. Zhang, C.; Tian, Y.-X.; Han, M.-H. Recycling Mode Selection and Carbon Emission Reduction Decisions for a Multi-Channel Closed-Loop Supply Chain of Electric Vehicle Power Battery under Cap-and-Trade Policy. J. Cleaner Prod. 2022, 375, 134060. [Google Scholar] [CrossRef]
  20. Zhang, C.; Chen, Y.-X.; Tian, Y.-X. Collection and Recycling Decisions for Electric Vehicle End-of-Life Power Batteries in the Context of Carbon Emissions Reduction. Comput. Ind. Eng. 2023, 175, 108869. [Google Scholar] [CrossRef]
  21. Li, J.; Wang, Z.; Li, H.; Jiao, J. Which Policy Can Effectively Promote the Formal Recycling of Power Batteries in China? Energy 2024, 299, 131445. [Google Scholar] [CrossRef]
  22. Zhang, Q.; Tang, Y.; Bunn, D.; Li, H.; Li, Y. Comparative Evaluation and Policy Analysis for Recycling Retired EV Batteries with Different Collection Modes. Appl. Energy 2021, 303, 117614. [Google Scholar] [CrossRef]
  23. Zhu, X.; Liu, K.; Liu, J.; Yan, A. Is Government R&D Subsidy Good for BEV Supply Chain? The Challenge from Downstream Competition. Comput. Ind. Eng. 2022, 165, 107951. [Google Scholar] [CrossRef]
  24. Rasti-Barzoki, M.; Moon, I. A Game Theoretic Approach for Analyzing Electric and Gasoline-Based Vehicles’ Competition in a Supply Chain under Government Sustainable Strategies: A Case Study of South Korea. Renew. Sustain. Energy Rev. 2021, 146, 111139. [Google Scholar] [CrossRef]
  25. Yu, Y.; Zhou, D.; Zha, D.; Wang, Q. Joint Optimization of Charging Facility Investment and Pricing in Automobile Retail Supply Chain and Coordination. Comput. Ind. Eng. 2021, 156, 107296. [Google Scholar] [CrossRef]
  26. Yi, Y.; Chen, J.; Feng, J. Optimizing Prices in Trade-in Strategies for Vehicle Manufacturers. Comput. Ind. Eng. 2021, 157, 107338. [Google Scholar] [CrossRef]
  27. He, P.; He, Y.; Xu, H. Channel Structure and Pricing in a Dual-Channel Closed-Loop Supply Chain with Government Subsidy. Int. J. Prod. Econ. 2019, 213, 108–123. [Google Scholar] [CrossRef]
  28. Liu, X.; He, Y.; Hooshmand Pakdel, G.; Li, S. Dynamic Optimization of E-Commerce Supply Chains for Fresh Products with Blockchain and Reference Effect. Technol. Forecast. Soc. Change 2025, 214, 124040. [Google Scholar] [CrossRef]
  29. Data Quality Challenges for Sustainable Fashion Supply Chain Operations in Emerging Markets: Roles of Blockchain, Government Sponsors and Environment Taxes. ScienceDirect. Available online: https://www.sciencedirect.com/science/article/abs/pii/S1366554519311494 (accessed on 25 April 2025).
  30. Choi, T.-M.; Feng, L.; Li, R. Information Disclosure Structure in Supply Chains with Rental Service Platforms in the Blockchain Technology Era. Int. J. Prod. Econ. 2020, 221, 107473. [Google Scholar] [CrossRef]
  31. Pun, H.; Swaminathan, J.M.; Hou, P. Blockchain Adoption for Combating Deceptive Counterfeits. Prod. Oper. Manag. 2021, 30, 864–882. [Google Scholar] [CrossRef]
  32. Liu, F.; Li, J.; Zhang, J.Z.; Tong, Z.; Ferreira, J. Optimal Strategy for Secondary Use of Spent Electric Vehicle Batteries: Sell, Lease, or Both. In Annals of Operations Research; Springer: Berlin/Heidelberg, Germany, 2023. [Google Scholar] [CrossRef]
  33. Wu, J.; Zhao, C. Blockchain-Empowered Market Entry Strategy for a Green Product. IEEE Trans. Eng. Manag. 2024, 71, 8886–8900. [Google Scholar] [CrossRef]
  34. Liao, C. Analysis of Government Subsidy Strategies for Blockchain-Enabled Green Supply Chains under Competition. RAIRO Oper. Res. 2024, 58, 4119–4143. [Google Scholar] [CrossRef]
  35. Considering the Traceability Awareness of Consumers: Should the Supply Chain Adopt the Blockchain Technology?|Annals of Operations Research. Available online: https://link.springer.com/article/10.1007/s10479-020-03729-y (accessed on 25 April 2025).
  36. Zhang, T.; Dong, P.; Chen, X.; Gong, Y. The Impacts of Blockchain Adoption on a Dual-Channel Supply Chain with Risk-Averse Members. Omega 2023, 114, 102747. [Google Scholar] [CrossRef]
  37. Naoum-Sawaya, J.; Elhedhli, S.; De Carvalho, P. Strategic Blockchain Adoption to Deter Deceptive Counterfeiters. Eur. J. Oper. Res. 2023, 311, 373–386. [Google Scholar] [CrossRef]
  38. Niu, B.; Dong, J.; Liu, Y. Incentive Alignment for Blockchain Adoption in Medicine Supply Chains. Transp. Res. Part E Logist. Transp. Rev. 2021, 152, 102276. [Google Scholar] [CrossRef]
  39. Li, J.; Yi, L.; Xiao, Y. Research on Information Sharing Mechanism of Emission Reduction in Supply Chain Based on Blockchain Under Information Asymmetry. Chin. J. Manag. Sci. 2021, 29, 131–139. [Google Scholar] [CrossRef]
  40. Ma, Y.; Fang, R. Blockchain-Based Power Battery Traceability System for New Energy Vehicles. In Proceedings of the 2022 3rd International Conference on Computer Vision, Image and Deep Learning & International Conference on Computer Engineering and Applications (CVIDL & ICCEA), Changchun, China, 20–22 May 2022; pp. 248–251. [Google Scholar]
  41. Guo, M.; Huang, W. Consumer Willingness to Recycle the Wasted Batteries of Electric Vehicles in the Era of Circular Economy. Sustainability 2023, 15, 2630. [Google Scholar] [CrossRef]
  42. Xu, J.; Duan, Y. Pricing and Greenness Investment for Green Products with Government Subsidies: When to Apply Blockchain Technology? Electron. Commer. Res. Appl. 2022, 51, 101108. [Google Scholar] [CrossRef]
  43. Arshad, A.; Shahzad, F.; Ur Rehman, I.; Sergi, B.S. A Systematic Literature Review of Blockchain Technology and Environmental Sustainability: Status Quo and Future Research. Int. Rev. Econ. Financ. 2023, 88, 1602–1622. [Google Scholar] [CrossRef]
  44. Liu, S.S.; Hua, G.; Ma, B.J.; Cheng, T.C.E. Competition between Green and Non-Green Products in the Blockchain Era. Int. J. Prod. Econ. 2023, 264, 108970. [Google Scholar] [CrossRef]
  45. Feng, Z.W.; Du, B.S.; Yu, Z.Y.; Mou, S.D. Recycling and Traceability Technology Introducing Strategy of New Energy Vehicles’ Power Battery Driven by Blockchain. Chin. J. Manag. Sci. 2025, 33, 313–324. [Google Scholar] [CrossRef]
  46. Selection of Hybrid Channel Recycling Modes and Carbon Emission Reduction Decisions for the Electric Vehicle Battery Manufacturer. Available online: http://www.zgglkx.com/EN/10.16381/j.cnki.issn1003-207x.2022.2221?refererToken=89118d5b8c5046d5bbd923b7b105490e (accessed on 27 April 2025).
  47. Cai, J.; Cao, Z.; Shang, J. Blockchain Adoption in a Green Supply Chain: Considering Information Asymmetry of Consumers’ Privacy Concern. Int. J. Prod. Econ. 2025, 279, 109459. [Google Scholar] [CrossRef]
  48. Shen, B.; Dong, C.; Minner, S. Combating Copycats in the Supply Chain with Permissioned Blockchain Technology. Prod. Oper. Manag. 2022, 31, 138–154. [Google Scholar] [CrossRef]
  49. Li, G.; Fan, Z.-P.; Zhao, Q.; Sun, M. Blockchain Technology Application in an E-Commerce Supply Chain: Privacy Protection and Sales Mode Selection. IEEE Trans. Eng. Manag. 2024, 71, 8060–8074. [Google Scholar] [CrossRef]
  50. Zhong, Y.; Yang, T.; Yu, H.; Zhong, S.; Xie, W. Impacts of Blockchain Technology with Government Subsidies on a Dual-Channel Supply Chain for Tracing Product Information. Transp. Res. Part E Logist. Transp. Rev. 2023, 171, 103032. [Google Scholar] [CrossRef]
  51. Virmani, N.; Agarwal, V.; Karuppiah, K.; Agarwal, S.; Raut, R.D.; Paul, S.K. Mitigating Barriers to Adopting Electric Vehicles in an Emerging Economy Context. J. Clean. Prod. 2023, 414, 137557. [Google Scholar] [CrossRef]
  52. Nunes, L.J.R. Reverse Logistics as a Catalyst for Decarbonizing Forest Products Supply Chains. Logistics 2025, 9, 17. [Google Scholar] [CrossRef]
  53. Culot, G.; Podrecca, M.; Nassimbeni, G. Artificial Intelligence in Supply Chain Management: A Systematic Literature Review of Empirical Studies and Research Directions. Comput. Ind. 2024, 162, 104132. [Google Scholar] [CrossRef]
  54. Karuppiah, K.; Kandasamy, J.; Rocha-Lona, L.; Sánchez, C.M.; Joshi, R. Key Drivers for the Incorporation of Artificial Intelligence in Humanitarian Supply Chain Management. Int. J. Ind. Eng. Oper. Manag. 2025. ahead-of-print. [Google Scholar] [CrossRef]
Figure 1. The sequence of events.
Figure 1. The sequence of events.
Mathematics 13 01804 g001
Figure 2. The impact of consumer preference for green recycling on the optimal green recycling effort level.
Figure 2. The impact of consumer preference for green recycling on the optimal green recycling effort level.
Mathematics 13 01804 g002
Figure 3. The impact of consumer preference for green recycling on the optimal price of new energy vehicles.
Figure 3. The impact of consumer preference for green recycling on the optimal price of new energy vehicles.
Mathematics 13 01804 g003
Figure 4. The impact of the unit cost of blockchain usage on the optimal profit in the three scenarios.
Figure 4. The impact of the unit cost of blockchain usage on the optimal profit in the three scenarios.
Mathematics 13 01804 g004
Figure 5. The impact of the unit cost of blockchain usage on the manufacturer’s profits.
Figure 5. The impact of the unit cost of blockchain usage on the manufacturer’s profits.
Mathematics 13 01804 g005
Figure 6. The impact of the unit cost of blockchain usage on the green recycling effort level.
Figure 6. The impact of the unit cost of blockchain usage on the green recycling effort level.
Mathematics 13 01804 g006
Figure 7. The impact of the unit cost of blockchain usage on the price of new energy vehicles.
Figure 7. The impact of the unit cost of blockchain usage on the price of new energy vehicles.
Mathematics 13 01804 g007
Figure 8. The impact of the privacy leakage cost on profits in scenario DB.
Figure 8. The impact of the privacy leakage cost on profits in scenario DB.
Mathematics 13 01804 g008
Table 1. Comparison of the relevant literature.
Table 1. Comparison of the relevant literature.
Blockchain
Technology
Privacy CostUncertainty About the Product ValueGreen PreferenceRecycling
Li et al., 2024 [6]
Li et al., 2023 [16]
Sun et al., 2022 [18]
Zhang et al., 2022 [19]
Choi, 2020 [30]
Wu et al., 2024 [33]
Ma et al., 2022 [40]
Our paper
Table 2. Parameter descriptions.
Table 2. Parameter descriptions.
ParameterDescription
U i Consumer utility function when in scenario i
Π j i Profit of supply chain member j in scenario i
D i Consumer demand for NEV in scenario i
Q t Quantity of recycled used batteries
C e Infrastructure cost of green recycling for the third-party recycler
v Basic value of the product; v ~ U 0 , 1
c s Unit manufacturing cost of power batteries
c m Unit production cost of NEVs and the cost of components, excluding the battery
ϕ Degree of consumer uncertainty about the product value; ϕ [ 0 , 1 )
k Echelon utilization rate; k 0 , 1 ; when using blockchain, k = 1
λ Proportion of recycled used batteries that can be utilized in cascaded applications
A Unit profit of used batteries eligible for echelon utilization
β Consumer preference for green recycling
p t Unit price at which the third-party recycler purchases used batteries
ω t Repurchase price at which manufacturers buy back used batteries from the third-party recycler
k r Cost coefficient of green recycling level
a Privacy cost incurred by consumers after adopting blockchain
c Unit cost of blockchain usage
F Blockchain infrastructure cost
Superscript i
N B Non-blockchain traceability strategy
F B Forward blockchain traceability strategy
B Forward–reverse blockchain traceability strategy
Subscript j
S Battery supplier
M New energy vehicle manufacturer
T Third-party recycler
Decision variables
P Price of new energy vehicles, P > ω s + c m
ω s Wholesale price of new batteries, ω s > c s
e Green recycling effort level
Disclaimer/Publisher’s Note: The statements, opinions and data contained in all publications are solely those of the individual author(s) and contributor(s) and not of MDPI and/or the editor(s). MDPI and/or the editor(s) disclaim responsibility for any injury to people or property resulting from any ideas, methods, instructions or products referred to in the content.

Share and Cite

MDPI and ACS Style

Sun, Y.; Ying, Y. Forward–Reverse Blockchain Traceability Strategy in the NEV Supply Chain Considering Consumer Green Preferences. Mathematics 2025, 13, 1804. https://doi.org/10.3390/math13111804

AMA Style

Sun Y, Ying Y. Forward–Reverse Blockchain Traceability Strategy in the NEV Supply Chain Considering Consumer Green Preferences. Mathematics. 2025; 13(11):1804. https://doi.org/10.3390/math13111804

Chicago/Turabian Style

Sun, Yuling, and Yuanyuan Ying. 2025. "Forward–Reverse Blockchain Traceability Strategy in the NEV Supply Chain Considering Consumer Green Preferences" Mathematics 13, no. 11: 1804. https://doi.org/10.3390/math13111804

APA Style

Sun, Y., & Ying, Y. (2025). Forward–Reverse Blockchain Traceability Strategy in the NEV Supply Chain Considering Consumer Green Preferences. Mathematics, 13(11), 1804. https://doi.org/10.3390/math13111804

Note that from the first issue of 2016, this journal uses article numbers instead of page numbers. See further details here.

Article Metrics

Back to TopTop