3D Simulation of Debris Flows with the Coupled Eulerian–Lagrangian Method and an Investigation of the Runout
Abstract
1. Introduction
2. Methodology
2.1. Coupled Eulerian–Lagrangian (CEL) Method
2.1.1. Governing Equations
2.1.2. Operator Splitting
2.1.3. Lagrangian and Eulerian Steps Based on Explicit Integration Scheme
2.1.4. General Contact Based on the Penalty Method
2.2. Mohr–Coulomb Model
3. Collapse of Sand Columns: Two Different Mechanisms
4. Collapse of Tall Columns
4.1. Features of Flow
4.2. Deposition Profile and Run-Out
4.3. Collapse of Tall Columns on Inclined Planes
4.4. Axisymmetric Collapse of Tall Cylinders
5. Shallow Columns and Cut Slopes
5.1. Landslides with Different Slope Angles and Friction Angles
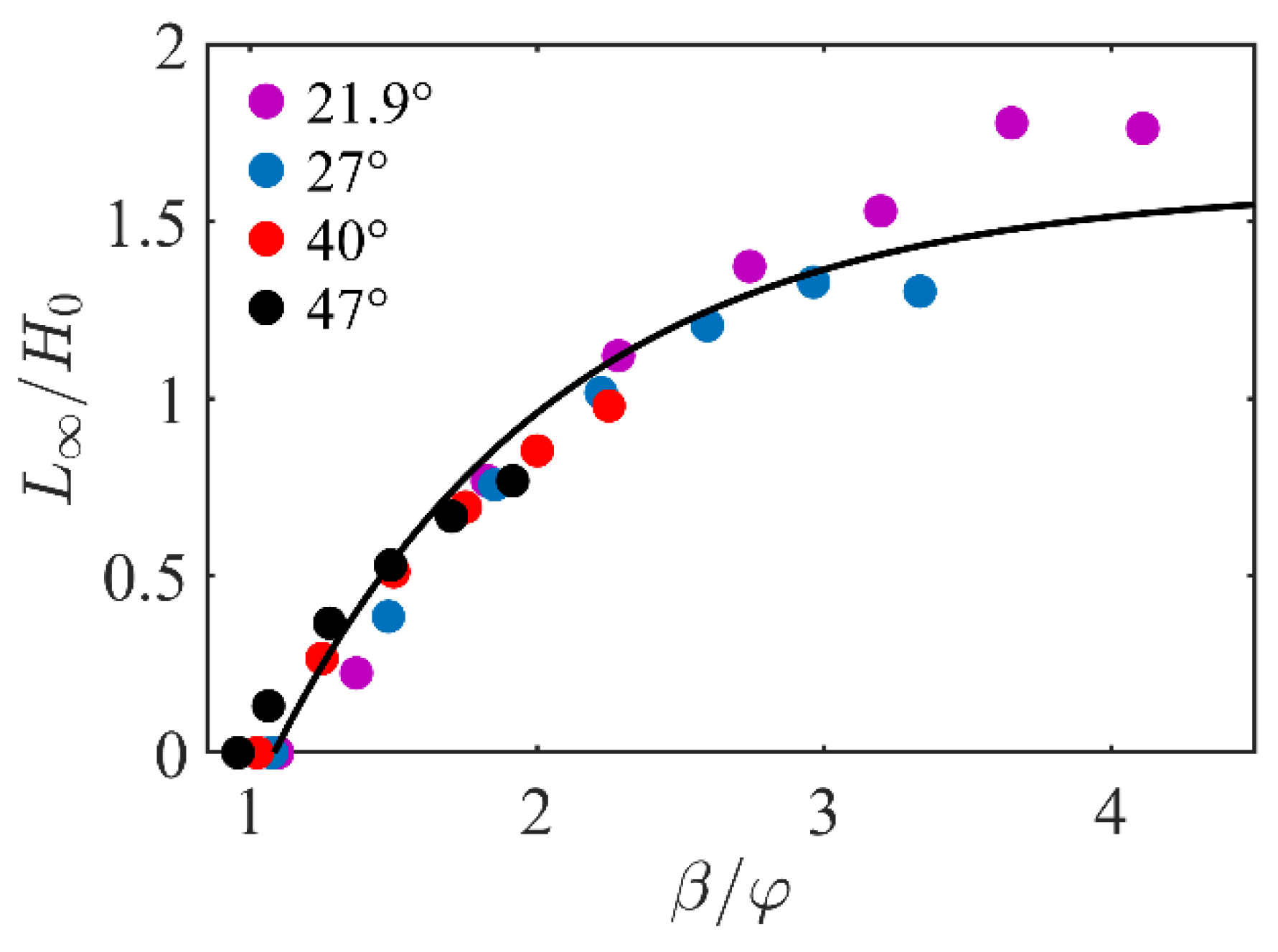
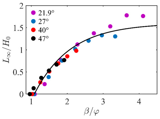
5.2. Axisymmetric Collapse of Roundtables with Different Slope Angles and Friction Angles
6. Conclusions
Author Contributions
Funding
Data Availability Statement
Conflicts of Interest
References
- Zhao, B.; Su, L.; Wang, Y.; Ji, F.; Li, W.; Tang, C. Insights into the Mobility Characteristics of Seismic Earthflows Related to the Palu and Eastern Iburi Earthquakes. Geomorphology 2021, 391, 107886. [Google Scholar] [CrossRef]
- Guo, X.; Cheng, Q.; Zhang, L.; Zhou, H.; Xing, X.; Li, W.; Wang, Z. Large-Scale in Situ Tests for Shear Strength and Creep Behavior of Moraine Soil at the Dadu River Bridge in Luding, China. Int. J. Geomech. 2022, 22, 04022053. [Google Scholar] [CrossRef]
- Fan, X.; Xu, Q.; Scaringi, G.; Dai, L.; Li, W.; Dong, X.; Zhu, X.; Pei, X.; Dai, K.; Havenith, H.-B. Failure Mechanism and Kinematics of the Deadly June 24th 2017 Xinmo Landslide, Maoxian, Sichuan, China. Landslides 2017, 14, 2129–2146. [Google Scholar] [CrossRef]
- Intrieri, E.; Raspini, F.; Fumagalli, A.; Lu, P.; Del Conte, S.; Farina, P.; Allievi, J.; Ferretti, A.; Casagli, N. The Maoxian Landslide as Seen from Space: Detecting Precursors of Failure with Sentinel-1 Data. Landslides 2018, 15, 123–133. [Google Scholar] [CrossRef]
- Fan, X.; Xu, Q.; Scaringi, G. Brief Communication: Post-Seismic Landslides, the Tough Lesson of a Catastrophe. Nat. Hazards Earth Syst. Sci. 2018, 18, 397–403. [Google Scholar] [CrossRef]
- Dai, K.; Xu, Q.; Li, Z.; Tomás, R.; Fan, X.; Dong, X.; Li, W.; Zhou, Z.; Gou, J.; Ran, P. Post-Disaster Assessment of 2017 Catastrophic Xinmo Landslide (China) by Spaceborne SAR Interferometry. Landslides 2019, 16, 1189–1199. [Google Scholar] [CrossRef]
- Scaringi, G.; Fan, X.; Xu, Q.; Liu, C.; Ouyang, C.; Domènech, G.; Yang, F.; Dai, L. Some Considerations on the Use of Numerical Methods to Simulate Past Landslides and Possible New Failures: The Case of the Recent Xinmo Landslide (Sichuan, China). Landslides 2018, 15, 1359–1375. [Google Scholar] [CrossRef]
- Lube, G.; Huppert, H.E.; Sparks, R.S.J.; Hallworth, M.A. Axisymmetric Collapses of Granular Columns. J. Fluid Mech. 2004, 508, 175–199. [Google Scholar] [CrossRef]
- Lajeunesse, E.; Monnier, J.B.; Homsy, G.M. Granular Slumping on a Horizontal Surface. Phys. Fluids 2005, 17, 103302. [Google Scholar] [CrossRef]
- Lube, G.; Huppert, H.E.; Sparks, R.S.J.; Freundt, A. Granular Column Collapses down Rough, Inclined Channels. J. Fluid Mech. 2011, 675, 347–368. [Google Scholar] [CrossRef]
- Midi, G.D.R. On Dense Granular Flows. Eur. Phys. J. E 2004, 14, 341–365. [Google Scholar] [CrossRef]
- Nguyen, C.T.; Nguyen, C.T.; Bui, H.H.; Nguyen, G.D.; Fukagawa, R. A New SPH-Based Approach to Simulation of Granular Flows Using Viscous Damping and Stress Regularisation. Landslides 2017, 14, 69–81. [Google Scholar] [CrossRef]
- Staron, L.; Hinch, E.J. Study of the Collapse of Granular Columns Using Two-Dimensional Discrete-Grain Simulation. J. Fluid Mech. 2005, 545, 1–27. [Google Scholar] [CrossRef]
- Utili, S.; Zhao, T.; Houlsby, G.T. 3D DEM Investigation of Granular Column Collapse: Evaluation of Debris Motion and Its Destructive Power. Eng. Geol. 2015, 186, 3–16. [Google Scholar] [CrossRef]
- Lube, G.; Huppert, H.E.; Sparks, R.S.J.; Freundt, A. Collapses of Two-Dimensional Granular Columns. Phys. Rev. E Stat. Nonlin. Soft Matter Phys. 2005, 72, 041301. [Google Scholar] [CrossRef]
- Balmforth, N.J.; Kerswell, R.R. Granular Collapse in Two Dimensions. J. Fluid Mech. 2005, 538, 399–428. [Google Scholar] [CrossRef]
- Cundall, P.A.; Strack, O.D. A Discrete Numerical Model for Granular Assemblies. Geotechnique 1979, 29, 47–65. [Google Scholar] [CrossRef]
- Li, X.; Chu, X.; Feng, Y.T. A Discrete Particle Model and Numerical Modeling of the Failure Modes of Granular Materials. Eng. Comput. 2005, 22, 894–920. [Google Scholar] [CrossRef]
- He, X.; Liang, D.; Bolton, M.D. Run-out of Cut-Slope Landslides: Mesh-Free Simulations. Geotechnique 2018, 68, 50–63. [Google Scholar] [CrossRef]
- Bui, H.H.; Fukagawa, R.; Sako, K.; Ohno, S. Lagrangian Meshfree Particles Method (SPH) for Large Deformation and Failure Flows of Geomaterial Using Elastic-Plastic Soil Constitutive Model. Int. J. Numer. Anal. Methods Geomech. 2008, 32, 1537–1570. [Google Scholar] [CrossRef]
- Chen, D.; Huang, W.; Lyamin, A. Finite Particle Method for Static Deformation Problems Solved Using JFNK Method. Comput. Geotech. 2020, 122, 103502. [Google Scholar] [CrossRef]
- Dey, R.; Hawlader, B.; Phillips, R.; Soga, K. Large Deformation Finite-Element Modelling of Progressive Failure Leading to Spread in Sensitive Clay Slopes. Géotechnique 2015, 65, 657–668. [Google Scholar] [CrossRef]
- Xu, H.; He, X.; Sheng, D. Rainfall-Induced Landslides from Initialization to Post-Failure Flows: Stochastic Analysis with Machine Learning. Mathematics 2022, 10, 4426. [Google Scholar] [CrossRef]
- Jeong, S.-S.; Lee, K.-W.; Ko, J.-Y. A Study on the 3D Analysis of Debris Flow Based on Large Deformation Technique (Coupled Eulerian-Lagrangian). J. Korean Geotech. Soc. 2015, 31, 45–57. [Google Scholar] [CrossRef]
- Chen, X.; Zhang, L.; Chen, L.; Li, X.; Liu, D. Slope Stability Analysis Based on the Coupled Eulerian-Lagrangian Finite Element Method. Bull. Eng. Geol. Environ. 2019, 78, 4451–4463. [Google Scholar] [CrossRef]
- Lin, C.-H.; Hung, C.; Hsu, T.-Y. Investigations of Granular Material Behaviors Using Coupled Eulerian-Lagrangian Technique: From Granular Collapse to Fluid-Structure Interaction. Comput. Geotech. 2020, 121, 103485. [Google Scholar] [CrossRef]
- Noh, W.F. CEL: A Time-Dependent, Two-Space-Dimensional, Coupled Euler-Lagrange Code; Lawrence Radiation Laboratory, University of California: Livermore, CA, USA, 1963. [Google Scholar]
- Fedkiw, R.P. Coupling an Eularian Fluid Calculation to a Lagrangian Solid Calculation with the Ghost Fluid Method. J. Comput. Phys. 2002, 175, 200–224. [Google Scholar] [CrossRef]
- Arienti, M.; Hung, P.; Morano, E.; Shepherd, J.E. A Level Set Approach to Eulerian-Lagrangian Coupling. J. Comput. Phys. 2003, 185, 213–251. [Google Scholar] [CrossRef]
- Benson, D.J. Computational Methods in Lagrangian and Eulerian Hydrocodes. Comput. Methods Appl. Mech. Eng. 1992, 99, 235–394. [Google Scholar] [CrossRef]
- Benson, D.J.; Okazawa, S. Contact in a Multi-Material Eulerian Finite Element Formulation. Comput. Methods Appl. Mech. Eng. 2004, 193, 4277–4298. [Google Scholar] [CrossRef]
- Menetrey, P.; Willam, K.J. Triaxial Failure Criterion for Concrete and Its Generalization. Struct. J. 1995, 92, 311–318. [Google Scholar]
- Dassault Systemes. Dassault Systemes ABAQUS 6.14 Documentation; Dassault Systemes Simulia Corporation: Providence, RI, USA, 2014; Volume 651. [Google Scholar]
- Lacaze, L.; Phillips, J.C.; Kerswell, R.R. Planar Collapse of a Granular Column: Experiments and Discrete Element Simulations. Phys. Fluids 2008, 20, 063302. [Google Scholar] [CrossRef]




























| in the Simulations (°) | (°) | AOR in the Experiments (°) |
|---|---|---|
| 21.9 | 20.4 | —— |
| 27.0 | 24.4 | 24.5 2.0 |
| 36.5 | 30.7 | 30.5 |
| 40.0 | 32.7 | 33.0 1.0 |
| 47.0 | 36.2 | 36.5 4.5 |
| (°) | (°) | ||
|---|---|---|---|
| 27 | 0 | 6.39 | 3.50 |
| 40 | 3.84 | 1.59 | |
| 47 | 3.36 | 1.43 | |
| 40 | 4.2 | 4.71 | 3.61 |
| 10 | 6.19 | 5.25 | |
| 15 | 8.14 | 7.87 |
Disclaimer/Publisher’s Note: The statements, opinions and data contained in all publications are solely those of the individual author(s) and contributor(s) and not of MDPI and/or the editor(s). MDPI and/or the editor(s) disclaim responsibility for any injury to people or property resulting from any ideas, methods, instructions or products referred to in the content. |
© 2023 by the authors. Licensee MDPI, Basel, Switzerland. This article is an open access article distributed under the terms and conditions of the Creative Commons Attribution (CC BY) license (https://creativecommons.org/licenses/by/4.0/).
Share and Cite
Xu, H.; He, X.; Shan, F.; Niu, G.; Sheng, D. 3D Simulation of Debris Flows with the Coupled Eulerian–Lagrangian Method and an Investigation of the Runout. Mathematics 2023, 11, 3493. https://doi.org/10.3390/math11163493
Xu H, He X, Shan F, Niu G, Sheng D. 3D Simulation of Debris Flows with the Coupled Eulerian–Lagrangian Method and an Investigation of the Runout. Mathematics. 2023; 11(16):3493. https://doi.org/10.3390/math11163493
Chicago/Turabian StyleXu, Haoding, Xuzhen He, Feng Shan, Gang Niu, and Daichao Sheng. 2023. "3D Simulation of Debris Flows with the Coupled Eulerian–Lagrangian Method and an Investigation of the Runout" Mathematics 11, no. 16: 3493. https://doi.org/10.3390/math11163493
APA StyleXu, H., He, X., Shan, F., Niu, G., & Sheng, D. (2023). 3D Simulation of Debris Flows with the Coupled Eulerian–Lagrangian Method and an Investigation of the Runout. Mathematics, 11(16), 3493. https://doi.org/10.3390/math11163493

