Abstract
Social networks have received considerable attention from the modal logic community. In this article, we study and characterize one of the most important principles in the field of social networks. Homophily, which means similarity breeds association, reveals the nature of social organization. In order to be able to express similarity and association together, we generalize the basic network and then define the heterogeneous network. The heterogeneous network is also defined to provide a good foundation for the use of logical approaches. The Logic of Homophily that we propose in this article is based on Computation Tree Logic and Formal Concept Analysis. describes the homophily dynamics of the heterogeneous networks at a specified similarity coefficient. Furthermore, we not only axiomatize the and prove that the axiom system is sound and complete, but we also prove that the model checking and the validity checking for are both PSPACE-complete.
Keywords:
homophily; computation tree logic; implication between attributes; axiom system; model checking; validity checking MSC:
03B44
1. Introduction
With the rapid development in recent years, social network analysis (SNA) has been considered as an effective tool for solving various problems in sociology, economics, and management. As a model that can intuitively represent knowledge, beliefs, and social problems, social networks also received a lot of attention from modal logicians (e.g., [1,2,3,4,5,6,7]). In this article, we will characterize one of the most influential principles of social networks, homophily, from the perspective of logic.
Homophily describes the basic social organization rule that similarity breeds association [8]. In other words, those who have more of the same attributes will be more likely to tend to associate with each other. For example, people that have the same interests, have the same academic background, and have the same hometown are more likely to become friends.
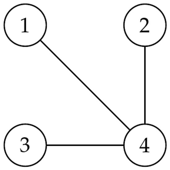
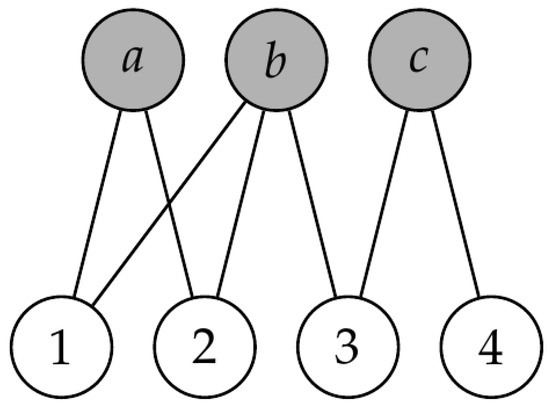
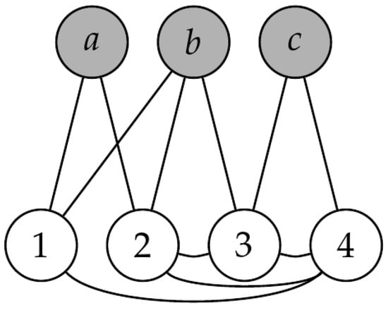
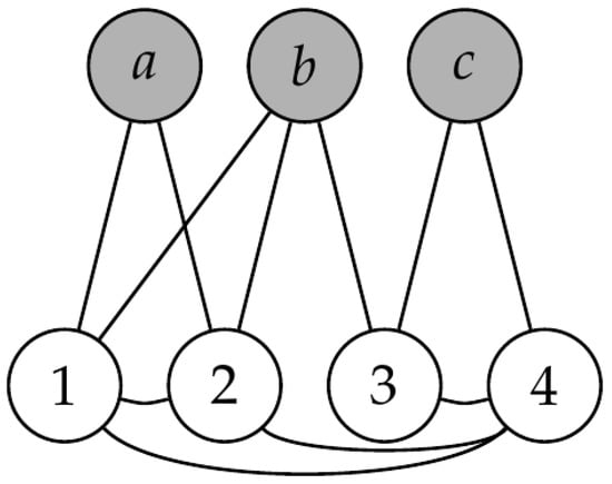
In short, a general network is a structure composed of an object set and a relation between objects, which is usually depicted by a graph, in which objects and relationships are represented by nodes and edges. For example, in Figure 1, objects 1, 3 and 4 are, respectively, associated with 2. Similarly, the affiliation network is a structure composed of an object set, an attribute set and a relation between object and attribute. For example, in Figure 2 (for all figures in this article, unshaded circles represent objects, shaded circles represent attributes, straight lines represent relationships between objects and attributes, and curved lines represent relationships between objects), the object 1 has the attribute a and b, both the object 3 and 4 have the attribute c. However, neither of the two most common types of networks can be directly used to represent homophily since they can only represent association and similarity, respectively. In order to study homophily on the basis of networks, sociologists often use additional data tables and some statistical methods, which are not suitable for logic. Therefore, we will use the heterogeneous network (HetNet for short, e.g., Figure 3), which is a direct combination of general network and affiliation network and can represent both association and similarity.
Figure 1.
General Network.
Figure 2.
Affiliation Network.
Figure 3.
Heterogeneous Network.
In this article, the logic of homophily will be based on the HetNets to study and describe the dynamics of networks under the principle of homophily. In a HetNet, if a pair of objects has a certain number of the same attributes, it is considered that the two are similar in a certain degree, and thus they will be associated with each other. If in the HetNet, all similar objects have already been associated with each other, it is considered that the network is homogenized.
The most related work to this article is logic of allies and enemies (LAE) [5,6,7,9]. LAE is based on computation tree logic (CTL), and mainly characterizes another important structural theory in social networks—structure balance theory. Similarly, the logic of homophily in this paper will be also based on CTL to characterize the dynamics of the HetNet under homophily. In addition, logic of homophily will introduce the methods in formal concept analysis (FCA) to represent and extract the implicit information of the HetNet.
Previous logic study on social network structure is only about the structure balance theory and stays on the general object networks. In this article, we generalize the logic study of the structure of social networks to HetNets and the principle of homophily. We first combine general object networks with affiliation networks to propose HetNets that can be used to characterize the principle of homophily; secondly, we define similarity and homophily in HetNets and construct the homophily-evolution models; thirdly, we establish the logic of homophily, which is based not only on CTL but also on FCA, and is, therefore, more expressive, to describe and analyze the HetNet and its homophily dynamic; fourthly, we axiomatize the logic and prove that its axiom system is sound and complete; finally, we propose the model checking and validity checking problem and prove that they are both PSPACE-complete by improving the algorithms.
The structure of this article is as follows: In Section 2, we first introduce the definition of HetNet and define the similarity and homophily on it, and then establish the homophily-evolution model to describe the dynamics. In Section 3, we first introduce the implication between attributes on HetNet, then define the language and semantics of logic of homophily , and give some valid formulas. In Section 4, we first introduce the description formula of the HetNet, and then define and explain the axiom system , and finally prove the soundness and the completeness of . In Section 5, we express what the model checking for is and then prove it is PSPACE-complete. In Section 6, we express what the validity checking for is and then prove it is PSPACE-complete. In Section 7, we summarize our work in this article and illustrate the directions for future work.
2. HetNets and Homophily
Definition 1.
HetNet is a quadruple , where G and M are non-empty finite sets, , , and R is reflexive and symmetric.
In the above definition, requiring the relation R to be reflexive is to reflect that “the object is always associated with itself”. In order to avoid ambiguity, we specifically require that . Then, in order to simplify the problem, we will only consider the case that object relations always appear in pairs, that is, R is required to be symmetric. G and M denote the object set and attribute set, respectively, I and R denote the relationship between objects and attributes and the relationship between objects, respectively.
As mentioned in Section 1, the HetNet given in the Definition 1 is one of the simplest and most intuitive heterogeneous networks and is a direct composition of a general network and an affiliation network. In other words, any HetNet can be regarded as composed of the affiliation network and the general network . For example, the network in Figure 3 is combined by the network in Figure 1 and the network in Figure 2.
2.1. Similarity and Homophily
Consider sets X, Y. and , respectively, denote the following operators :
For the sets X, Y, if the relation E is fixed, this pair of operators can be regarded as a pair of concept-forming operators in FCA.
FCA, first proposed by Rudolf Wille in [10], is a formal tool that has a solid theoretical foundation and is widely used in various areas, e.g., knowledge representation, information management, and data mining. Not only is the the basic structure in FCA, called formal context, isomorphic to the affiliation network, but the methods of FCA can also be used to represent and extract implicit information in networks [11,12]. Although our work is heavily inspired by FCA, in this article, we will only introduce FCA where necessary since this work has not yet covered the FCA methods in depth (See [13] for more details about FCA).
Definition 2.
Consider and , the similarity of the object set O is defined as . Let be a similarity coefficient. If , the objects in set O are considered to be n-similar.
Intuitively, represents the common attributes in M of objects in O, and the more they have the same attributes, the more similar they are and the higher the similarity coefficient the set has. For example, in Figure 3, , . Therefore, objects 1 and 2 are 2-similar and also 1-similar, but objects 3 and 4 are only 1-similar. In other words, objects 1 and 2 are more similar than 3 and 4. Since , the empty set always has similarities and has the largest similarity, For any , , so if one object has attributes, it is always the most similar to itself.
From the perspective of FCA, is one of concept-forming operators of formal context that is isomorphic to the component affiliation network of HetNet , and any set of objects with similarity is a subset of the extension of one certain maximal non-empty formal concept in K. Therefore, as long as all the maximal non-empty formal concepts are obtained, all object sets with similarity in a HetNet can be also obtained. Existing polynomial-delay algorithms for computing formal concepts can do this efficiently (see [14] for details).
Definition 3.
Consider , and a similarity coefficient . If the object set O is n-similar and , the set O is homogenized at n. If all n-similar object sets in N are homogenized, then the HetNet N is called homogenized at the given similarity coefficient n. Otherwise, it is called not homogenized at n.
In the above definition, can be understood as one of the concept-forming operators of formal context that is isomorphic to the component general network of HetNet , and represents the objects that are associated with all objects in O. Similarly, the empty set is always homogenized since . And because R is reflexive, any single-point set with similarity is always homogenized. In particular, if a HetNet does not have any n-similar set, then it is vacuously homogenized at n. Take Figure 3 as an example. Since and , is homogenized at 2 but is not even homogenized at 1.
The principle of homophily describes the process of individual aggregation and organization caused by similarity. In other words, homophily shows that the network has a tendency to be homogenized.
2.2. Homophily-Evolution Models
Definition 4.
Consider HetNet and a similarity coefficient . HetNet , where , is called then-immediate successor of N (denoted ) if and only if satisfies the following conditions:
- (1)
- If N is homogenized, then ;
- (2)
- If N is not homogenized, there is only one n-similar object set , where are different objects, satisfying that the object set is not homogenized on N, but homogenized on , i.e., , , , and .
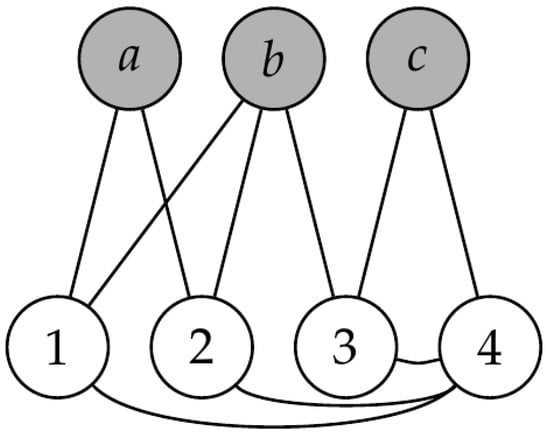
The Definition 4 means that each update of the non-homogenized HetNet can and can only make a pair of objects with n-similarity associated. Although it is more intuitive to associate objects with higher similarity first, the updates are “equal” to each pair of objects that will be homogenized since we do not intend to discuss this issue in depth in this article. Take Figure 3 as an example. The HetNet in Figure 3, Figure 4 and Figure 5 are its 1-immediate successor, 2-immediate successor and 3-immediate successor, respectively. The update made in Figure 4 is to associate object 2 with 3 since they have one common attribute b. The update made in Figure 5 is to associate object 1 with 2 since they have two common attributes a and b. In other words, the HetNet in Figure 5 is also a 1-immediate successor. Because there are no 3-similar sets in Figure 3’s HetNet, it is homogenized at 3 and thus its only 3-immediate successor is itself.
Figure 4.
1-immediate Successor.
Figure 5.
2-immediate Successor.
Definition 5.
Consider HetNet and . If there is a sequence (m is a positive integer) such that , and either , or for any , is not homogenized, then if and only if is homogenized, we call this sequence the n-homophily-evolution line of N (n-timeline for short, denoted ) and call the n-successor of N. The n-homophily-evolution tree of N (n-timetree, for short) is a tuple, where , .
By the immediate successor relation given in Definition 4, a HetNet will gradually form an n-timetree, which is non-transitive, antisymmetric, and has self-loops only at the terminal nodes. Since the network will eventually reach homogenized, the depth of this timetree is finite. Let and be the length of n-timeline and the depth of n-timetree, respectively. is the number of HetNets in an n-timeline and is the length of the longest n-timeline in it.
Proposition 1.
The depth of n-timetree is limited by .
- For a HetNet , only when any two of the objects are not associated but are all n-similar, the number of updates of N can reach the maximum.
3. Logic of Homophily
In this section, we will introduce the implication between attributes (IbA) and generalize it on HetNet, and then establish the Logic of Homophily .
3.1. Implication between Attributes and Index
IbA, or the IbA system is an important method in FCA, which is used to represent and extract information from formal contexts. As the “language” of formal contexts, the IbA system describes and characterizes a formal context by expressing the “implicative relationship” between attributes. In other words, “the attribute set A “implicates” the attribute set B” actually means” any object that has all the attributes in A also has all the attributes in B”. Consider an affiliation network or a formal context and attribute sets . An IbA of the formal context is denoted by . is valid on the formal context if and only if .
Since the HetNet and the homophily principle involve not only the relationship between objects and attributes, but also the association between objects, IbA in FCA cannot be directly used to describe the HetNet and its homophily. However, because the formal context is isomorphic to the affiliation network, and the general network can also be expressed in the form of the affiliation network , i.e., the HetNet can also be similarly expressed, the IbA method can be naturally generalized to the HetNets.
Consider a HetNet . Let be its index set, be its index expansion relation.
Definition 6.
An IbA on HetNet is a tuple (denoted as ), where . IbA is valid on a HetNet N if and only if .
In definition 6, is shorthand for and This type of abbreviation in the following also means the same. In addition, for the convenience of writing and avoiding ambiguity, brackets around sets in IbA are usually omitted and the string will be arranged in the order of numbers, indexes, and letters, and the numbers and letters will be arranged in the order of natural numbers and alphabets, respectively. For example, we write as an IbA instead of .
The generalization made by Definition 6 is essentially to use the symbols in the object set and index set to represent the attributes of being associated with the “object represented by this symbol” and attributes of only being associated with the “object represented by this symbol”, respectively. For example, IbA means “the objects associated with object 1 all have the attribute a”, and “1” in this IbA means the attribute “has a relationship with the object 1”, instead of “the object 1”. means “the object only associated with 1 has the attribute b”, and since all objects in the HetNet are associated with themselves, actually means “object 1 has attribute b”.
3.2. Syntax and Semantics
The language of logic of homophily is built on the given object set G and attribute set M (where, G and M is finite, non-empty and satisfies ). The formula of is defined as follows (where ):
The formula represents the IbA , represents the HetNet is homogenized, and the propositional connectives and temporal operators are consistent with the conventional definitions (more information about CTL temporal operators, please refer to [15,16]). Other propositional connectives and temporal operators are also defined as usual. For example, , , . In addition, also for the convenience of writing, in the following, the expression of “atomic formula” is consistent with the specification of IbA in the Section 3.1.
Consider . The formula is satisfied on a HetNet and at a similarity coefficient n (denoted as ) defined as follows (where , , ):
| ⟺ | IbA is valid on N. | |
| always. | ||
| ⟺ | . | |
| ⟺ | . | |
| ⟺ | or . | |
| ⟺ | , if , then . | |
| ⟺ | There is a timeline with , | |
| , , for any . | ||
| ⟺ | For any timeline with , | |
| , , for any . |
Take Figure 3 as an example to briefly explain the semantics. Let N denote the network in it. First, , , represent “all objects associated with object 2 that have attribute a have attribute b”, “object 4 does not have attribute b”, and “there is an object that has attribute c and does not have attribute b”. Then, and represent, respectively, “there is a 1-immediate successor of N such that object 1 is associated with object 2” and “the HetNet N is not homogenized at 1”. Next, means “On any timeline starting from N with the similarity coefficient 1 until the network homogenized, there is always that ‘object 1 has no association with 3 or object 1 is no associated with 2’”. Finally, and shows that “there is not a 2-immediate successor of N such that object 1 is associated with object 2” and “the HetNet N is homogenized at 3”.
Given a formula and a similarity coefficient n. is called satisfied if and only if there is an s.t. . is called valid (denoted ) if and only if for any , . Consider a formula set and a HetNet N. if and only if for any , . In addition, is called a semantic consequence of (denoted ) if and only if for any HetNet N, if , then .
The Proposition 2 gives some basic valid formulas of .
Proposition 2.
For , the following formulas are valid (where , , , ):
- (1)
- ;
- (2)
- ;
- (3)
- ;
The three valid formulas in the Proposition 2 state the following: (1) The HetNet will eventually be homogenized; (2) The update will not change the existing relationship; (3) The update will not generate new relationships between objects and attributes.
4. Axiom System
The axiomatization of the logic of homophily relies on the description method first introduced by [9]. In short, the description is a formula used to characterize the HetNet. The description formula in this article is based on the regular atomic formula.
Consider . If the atomic formula satisfies , then is called regular. Otherwise, is irregular. For any regular atomic formula , the complement of (denoted as ) is a conjunction defined as follows:
For any , represents the subset of only determined and selected by g. The description, denoted as , is composed of the following series of regular formulas and their complements:
For the conjunction in which each branch is a regular atomic formula, let represent the conjunction of the complement of all branch formulas in . Let be the conjunction of all regular atomic formulas in , and be the conjunction of complements of all its regular atomic formulas, and obviously .
For the HetNet , the description of N, is defined as follows (the order of branches of conjunction is determined and is shorthand for ):
Since in a HetNet, objects are always associated with themselves and the associations between objects are always symmetric, not all description formulas describe a HetNet. In this article, we specifically stipulate the order of branches of conjunction in the description formula, i.e., the atomic formula is always on the left side of its complement, arrange the atomic formulas in the order of natural numbers according to the object indexes in them, and arrange the branches of complements of atomic formulas in the order of natural numbers and alphabetical order according to the symbols on the right of ⇒. Therefore, it is not difficult to prove that if is the description of HetNet N, is the unique description of N. Take Figure 3 as an example. Let N denote the network in it. Its description formula .
Table 1 represents the axiom system of the logic of homophily with the similarity coefficient n. In Table 1, are arbitrary formulas, , , and , , , and , respectively, represent and (O is not empty and ), means , represents the description of a HetNet, and homophily axiom is the following formula (where enumerate the descriptions of all HetNets that are homogenized at n):
| . |
Table 1.
Axiom system .
The axiom system consists of three parts: CTL axioms and rules, axioms about IbAs and axioms and rules about HetNet and update.
CTL axioms and rules are consistent with those in [16].
In the axioms about IbAs, (Ref), (Frag), (Comp), and (Trans) are the axioms of Armstrong’s system (see [17] for more details). , are the negative extensions of the (Frag) and (Comp). (Incl) indicates the feature of the inclusion relationship. (Abs) explain how the attribute set A implicates the attribute set B. means that the set of attributes not owned by any object implicates any set of attributes.
In the axioms and rules about HetNet and updates, indicates that the object is always associated with itself. indicates that the index symbol only indicates the relationship between the object and itself. indicates that the relationship between objects is always symmetric. and are valid formulas introduced in Section 3.2. represents the relationship generation in an update. represents the relationship that will not be generated in an update. represents the immediate successor. and indicate that the immediate successor of a homogenized HetNet is always itself and the immediate successor of a HetNet which is not homogenized cannot be itself. In fact, and can be derived from , , , and . However, for the convenience of the following proofs, these two formulas are still retained as axioms. , and are consistent with the similar axioms and rules in [9].
Consider a formula set and a formula . If can be derived by axioms and rules of , is a theorem of (denoted ). If can be derived from by axioms and rules of , .
4.1. Soundness
We will prove the validity of all other axioms and rules except the CTL axioms and rules and Armstrong’s axioms which have been proven to be valid. Next, a lemma used to assist the following proofs will be first proved.
Lemma 1.
Consider . For any description δ, HetNet N and similarity coefficient n, δ is the description of N iff .
Proof.
By definition, left to right obviously holds. Only from right to left is shown here. Consider the description , the HetNet and the similarity coefficient n. If does not describe N, then there exists such that , i.e., either , or . For the former, according to the definition of , there must exist so that is a branch of . Therefore, . Similarly, for the latter, there must exist such that (otherwise, ). Thus, . □
Here, we only show the axioms and rules that should be proved, and the proof will be given in the Appendix A.
Theorem 1.
For , the following axioms and rules are valid (where are arbitrary formulas, , , , , and (), O is not empty and , δ is a description of HetNet):
- (Frag¬)
- ;
- (Comp¬)
- ;
- (Incl)
- ;
- (Abs)
- ;
- (Loop)
- ;
- (Loop¬)
- ;
- (Symm)
- ;
- (A-gen)
- ;
- (A-gen¬)
- ;
- (E-gen)
- ;
- (E-gen¬)
- From to infer ;
- (Exp)
- From to infer ;
- (HF)
- Homophily axiom;
- (Hom)
- ;
- (Hom¬)
- ;
- (Tm1)
- From to infer ;
- (Tm2)
- From to infer .
Theorem 2 (Soundness).
For any formula set Φ and formula ϕ, if , then .
4.2. Completeness
In this section, we will first prove that the tomorrow formula is the theorem of .
Tomorrow formula, denoted as , is the following formula:
| . |
- is the description of the n-immediate successor of the HetNet described by . can be abbreviated as , ∇ is the so-called cover modality.
Lemma 2.
.
Proof.
Consider a description which describes a HetNet and a similarity coefficient n.
If describes a HetNet that is homogenized at n, according to , . By , , i.e., .
If does not describe a homogenized HetNet, then , i.e., . According to and , , i.e., . And by , . Therefore, . According to , for all formulas in the form of in (where ), . Similarly, according to , for all formulas in the form of (where ) in , if , then . Therefore, there exists such that is the branch of and , then according to , , i.e., . Thus, according to , there exists such that , and since and , there exists such that , obviously is equivalent to the description of one HetNet. Suppose for , there are m pairs of that satisfy the above conditions. Let represent the above equivalent HetNet descriptions, respectively. . According to the definition of n-immediate successor, it is easy to know that are the descriptions of n-immediate successor of the HetNet described by . Finally, since G is finite, it is easy to verify that the above has exhausted all the cases, thus, , i.e., . □
Lemma 3
([9]). Suppose . The following situations hold:
- (1)
- If for all , , then ;
- (2)
- If there exists such that , then .
Proof.
Suppose .
- (1)
- Suppose that for all , . . By , . By , . Since , .
- (2)
- Suppose that there exists s.t. . In other words, there exists s.t. . By , . By , , i.e., . Since , .
□
Lemma 4.
For any description δ and formula ϕ, one and only one of and must hold.
Proof.
According to the definition of description, the description is obviously consistent, so and cannot be held at the same time.
Applying induction on to prove that for any description and formula , either or must hold.
- ϕ =
- A⇒B: (1) For any and an atomic formula in the form of (where , ), either or must hold.Let be an atomic formula in the form of . If is the conjunction branch of , or can be derived from one of the conjunction branches by , then . According to and , . If is not a conjunction of and cannot be obtained by , then there is at least one conjunction branch in that also satisfy this condition. Let be the formula that satisfies the condition. Suppose that is . If there is no other formula that satisfies the condition, according to , . If there are other formulas, it is obviously impossible to be . If is of the form (where and ), then according to , and , . If it is not the above two cases, then according to the definition of , it is easy to know that must be the conjunction branch of . Therefore, , i.e., . In summary, (1) holds.(2) Consider and non-empty sets and .
- (2.1)
- or must hold.
- (2.2)
- or must hold.
- (2.3)
- If , then there exists satisfying such that and .
According to (1), (2.1) and (2.2) obviously hold. Therefore, according to (1), (2.1), (2.2) and the definition of description, it is easy to know that (2.3) holds.(3) Consider a description and . If there exists such that and , then according to , . If for any , or , then according to (1), for any , either , or (3.1). If there is a non-empty set such that , then according to (2.3), there exists satisfying to make and hold. Thus, according to (3.1), . Therefore, according to , . If there is no such non-empty set that , i.e., for any , . According to , .Therefore, when is the atomic formula , the conclusion holds. - ϕ =
- ¬ψ: Suppose . According to the induction hypothesis, , i.e., .
- ϕ =
- ψ∨χ: Suppose . and . According to the induction hypothesis, and , i.e., .
- ϕ =
- AXψ: Suppose . According to Lemma 2 and Lemma 3 (1), there exists such that (where for , are the descriptions of the n-immediate successor of ). According to the induction hypothesis, . Therefore, by Lemma 3 (2), .
- ϕ =
- Hom: Suppose . According to , . According to the induction hypothesis, . Then according to , .
- ϕ =
- E(ψUχ): Suppose . According to , . Assume that and , according to the induction hypothesis, and . Therefore, and according to , . Assume that and . For , let be the descriptions of the n-immediate successor of . According to the Lemma 3 (2), for , . Thus, it is back to the condition at the beginning of the proof. Repeat finitely many times until the description describes the homogenized HetNet, i.e., . Since , . If and , the conclusion also holds. Assume that and . According to the Lemma 3 (2) and , and thus by . Using the Lemma 3 (1) and repeatedly, we can finally obtain .
- ϕ =
- A(ψUχ): The case of is similar to , as long as is used instead of , it can be proved.
□
Lemma 5.
Consider a description δ, a maximal consistent formula set Φ and a formula ϕ. If , then .
Proof.
Suppose and . By the Lemma 3, . And according to the definition of the maximal consistent set, . Therefore, is inconsistent, contradictory, and the assumption does not hold. □
Consider . For any maximal consistent set , the relation in the HetNet of is defined as follows (where , and ):
| ⟺ | , | |
| ⟺ | . |
Lemma 6.
Consider any description δ of the HetNet and a set of maximal consistent Φ, the following propositions are equivalent:
| describes | . |
Proof.
According to the definition, it is easy to know that is equivalent to . Suppose holds. Let represent any conjunction branch of . According to the definition of , for any , . Therefore, by , , i.e., . In the same way, can also be proved. Therefore, . Suppose holds. Consider (where , ). According to the Lemma 5, if , then , and if , then . Therefore, one and only one of and must hold. Thus, by definition, is completely determined by , i.e., describes . □
Lemma 7.
Consider any maximal consistent formula set Φ. .
Proof.
Suppose describes . According to the Lemma 6, and . And according to the Lemma 5, for any , . According to the Theorem 2, for any , . Therefore, for any , , i.e., . □
Theorem 3 (Completeness).
For any formula set Φ and formula ϕ, if , then .
Since the timetrees of the logic of homophily are all finite, i.e., they must be able to be homogenized in the end, the axiom system has strong completeness.
5. Model Checking
In this section, we consider the model checking problem of . Consider , and a similarity coefficient n. For any , the model checking problem is to check whether .
Lemma 8.
The model checking for is PSPACE-hard.
Proof.
First, since the model checking problem (TQBF) and the validity checking problem (QBFSAT) for quantified boolean formulas (QBF) are both PSPACE-complete [18], we use the QBFSAT problem for reduction to prove the model checking problem for is PSPACE-hard.
Let be the QBF, where , is a propositional formula, and the value range of is .
Consider a positive integer n. Let satisfy the following conditions:
- ;
- ;
- ;
- .
In the HetNet N, the object sets that are n-similar but not homogenized must be in the form of or . In other words, an update of the HetNet N can only add at most one association between and or and for a given i. Therefore, the selection of the object sets can be described by the value of . If becomes homogenized in an update, takes 1. And if becomes homogenized, takes 0.
Let , , and . means takes 1, means takes 0, and represents the initial situation, i.e., the situation where the value of is undecided. The inductive definition of is as follows:
- ;
For any , we should only consider the m-step n-successors of the root HetNet and since should be satisfied first in every update, for any , it is impossible for and to be satisfied at the same time in the above m-step n-successors. Therefore, if and only if is satisfied. For the HetNet N defined above, . And the length of is also linear-related to m. The above reduction is thus a linear-time reduction. The model checking problem for is PSPACE-hard. □
Lemma 9.
The model checking problem for is in PSPACE.
Proof.
First, determining whether an atomic formula is satisfied on a HetNet or not requires only a few basic calculations on sets. In addition, the model checking algorithms for basic propositional connectives are polynomial-time. Therefore, what we should consider carefully here are and temporal operators.
Consider a HetNet and a similarity coefficient n. The Algorithm 1 can determine whether or not. Since Algorithm 1 performs at most calculations, it is in PSPACE.
| Algorithm 1: Model Checking Algorithm for |
![]() |
The algorithms for temporal operators are based on the algorithms for CTL given in [19] since the temporal operators in come from CTL. Here, we only give the algorithm of (Algorithm 2) as an example and other cases are shown in Appendix B.
According to Algorithm 2, it is not difficult to find that it is a recursive algorithm. Each run of the algorithm either shortens the input formula or makes input HetNet “jump to” one of its immediate successors. Therefore, since the formula is finite, and the HetNet will finally reach homogenized, the algorithm will eventually halt.
The model checking algorithms for CTL temporal operators are all in PSPACE with respect to the size of the input computation tree and the length of the input formula. However, the size of the computation tree of an input HetNet is at most , i.e., the growth of the size of the computation tree with that of the HetNet can even be greater than exponential. To reduce storage space usage, we use the depth-first algorithm like Algorithm 2, and release the storage space of the non-overlapping part of the old branch before starting to calculate a new branch. In other words, we do not need the storage space that can store the whole time tree, but only the space that can store the longest timeline, i.e., the size of the storage space is linear to the depth of the tree.
| Algorithm 2: Model Checking Algorithm for |
![]() |
Therefore, the model checking for is in PSPACE. □
Theorem 4.
The model checking for is PSPACE-complete.
6. Validity Checking
Consider non-empty finite sets G and M s.t. , and a similarity coefficient n. For any , the validity checking problem is to check whether .
Lemma 10.
The validity checking for is PSPACE-hard.
Proof.
Consider a QBF , where m is any positive integer, , is a propositional formula, and the value range of is , and a positive integer n.
Let , , and . It is obvious that is the description of the HetNet in the Proof of Lemma 8. Here, we take the value of the similarity coefficient as n. Since mn and hence , if , if and only if is satisfied ( is the same as that defined in the Proof of Lemma 8). Therefore, if and only if is satisfied. The validity checking for is PSPACE-hard. □
Lemma 11.
The validity checking for is in PSPACE.
Proof.
When non-empty finite sets G and M and a similarity coefficient n are given, the number of HetNets composed of G and M is determined and apparently finite. Let be the set of all those HetNets. We can check whether by enumeration, i.e., we can use model checking algorithms to check whether for all . Since the model checking algorithm is in PSPACE and the storage only needs to keep one HetNet during each model checking process, the validity checking for is in PSPACE. □
Theorem 5.
The validity checking for is PSPACE-complete.
7. Conclusions
In this article, we explore the homophily dynamics of HetNets at a determined similarity coefficient from the perspective of logic. More precisely, we establish the Logic of Homophily , which describes the homophily dynamics, construct a sound and complete axiom system , and propose the PSPACE-complete model checking and validity checking algorithms for . IbAs in FCA are actually some first-order formulas constrained by universal quantifiers. Index expansion enables these first-order formulas to represent “exists and only exists”, and to represent the edges in a HetNet. The method of description formulas based on index expanded IbAs is the key to proving the completeness of axiom systems and solving the validity checking problem. The axiom system not only provides the axioms and rules that directly describe the update, but can also be able to prove the tomorrow theorems, which can only be axioms in previous work [9]. Finally, the model checking algorithms provide the basis for implementation.
There are two main directions for future work:
- The Logic of Homophily is based on CTL and FCA. However, in this article, we only discussed the temporal logic aspect of , but did not conduct an in-depth study of the aspect of FCA. Therefore, we will explore the properties of from the perspective of IbA systems (e.g., Attribute Exploration) in the following work.
- Cognitive balance theory, as another important dynamic theory in SNA, is not only closely related to the theory of homophily, but we have also conducted some work on this theory (e.g., [9]). Thus, we will consider further exploring the principle of sentiment homophily by introducing cognitive balance theory. In other words, for sentiment homophily, only when two objects like or dislike a certain attribute at the same time, they can be associated with. Since sentiment homophily can better and more accurately describe the formation of object relationships, it is very important and meaningful to generalize the logic of homophily to the logic of sentiment homophily.
Funding
This research received no external funding.
Institutional Review Board Statement
Not applicable.
Informed Consent Statement
Not applicable.
Data Availability Statement
Not applicable.
Acknowledgments
Thanks in advance to the anonymous reviewers for their help with the article.
Conflicts of Interest
The author declare no conflict of interest.
Abbreviations
- The following abbreviations are used in this manuscript:
| SNA | Social network analysis |
| HetNet | Heterogeneous network |
| LAE | Logic of allies and enemies |
| CTL | Computation tree logic |
| FCA | Formal concept analysis |
| IbA | Implication between attributes |
| QBF | Quantified Boolean Formula |
| TQBF | True Quantified Boolean Formula |
| QBFSAT | Satisfiability of Quantified Boolean Formulas |
Appendix A. Proof of Theorem 1
Proof.
Consider a HetNet and a similarity coefficient n.
- (Frag¬)
- Suppose . There is a s.t. and , i.e., and . Therefore, .
- (Comp¬)
- Suppose . There is a s.t. , and i.e., and . Therefore, .
- (Incl)
- Suppose . There is a s.t. , and Therefore, .
- (Abs)
- Suppose . By the definition of , for any , and for any , . Therefore, and , i.e., . Thus, .
- (Loop)
- Since R is reflexive, .
- (Loop¬)
- Consider s.t. . According to , for any , , i.e., . Therefore, . Since , , i.e., .
- (Symm)
- Since R is symmetric, .
- (A-gen)
- Suppose . . There is an n-immediate successor of N, , s.t. . Therefore, . Since , i.e., , . Thus, .
- (A-gen¬)
- Suppose . Since for any n-immediate successor of N, I keeps the same. Therefore, .
- (E-gen)
- Suppose . By the definition of satisfication, is n-similar on N. If , by . If , there is an n-immediate successor of N satisfying , i.e., and .
- (E-gen¬)
- If describes N and , then according to the lemma 1, . Therefore, is not n-similar on N, and , i.e., for any n-immediate successor of N, . Thus, , .
- (Exp)
- If describes N and , then according to the lemma 1, . Thus, is n-similar on N, , and there is an n-immediate successor of N, satisfying that . For this n-immediate successor , obviously . Therefore, , i.e., .
- (HF)
- Since the n-immediate successor of a HetNet that is homogenized at n is itself, the homophily axiom is valid.
- (Hom)
- Suppose . If describes N, N is homogenized at n. By the definition, . Therefore, . Suppose . If describes N, , i.e., . Therefore, .
- (Hom¬)
- Suppose . If describes N, there is a HetNet s.t. and . Therefore, and hence . Suppose . If describes N, , i.e., . There is a HetNet s.t. and . Therefore, and hence .
- (Tm1)
- Suppose and describes N. N is homogenized at n. If , the conclusion holds directly. If not, i.e., , by , , i.e., . According to , . Therefore, .
- (Tm2)
- By and , the conclusion holds directly.
□
Appendix B. Algorithms of Model Checking
In this appendix, we show model checking algorithms for and .
| Algorithm A1: Model Checking Algorithm for |
![]() |
| Algorithm A2: Model Checking Algorithm for |
![]() |
References
- Liu, F.; Seligman, J.; Girard, P. Logical dynamics of belief change in the community. Synthese 2014, 191, 2403–2431. [Google Scholar] [CrossRef]
- Christoff, Z.; Hansen, J.U. A logic for diffusion in social networks. J. Appl. Log. 2015, 13, 48–77. [Google Scholar] [CrossRef]
- van Ditmarsch, H.; van Eijck, J.; Pardo, P.; Ramezanian, R.; Schwarzentruber, F. Epistemic protocols for dynamic gossip. J. Appl. Log. 2017, 20, 1–31. [Google Scholar] [CrossRef][Green Version]
- Baltag, A.; Christoff, Z.; Rendsvig, R.K.; Smets, S. Dynamic epistemic logics of diffusion and prediction in social networks. Stud. Log. 2019, 107, 489–531. [Google Scholar] [CrossRef]
- van der Hoek, W.; Kuijer, L.B.; Wáng, Y.N. A logic of allies and enemies. In Proceedings of the 13th Conference on Logic and the Foundations of Game and Decision Theory (LOFT), Milano, Italy, 16–18 July 2018. [Google Scholar]
- Van Der Hoek, W.; Kuijer, L.B.; Wáng, Y.N. Who Should Be My Friends? In Proceedings of the International Workshop on Logic, Rationality and Interaction, Chongqing, China, 18–21 October 2019; pp. 370–384. [Google Scholar]
- van der Hoek, W.; Kuijer, L.; Wáng, Y. Logics of allies and enemies: A formal approach to the dynamics of social balance theory. In Proceedings of the IJCAI International Joint Conference on Artificial Intelligence, Virtual, 7–15 January 2021; Volume 2021, pp. 210–216. [Google Scholar]
- McPherson, M.; Smith-Lovin, L.; Cook, J.M. Birds of a feather: Homophily in social networks. Annu. Rev. Sociol. 2001, 27, 415–444. [Google Scholar] [CrossRef]
- Yì N Wáng, X.L. Dynamic Social Network Modeling: Axiomatizing and Implementing the Logic of Allies and Enemies. Stud. Log. 2019, 12, 27–42. [Google Scholar]
- Wille, R. Restructuring Lattice Theory: An Approach Based on Hierarchies of Concepts. In Ordered Sets; Springer: Berlin/Heidelberg, Germany, 1982; pp. 445–470. [Google Scholar]
- Valverde-Albacete, F.J.; Peláez-Moreno, C. A Formal Concept Analysis Look at the Analysis of Affiliation Networks. In Formal Concept Analysis of Social Networks; Springer: Berlin/Heidelberg, Germany, 2017; pp. 171–195. [Google Scholar]
- Cordero, P.; Enciso, M.; Mora, A.; Ojeda-Aciego, M.; Rossi, C. Knowledge discovery in social networks by using a logic-based treatment of implications. Knowl.-Based Syst. 2015, 87, 16–25. [Google Scholar] [CrossRef]
- Ganter, B.; Wille, R. Formal Concept Analysis: Mathematical Foundations; Springer: Berlin/Heidelberg, Germany, 1998. [Google Scholar]
- Farach-Colton, M.; Huang, Y. A linear delay algorithm for building concept lattices. In Proceedings of the Annual Symposium on Combinatorial Pattern Matching, Pisa, Italy, 3 June 2008; pp. 204–216. [Google Scholar]
- Emerson, E.A.; Clarke, E.M. Using branching time temporal logic to synthesize synchronization skeletons. Sci. Comput. Program. 1982, 2, 241–266. [Google Scholar] [CrossRef]
- Goldblatt, R. Logics of Time and Computation; Center for the Study of Language and Information: Stanford, CA, USA, 1987. [Google Scholar]
- Armstrong, W.W. Dependency Structures of Data Base Relationships. In Proceedings of the IFIP Congress, Geneva, Switzerland, 25–28 August 1998; Volume 74, pp. 580–583. [Google Scholar]
- Stockmeyer, L.J.; Meyer, A.R. Word problems requiring exponential time (preliminary report). In Proceedings of the Fifth Annual ACM Symposium on Theory of Computing, Austin, TX, USA, 30 April–2 May 1973; pp. 1–9. [Google Scholar]
- Clarke, E.M.; Emerson, E.A. Design and synthesis of synchronization skeletons using branching time temporal logic. In 25 Years of Model Checking: History, Achievements, Perspectives; Springer: Berlin/Heidelberg, Germany, 2008; pp. 196–215. [Google Scholar]
Disclaimer/Publisher’s Note: The statements, opinions and data contained in all publications are solely those of the individual author(s) and contributor(s) and not of MDPI and/or the editor(s). MDPI and/or the editor(s) disclaim responsibility for any injury to people or property resulting from any ideas, methods, instructions or products referred to in the content. |
© 2023 by the author. Licensee MDPI, Basel, Switzerland. This article is an open access article distributed under the terms and conditions of the Creative Commons Attribution (CC BY) license (https://creativecommons.org/licenses/by/4.0/).



