Abstract
This paper aims to explore the impact of the purchase regret of consumers on dynamic closed-loop supply chains (CLSCs) under discrete-time conditions. Durable products are mostly traded under discrete-time conditions, and consumers tend to have different purchase regret psychologies during the trading process of different types of durable products (innovative or remanufactured). In addition, different purchase regret psychologies can affect the dynamic decision-making behaviour of the nodal enterprises in the supply chain, thus affecting the dynamic decision-making optimization sequence of the supply chain and nodal enterprises. Based on the traditional Bass model, this paper introduces the factor of consumer purchase regret psychology into the Bass model and constructs a model of a CLSC led by the manufacturer and followed by the retailer and recycler on the premise of heterogeneous characteristics of new products and remanufactured products. The optimal control theory of discrete systems is used to obtain the optimal decision sequence for each participant in the CLSC, when there is consumer regret psychology in the market. Then, the effects of consumer purchase regret psychology on the members of the CLSC at each stage are analysed. Finally, the conclusions are verified by using a numerical analysis. Compared to previous studies, the results further revealed the following: when the market share of brand new products is below 50%, the wholesale and retail prices are positively related to the regret psychology; while when they are above 50%, the wholesale and retail prices are negatively related to the regret psychology; the product sales and the manufacturers and retailers’ profits are negatively related to the regret psychology; purchase regret psychology does not affect the recyclers’ profits. To mitigate the negative consequences of the purchase regret psychology, manufacturers and merchants should completely grasp the market, enhance product quality, such that the price plan for the product is fairer.
Keywords:
supply chain management; post-purchase regret; difference game; Bass model; closed-loop supply chain; optimal decision-making MSC:
49M25; 49K35; 90B06
1. Introduction
The rapid development of science and technology has offered the market plenty of different functional characteristics of products meeting the diversified needs of people. However, the production process inevitably produces a large number of defective and waste products, resulting in environmental pollution and waste of resources [1]. According to the U.S. Environmental Protection Agency data, the resources obtained through the recycling of electronic scrap can reduce of ore energy by 97%, water consumption by 40%, air pollution by 86%, and water pollution by 76% compared to re-mining smelting. Recycling and remanufacturing used products can not only achieve the reuse of resources but also reduce production costs and help companies to achieve greater profits. Some companies such as Dell, Samsung, and Hewlett-Packard have established reasonable recycling systems, which not only develop a green, low-carbon, and environmentally friendly economic systems but also achieve economic benefits. A closed-loop supply chain can achieve a circular economy through the recycling of waste products [2]. Currently, academic research on the closed-loop supply chains has received much attention, and many scholars provide decision guidance for decision-makers in the supply chains by researching the closed-loop supply chain management. Mehran et al. [3] found that under stochastic demand and returns, manufacturing and remanufacturing costs are decisive for the optimal remanufacturing rate, and that an increase in the remanufacturing rate reduces the cost of installing and ordering products in the system and increases the volume of orders. Zhang et al. [4] designed a multi-product, sustainable, uncertain closed-loop supply chain network and found that an increase in customer demand can have strong economic and environmental impacts.
The research in this paper aims to address the following questions:
- (1)
- When decision-makers price products using discrete decisions that more closely match the reality, will the product price change as the sales process progresses?
- (2)
- As innovative products spread in the market, will changes in the proportion of the consumer market for innovative products have an impact on the pricing of products?
- (3)
- Does the difference in purchase regret psychology between new and remanufactured products affect the decisions and profits of each member of the closed-loop supply chain?
The remainder of this article is organized as follows: in Section 2, a review of the literature is presented. Section 3 presents the underlying theory used in this paper. Section 4 presents the model assumptions. Section 5 describes the model development and solution. Section 6 contains the numerical analysis. Finally, the conclusions are given in Section 7.
2. Literature Review
In this section, there is a literature review on optimal decision-making in closed-loop supply chains, product heterogeneity, the Bass model, and consumer purchase regret psychology, which is the basis of this model.
2.1. Optimal Decision-Making for Closed-Loop Supply Chains
The study of closed-loop supply chains can be divided into static and dynamic situations based on the changes in the decisions of the supply chain members over time. In addition, the decisions of the supply chain members are unchanged over time in a static environment. Xu et al. [5] studied closed-loop supply chains with abatement-dependent demand and found that when members make decisions to maximize their interests, a double profit effect occurs, which affects the operational efficiency of the closed-loop supply chain. Wang et al. [6] developed a two-period production decision model to study the impact of carbon taxes on optimal production decisions for new and remanufactured products. Zhang et al. [7] studied the choice of two third-party remanufacturing models, the outsourcing model, and the licensing model. Sun et al. [8] considered recycling product waste for remanufacturing using three-dimensional printing by building a competitive circular closed-loop supply chain and found that suppliers would avoid using recycled materials to print high-quality products. Kumar et al. [9] studied the problem of closed-loop supply chain management in cooperation with a hybrid production system in a stochastic market demand scenario, comparing the results of various incentive-based policies in both continuous and unspecified distribution. Allah et al. [10] constructed a multi-cycle closed-loop supply chain consisting of four participants and used the supplier’s operational inventory management strategy and consignment-based inventory management strategy to manage the products; they found that the retailer was always able to maximize the profit of a closed-loop supply chain.
Unlike the situation in a static environment, the decisions of the members of the supply chain change over time in a dynamic environment. Giovanni [11] used a goodwill model to study a closed-loop supply chain of single manufacturers and single retailers investing in green advertising and found that participants can limit the utility of green advertising by pursuing reverse revenue-sharing contracts. Later, Giovanni et al. [12] also examined a closed-loop supply chain consisting of a single manufacturer and a single retailer and found that optimal incentive strategies for product recall exist in the closed-loop supply chain when participants both assume that another participant implement the incentive strategy for the product take-back. Yang and Xu [13] established a closed-loop supply chain network consisting of multiple manufacturing and remanufacturing plants and multiple distribution centres in the context of a low-carbon economy and explored the impact of carbon emissions on the optimal decision-making strategies of supply chain participants. Xiang and Xu [14] studied a closed-loop supply chain consisting of a manufacturer, a retailer, and an internet service platform and constructed a dynamic goodwill model for two scenarios: retailer payment and manufacturer sharing. On this basis, Xiang and Xu [15] considered the impact of big data marketing, technological innovation, and overconfidence on the closed-loop remanufacturing supply chain and found that an appropriate cost-sharing ratio can be a “win-win” for both the manufacturers and third-party Internet recycling platforms, but excessive confidence levels can dampen the incentives for cost-sharing strategies and negatively affect the interests of the manufacturers. Singh et al. [16] investigated the impact of inflation on supply chain profits by constructing a three-level supply chain model and found a negative correlation between the supply chain profits and the rate of inflation.
A comparison of the advantages and disadvantages of static and dynamic closed-loop supply chains is shown in Table 1:
Table 1.
Comparison of static and dynamic closed-loop supply chain research.
2.2. Closed-Loop Supply Chains in Discrete Time
Generally, decisions made in a closed-loop supply chain are of discrete time. Specifically, the strategy for each period will last for some time before it changes again, and finally the decision-maker combines the optimal decisions for each period to obtain an optimal sequence of decisions. For example, after a new Apple phone is launched, the seller will adjust the price according to the market feedback. If the market response is not good, the seller will adjust the price according to the channel price, and the store will reduce the price to promote. Between 29 July and 1 August 2022, the price of iPhone 13, iPhone 13 mini, iPhone Max, and iPhone 13 Pro was reduced by CNY600, while the price of iPhone 12 and iPhone 12 mini was reduced by CNY500. The dynamic situation with discrete decision time is more realistic than the dynamic situation with continuous time, so it is more practical to study the closed-loop supply chain under the dynamic situation with discrete time. Huang et al. [17] used the control theory dynamic analysis to develop a dynamic closed-loop supply chain model for a class of linear discrete-time systems and proposed a related strategy with a robust H1 control method to effectively suppress all uncertainties in this closed-loop supply chain system. Mahmoudzadeh et al. [18] proposed a robust decision optimization method to solve the production/pricing problem in a hybrid manufacturing/remanufacturing system by building a closed-loop supply chain in discrete time, which enables decision-makers to make rational decisions in each period of demand and return uncertainty. Zhang et al. [19] transformed the basic model of a closed-loop supply chain in which manufacturers and recyclers simultaneously recycle uncertain products into a nonlinear fuzzy switching model based on a discrete T-S fuzzy control system for their study and found that this approach not only suppresses the bullwhip effect but also allows the supply chain to maintain stability. Javid et al. [20] investigated the design problem of closed-loop supply chain networks in discrete time by developing a single-objective deterministic mixed-integer linear programming model. Gholizadeh et al. [21] investigated a multi-layered closed-loop supply chain for a disposable appliance recycling network in a discrete-time stochastic scenario to maximize the value of returned and manufactured products.
2.3. Product Heterogeneity
Remanufactured products and innovative products are not exactly the same. Innovative products mainly refer to new product development or old product upgrade [22], entering the market in the form of a brand new product. For example, the panoramic camera can realize a 360-degree photography without dead angle, which is a brand new product in the market, but its picture quality has a large gap with traditional cameras. If consumers have little need for panoramic recording but purchase the product, they may easily regret it. In contrast, remanufactured products are recycled waste products for remanufacturing treatment, and the product itself has not changed (such as the recycling of iPhones [23]). Therefore, innovative products and remanufactured products are heterogeneous, which will be focused on the sales process.
2.4. Bass Model
In 1969, Bass proposed a model for predicting sales of innovative consumer durables [24] and verified the feasibility of the model in relation to 11 common durable products. Subsequently, Robinson et al. [25] further considered the impact resulting from the price factor. Cesare et al. [26] determined the optimal product price and advertising strategy by building a Stackelberg differential game model. Fibich et al. [27] investigated the impact of boundary effects on the diffusion of new products by using a discrete Bass model.
2.5. Consumer’s Purchase Regret Psychology
In the past, scholars often use the “rational economic man hypothesis” in their research, which assumes that consumers’ attitudes toward products are completely rational [28]. In fact, after purchasing a product, consumers often regret the purchase because the product does not meet their psychological expectations, which is called purchase regret psychology, and the research on regret psychology can be divided into static and dynamic situations. Nasiry et al. [29] investigated the impact of two types of consumer regret decisions, early purchase and delayed purchase, on firm profits and policies in a presale environment with uncertain buyer valuation in the static case. Davvetas et al. [30] found that consumers’ brand identity can weaken the negative effects of regret psychology on satisfaction and behavioural intentions. Arslan et al. [31] used the SID strategy to study consumer repurchase behaviour and purchase regret psychology. Grigsby et al. [32] found that by recalling previous satisfying purchase experiences, consumers were able to reduce recent regrets of impulse purchases.
2.6. Research Gap
Different researchers have studied the problem of optimal dynamic decision-making in closed-loop supply chains from different perspectives using different methods, the most common of which are static and continuous-time dynamic decision-making. In this paper, we investigate the optimal dynamic decision problem for each node member of a closed-loop supply chain in discrete time, based on differential game theory. We also consider the impact of consumer regret psychology on pricing, sales, and profitability, when the new product is introduced into the consumer market, and verify the reliability of the findings through a numerical analysis. Table 2 explains the research gaps that exist between this paper and the existing literature. To the best of the authors’ knowledge, this is the first study to develop a dynamic optimal decision sequence problem for a closed-loop supply chain using a differential game model in a discrete-time situation. The main innovations of this paper are: (1) taking into account factors such as consumer regret and price impact in the traditional Bass model, making them discrete and introducing them into the closed-loop supply chain model; (2) using differential game theory to explore the dynamic optimal decision sequence of each nodal firm in the closed-loop supply chain under discrete-time conditions; (3) analysing the impact of different consumer purchase regret psychologies on the profits of each participant in the closed-loop supply chain.
Table 2.
Author(s) contribution table.
3. Basic Theory
3.1. Difference Game Theory
A differential game is a continuous game in a discrete-time system in which multiple players try to optimize their independent and conflicting objectives, ultimately obtaining a Nash equilibrium by evolving the strategies of each player at any time. This paper uses a differential game approach to investigate product pricing problems conducted at discrete decision times. Differential game theory is a new way of solving coordination control problems and is a combination of the discrete optimal control theory and the game theory.
3.2. Discrete Optimal Control Theory
Consider the equation of state for a discrete system as follows:
where .
The initial condition is as follows:
The end condition is as follows:
The objective function as follows:
To determine the optimal control sequence , such that is maximum.
Introduction of Hamiltonian functions as follows:
The optimal sequence obtained by the variational solution should satisfy the following necessary conditions:
where Equation (6) is the canonical equation, Equation (7) is the control equation, Equation (8) is the cross-sectional condition, and Equation (9) is the initial condition.
4. Model Assumptions
This paper considers a closed-loop supply chain consisting of a manufacturer, a retailer, and a third-party recycler. In this closed-loop supply chain, the manufacturer and the retailer, as the leading and following players, are responsible for the manufacture and wholesale of new and remanufactured products and the sale of new and remanufactured products, respectively. Meanwhile, the third-party recycler is responsible for the recycling of used products as the follower, and the processed products are processed by the manufacturer for remanufacturing.
A diagram of the member relationships between closed-loop supply chains is shown in Figure 1.
Figure 1.
Closed-loop supply chain relationship map.
This paper assumes that the new product and the remanufactured product are identical in appearance and function, but remanufactured products are usually developed and produced by recycling used products and are labelled as such when being sold [33]. In addition, consumers prefer the new product, so the manufacturer and retailer price the new product higher than the remanufactured product.
Assuming that the manufacturer’s cost of producing a new product is (USD/unit) and the cost of producing a remanufactured product is (USD/unit), the cost savings from remanufacturing is , and the larger the value of , the higher the cost savings from remanufacturing. The manufacturer’s wholesale price of a brand new product at stage is (USD/unit), and the wholesale price of a remanufactured product is , (USD/unit); the retail price of a brand new product at stage is (USD/unit), and the retail price of a remanufactured product at stage is , (USD/unit); the recycler’s recycling rate of a used product at stage is (%), and the recycling rate is related not only to the recycling effort at the current stage but also to the recycling rate at the previous stage. According to the evolution of the recovery rate described in [10], at discrete times, the recycling rate at two stages is , where (unit) is the recycling effort expended, (>0) is the coefficient of the impact of the recycler’s effort on the recycling rate, and (>0) is the coefficient of the recycler’s recycling rate decaying with the stage. The recycling effort cost of the recycler is a quadratic function (USD) about the recycling effort expended by the recycler [2]. The number of stages in the supply chain in which members make decisions is . The potential market exists in the market The total number of consumers in the market is (unit).
Bass was the first to propose a model for predicting sales of innovative consumer durables in conjunction with a viral propagation model. Innovative products not only attract consumers in the market but also spread in the consumer market similar to the spread of a virus within a crowd. Therefore, this paper uses the process of pathogen infection of the population to model the process of innovative product entry into the market: the virulence of pathogens and viruses are considered as innovative products and the attraction of innovative products to consumers in the market, respectively. In addition, the infected and susceptible populations can be considered as innovators and imitators in the consumer market. The purchase decision of innovator is independent of other consumers in the market and is only influenced by external factors such as advertising; the purchase decision of imitator is influenced by internal factors such as the promotional behaviour of the innovator after purchase. This can be expressed in the form of a differential equation as follows:
Therefore, the dynamic evolution of an innovative product in a closed-loop supply chain can be well depicted by the Bass model. Combining the Bass diffusion model of a new product after it enters the market [25] with the Bass model in discrete time [26], the proportion of innovators can be rewritten as the incremental proportion of innovators at stage , i.e., , where denotes the influence of external factors such as advertising, and k is
the imitation coefficient of imitators.
This paper assumes that consumers have the following three situations when making product choices [34]. First, consumers have different attitudes towards product purchase choices, when new and remanufactured products are available in the market at the same time. Second, when consumers buy a product and after using it, they have regrets, which we call the purchase regret psychology. Assuming that the number of consumers with purchase regret at stage is , and this part of consumers will regret because the product fails to achieve the expected effect and provide negative evaluations to potential consumers of the product, causing a loss of goodwill for the product, which in turn leads to a slowdown in the diffusion of new and remanufactured products [35]. The third is the impact of product price on consumer purchase, the higher the price, the weaker the purchasing willingness of consumers [25]. Based on the above three aspects, Equation (10) is modified to obtain the modified Bass diffusion model, which is presented in Equation (11):
where variable is the coefficient of regret after purchasing a new product, and variable is the coefficient of regret after purchasing a remanufactured product. If , the new product is more attractive to consumers than the remanufactured product, and the regret of consumers for buying the new product is weaker; instead, they are more likely to regret buying the remanufactured product. If , the remanufactured product has more competitive advantage. Value is the coefficient of imitation after the potential consumers of the new product are influenced by the positive evaluation of the product. Value is the coefficient of imitation after the potential consumers of the remanufactured product are influenced by the positive evaluation of the product. Value is the imitation coefficient of the potential consumers of remanufactured products in the market who are influenced by the positive evaluation of the product, which leads to the imitation coefficient of the purchase behaviour. Values , , and are constant with a given value; is the sensitivity coefficient of the consumers to the price of the product, which reflects the impact of the change in the price of the product on the demand of the new product, and the sales rate gradually decreases with the increase in the price. Formula (11) is collapsed and simplified, so that . To obtain the increment of the proportion of the innovators in stage after the simplification, we use the following formula:
In turn, we can obtain the demand for brand new products in stage as . In this paper, the demand is specified as the sales volume, so that the manufacturer’s cost function can be obtained as follows: . The income function is as follows: . The retailer’s cost function is as follows: . The income function is as follows: . The cost function for the recycler is as follows: ; the income function is as follows: . Thus, the profit function of the manufacturer, retailer, and recycler can be expressed as follows:
where indicating the manufacturer, retailer, and third party recycler, respectively.
The symbols and meanings used in this paper are shown in Table 3.
Table 3.
Symbols and meanings used in the closed-loop supply chain.
5. Model Building and Solving
In the closed-loop supply chain differential game model established in this paper, the dominant manufacturer takes the lead in determining its wholesale price for the brand new product, and then the following retailer and third-party recycler decide their respective retail price and recycling effort . According to Equation (13), the respective long-term profit functions of the manufacturer, retailer, and third-party recycler are obtained as follows:
Thus, there are manufacturers, retailers, and recyclers, whose respective target panoply is as follows:
According to the game order, when the manufacturer decides on the optimal wholesale price sequence , solve the optimal retail price sequence of the retailer and the optimal recycling effort sequence of the recycler, so that the objective functions and are maximized. That is, solve the following optimal control problem:
Proposition 1.
When the manufacturer’s optimal wholesale price sequence is , the retailer’s optimal retail price sequence is as follows:
The optimal recycling effort sequence for the recycler is as follows:
The recycling rate of waste products is as follows:
Cross-cutting conditions are as follows: .
See Appendix A for proof.
Based on the obtained optimal retail price sequence for the retailer and the optimal recycling effort sequence for the recycler, solve for the optimal wholesale price sequence for the manufacturer such that the utility function is maximized. That is, the following optimal control problem is solved:
Proposition 2.
The manufacturer’s optimal wholesale price sequence is as follows:
Cross-cutting conditions are as follows: .
See Appendix A for proof.
Proposition 3.
The incremental share of brand new products in the market in phase is as follows:
See Appendix A for proof.
Corollary 1.
Recall effort for brand new products is unrelated to the two acquisition regret psychologies generated by consumers, and tends to decrease throughout the sales process.
Proof.
From Proposition 1, it follows that , , , and vary with the sales stage only by the cross-sectional condition . Value is positively correlated with . Since , is a constant, , and thus, it is obvious that . □
Corollary 2.
Since the recycling rate of the recycler changes in the two stages as , thus having the recycling rate of stage as ; apparently, the change in the recycling rate is also unaffected by the two acquisition regret psychologies generated by consumers, and the recycling rate tends to increase throughout the sales process.
It can be seen from Corollary 1 and Corollary 2 that the recycler’s recycling rate varies inversely with the recycling effort expended, with the recycling effort decaying during the sales process and the recycling rate gradually increasing; but whatever changes occur in and , i.e., arbitrary changes in consumer purchase regret psychology, they do not affect the recycler’s recycling effort or its recycling rate.
Corollary 3.
The pricing strategies and of the manufacturer and retailer in the sales process are related to the cross-sectional condition and the recovery rate . As decreases, both and increase. If , then decreases as increases, and conversely, increases as increases. If , then decreases as increases, and conversely, increases as increases.
Proof.
From Proposition 2, we know that , where , , and therefore, decreases as the number of sales stages increases . The first-order partial derivatives of and for and , respectively, yield , , , and . Therefore, is negatively correlated with when , and is negatively correlated with when . □
Corollary 4.
When the share of brand new products in the market is less than 0.5, that is , wholesale and retail prices are positively correlated with consumers’ regret coefficient for purchasing new products and positively correlated with consumers’ regret coefficient for purchasing remanufactured products; when the share of brand new products in the market is more than 0.5, that is , wholesale and retail prices are negatively correlated with consumers’ regret coefficient for purchasing new products and negatively correlated with consumers’ regret coefficient for purchasing remanufactured products.
Proof.
The first-order partial derivatives of and for and , respectively, give , , , , and , where . When is , we have , , , and , and when is , we have , , , and . □
Corollary 3 and Corollary 4 suggest that manufacturers and retailers’ optimal pricing is affected by cross-sectional conditions and recall rates during the sales process, and that the impact of consumer acquisition regret on manufacturers’ pricing varies depending on the share of new products in the market. This implies that, given a certain market volume, capturing the share of new products timely in the market has positive implications for manufacturers and retailers’ pricing decisions, as well as for analysing the impact of consumer acquisition regret psychology.
Corollary 5.
The share of new products in the market increases gradually as the sales process proceeds, and the market share of new products is the highest at the end of sales.
Proof.
From Proposition 3, it follows that the increment of brand new products in the market in stage is as follows: , where obviously holds, and because , , , and , holds. Therefore, , and thus, it is obvious to obtain . □
Corollary 6.
, , , and are related to the parameters and as follows: , , , , , , and .
Corollary 6 shows that total sales of new products in the market decrease as consumers’ purchase regret coefficients and increase, and the sales profits of manufacturers and retailers decrease as consumers’ purchase regret coefficients and increase, but the sales profits of recyclers are not related to consumers’ purchase regret coefficients and . This implies that changes in consumer purchase regret affect the total number of new products sold in the market and the sales profits of manufacturers and retailers, but not the profits of third-party recyclers, because recyclers’ recycling is not related to changes in market demand.
6. Numerical Analysis
In order to verify the conclusions obtained in Section 4, this section analyses the optimal decision and profit of each decision-maker in the closed-loop supply chain at each sales stage and the market share of brand new products through numerical arithmetic examples and further investigates the impact of two different regret psychologies of consumers on the decision variables, the total sales of brand new products, and the profit of each member in the closed-loop supply chain. A typical example of an innovative product is the Apple phone, according to the Fomalhaut Techno Solutions’ analysis, the iPhone SE 3, 64G version, cost about USD200 and was sold in the market for USD429, i.e., . To reduce the environmental impact of its products and to facilitate recycling, Apple more than doubled the use of tungsten, rare earth elements, and cobalt. Meanwhile, they designed three devices, Daisy, Taz, and Dave, to dismantle the used iPhones and collect valuable raw materials to remanufacture products, with statistics showing that nearly 25% of the products are made from recycled materials. Therefore, we set , and . In the context of objective reality, drawing on the parameter settings of [5,14,15], we set , , , , , , , , , and .
(1) Given the values of two acquisition regret coefficients and for consumers, a numerical analysis is conducted to explore the optimal pricing strategy of each decision-maker in the closed-loop supply chain at each stage. Let , be taken as , , , and , and the values of other parameters are kept constant and substituted into Equations (23), (24), and (28) in Section 5 to analyse the optimal pricing of each participant in the closed-loop supply chain at each stage under different scenarios of and . The results are shown in Table 4.
Table 4.
Decision-making of each participant with different values of and .
The results obtained from Table 4 show that the recycling effort of recyclers is the highest at the beginning of the sales process and decreases gradually as the sales process proceeds. Regardless of the values of and , the wholesale and retail prices of brand new products gradually increase as the sales process proceeds, and when the value of or is fixed, the pricing strategies of manufacturers and retailers can be approximated to remain unchanged regardless of the changes in the other value, which is not exactly the same as the conclusion obtained from Corollary 4. This is because the recycling rate is focused on the recycling of scrap products, and compared to recycling rate of waste products, the wholesale and retail prices of brand new products are more sensitive to changes in the cross-sectional condition, which is the main factor influencing decision-makers’ price strategy formulation. Therefore, when manufacturers and retailers set prices for brand new products, they need to focus on the impact of cross-sectional conditions and ignore the impact of recyclers’ recycling rates.
For the later in-depth analysis, is selected. Using the optimal decision of each participant at each stage obtained from Table 4, the profit of each participant at each stage is calculated, as shown in Figure 2.
Figure 2.
Profit map for each stage of each participant in the closed-loop supply chain.
As shown in Figure 2, the change in profit between the manufacturer and the retailer at each stage is approximately the same, both declining as the sales process proceeds, with the manufacturer’s profits decreasing by USD2,457,465 and the retailer’s profits decreasing by USD2,421,374 at stage 10 compared to stage 1. Unlike the former, the recycler’s profits gradually increase at each stage as the sales process proceeds. From stage 1 to stage 10, recyclers’ profits increased by nearly 234%.
(2) From the whole sales process, the regret coefficient of consumers purchasing brand new products and the regret coefficient of consumers purchasing remanufactured products are considered as variables for a numerical analysis to explore the impact of the two different regret psychologies generated by consumers on the closed-loop supply chain. Based on the above [5], and are selected in steps of 0.2 from 0 to 1, and other basic parameters are kept constant to obtain the profit of each participant in the closed-loop supply chain throughout the sales process and the trend of total sales of brand new products, as shown in Figure 3a,b.
Figure 3.
The effects of two acquisition regret psychologies of consumers on the total sales of new products and the final profit of each member. (a) Effect of regret factors on total sales . (b) Effect of regret factors on the profit of each member.
As shown in Figure 3a,b, when the regret coefficient of consumers purchasing remanufactured products remains unchanged, as the regret coefficient of consumers purchasing brand new products increases, the profit of manufacturers and retailers gradually decreases, and the total amount of sales of brand new products decreases, and at this time, remanufactured products have more advantages in the market compared with brand new products. When the regret coefficient of consumers purchasing new products remains unchanged, the profit of manufacturers and retailers gradually decreases as the regret coefficient of consumers purchasing remanufactured products increases, and the total sales volume of new products also decreases, and the change in the total sales volume is more obviously affected by the regret coefficient , and the new products have an advantage in the market at this time; however, no matter how the two kinds of consumer’s purchase regret psychology change, the profit of recyclers always remains the same.
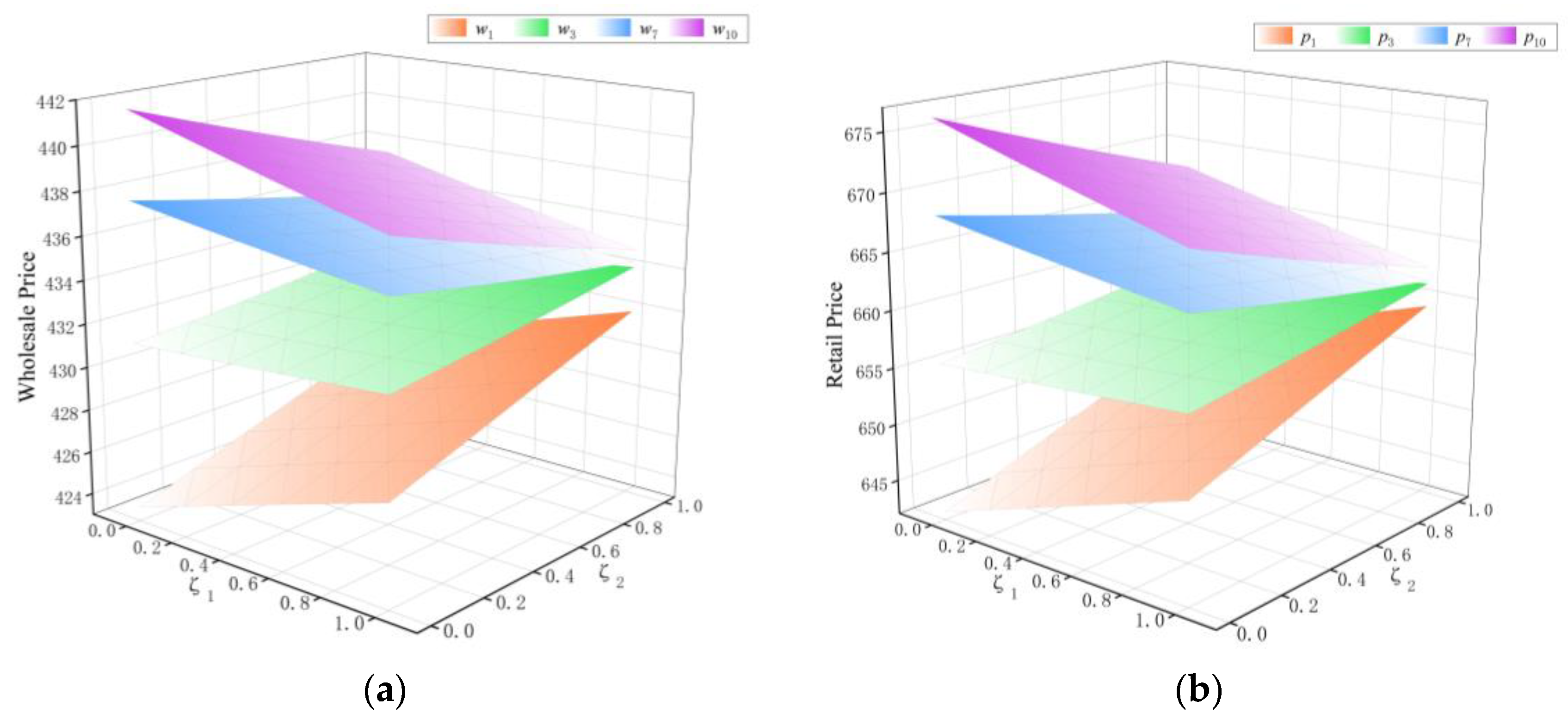
(3) Looking at each stage of brand new product sales, the regret coefficient of consumers purchasing brand new products and the regret coefficient of consumers purchasing remanufactured products are considered as variables, and a numerical analysis is conducted to explore the impact of the two different regret psychologies generated by consumers on the product pricing and the profit earned by manufacturers and retailers at each stage. Four stages—1, 3, 7, and 10—are selected, where stages 1 and 3 satisfy the share of brand new products in the market , and stages 7 and 10 satisfy the share of brand new products in the market . Based on the above [5], and are selected in steps of 0.2 from 0 to 1, and other basic parameters are kept constant. The wholesale price , the retail price , and the manufacturer and retailer’s profit at each stage are shown in Figure 4 and Figure 5.
Figure 4.
The effects of two consumer acquisition regret psychologies on the optimal pricing of new products. (a) Effect of regret factors on wholesale price . (b) Effect of regret factors on retail price .
Figure 5.
The effects of two consumer purchase regret psychologies on manufacturer and retailer’s profits. (a) Effect of regret factors on manufacturer’s profit . (b) Effect of the regret factors on retailer’s profit .
As shown in Figure 4a,b, in stages 1 and 3, at this time , the manufacturer and retailer’s optimal pricing for the product increases as consumers develop two types of purchase regret, and the change is more pronounced in stage 1 compared to stage 3. In stages 7 and 10, at this time , the manufacturer and retailer’s optimal pricing for the product decreases as consumers develop two types of purchase regret.
As shown in Figure 5a,b, the profitability of the manufacturer and retailer decreases with the increase in both purchase regrets in all four selected stages, and the profitability of the manufacturer and retailer decreases, as the new product is sold in the market.
7. Discussion and Conclusions
In this paper, we consider the heterogeneity between brand new and remanufactured products and study the closed-loop supply chain differential game problem with consumer purchase regret psychology under discrete-time conditions.
7.1. Research Conclusions
Firstly, for third-party recyclers, the two types of purchase regret generated by consumers have no impact on their profits, and the recyclers’ profits are only related to the recycling effort they expend. In addition, the recovery efforts are the greatest at the beginning of the sale and continue to decrease as the sale progresses. Instead, the recycler’s recycling rate changes in contrast to the change in their recycling effort, with the recycler’s recycling rate being the lowest at the beginning of the sale, increasing gradually as the sale progresses and reaching the maximum at the end of the sale.
Secondly, the total sales volume of brand new products is affected by consumers’ purchase regret. With the increase in both purchase regrets, the total product sales gradually decrease, and total product sales are more sensitive to changes in consumer regret over the purchase of new products.
Thirdly, the optimal pricing strategies of manufacturers and retailers are mainly influenced by the cross-sectional condition, and as the cross-sectional condition decreases, manufacturers and retailers will increase their respective pricing, although the recycling rate of used products also affects the pricing strategy, the effect is negligible compared to the effect caused by the cross-sectional condition.
Finally, both the manufacturers and retailers’ optimal pricing and profitability are affected by consumers’ purchase regret factor, and this effect is related to the share of new products in the market. When the percentage of new products in the market is less than 0.5, the manufacturer’s pricing will gradually increase as the two purchase regret psychologies of consumers increase, and when the percentage of new products in the market is greater than 0.5, the manufacturer’s pricing will gradually decrease as the two purchase regret psychologies of consumers increase, and the higher the percentage of new products in the market, the more obvious this phenomenon is. The profitability of manufacturers and retailers decreases with the increase in the two types of purchase regret.
7.2. Contribution to the Literature
This paper has made some contributions to the literature on closed-loop supply chains based on discrete time. For example, the authors of [9] studied the problem of hybrid closed-loop supply chain management in a random market demand scenario; the authors of [10] studied the issue of inventory management for multi-cycle closed-loop supply chain. However, neither study considers the impact of the stochastic fluctuations generated by the market on supply chain decisions when an innovative product enters the market. Most of the studies on closed-loop supply chains are static situations, and some scholars have conducted relevant studies in dynamic situations with continuous decision times. For example, the authors of [16] explored the impact of inflation on supply chain profitability, but their study was not conducted in a closed-loop supply chain and did not consider the impact of innovative products emerging in the market on optimal supply chain decisions. This paper provides a certain theoretical basis for later studies on the dynamics of closed-loop supply chains with discrete decision times. Compared with the study of a closed-loop supply chain under the continuous decision time condition [13], this paper uses the discrete Bass model to disaggregate the continuous decisions and study the pricing strategies of vendors at each stage, which expands the application of the Bass model.
This paper also introduces the acquisition regret psychology of consumers in a closed-loop supply chain system. Compared with studies that also consider consumer behavioural psychology [29], this paper transforms consumer expectation psychology into acquisition regret psychology and investigates the different effects of different acquisition regret psychologies of consumers, which enriches the theory in the field of closed-loop supply chains and consumer behavioural psychology.
7.3. Managerial Implication
Our findings have the following implications for management research.
Firstly, for manufacturers and retailers, when the psychology of consumer’s purchase regret is constant in the market, in the early stage of the new product entering the market, consumers’ desire to buy is very strong, and the sales of the product are high. At this time, the manufacturer adopts lower pricing for the product, so that the new product can spread in the market as soon as possible. In the sales process, as the proportion of brand new products in the market gradually increases, brand new products are no longer “brand new” to the market, consumers’ desire to buy decreases, product sales decrease, and the manufacturers need to increase the pricing of products to improve their profits, to prepare for the new brand new products to enter the market. Therefore, it is critical for the manufacturers to be able to judge the “newness” of a brand new product. When a new product is no longer “new”, its price is adjusted to reduce the potential loss of revenue, while the retailer can determine the price of the product based on the adjustment in the manufacturer’s price and sales in the market. Manufacturers can achieve a good cycle of high revenue by continually selling new brand new products.
Secondly, when consumer purchase regret psychology changes in the market, manufacturers and retailers need to price brand new products according to their share in the market: when the share of brand new products in the market is below 50%, the pricing of brand new products will gradually increase as consumer purchase regret psychology rises. This is because when a new product enters the market in the early stage, it needs to recover the cost of research and development as soon as possible, and the increase in regret psychology will lead to a decrease in product sales and the loss of profits for the manufacturer, so the manufacturer needs to increase the price to reduce the loss of profits. In the face of strong market regret, the manufacturer’s price increase can build a brand image. When the proportion of brand new products in the market exceeds 50%, the product has a certain consumer base in the market. The stronger the regret, the greater the impact on the spread of brand new products in the market; therefore, the manufacturers need to reduce their own pricing and use a thin profit strategy to obtain as much profit. As the retailers have a direct line of sight to consumers, they are more sensitive to this change in the sentiment in the market. To maximise long-term profitability across the supply chain, manufacturers and retailers need to work together to share market information and make precise price adjustments in time. In addition, manufacturers also should meet the wishes of consumers as much as possible and perfect after-sales service work to reduce the impact of negative publicity behaviour on the total product sales due to consumer regret.
Thirdly, the profit of recyclers is not affected by the psychology of consumers’ purchase regret. Therefore, recyclers should be proactive in the market and expend the highest possible recycling effort to improve the product recycling rate in the early stage of sales.
Finally, compared with the open-loop supply chain, the structure of the closed-loop supply chain for innovative products is more complex, and the changes in the market dynamics for products are more diverse.
7.4. Future Research Scope
This study assumes that the maximum purchase potential of the market in the Bass model remains unchanged, that consumers do not make repeat purchases, and that the participants in the supply chain are perfectly rational. In reality, the maximum purchasing potential changes all the time, consumers make repeat purchases of new products they are satisfied with, and the participants cannot be completely rational in their decision-making process. Therefore, in future studies, we can specify the market potential as a function of price and understanding of the innovation to capture the variability of the maximum purchase potential of the market, as well as use the repeat purchase diffusion model as the basic model for the study, or we can consider the irrational psychology of the decision-maker as a variable.
Author Contributions
Conceptualization, Y.P. and Z.L.; methodology, Y.P. and Z.L.; software, Y.P.; validation, L.L. and J.L.; writing—original draft preparation, Y.P. and Z.L.; writing—review and editing, Y.P., L.L. and J.L.; project administration, L.L.; funding acquisition, L.L. All authors have read and agreed to the published version of the manuscript.
Funding
This work was supported by the National Natural Science Foundation of China (No. 72162015) and the Social Science Foundation of Jiangxi Province (21GL17).
Data Availability Statement
Data supporting the reported results can be provided by the corresponding author at reasonable request.
Conflicts of Interest
The authors declare no conflict of interest.
Appendix A
Based on the optimal control problems and given to the retailer and the third-party recycler, the optimal sequence of recycling efforts for the third-party recycler is computed first, followed by the optimal sequence of retail prices for the retailer, according to the game order. Construct the Hamilton function for the recycler as follows:
From the necessary condition , the solution is as follows:
and . There is a cross-sectional condition .
Substituting Equation (A2) into the variation of the two-stage recovery rate, we have the following:
The Hamilton function for the retailer is as follows:
From the necessary condition , the solution is as follows:
and . There is a cross-sectional condition .
Substituting the obtained into the two-stage change in the market share of new products, we have the following:
Finally, calculate the manufacturer’s optimal retail price sequence . The manufacturer’s Hamiltonian function is as follows:
From the necessary condition , the solution is as follows:
and . There is a cross-sectional condition .
Substituting the obtained into Equation (A6), we have the following:
Substituting Equation (A9) into yields the following:
Clearly, and are equivalent, ; transverse to the condition , such that , then we have the following:
References
- Bablu, G.K.; Saad, M.; Shameem, A.; Swapan, G.K. A Review on Global Emissions by E-Products Based Waste: Technical Management for Reduced Effects and Achieving Sustainable Development Goals. Sustainability 2022, 14, 4036. [Google Scholar] [CrossRef]
- Tina, A.; Saman Hassanzadeh, A.; Saeed, Z. A proposed multi-objective model for cellphone closed-loop supply chain optimization based on fuzzy QFD. Expert Syst. Appl. 2022, 210, 118577. [Google Scholar] [CrossRef]
- Mehran, U.; Iqra, A.; Muhammad, Z.; Muhammad, O.; Ali, A.; Biswajit, S. Ramification of remanufacturing in a sustainable three-echelon closed-loop supply chain management for returnable products. J. Clean. Prod. 2021, 290, 125609. [Google Scholar] [CrossRef]
- Zhang, Y.; Wang, Y.; Kumar, Y.B. Application of Circular Economy and Uncertainty Planning in Analyzing the Sustainable Closed-Loop Supply Chain Network Design. Math. Probl. Eng. 2022, 2022, 5320974. [Google Scholar] [CrossRef]
- Xu, L.; Wang, C. Sustainable manufacturing in a closed-loop supply chain considering emission reduction and remanufacturing. Resour. Conserv. Recycl. 2018, 131, 297–304. [Google Scholar] [CrossRef]
- Wang, X.; Zhu, Y.; Sun, H.; Jia, F. Production decisions of new and remanufactured products: Implications for low carbon emission economy. J. Clean. Prod. 2018, 171, 1225–1243. [Google Scholar] [CrossRef]
- Zhang, Y.; Chen, W.; Mi, Y. Third-party remanufacturing mode selection for competitive closed-loop supply chain based on evolutionary game theory. J. Clean. Prod. 2020, 263, 121305. [Google Scholar] [CrossRef]
- Sun, L.; Wang, Y.; Hua, G.; Cheng, T.C.E.; Dong, J. Virgin or recycled? Optimal pricing of 3D printing platform and material suppliers in a closed-loop competitive circular supply chain. Resour. Conserv. Recycl. 2020, 162, 105035. [Google Scholar] [CrossRef]
- Kumar, M.A.; Sarla, P.; Kripasindhu, C.; Amit, B.; Kumar, B.R.; Biswajit, S. Technology license sharing strategy for remanufacturing industries under a closed-loop supply chain management bonding. RAIRO-Oper. Res. 2022, 56, 3017–3045. [Google Scholar] [CrossRef]
- Allah, T.A.; Sadegh, M.M.; Behdin, V.; Biswajit, S. New products or remanufactured products: Which is consumer-friendly under a closed-loop multi-level supply chain? J. Retail. Consum. Serv. 2023, 73, 103295. [Google Scholar] [CrossRef]
- Giovanni, P. Environmental collaboration in a closed-loop supply chain with a reverse revenue sharing contract. Ann. OR 2014, 220, 135–157. [Google Scholar] [CrossRef]
- Giovanni, P.; Reddy, P.V.; Zaccour, G. Incentive strategies for an optimal recovery program in a closed-loop supply chain. Eur. J. Oper. Res. 2016, 249, 605–617. [Google Scholar] [CrossRef]
- Yang, Y.; Xu, X. A differential game model for closed-loop supply chain participants under carbon emission permits. Comput. Ind. Eng. 2019, 135, 1077–1090. [Google Scholar] [CrossRef]
- Xiang, Z.; Xu, M. Dynamic cooperation strategies of the closed-loop supply chain involving the internet service platform. J. Clean. Prod. 2019, 220, 1180–1193. [Google Scholar] [CrossRef]
- Xiang, Z.; Xu, M. Dynamic game strategies of a two-stage remanufacturing closed-loop supply chain considering Big Data marketing, technological innovation and overconfidence. Comput. Ind. Eng. 2020, 145, 106538. [Google Scholar] [CrossRef]
- Padiyar, S.V.S.; Vandana Singh, S.R.; Singh, D.; Sarkar, M.; Dey, B.K.; Sarkar, B. Three-Echelon Supply Chain Management with Deteriorated Products under the Effect of Inflation. Mathematics 2022, 11, 104. [Google Scholar] [CrossRef]
- Huang, X.; Yan, N.; Qiu, R. Dynamic models of closed-loop supply chain and robust H∞ control strategies. Int. J. Prod. Res. 2009, 47, 2279–2300. [Google Scholar] [CrossRef]
- Mahmoudzadeh, M.; Jafar Sadjadi, S.; Mansour, S. Robust optimal dynamic production/pricing policies in a closed-loop system. Appl. Math. Model. 2013, 37, 8141–8161. [Google Scholar] [CrossRef]
- Zhang, S.; Li, X.; Zhang, C. A Fuzzy Control Model for Restraint of Bullwhip Effect in Uncertain Closed-Loop Supply Chain with Hybrid Recycling Channels. IEEE Trans. Fuzzy Syst. 2017, 25, 475–482. [Google Scholar] [CrossRef]
- Javid, G.N.; Ramez, K.; Hassan, R. A Modified Priority-Based Encoding for Design of a Closed-Loop Supply Chain Network Using a Discrete League Championship Algorithm. Math. Probl. Eng. 2018, 2018, 8163927. [Google Scholar] [CrossRef]
- Gholizadeh, H.; Tajdin, A.; Javadian, N. A closed-loop supply chain robust optimization for disposable appliances. Neural Comput. Appl. 2018, 32, 3967–3985. [Google Scholar] [CrossRef]
- Sven, W.; Theo, B.; Martin, M.G. Revisiting the innovation dynamics theory: How effectiveness- and efficiency-oriented process innovations accompany product innovations. Technovation 2022, 112, 102410. [Google Scholar] [CrossRef]
- He, Q.; Wang, N.; Yang, Z.; He, Z.; Jiang, B. Competitive collection under channel inconvenience in closed-loop supply chain. Eur. J. Oper. Res. 2019, 275, 155–166. [Google Scholar] [CrossRef]
- Bass, M.F. A New Product Growth for Model Consumer Durables. Manag. Sci. 1969, 50, 1825–1832. [Google Scholar] [CrossRef]
- Robinson, R.; Lakhani, C. Dynamic Price Models for New Product Planning. Manag. Sci. 1975, 21, 1113–1122. [Google Scholar] [CrossRef]
- Cesare, L.D. A Stackelberg Game of Innovation Diffusion: Pricing, Advertising and Subsidy Strategies. Int. Game Theory Rev. 2001, 3, 325–339. [Google Scholar] [CrossRef]
- Fibich, G.; Levin, T.; Yakir, O. Boundary Effects in the Discrete Bass Model. SIAM J. Appl. Math. 2019, 79, 914–937. [Google Scholar] [CrossRef]
- Gong, Q.; Diao, X. Bounded rationality, asymmetric information and mispricing in financial markets. Econ. Theory 2021, 2021, 235–264. [Google Scholar] [CrossRef]
- Nasiry, J.; Popescu, I. Advance selling when consumers regret. Manag. Sci. 2012, 58, 1160–1177. [Google Scholar] [CrossRef]
- Davvetas, V.; Diamantopoulos, A. “Regretting your brand-self?” The moderating role of consumer-brand identification on consumer responses to purchase regret. J. Bus. Res. 2017, 80, 218–227. [Google Scholar] [CrossRef]
- Arslan, S.M.; Zainudin, A.; Danish, H.M.; Jawaria, N.; Muzzammil, H. Why did I buy this? Purchase regret and repeat purchase intentions: A model and empirical application. J. Public Aff. 2020, 22, 2357. [Google Scholar] [CrossRef]
- Grigsby, J.L.; Jewell, R.D.; Campbell, C. Have your cake and eat it too: How invoking post-purchase hyperopia mitigates impulse purchase regret. Mark. Lett. 2020, 32, 75–89. [Google Scholar] [CrossRef]
- Ridvan, A.; Myriam, M. Investigating sustainable consumer preferences for remanufactured electronic products. J. Eng. Res. 2023, 11, 100008. [Google Scholar] [CrossRef]
- Lara, A.; Barbara, B.; Serena, F.; Francesco, G. Seller reputation, distribution and intention to purchase refurbished products. J. Clean. Prod. 2021, 316, 128296. [Google Scholar] [CrossRef]
- Tzeng, S.Y.; Shiu, J.Y. Regret type matters: Risk aversion and complaining in a multidimensional post-purchase regret framework. Asia Pac. J. Mark. Logist. 2019, 31, 1466–1485. [Google Scholar] [CrossRef]
Disclaimer/Publisher’s Note: The statements, opinions and data contained in all publications are solely those of the individual author(s) and contributor(s) and not of MDPI and/or the editor(s). MDPI and/or the editor(s) disclaim responsibility for any injury to people or property resulting from any ideas, methods, instructions or products referred to in the content. |
© 2023 by the authors. Licensee MDPI, Basel, Switzerland. This article is an open access article distributed under the terms and conditions of the Creative Commons Attribution (CC BY) license (https://creativecommons.org/licenses/by/4.0/).




