Abstract
This paper investigates the stability issues associated with neutral-type delay systems. Firstly, the delay-partitioning method is employed to construct a brand-new LK-functional candidate. The discrete delay and a neutral delay are divided into several piecewise points through a relaxable sequence of constant numbers, are increasing at a steady rate and are not larger than 1. Secondly, to fully use the interconnection information among the delayed state vectors, a new LK-functional is constructed. Thirdly, the recently published single/multiple integral inequalities are employed to bound the derivative of the newly developed LK function. Finally, a novel stability criterion for neutral systems is developed based on the above treatment. Furthermore, a new corollary is also proposed for the condition of . The benefits and productivities of our method are demonstrated by numerical examples.
Keywords:
stability analysis; neutral type; delay-partitioning method; Lyapunov-Krasovskii (LK) functional MSC:
93-10
1. Introduction
There is a consensus that time-delay is ubiquitous in natural control systems, and that it typically stirs up the stability of the natural system [1,2]. A significant number of researchers have shown interest in stability analysis of time-delay systems, and plenty of research papers have been reported in [1,2,3,4,5,6,7,8,9,10,11,12,13,14,15,16,17,18,19,20,21] and the references therein. There is a distinct type of system in which the delays exist not only in the state but also in the derivative of the state. Such a system is named a neutral type system [12,13,14,18]. The neutral type system usually comes to light in engineering areas such as distributed networks, chemical reactors, population ecology, and partial element equivalent circuits in large-scale integration systems [1,2,3,4]. Although time-delay may improve performance of an originally unstable system [8], it affects the stability of the system in most cases. So, it is important to study the stability problem with time-delay systems.
For the stability analysis problem with time-delay systems, the delay-dependent criterion is supposed to be less conservative than the delay-independent one. So, researchers tend to propose delay-dependent criteria in the form of linear matrix inequalities (LMI) under the Lyapunov-Krasovskii framework [8,9,18]. Therefore, the Lyapunov-Krasovskii method has become one of the most efficient approaches and has been widely used. Based on this method, two essential points of work are needed to develop less conservative conditions [14,18]. The first and foremost work is to construct a resultful LK-functional candidate, and the subsequent work is to propose or introduce less conservative inequality techniques to bound the derivative of the LK-functional. For the construction of an LK-functional, researchers have proposed plenty of methods in the past two decades: earlier examples include complete LK-functional [22], discrete type LK-functional [23], augmented LK-functional [5,24,25], delay partition method [14,15,16,17,26,27] and matrix-refined-functionals [28]; more recent examples include delay-product-type functionals [29,30] and indefinite LK-functionals [31]. On the other hand, since the bounding technique can derive more accurate upper bounds, researchers have tended to propose less conservative integral inequalities (IIs) in the last ten years. For example, on the consideration of introducing the single integral term to employ more information for time-delays and delayed state vectors, Seuret et al. proposed the Wirtinger-based inequality in [32], which can decrease more of a gap than the Jensen inequality. After two years, Zeng et al. put forward the free-matrix-based integral inequality in combination with a free matrix [33]. P. Park proposed the auxiliary function-based integral/summation inequalities and applied them to continuous and discrete systems [34]. Chen et al. put forward a series of single/multiple integral inequalities in [6,7], including some anterior inequalities. After that, the Bessel-Legendre inequalities [35], Jacobi-Bessel inequality [36], and other inequalities have been proposed to bound the quadratic integral terms in the derivative of LK-functionals [21,37,38,39]. Additionally, it is well known that the reciprocally convex combination lemmas (RCCLs) are efficient to deal with reciprocally convex combination derived by the integral inequalities for time-varying delay systems [40,41,42,43,44]. Recently, due to more and more augmented LK-functionals being introduced, the problem of estimating a quadratic function is often encountered. Consequently, the so called quadratic negative-definiteness lemma (QNDL) had been extensively studied [45,46,47,48]. In summary, many excellent achievements in bounding techniques and other methods have emerged over the past decades. Those methods have been introduced to analyze the stability of various time-delay systems.
For the problem of stability analysis with neutral-type systems, researches have also done related studies and come up with some good results. For instance, He et al. used the free-weighting-matrix approach to estimate the derivative of LK-functional. Less conservative results were derived [10]. Liu et al. discussed the neutral systems with mixed delays. Some asymptotic and robust stability criteria were obtained in [11]. After that, Qian et al. constructed a complete LK-functional and introduced some free-weighting matrices to propose the delay-dependent robust stability criterion for neutral systems [12]. In [13], the authors investigated uncertain linear neutral systems and proposed robust stability conditions with mixed delays. Ding et al. used the Wirtinger-based integral inequality to analyze the asymptotic stability problem. Improved results were obtained in [14]. In 2019, Li et al. constructed a dynamic Lyapunov method to study the mixed-delay-dependent stability of the time-delay system. New criteria were obtained [18]. Among those results, the authors have put forward many suitable methods to discuss the stability problems with neutral-type systems. It needs to be pointed out, in particular, that the authors used the delay partitioning technique to construct some novel LK-functional terms in [13,14], respectively. Consequently, the information of neutral time-delays was sufficiently used.
However, for those LK-functional terms with the delay partitioning method, the piecewise points of time-delay are of fixed length. Those piecewise points that are proper for obtaining a less conservative criterion are unknown. Consequently, the fixed delay partitioning method is not fit for finding the optimal delayed piecewise points, which may lead to less conservative criteria. In factor, if one sets some relaxable delay piecewise points to construct a more relaxed LK-functional, then one may obtain some less conservative criteria. So, there is still room for us to improve the results with stability analysis for neutral-type systems, which motivates us to carry out this research.
This paper examines the stability analysis of neutral-type delay systems in light of the above discussion. Firstly, the delay partitioning technique is employed to construct a new LK-functional. In this functional, two relaxable delay piecewise points are set. Then, some summation integral terms are appended to this LK-functional. Based on this LK-functional, the interconnect information among the delayed state vectors is fully employed. Furthermore, due to the relaxable delay piecewise points, one can optimize the conclusion by changing the value of the delay piecewise points, which surpass the fixed delay partitioning method. So, the proposed LK-functional may lead to less conservative results. Secondly, the single/multiple integral inequalities are introduced to estimate the derivative of the LK-functional. Some new less conservative criteria are proposed. The numerical cases are used to express the superiority of our method.
Notations. For the entire document, denotes the n-dimensional Euclidean space, is the set of all n × m real matrices. The notation , for , means that P is symmetric and positive definite matrix. The symmetric term in a symmetric matrix is denoted by ∗. I is an appropriately dimensioned identity matrix.
2. Related Works
In this section, for the sake of discussion, some preliminary works are first proposed.
Let us consider the systems with the following neutral type:
where , . is the state vector, and are the positive and greater than zero, and present the discrete and neutral time-delay, respectively. The matrices are constant matrices with appropriate dimensions. is an continuous initial vector-valued condition that at the time meets the following conditions .
In order to deal with the derivative of LK-functional, the single/multiple integral inequalities are firstly proposed.
Lemma 1.
For a matrixand a differentiable function, the following inequalities hold [6]:
where , and are defined as the following:
To facilitate follow-up research, some nomenclatures with constants and vectors are first defined.
Let be a constant sequence, and set .
3. Main Results
This section discusses the problem of asymptotical stability for neutral time-delay systems. First, the delay partitioning technique is applied to construct a new LK-functional, in which the delay piecewise points are relaxable. So, the interconnect information with delayed state vectors is fully used. Then, the single/multiple integral inequalities are employed to estimate the derivative of LK-functional, and the main criterion is proposed.
Theorem 1.
For given constant scalars, , the neutral type system (1) is asymptotically stable, if there exist suitable dimensions matrices, and, , such that the following LMI holds:
where
Proof.
Firstly, the following LK-functional candidate is constructed:
where
For the above LK-functional, calculating the derivative along the solutions of system (1), it yields:
For the single integral terms in (8), applying the single integral inequality of (2), the following results can be obtained.
Similarly, for the double integral terms in (9), applying the double integral inequality of (3), the following results can be obtained.
To sum up, if , it will hold for any with a sufficiently small scalar . So, system (1) is asymptotically stable if the LMI (14) holds. This completes the proof. □
Remark 1.
In the process of constructing the LK-functional, some positive constants such asare firstly selected, in whichandare alterable. Then, the delay-partitioning approach is employed to construct a series of delayed piecewise points with neutral delays. A new LK-functional in (5) is then proposed based on those treatments. In the early literature, the authors mainly constructed some simple integral terms in their LK-functionals in which the interconnect information was not fully used, such as [10,11,12]. Consequently, the proposed results were not good. Later, in order to sufficiently use the information with neutral delays, the authors Chen and Ding proposed some new LK-functionals combined with delay-decomposition in [13,14], respectively, in which some infinite delayed piecewise points were proposed. However, the delayed piecewise points were equal to each other. This is not conducive to finding the optimal segmentation point. Contrarily, the delayed piecewise points in this paper are alterable. Consequently, it is easy to change the value to get the optimal delayed piecewise points, indicated in the next section. Furthermore, for the consideration of the interconnect information between neutral delays, the interconnect integral termsare also added to the new LK-functional. So, the interconnect information is further employed.
Remark 2.
When estimating the derivative of the LK-functional, the single/multiple integral inequalities in [6] are adopted to bound the single and double integral terms obtained by the derivative of the LK-functional candidate. Those inequalities provide a more accurate estimate for the single and double integral terms than Wirtinger-based integral inequality [32] and free-weight-based integral inequality [21,33]. Consequently, those inequalities could reduce the conservative quality of the obtained results.
For the case , the following corollary can easily be obtained by setting some matrix to zero in Theorem 1.
Corollary 1.
For given constant scalars , the neutral type system (1) is asymptotically stable, if there exist suitable dimensions matrices , , and , such that the following LMI holds:
where
Since one can use the LK-functional of (5) and set , and follow the similar line of the proof for Theorem 1, corollary 1 could be easy derived. The proof is omitted here.
4. Numerical Examples
In this section, two numerical examples are employed to analyze the numerical validity for neutral system (1). So, the following classical example with the parameters of is selected.
Example 1.
Example 2.
For Example 1, the maximum upper bounds of for different are listed in Table 1 for the conditions of and . In order to obtain the maximum upper bounds of , the neutral time-delay is set firstly. Then, the parameter need to be selected. The method to choose the values of is to set from 0 to 0.5 in an increasing way, and set from 1 to 0.5 in a decreasing way until the optimal results are derived. The numerical results demonstrate that as increases and decreases, the maximum upper bounds of increase. When , the optimal results for maximum upper bounds of are achieved.
Table 1.
Maximum Upper Bounds of for Different .
On the other hand, it is easy to see that the results derived by our method are much better than [10,11,12,13,14] when the delayed piecewise are 3. This could be due to the delay partitioning method having established more interconnected information with the delayed state vectors. Compared to the results in [21], the results are little better when and . However, the analytical bounds are also listed in the table for this example. One can see that as and , the maximum upper bounds obtained in this paper achieved analytical bounds as . So, from this point of view, the results obtained by our method are more effective.
It should be pointed out that the number of decision vectors will rise by multiple as the delayed piecewise points increase. However, in order to obtain less conservative criteria, there must be a trade-off between the decision vectors and less backward results. For this consideration, we only divide the time-delays into three segments. So, it not only avoids too many decision vectors but also obtains a stability criterion with low conservatism.
For Example 2, the maximum upper bounds of for different as are showing in Table 2. It is clear that the results obtained in this paper are much better than [19,20]. Comparing to [21], it is shown that not all the results are better than results in [21] when . However, as , the results derived by this paper are better than [21]. So, it demonstrates the efficiency of the proposed method in this paper.
Table 2.
Maximum Upper Bounds of for Different .
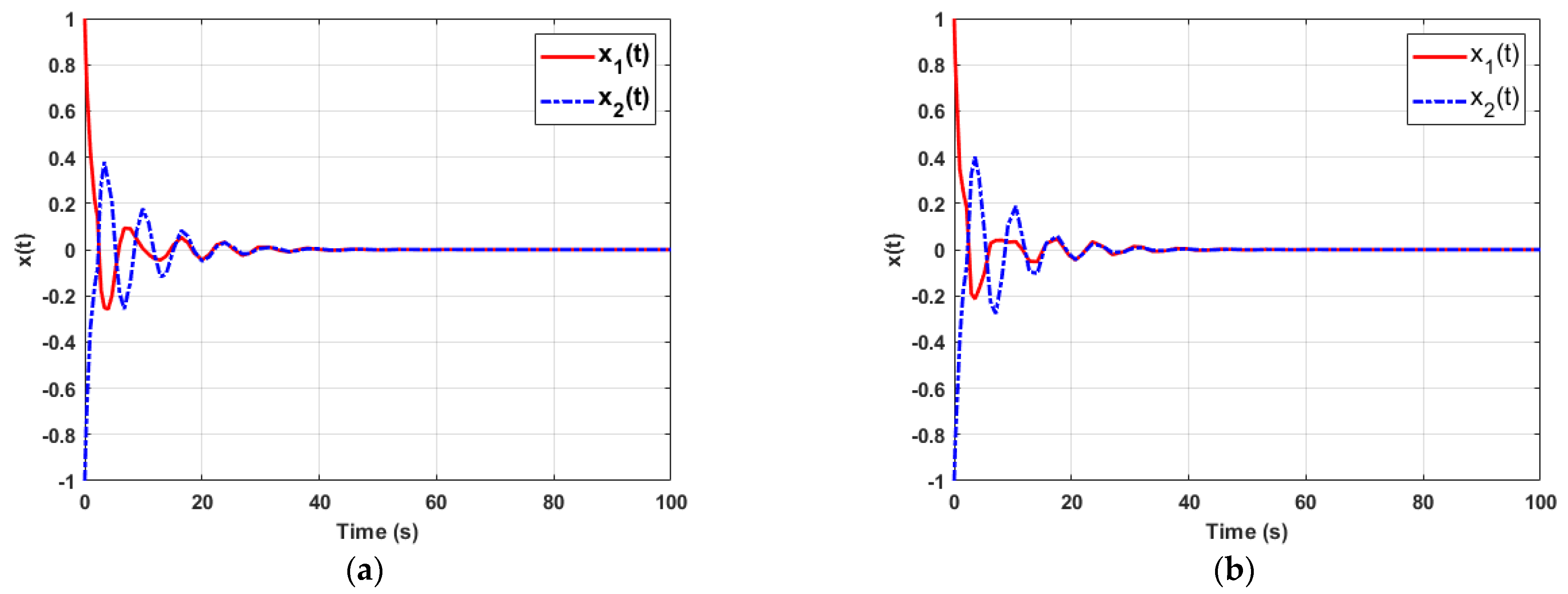
In order to show the effectiveness, the state trajectory simulation result for the system with neutral time-delays is shown in Figure 1 and Figure 2. For Example 1, under the initial condition , the state vectors are asymptotically approaching zero as and , respectively. The state variables are waving in the first 40 s, and then converge to 0 which means the system needs a long time to keep stable with a large time-delay. It indicates that the upper bound of the time-delay we obtain is close to the maximum value, which demonstrates the efficiency of our criteria. For Example 2, Figure 2 shows the stability of systems with initial condition , and time-delay with parameter . One can see that the state trajectory of the system for Example 2 converge to 0 in a short time. The simulation results have denoted the validity of the asymptotical stability criterion proposed in this paper.
Figure 1.
State trajectory of the system for Example 1: (a) State trajectory of the system for Example 1 with ; (b) State trajectory of the system for Example 1 with .
Figure 2.
State trajectory of the system for Example 2 with .
5. Conclusions
This paper investigated the problem of stability with neutral time-delay systems. The variable delayed piecewise points were chosen by setting some alterable constants. Consequently, the interconnect information of the neutral time-delays was sufficiently considered, respectively. Then, a new LK-functional was constructed with the delay partitioning method. Since the delayed piecewise points are variable, the optimal delay points could be arrived at by changing the number of . Further, some integral terms containing neutral delays as upper and lower bounds are posed. Hence, the interconnect information between neutral time-delays was also sufficiently considered. The single/multiple integral inequalities were employed to estimate the derivative of LK-functional. New criteria for neutral-type delay systems are obtained. Finally, the numerical examples have shown the effectiveness of the method proposed in this paper.
Author Contributions
Conceptualization, L.D., L.C. and W.X.; methodology, L.D. and D.H.; software, W.X.; validation, L.D. and D.H.; investigation, L.D., L.C. and D.H.; writing—original draft preparation, L.D. and L.C.; writing—review and editing, L.D. and D.H.; visualization, W.X.; supervision, L.D. and D.H.; project administration, L.D.; funding acquisition, L.D. All authors have read and agreed to the published version of the manuscript.
Funding
This work was supported in part by the Natural Science Foundation of Hunan Province under Grant 2021JJ30544, in part by CSC scholarship under Grant 202008430094, and also in part by Huaihua University Double First-Class Initiative Applied Characteristic Discipline of Control Science and Engineering.
Data Availability Statement
The datasets generated and analyzed during the current study are available from the corresponding author upon reasonable request.
Conflicts of Interest
The authors declare no conflict of interest.
References
- Wu, M.; He, Y.; She, J.H. Stability Analysis and Robust Control of Time-Delay Systems; Springer: Berlin, Germany, 2010. [Google Scholar]
- Park, J.H.; Lee, T.H.; Liu, Y.J.; Chen, J. Dynamic Systems with Time Delays: Stability and Control; Springer: Singapore, 2019. [Google Scholar]
- Kolmanovskii, V.B.; Myshkis, A. Applied Theory of Functional Differential Equations; Kluwer Academic Publishers: Boston, MA, USA, 1992. [Google Scholar]
- Kuang, Y. Delay Differential Equations with Applications in Population Dynamics; Academic Press: Boston, MA, USA, 1993. [Google Scholar]
- Ding, L.M.; He, Y.; Wu, M.; Wang, Q.G. New Augmented Lyapunov-Krasovskii Functional for Stability Analysis of Systems with Additive Time-Varying Delays. Asian J. Control 2018, 20, 1663–1670. [Google Scholar] [CrossRef]
- Chen, J.; Xu, S.Y.; Chen, W.M.; Zhang, B.Y.; Ma, Q.; Zou, Y. Two general integral inequalities and their applications to stability analysis for systems with time-varying delay. Int. J. Robust Nonlinear Control 2016, 26, 4088–4103. [Google Scholar] [CrossRef]
- Chen, J.; Xu, S.Y.; Zhang, B.Y. Single/Multiple Integral Inequalities with Applications to Stability Analysis of Time-Delay Systems. IEEE Trans. Autom. Control 2017, 62, 3488–3493. [Google Scholar] [CrossRef]
- Gu, K.; Niculescu, S. Survey on recent results in the stability and control of time-delay systems. Trans. ASME J. Dyn. Syst. Meas. Control 2003, 125, 158–165. [Google Scholar] [CrossRef]
- Zhang, X.M.; Han, Q.L.; Seuret, A.; Gouaisbaut, F.; He, Y. Overview of recent advances in stability of linear systems with time-varying delays. IET Control Theory Appl. 2019, 13, 1–16. [Google Scholar] [CrossRef]
- He, Y.; Wu, M.; She, J.H.; Liu, G.P. Delay-dependent robust stability criteria for uncertain neutral systems with mixed delays. Syst. Control Lett. 2004, 51, 57–65. [Google Scholar] [CrossRef]
- Liu, X.G.; Wu, M.; Martin, R.; Tang, M.L. Stability analysis for neutral systems with mixed delays. J. Comput. Appl. Math. 2007, 202, 478–497. [Google Scholar] [CrossRef]
- Qian, W.; Liu, J.; Sun, Y.; Fei, S. A less conservative robust stability criteria for uncertain neutral systems with mixed delays. Math. Comput. Simulat. 2010, 80, 1007–1017. [Google Scholar] [CrossRef]
- Chen, Y.G.; Fei, S.M.; Gu, Z.; Li, Y.M. New mixed-delay-dependent robust stability conditions for uncertain linear neutral systems. IET Control Theory Appl. 2014, 8, 606–613. [Google Scholar] [CrossRef]
- Ding, L.M.; He, Y.; Wu, M.; Ning, C.Y. Improved mixed-delay-dependent asymptotic stability criteria for neutral systems. IET Control Theory Appl. 2015, 9, 2180–2187. [Google Scholar] [CrossRef]
- Idrissi, S.; Tissir, E.H.; Boumhidi, I.; Chaibi, N. New delay dependent robust stability criteria for T-S fuzzy systems with constant delay. Int. J. Control Autom. Syst. 2013, 11, 885–892. [Google Scholar] [CrossRef]
- Yang, J.; Luo, W.P.; Wang, Y.H.; Duan, C.S. Improved stability criteria for TS fuzzy systems with time-varying delay by delay-partitioning approach. Int. J. Control Autom. Syst. 2015, 13, 1521–1529. [Google Scholar] [CrossRef]
- Idrissi, S.; Tissir, E.H.; Boumhidi, I.; Chaibi, N. Robust H∞ control for uncertain TS fuzzy systems via delay partitioning approach. Int. J. Ecol. Dev. 2014, 28, 96–108. [Google Scholar]
- Li, T.; Tang, X.L.; Qian, W.; Fei, S.M. Mixed-delay-dependent stability for time-delay neutral system: An improved dynamic Lyapunov method. IET Control Theory Appl. 2019, 9, 869–877. [Google Scholar] [CrossRef]
- Yue, D.; Han, Q.L. A delay-dependent stability criterion of neutral systems and its applicaiton to a partial element equivalent cricuit model. In Proceedings of the 2004 American Control Conference, Boston, MA, USA, 30 June–2 July 2004; IEEE: Piscataway, NJ, USA, 2004. [Google Scholar]
- Sun, J.; Liu, G.P. On improved delay-dependent stability criteria for neutral time-delay systems. Eur. J. Control 2009, 15, 613–623. [Google Scholar] [CrossRef]
- Xiong, L.L.; Cheng, J.; Liu, X.Z.; Wu, T. Improve conditions for neutral delay systems with novel inequlities. J. Nonlinear Sci. Appl. 2017, 10, 2309–2317. [Google Scholar] [CrossRef]
- Kharitonov, V.; Plischke, E. Lyapunov matrices for time-delay systems. Syst. Control Lett. 2006, 55, 697–706. [Google Scholar] [CrossRef]
- Han, Q.L. A new delay-dependent absolute stability criterion for a class of nonlinear systems. Automatica 2008, 44, 272–277. [Google Scholar] [CrossRef]
- He, Y.; Wang, Q.G.; Lin, C.; Wu, M. Augmented Lyapunov functional and delay-dependent stability criteria for neutral systems. Int. J. Robust Nonlinear Control 2019, 7, 104655–104666. [Google Scholar] [CrossRef]
- Duan, W.; Li, Y.; Chen, J. Further stability analysis for time-delayed neural networks based on an augmented Lyapunov functional. IEEE Access 2018, 355, 5957–5967. [Google Scholar] [CrossRef]
- Mahto, S.C.; Elavarasan, R.M.; Ghosh, S.; Saket, R.K.; Hossain, E.; Nagar, S.K. Improved Stability Criteria for Time-Varying Delay System Using Second and First Order Polynomials. IEEE Access 2020, 8, 210961–210969. [Google Scholar] [CrossRef]
- Ding, L.M.; He, Y.; Wu, M.; Zhang, Z.M. A novel delay partitioning method for stability analysis of interval time-varying delay systems. J. Frankl. Inst. 2017, 354, 1209–1219. [Google Scholar] [CrossRef]
- Lee, T.H.; Park, J.H. A novel lyapunov functional for stability of time-varying delay systems via matrix-refined-function. Automatica 2017, 80, 239–242. [Google Scholar] [CrossRef]
- Chen, Y.; Chen, G. Stability analysis of delayed neural networks based on a relaxed delay-product-type lyapunov functional. Neurocomputing 2021, 439, 340–347. [Google Scholar] [CrossRef]
- Mahto, S.C.; Ghosh, S.; Saket, R.K. Shyam Krishna Nagar, Stability analysis of delayed neural network using new delay-product based functionals. Neurocomputing 2020, 417, 106–113. [Google Scholar] [CrossRef]
- Udhayakumar, K.; Rihan, F.A.; Rakkiyappan, R.; Cao, J.D. Fractional-order discontinuous systems with indefinite lkfs: An application to fractional-order neural networks with time delays. Neural Netw. 2021, 145, 319–330. [Google Scholar] [CrossRef]
- Seuret, A.; Gouaisbaut, F. Wirtinger-based integral inequality: Application to time-delay systems. Automatica 2013, 49, 2860–2866. [Google Scholar] [CrossRef]
- Zeng, H.B.; He, Y.; Wu, M.; She, J.H. Free-matrix-based integral inequality for stability analysis of systems with time-varying delay. IEEE Trans. Autom. Control 2015, 60, 2768–2772. [Google Scholar] [CrossRef]
- Park, P.; Lee, W.I.; Lee, S.Y. Auxiliary function-based integral/summation inequalities: Application to continuous/discrete time-delay systems. Int. J. Control Autom. Syst. 2016, 14, 3–11. [Google Scholar] [CrossRef]
- Seuret, A.; Gouaisbaut, F. Stability of linear systems with time-varying delays using Bessel-Legendre inequalities. IEEE Trans. Autom. Control 2018, 63, 225–232. [Google Scholar] [CrossRef]
- Huang, Y.B.; He, Y.; An, J.Q.; Wu, M. Polynomial-type Lyapunov-Krasovskii functional and Jacobi-Bessel inequality: Further results on stability analysis of time-delay systems. IEEE Trans. Autom. Control 2021, 66, 2905–2912. [Google Scholar] [CrossRef]
- Zhao, N.; Lin, C.; Chen, B.; Wang, Q.G. A new double integral inequlity and application to stability test for time-delay systems. Appl. Math. Lett. 2017, 65, 26–31. [Google Scholar] [CrossRef]
- Tian, J.K.; Ren, Z.R.; Zhong, S.M. A new integral inequality and application to stability of time-delay systems. Appl. Math. Lett. 2020, 101, 106058. [Google Scholar] [CrossRef]
- Jin, L.; He, Y.; Jiang, L. A novel integral inequality and its application to stability analysis of linear system with multiple delays. Appl. Math. Lett. 2022, 124, 107648. [Google Scholar] [CrossRef]
- Park, P.G.; Ko, J.W.; Jeong, C. Reciprocally convex approach to stability of systems with time-varying delays. Automatica 2011, 47, 235–238. [Google Scholar] [CrossRef]
- Zhang, C.K.; He, Y.; Jiang, L.; Wu, M.; Wang, Q.G. An extended reciprocally convex matrix inequality for stability analysis of systems with time-varying delay. Automatica 2017, 85, 481–485. [Google Scholar] [CrossRef]
- Zhang, X.M.; Han, Q.L.; Seuret, A.; Gouaisbaut, F. An improved reciprocally convex inequality and an augmented Lyapunov-Krasovskii functional for stability of linear systems with time-varying delay. Automatica 2017, 84, 221–226. [Google Scholar] [CrossRef]
- Seuret, A.; Liu, K.; Gouaisbaut, F. Generalized reciprocally convex combination lemmas and its application to time-delay systems. Automatica 2018, 95, 488–493. [Google Scholar] [CrossRef]
- Zeng, H.B.; Lin, H.C.; He, Y.; Teo, K.L.; Wang, W. Hierarchical stability conditions for time-varying delay systems via an extended reciprocally convex quadratic inequality. J. Frankl. Inst. 2020, 357, 9930–9941. [Google Scholar] [CrossRef]
- Kim, J.H. Further improvement of Jensen inequality and application to stability of time-delayed systems. Automatica 2016, 64, 121–125. [Google Scholar] [CrossRef]
- Zhang, C.K.; Long, F.; He, Y.; Yao, W.; Jiang, L.; Wu, M. A relaxed quadratic function negative-determination lemma and its application to time-delay systems. Automatica 2020, 113, 108764. [Google Scholar] [CrossRef]
- De Oliveira, F.S.; Souza, F.O. Further refinements in stability conditions for time-varying delay systems. Appl. Math. Comput. 2020, 369, 124866. [Google Scholar] [CrossRef]
- Chen, J.; Zhang, X.M.; Park, J.H.; Xu, S.Y. Improved stability criteria for delayed neural networks using a quadratic function negative-definiteness approach. IEEE Trans. Neural Netw. Learn. Syst. 2022, 33, 1348–1354. [Google Scholar] [CrossRef] [PubMed]
Publisher’s Note: MDPI stays neutral with regard to jurisdictional claims in published maps and institutional affiliations. |
© 2022 by the authors. Licensee MDPI, Basel, Switzerland. This article is an open access article distributed under the terms and conditions of the Creative Commons Attribution (CC BY) license (https://creativecommons.org/licenses/by/4.0/).

