Forecasting the Effect of Pre-Exposure Prophylaxis (PrEP) on HIV Propagation with a System of Differential–Difference Equations with Delay
Abstract
1. Introduction
2. Introducing Our Model
3. Mathematical Analysis
3.1. Well-Posedness of the Model
3.2. Steady-States and Basic Reproduction Number
- If , then we have , for all .
- If , then we have , for all .
- If and , then there exists a unique such that for and for , with .
- (i)
- Suppose that there exists such that . Then, the disease-free equilibrium (9) is unstable for .
- (ii)
- Suppose that there exists such that and the disease-free equilibrium (9) is locally asymptotically stable for . Then, it is locally asymptotically stable for all .
- (iii)
- Suppose that . Then, the disease-free equilibrium (9) is locally asymptotically stable for all .
4. Global Stability Analysis
4.1. Global Asymptotic Stability of the Disease-Free Steady-State
4.2. Global Asymptotic Stability of the Endemic Equilibrium
5. Applications to French Clinical Data
5.1. Choice of the Parameters
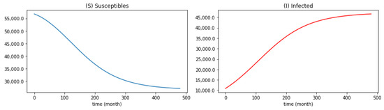
5.2. Numerical Simulations for the General French MSM
5.3. Numerical Simulations for High-Risk Population
6. Conclusions and Discussion
Author Contributions
Funding
Institutional Review Board Statement
Informed Consent Statement
Data Availability Statement
Conflicts of Interest
References
- Van Manen, D.; Delaneau, O.; Koostra, A.; Boeser-Nunnink, B.; Limou, S.; Bol, S.; Burger, J.; Zwinderman, A.; Moerland, P.; van’t Slot, R.; et al. Genome-Wide Association Scan in HIV-1-Infected Individuals Identifying Variants Influencing Disease Course. PLoS ONE 2011, 6, e22208. [Google Scholar] [CrossRef] [PubMed]
- Billioti de Gage, S.; Le Tri, T.; Dray-Spira, R. Suivi de l’utilisation de Truvada® ou Génériques Pour une Prophylaxie Pré-exposition (PrEP) au VIH à Partir des Données du Système National des Données de Santé (SNDS)—Actualisation des Données Jusqu’au 30 Juin 2019 (27/11/2019). 2019. Available online: https://www.epi-phare.fr/app/uploads/2020/04/Billioti-de-Gage-et-al.-2019-Suivi-de-l-%E2%80%99utilisation-de-Truvada%C2%AE-ou-ge%CC%81ne%CC%81riques-p.pdf (accessed on 13 September 2022).
- Silva, C.J.; Torres, D.F.M. A SICA compartmental model in epidemiology with application to HIV/AIDS in Cape Verde. Ecol. Complex. 2017, 30, 70–75. [Google Scholar] [CrossRef]
- Akpa, O.; Oyejola, B. Modeling the transmission dynamics of HIV/AIDS epidemics: An introduction and a review. J. Infect. Dev. Ctries. 2010, 4, 597–608. [Google Scholar] [CrossRef] [PubMed]
- Rivadeneira, P.; Moog, C.; Stan, G.B.; Brunet, C.; Raffi, F.; Ferre, V.; Costanza, V.; Mhawej, M.J.; Biafore, F.; Ouattara, D.A.; et al. Mathematical Modeling of HIV Dynamics After Antiretroviral Therapy Initiation: A Review. BioRes. Open Access 2014, 3, 233–241. [Google Scholar] [CrossRef] [PubMed]
- Liu, D.; Wang, B. A novel time delayed HIV/AIDS model with vaccination & antiretroviral therapy and its stability analysis. Appl. Math. Model. 2013, 37, 4608–4625. [Google Scholar] [CrossRef]
- Nsuami, M.U.; Witbooi, P.J. A model of HIV/AIDS population dynamics including ARV treatment and pre-exposure prophylaxis. Adv. Differ. Equ. 2018, 2018, 1–12. [Google Scholar] [CrossRef]
- Silva, C.J.; Torres, D.F.M. Modeling and optimal control of HIV/AIDS prevention through PrEP. Discret. Contin. Dyn. Syst. 2018, 11, 119–141. [Google Scholar] [CrossRef]
- Simpson, L.; Gumel, A.B. Mathematical assessment of the role of pre-exposure prophylaxis on HIV transmission dynamics. Appl. Math. Comput. 2017, 293, 168–193. [Google Scholar] [CrossRef]
- Pinto, C.M.A.; Carvalho, A.R.M. The impact of pre-exposure prophylaxis (PrEP) and screening on the dynamics of HIV. J. Comput. Appl. Math. 2018, 339, 231–244. [Google Scholar] [CrossRef]
- Adimy, M.; Chekroun, A.; Ferreira, C. Global dynamics of a differential–difference system: A case of Kermack-McKendrick SIR model with age-structured protection phase. Math. Biosci. Eng. 2020, 17, 1329–1354. [Google Scholar] [CrossRef] [PubMed]
- Webb, G.F. Theory of Nonlinear Age-Dependent Population Dynamics; M. Dekker New York; CRC Press: Boca Raton, FL, USA, 1985; p. 294. [Google Scholar]
- Bettencourt, L.; Ribeiro, R. Real Time Bayesian Estimation of the Epidemic Potential of Emerging Infectious Diseases. PLoS ONE 2008, 3, e2185. [Google Scholar] [CrossRef] [PubMed]
- Cazein, F.; Pillonel, J.; Le Strat, Y.; Pinget, R.; Le Vu, S.; Brunet, S.; Thierry, D.; Brand, D.; Leclerc, M.; Benyelles, L.; et al. Découvertes de séropositivité VIH et sida—France, 2003–2013. Bull. Epidemiol. Hebd. 2015, 9–10, 152–161. [Google Scholar]
- Cazein, F.; Pillonel, J.; Sommen, C.; Bruyand, M.; Lydié, N.; Che, D.; Coignard, B.; Lot, F. Bulletin de Santé Publique. Découvertes de séropositivité VIH et diagnostique de SIDA—France, 2018. Bull. Santé Publique Vih/Sida 2019. [Google Scholar]









| Symbols | Signification | Value for General MSM | Value for High-Risk MSM | Unity |
|---|---|---|---|---|
| Probability to keep the PrEP treatment | ||||
| Recruitment | 562 | indiv.months | ||
| Removal rate from the compartments | indiv.months | |||
| HIV transmission rate per infected individual | (indiv.months) | |||
| Duration of the period of PrEP taking | 3 | 3 | months |
| Initial Conditions | Value for MSM | Value for High-Risk MSM |
|---|---|---|
| 2,600,000 | 40,000 | |
| 90,000 | 9000 |
| Semester | Initiation of PrEP | Renewal of the Treatment | Total PrEP Users |
|---|---|---|---|
| S1—2016 | 1166 | ### | 1166 |
| S2—2016 | 1826 | 911 | 2737 |
| S1—2017 | 2193 | 2273 | 4466 |
| S2—2017 | 2564 | 3807 | 6371 |
| S1—2018 | 3138 | 5413 | 8551 |
| S2—2018 | 4488 | 7647 | 12,135 |
| S1—2019 | 5103 | 10,398 | 15,501 |
| Semester | Values of for General MSM | Values of for High-Risk MSMS | Values of |
|---|---|---|---|
| S1—2016 | ### | ||
| S2—2016 | |||
| S1—2017 | |||
| S2—2017 | |||
| S1—2018 | |||
| S2—2018 | |||
| S1—2019 |
| Parameters | Values for General MSM | Values for High-Risk MSM |
|---|---|---|
| K | ||
| r |
| Parameters | Values for MSM | Values for High-Risk MSM |
|---|---|---|
| 230,000 | ||
| 120 | 50 | |
| n | 2 |
Publisher’s Note: MDPI stays neutral with regard to jurisdictional claims in published maps and institutional affiliations. |
© 2022 by the authors. Licensee MDPI, Basel, Switzerland. This article is an open access article distributed under the terms and conditions of the Creative Commons Attribution (CC BY) license (https://creativecommons.org/licenses/by/4.0/).
Share and Cite
Adimy, M.; Molina, J.; Pujo-Menjouet, L.; Ranson, G.; Wu, J. Forecasting the Effect of Pre-Exposure Prophylaxis (PrEP) on HIV Propagation with a System of Differential–Difference Equations with Delay. Mathematics 2022, 10, 4093. https://doi.org/10.3390/math10214093
Adimy M, Molina J, Pujo-Menjouet L, Ranson G, Wu J. Forecasting the Effect of Pre-Exposure Prophylaxis (PrEP) on HIV Propagation with a System of Differential–Difference Equations with Delay. Mathematics. 2022; 10(21):4093. https://doi.org/10.3390/math10214093
Chicago/Turabian StyleAdimy, Mostafa, Julien Molina, Laurent Pujo-Menjouet, Grégoire Ranson, and Jianhong Wu. 2022. "Forecasting the Effect of Pre-Exposure Prophylaxis (PrEP) on HIV Propagation with a System of Differential–Difference Equations with Delay" Mathematics 10, no. 21: 4093. https://doi.org/10.3390/math10214093
APA StyleAdimy, M., Molina, J., Pujo-Menjouet, L., Ranson, G., & Wu, J. (2022). Forecasting the Effect of Pre-Exposure Prophylaxis (PrEP) on HIV Propagation with a System of Differential–Difference Equations with Delay. Mathematics, 10(21), 4093. https://doi.org/10.3390/math10214093

