On One- and Two-Dimensional α–Stancu–Schurer–Kantorovich Operators and Their Approximation Properties
Abstract
:1. Introduction
2. Preliminary Results
3. Order of Approximation
4. Voronovskaja-Type Results
5. Error Analysis
6. Construction of Two-Dimensional –Stancu–Schurer–Kantorovich Operators
7. Convergence of the Operators (13)
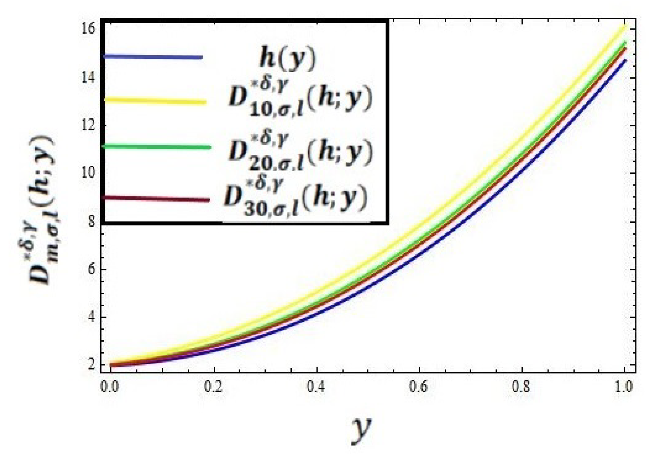
8. Numerical and Graphical Representation for Approximating the Operator (13)
9. Conclusions
Author Contributions
Funding
Institutional Review Board Statement
Informed Consent Statement
Data Availability Statement
Acknowledgments
Conflicts of Interest
References
- Haque, I.; Ali, J.; Mursaleen, M. Solvability of implicit fractional order integral equation in ℓp (1 ≤ p < ∞) space via generalized Darbo’s fixed point theorem. J. Funct. Spaces 2022, 2022, 1674243. [Google Scholar] [CrossRef]
- Garoni, C.; Mazza, M.; Serra-Capizzano, S. Block Generalized Locally Toeplitz Sequences: From the Theory to the Applications. Axioms 2018, 7, 49. [Google Scholar] [CrossRef]
- Khan, M.F.; Khan, E.; Nofal, M.M.; Mursaleen, M. Fuzzy mapped histogram equalization method for contrast enhancement of remotely sensed images. IEEE Acces. 2020, 8, 112454–112461. [Google Scholar] [CrossRef]
- Khan, M.F.; Haider, F.; Al-Hmouz, A.; Mursaleen, M. Development of an intelligent decision support system for attaining sustainable growth within a life insurance company. Mathematics. 2021, 9, 1369. [Google Scholar] [CrossRef]
- Khan, M.F.; Spurgeon, S.K.; Yan, X.G.; Nofal, M.M.; Al-Hmouz, R. Inbuilt tendency of the eIF2 regulatory system to counteract uncertainties. IEEE Trans. NanoBiosci. 2020, 20, 35–41. [Google Scholar] [CrossRef]
- Ali, A.; Irshad, K.; Khan, M.F.; Hossain, M.M.; Al-Duais, I.N.; Malik, M.Z. Artificial intelligence and bio-inspired soft computing-based maximum power plant tracking for a solar photovoltaic system under non-uniform solar irradiance shading conditions—A review. Sustainab. 2021, 13, 10575. [Google Scholar] [CrossRef]
- Khan, M.F.; Dannoun, E.M.; Nofal, M.M.; Mursaleen, M. Significance of camera pixel error in the calibration process of a robotic vision system. Appl. Scienc. 2022, 12, 6406. [Google Scholar] [CrossRef]
- Bernstein, S.N. Démonstration du théoréme de Weierstrass fondée sur le calcul des probabilités. Commun. Kharkov Math. Soc. 1912, 13, 1–2. [Google Scholar]
- Khan, K.; Lobiyal, D.K. Bèzier curves based on Lupaş (p, q)-analogue of Bernstein functions in CAGD. J. Comput. Appl. Math. 2017, 317, 458–477. [Google Scholar] [CrossRef]
- Khan, K.; Lobiyal, D.K.; Kilicman, A. Bèzier curves and surfaces based on modified Bernstein polynomials. Azerbaijan J. Math. 2019, 9, 3–21. [Google Scholar]
- Khan, K.; Lobiyal, D.K.; Kilicman, A. A de Casteljau Algorithm for Bernstein type Polynomials based on (p, q)-integers. Appl. Appl. Math. 2018, 13, 997–1017. [Google Scholar]
- Schurer, F. Linear Positive Operators in Approximation Theory. Ph.D. Thesis, Delft University of Technology (TU Delft), Delft, The Netherlands, 1962. [Google Scholar]
- Chen, X.; Tan, J.; Liu, Z. Approximation of functions by a new family of generalized Bernstein operators. J. Math. Anal. Appl. 2017, 450, 244–261. [Google Scholar] [CrossRef]
- Cai, Q.; Lian, B.Y.; Zhou, G. Approximation Properties of λ-Bernstein operators. J. Inequal. Appl. 2018, 2018, 61. [Google Scholar] [CrossRef] [PubMed]
- Kilicman, A.; Ayman-Mursaleen, M.; Al-Abied, A.A.H.A. Stancu Type Baskakov Durrmeyer Operators and Approximation Properties. Mathematics 2020, 8, 1164. [Google Scholar] [CrossRef]
- Acar, T.; Kajla, A. Degree of approximation for bivariate generalized Bernstein type operators. Results Math. 2018, 73, 79. [Google Scholar] [CrossRef]
- Aral, A.; Erbay, H. Parametric generalization of Baskakov operators. Math. Commun. 2019, 24, 119–131. [Google Scholar]
- Cai, Q.; Aslan, R. On a New Construction of Generalized q-Bernstein Polynomials Based on Shape Parameter λ. Symmetry 2021, 13, 1919. [Google Scholar] [CrossRef]
- Cai, Q.; Kilicman, A.; Ayman-Mursaleen, M. Approximation Properties and q-Statistical Convergence of Stancu-Type Generalized Baskakov-Szász Operators. J. Funct. Spaces 2022, 2022, 2286500. [Google Scholar] [CrossRef]
- Çetin, N. Approximation and geometric properties of complex α-Bernstein operator. Results Math. 2019, 74, 40. [Google Scholar] [CrossRef]
- Çetin, N.; Radu, V.A. Approximation by generalized Bernstein-Stancu operators. Turkish J. Math. 2019, 43, 2032–2048. [Google Scholar] [CrossRef]
- Mohiuddine, S.A.; Acar, T.; Alotaibi, A. Construction of a new family of Bernstein-Kantorovich operators. Math. Methods Appl. Sci. 2017, 40, 7749–7759. [Google Scholar] [CrossRef]
- Aslan, R. Approximation by Szasz-Mirakjan-Durrmeyer operators based on shape parameter λ. Commun. Fac. Sci. Univ. Ank. Ser. A1 Math. Stat. 2022, 71, 407–421. [Google Scholar] [CrossRef]
- Aslan, R.; Mursaleen, M. Some approximation results on a class of new type λ-Bernstein polynomials. J. Math. Inequal. 2022, 16, 445–462. [Google Scholar] [CrossRef]
- Acu, A.M.; Acar, T.; Radu, V.A. Approximation by modified operators. Rev. Real Acad. Cienc. Exactas FíSicas Nat. Ser. Mat. 2019, 113, 2715–2729. [Google Scholar] [CrossRef]
- Agrawal, P.N. Inverse Theorem in Simultaneous Approximation By Micchelli Combination of Bernstein Polynomials. Demonstr. Math. 2017, 31, 1998. [Google Scholar] [CrossRef]
- Nasiruzzaman, M.; Rao, N. A generalized Dunkl type modifications of Phillips operators. J. Inequal Appl. 2018, 2018, 323. [Google Scholar] [CrossRef]
- Ayman-Mursaleen, M.; Serra-Capizzano, S. Statistical Convergence via q-Calculus and a Korovkin’s Type Approximation Theorem. Axioms 2022, 11, 70. [Google Scholar] [CrossRef]
- Ayman-Mursaleen, M.; Kilicman, A.; Nasiruzzaman, M. Approximation by q-Bernstein-Stancu-Kantorovich operators with shifted knots of real parameters. Filomat 2022, 36, 1179–1194. [Google Scholar] [CrossRef]
- Rahman, S.; Mursaleen, M.; Acu, A.M. Approximation properties of λ-Bernstein-Kantorovich operators with shifted knots. Math. Meth. Appl. Sci. 2019, 42, 4042–4053. [Google Scholar] [CrossRef]
- Mursaleen, M.; Al-Abied, A.A.H.; Salman, M.A. Chlodowsky type (λ,q)-Bernstein-Stancu operators. Azerbaijan J. Math. 2020, 10, 75–101. [Google Scholar]
- Braha, N.; Mansour, T.; Mursaleen, M.; Acar, T. Convergence of λ-Bernstein operators via power series summability method. J. Appl. Math. Comput. 2021, 65, 125–146. [Google Scholar] [CrossRef]
- Çetin, N. Approximation by α-Bernstein-Schurer operator. Hacet. J. Math. Stat. 2021, 50, 732–743. [Google Scholar] [CrossRef]
- Rao, N. Pointwise and Uniform Approximation Properties of α-Shurer-Stancu operators. 2022; communicated. [Google Scholar]
- Volkov, V.I. On the convergence of sequence of positive linear operators in the space of continuous functions of two variables. Dokl. Akad. Nauk. 1957, 115, 17–19. (In Russian) [Google Scholar]




| y | |||
|---|---|---|---|
| 0.1 | 0.3359466972 | 0.1634341528 | 0.1076829667 |
| 0.2 | 0.5446198858 | 0.2725230647 | 0.1815299016 |
| 0.3 | 0.7365273448 | 0.3730292257 | 0.2496102364 |
| 0.4 | 0.9097637900 | 0.4639282561 | 0.3112238357 |
| 0.5 | 1.06236899 | 0.5441657615 | 0.3656499644 |
| 0.6 | 1.192318799 | 0.6126519842 | 0.4121435043 |
| 0.7 | 1.2975149875 | 0.66825566 | 0.4499305863 |
| 0.8 | 1.3757737241 | 0.7097969736 | 0.4782035582 |
| 0.9 | 1.4248125475 | 0.7360394949 | 0.4961151963 |
| and | ||
|---|---|---|
| , | 3.52494263 | 2.04157341 |
| , | 0.0006257139 | 0.0000873557 |
| , | 0.0044650040 | 0.00094126079 |
| , | 0.0157503994 | 0.00394907782 |
| , | 0.0394690253 | 0.01089453119 |
| , | 0.0800191042 | 0.02362500785 |
| , | 0.1364247324 | 0.04371864830 |
| , | 0.1802440791 | 0.07212098313 |
| , | 0.0748802638 | 0.07015913210 |
| , | 0.5863803996 | 0.02385931554 |
Publisher’s Note: MDPI stays neutral with regard to jurisdictional claims in published maps and institutional affiliations. |
© 2022 by the authors. Licensee MDPI, Basel, Switzerland. This article is an open access article distributed under the terms and conditions of the Creative Commons Attribution (CC BY) license (https://creativecommons.org/licenses/by/4.0/).
Share and Cite
Heshamuddin, M.; Rao, N.; Lamichhane, B.P.; Kiliçman, A.; Ayman-Mursaleen, M. On One- and Two-Dimensional α–Stancu–Schurer–Kantorovich Operators and Their Approximation Properties. Mathematics 2022, 10, 3227. https://doi.org/10.3390/math10183227
Heshamuddin M, Rao N, Lamichhane BP, Kiliçman A, Ayman-Mursaleen M. On One- and Two-Dimensional α–Stancu–Schurer–Kantorovich Operators and Their Approximation Properties. Mathematics. 2022; 10(18):3227. https://doi.org/10.3390/math10183227
Chicago/Turabian StyleHeshamuddin, Md., Nadeem Rao, Bishnu P. Lamichhane, Adem Kiliçman, and Mohammad Ayman-Mursaleen. 2022. "On One- and Two-Dimensional α–Stancu–Schurer–Kantorovich Operators and Their Approximation Properties" Mathematics 10, no. 18: 3227. https://doi.org/10.3390/math10183227
APA StyleHeshamuddin, M., Rao, N., Lamichhane, B. P., Kiliçman, A., & Ayman-Mursaleen, M. (2022). On One- and Two-Dimensional α–Stancu–Schurer–Kantorovich Operators and Their Approximation Properties. Mathematics, 10(18), 3227. https://doi.org/10.3390/math10183227

