Conceptions and Attitudes of Pre-School and Primary School Teachers towards STEAM Education in Spain
Abstract
1. Introduction
2. Theoretical Framework
3. Research Questions
- -
- Q1: How does a group of practicing and trainee teachers linked to Early Childhood Education and Primary Education conceive of STEAM?
- -
- Q2: What are their attitudes towards STEAM?
- -
- Q3: What initial relationship is found between the general teaching experience, STEAM training, and STEAM teaching experience and their conception of the approach?
4. Methodology
4.1. Design
4.2. Participants
4.3. Data Collection
4.4. Data Analysis
- -
- Isolated: separate and distinct subjects or disciplines. Often considered the traditional form of teaching.
- -
- Connected: An explicit connection between different disciplines is established, deliberately linking subjects rather than assuming that students will automatically understand the connections.
- -
- Nested: A skill or knowledge from another discipline is directed to a subject/discipline. The content of one subject in the curriculum can be used to enrich the teaching of another subject.
- -
- Multidisciplinary: Two or more subject areas are organized around the same theme or topic, but the disciplines retain their identity.
- -
- Interdisciplinary: In the interdisciplinary course, reference may not be made to individual disciplines or subjects. Disciplinary perspectives are lost, and the emphasis is on skills and concepts across subject matter rather than within disciplines.
- -
- Transdisciplinary: The curriculum transcends individual disciplines and focuses on the field of knowledge exemplified in the real world.
5. Results
5.1. Teachers’ Conception of STEAM
5.2. Teachers’ Attitudes towards STEAM
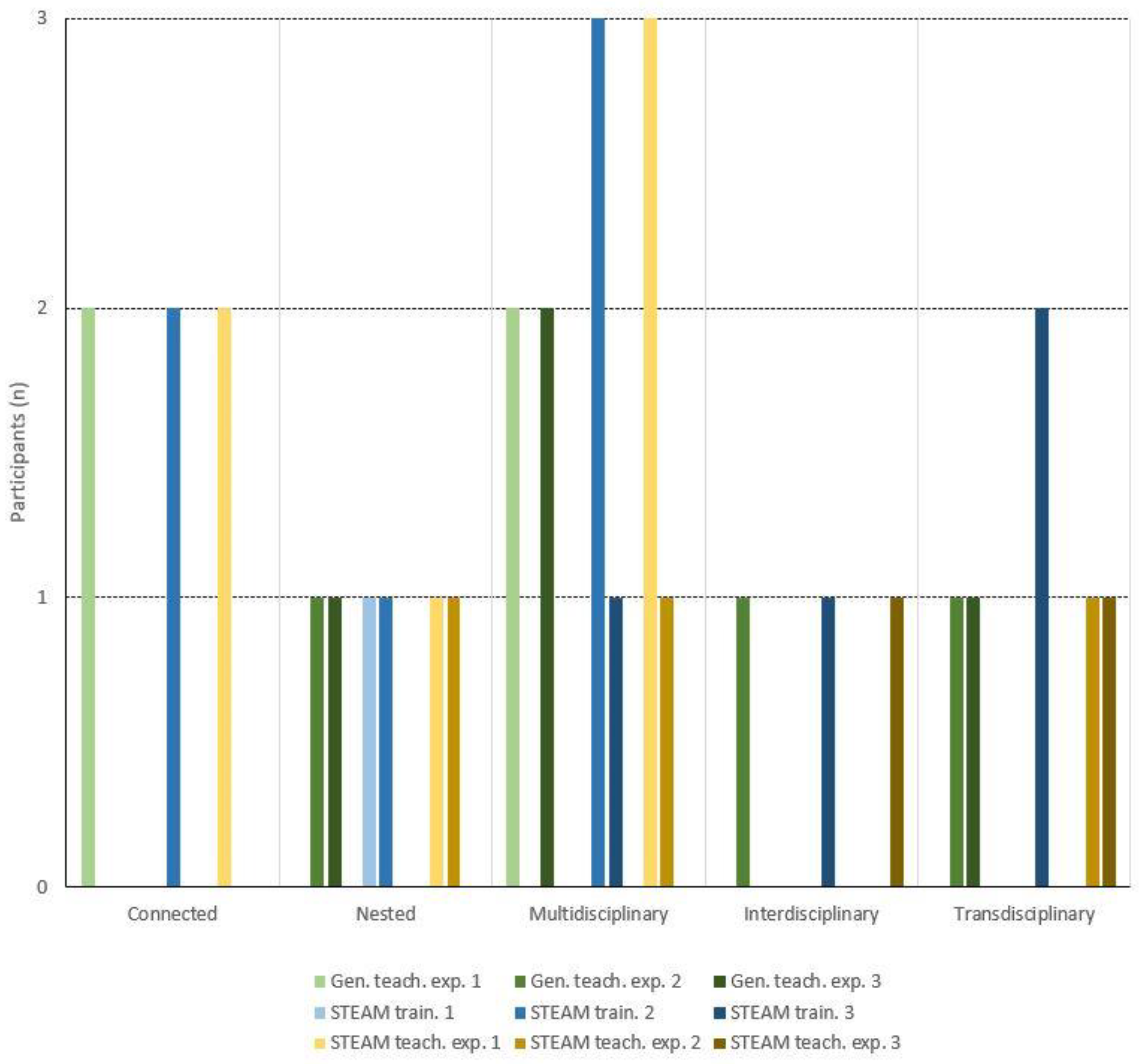
5.3. Initial Relationship Found between General Teaching Experience, STEAM Training, and STEAM Teaching Experience and the Conception of the STEAM Approach
- -
- Connected profile: the subjects found in this profile have little teaching experience in general and in the teaching of STEAM. However, they have curricular training obtained during their undergraduate training. In terms of perceived control, the participants claimed to feel insecure with the implementation of STEAM and noted a lack of training in scientific content.
- -
- Nested profile: participants in this profile showed a lack of teaching experience in STEAM, but their levels of confidence towards STEAM approaches varied.
- -
- Multidisciplinary profile: in this profile, the participants still do not have much STEAM teaching experience, but have a medium or high level of STEAM training. At an affective level, they show some insecurity when teaching.
- -
- Interdisciplinary profile: teachers in this profile have extensive teaching experience and high levels of STEAM training. As far as the affective level is concerned, there is no methodological or content-related insecurity.
- -
- Transdisciplinary profile: at the most advanced level of disciplinary integration are teachers with a great deal of STEAM teaching experience and high levels of training (both in STEAM and in general, for example, with doctoral studies), showing no insecurities when bringing STEAM into the classroom.
6. Discussion
7. Conclusions and Recommendations
Author Contributions
Funding
Institutional Review Board Statement
Informed Consent Statement
Data Availability Statement
Acknowledgments
Conflicts of Interest
Appendix A. Semi-Structured Interview
- How familiar are you with STEAM education? Have you attended any kind of training?
- What kind of experience, as a teacher, have you had with this approach? Could you describe in detail what you have done? Where did you start? What was your goal? What was your aim?
- How would you define integrated STEAM education?
- How do you understand this integration to take place?
- Do you find any kind of barrier or limitation that makes it difficult for you to implement STEAM in the classroom?
- How important do you see integrated STEAM education in the classroom?
- 7.
- How confident are you in incorporating STEAM education into your teaching practice?
- 8.
- How comfortable are you when dealing with content related to mathematics, science, robotics, technology, and/or engineering with children of this age group?
- 9.
- Do you feel confident in planning, teaching, and assessing STEAM activities?
- 10.
- Do you see yourself being able to build new STEAM content and incorporate it into the existing curriculum?
- 11.
- Do you feel that your knowledge of mathematics, science, technology, and/or engineering is adequate to deal with STEAM content in the curriculum?
Appendix B. The Teachers’ Conception of STEAM and Their Overall Profiles (Subject 5 is on the Main Article)
| Subject 1 | ||
|---|---|---|
| Visual representation and explanation | ![]() “STEAM is linked to science: science is in everything and everyone. There is also a clear link to the real world: it is in the real world, science is everywhere and it is in coordination and in union with everything else, music, literature, sport, in relation to people, etc.” | Model C Interdisciplinary level |
| Question 2 interview: STEAM teaching experience | “Whenever there is a real problem that we start from, that we want to solve, we try to approach it from different points of view, always involving the students […]. Sometimes they are enquiry projects, sometimes they are engineering projects, but they start from a real problem, they have a social part, and they always reach an end.” | Transdisciplinary level |
| Question 3 interview: definition of STEAM | “It is that they are not really separate subjects or subjects, but that they are really 100% linked, that there is an intrinsic link between them and that they are complementary to each other.” | Interdisciplinary level |
| Question 4 interview: STEAM integration | “Integration happens through dialogue and cooperation between different teachers.” | |
| Global profile | Interdisciplinary | |
| Subject 2 | ||
|---|---|---|
| Visual representation and explanation | ![]() “In the drawing, apart from writing the meaning of each letter of the acronym, it can be seen that the subjects or areas are linked to each other, there is an integration between the disciplines where they all add something to each other.” | Model E Multidisciplinary level |
| Question 2 interview: STEAM teaching experience | “I’ve always liked the idea of mixing different things because I think that each child can be good at something. In the end, if you use this, you make a group of children and you will always get something positive out of it […]. I did separation of mixtures, I started a bit with science content (what each mixture is, each solution…) and then I continued with engineering and technology […]. It was a project, they had to make a poster….” | Multidisciplinary level |
| Question 3 interview: definition of STEAM | “STEAM is Science, Technology, Engineering, Art and Mathematics. It is to include all subjects or areas. You can put in content from everything and have it all weigh the same and they can learn from all subjects.” | Multidisciplinary |
| Question 4 interview: STEAM integration | “Integrative, that it is something that children can use, with their own experiences and that they live, they understand it much better.” | |
| Global profile | Multidisciplinary | |
| Subject 3 | ||
|---|---|---|
| Visual representation and explanation | ![]() “In this scheme, you can see each letter of the acronym linked by a double arrow to the others. The subjects or areas are linked to each other, and there is an integration between the disciplines.” | Model E Multidisciplinary level |
| Question 2 interview: STEAM teaching experience | “When you do something in the classroom, the aim, above all, is that they like it, that they are motivated and that they learn. Starting with some hypotheses on the blackboard, starting to think and think about it, seeing that we have a problem and how we could solve it breaks the structure of a traditional classroom.” | Multidisciplinary level |
| Question 3 interview: definition of STEAM | “STEAM is preparation to the real world, it has to be all very applied to projects […].” | Interdisciplinary level |
| Question 4 interview: STEAM integration | “Integration is difficult, then you have to be very coordinated with a partner to do a project and they give you a hand.” | |
| Global profile | Multidisciplinary | |
| Subject 4 | ||
|---|---|---|
| Visual representation and explanation | ![]() “In this drawing you can see a pyramid, at the base of which the disciplines are represented. Each of the disciplines ascends towards the top, which is where STEAM is located and also the problems of society.” | Model B Transdisciplinary level |
| Question 2 interview: STEAM teaching experience | “The theme of the intervention was to pose a problem to the students, a hypothetical problem but related to reality, focusing on science and physics content. We also addressed technology, engineering and mathematics […]. Our aim was to develop this social participation […] the aim was to come up with a solution to the problem […]. Various problems arose during the course of the research. This whole learning process was accompanied by a process of social and ethical reflection. They had a practical training, not only theoretical.” | Transdisciplinary level |
| Question 3 interview: definition of STEAM | “It is an educational approach that integrates the four disciplines in problem solving, real or hypothesized problems based on a real context, planned by us.” | Interdisciplinary level |
| Question 4 interview: STEAM integration | “Mixing disciplines to solve a real problem. It is not necessary to include the adjective integrated, with STEAM education we are already alluding to this integration.” | |
| Global profile | Transdisciplinary | |
| Subject 6 | ||
|---|---|---|
| Visual representation and explanation | ![]() “In the diagram you can see the meaning of each letter of the acronym and that it is all in a cloud as a context.” | Model E Connected level |
| Question 2 interview: STEAM teaching experience | “We start with questions about the subject we want to deal with, we guide them with the answers they give us, we give them the materials so that they can try them out. From there, I guide them and help them to do the activities, and we also exemplify it with everyday things. The aim is for the children to work on their own learning, to explore and manipulate, for them to learn and see that they have the capacity to do so.” | Nested level |
| Question 3 interview: definition of STEAM | “In STEAM we have five categories or disciplines, the way to work with them is from a focus, to see what other parts I can work on.” | Connected level |
| Question 4 interview: STEAM integration | “The disciplines have to be related through a project.” | |
| Global profile | Connected | |
| Subject 7 | ||
|---|---|---|
| Visual representation and explanation | ![]() “STEAM is based on different competences, that is to say, they do not work on disciplines, but emphasize basic skills or competences of the real world as opposed to areas or disciplines […].” | Model B Transdisciplinary level |
| Question 2 interview: STEAM teaching experience | “I see that it is a real use of starting to do logical thinking, reasoning, an introduction to engineering […], it favours them a lot […]. You present science to them as a fun project, parents are very involved […]. I get them to ask themselves questions, they have a lot of curiosity and if you develop their interest from a very young age, it will be much better and they also manipulate a lot, which is very important […]. I give them material; we start to investigate, and I leave them time to investigate and to ask themselves questions and then we start to do the activity.” | Transdisciplinary level |
| Question 3 interview: definition of STEAM | “It is to work on absolutely everything, starting from a project to integrate it all, and to integrate all the areas.” | Interdisciplinary level |
| Question 4 interview: STEAM integration | “Integrating it for infants is very easy, I have my own timetable, I am the only one who enters my class, I programme the activities, the visits, because it is also important that experts come to the area in which I am working. I organize the visits and activities with my colleague […].” | |
| Global profile | Transdisciplinary | |
| Subject 8 | ||
|---|---|---|
| Visual representation and explanation | ![]() “In the drawing you can see the meaning of the acronym. In addition, you can see the knowledge or competences that are developed in each of the areas. All of this is included in the same cloud, from which another small morsel comes out referring to social work.” | Model E Interdisciplinary level |
| Question 2 interview: STEAM teaching experience | “It depends on the team I work with. We always try to put a small project in the area of natural sciences. Of course, we collide head-on with the curriculum, so when you have such separate areas and with the division of bilingual and non-bilingual, it makes it a bit difficult to put the projects into practice […]. In the end, the children like it and are much more interested in it. The projects always start from the textbook, it’s something we have to adapt to all the tutors […], we have a worksheet that we’ve been working on since the first year, the scientific method, so they fill in the worksheet, make their hypotheses, their observations and draw their conclusions. The good thing about having been working along the same lines since the first grade is that the children have a certain command of the working method.” | Nested level |
| Question 3 interview: definition of STEAM | “Starting from a topic or content, taking it to the classroom, starting from curriculum content, looking for ways of integrating various areas through the scientific method.” | Nested level |
| Question 4 interview: STEAM integration | “Look for the relationship between various areas to do something that is manipulative and that they can experiment with.” | |
| Global profile | Nested | |
| Subject 9 | ||
|---|---|---|
| Visual representation and explanation | ![]() “I have represented some of the disciplines that make up the approach and some of the methodologies that can be used.” | Model A Nested level |
| Question 2 interview: STEAM teaching experience | “All the sessions start with or are oriented towards a real-life problem or a problem that is generally based on something that can occur in daily life and you have to make sure that it is closely related or relate it in some way to the concepts you are going to work on in the areas you are going to tackle […], the problem is presented to them and it is they who have to ask questions, you have to support them, and guide them and orient them towards the question they are going to work on, following the phases of the scientific method. I think it’s important for them to be aware that they are doing research and they have to go through these phases.” | Multidisciplinary level |
| Question 3 interview: definition of STEAM | “It is a methodology that aims to tackle concepts and content from different areas together.” | Multidisciplinary level |
| Question 4 interview: STEAM integration | “An interrelation of disciplines to try to find a solution to an initial problem.” | |
| Global profile | Multidisciplinary | |
| Subject 10 | ||
|---|---|---|
| Visual representation and explanation | ![]() “There is general education, where the circles are separate, and integrated education, which is within general education, where the circles are together. The small circles represent the different subjects of the curriculum.” “STEAM does not conceive that the acronyms are separate, it is understood that each of the disciplines has to favour the following ones and they also have to complement each other.” | Model D Connected level |
| Question 2 interview: STEAM teaching experience | “Through the centre project (the cathedral), we included robotics and STEAM […]. We worked for nine sessions in a progressive way […], concepts of mathematics, technology, engineering, psychomotricity, etc. One of the main objectives we had was that they should have an embodied cognition, all through different activities […].” | Multidisciplinary level |
| Question 3 interview: definition of STEAM | “STEAM is not thought of as separate letters in an acronym, it is understood that each one of the disciplines has to favour the others and they have also to complement each other.” | Connected level |
| Question 4 interview: STEAM integration | “I understand that not everything has to be there all the time, but if a little bit can be introduced so that everything forms a puzzle and everything fits together, all the better.” | |
| Global profile | Connected | |
| Subject 11 | ||
|---|---|---|
| Visual representation and explanation | ![]() “You can see the children in a circle and around them four circles with the acronym corresponding to interdisciplinarity, the family environment, experience and society.” | Model B Interdisciplinary level |
| Question 2 interview: STEAM teaching experience | “We do projects on something that can motivate the children: magnets, solutions and mixtures, starting with a project related to the Prado Museum, for example […], following the scientific method, observing, manipulating, experimenting, trying to deduce, launching hypotheses and arriving at conclusions.” | Nested level |
| Question 3 interview: definition of STEAM | “The aim is to raise awareness among the children and ourselves, that is to say, that in the face of the logical questions that our children have, starting from the concerns they have and, through small steps that we take systematically, through all the fields and taking into account the objectives we have, we formulate or see and respond to these objectives.” | Nested level |
| Question 4 interview: STEAM integration | “Combining all the fields to achieve the objectives.” | |
| Global profile | Nested | |
References
- Osborne, J.; Dillon, J. Science Education in Europe: Critical Reflections; The Nuffield Foundation: London, UK, 2008. [Google Scholar]
- Erduran, S. Trust in Science and Science Education. Sci. Educ. 2022, 31, 1101–1104. [Google Scholar] [CrossRef] [PubMed]
- Vázquez Alonso, Á.; Manassero Mas, M.A. The decline of students’ attitudes toward Science: A disturbing indicator for science education. Rev. Eureka Sobre Enseñ. Divulg. Las Cienc. 2008, 5, 274–292. Available online: http://revistas.uca.es/index.php/eureka/article/view/3740 (accessed on 23 January 2022).
- Murphy, C.; Beggs, J. Children perceptions of school science. Sch. Sci. Rev. 2003, 84, 109–116. Available online: https://userswww.pd.infn.it/~lacaprar/ProgettoScuola/Biblio/Children_perceptions_science.pdf (accessed on 23 January 2022).
- Confederación de Sociedades Científicas de España. Informe ENCIENDE. Enseñanza de Las Ciencias en La Didáctica Escolar Para Edades Tempranas en España. 2011. Available online: https://www.cosce.org/pdf/Informe_ENCIENDE.pdf (accessed on 23 January 2022).
- Ortiz-Revilla, J.; Greca, I.M.; Adúriz-Bravo, A. Conceptualization of competencies: Systematic review of research in Primary Education. Profesorado Rev. Curríc. Form. Profr. 2021, 25, 223–250. [Google Scholar] [CrossRef]
- Aguilera, D.; Ortiz-Revilla, J. STEM vs. STEAM education and student creativity: A systematic literature review. Educ. Sci. 2021, 11, 331. [Google Scholar] [CrossRef]
- Colucci-Gray, L.; Burnard, P.; Cooke, C.; Davies, R.; Gray, D.; Trowsdale, J. Reviewing the Potential and Challenges of Developing STEAM Education through Creative Pedagogies for 21st Learning: How can School Curricula Be Broadened towards a More Responsive, Dynamic, and Inclusive form of Education? 2017. Available online: https://www.bera.ac.uk/wp-content/uploads/2016/01/100-160-BERA-Research-Commission-Report-STEAM-003-1.pdf?noredirect=1 (accessed on 23 January 2022).
- Greca, I.M.; Ortiz-Revilla, J.; Arriassecq, I. Design and evaluation of a STEAM teaching-learning sequence for primary education. Rev. Eureka Sobre Enseñ. Divulg. Las Cienc. 2021, 18, 1802. [Google Scholar] [CrossRef]
- Kang, N.-H. A review of the effect of integrated STEM or STEAM (science, technology, engineering, arts, and mathematics) education in South Korea. Asia-Pac. Sci. Educ. 2019, 5, 1–22. [Google Scholar] [CrossRef]
- Ortiz-Revilla, J.; Greca, I.M.; Meneses-Villagrá, J.Á. Effects of an integrated STEAM approach on the development of competence in primary education students. J. Study Educ. Dev. 2021, 44, 838–870. [Google Scholar] [CrossRef]
- Duo-Terron, P.; Hinojo-Lucena, F.-J.; Moreno-Guerrero, A.-J.; López-Núñez, J.-A. STEAM in Primary Education. Impact on linguistic and mathematical competences in a disadvantaged context. Front. Educ. 2022, 7, 362. [Google Scholar] [CrossRef]
- Affouneh, S.; Salha, S.; Burgos, D.; Khlaif, Z.N.; Saifi, A.G.; Mater, N.; Odeh, A. Factors that foster and deter STEM profesional development among teachers. Sci. Educ. 2020, 104, 857–872. [Google Scholar] [CrossRef]
- ElSayary, A.; Zein, R.; San Antonio, L. Using interactive technology to develop preservice teachers’ STEAM competencies in early childhood education program. Eurasia J. Math. Sci. Technol. Educ. 2022, 18, 1–12. [Google Scholar] [CrossRef] [PubMed]
- Watermeyer, R.; Montgomery, C. Public dialogue with science and development for teachers of STEM: Linking public dialogue with pedagogic praxis. J. Educ. Teach. Int. Res. Pedagog. 2018, 44, 1–17. [Google Scholar] [CrossRef]
- García-Fuentes, O.; Raposo-Rivas, M.; Martínez-Figueira, M.E. STEAM in Childhood Education: Analysis of content of the official curriculum. Profr. Rev. Curríc. Form. Profr. 2022, 26, 505–524. [Google Scholar] [CrossRef]
- Furner, J.M.; Kumar, D.D. The mathematics and science integration argument: A stand for teacher education. Eurasia J. Math. Sci. Technol. Educ. 2007, 3, 185–189. [Google Scholar] [CrossRef]
- Froyd, J.E.; Ohland, M.W. Integrated engineering curricula. J. Eng. Educ. 2005, 94, 147–164. Available online: https://soe.rutgers.edu/sites/default/files/imce/pdfs/froyd%2Cohland%20-%20integrated%20engineering%20curricula.pdf (accessed on 23 January 2022). [CrossRef]
- Czerniak, C.M.; Weber, W.B.; Sandmann, A.; Ahern, J. A literature review of science and mathematics integration. Sch. Sci. Math. 2010, 99, 421–430. [Google Scholar] [CrossRef]
- Smith, J.; Karr-Kidwell, P. The Interdisciplinary Curriculum: A Literary Review and A Manual for Administrators and Teachers. 2000. Available online: https://files.eric.ed.gov/fulltext/ED443172.pdf (accessed on 23 January 2022).
- Greca, I.M. La Educación STEAM y el desarrollo competencial en la Educación Primaria. In Proyectos STEAM para la Educación Primaria, Fundamentos y Aplicaciones Prácticas; Greca, I.M., Villagrá, J.Á.M., Eds.; Dextra: Bangkok, Thailand, 2018; pp. 19–39. [Google Scholar]
- Ortiz-Revilla, J.; Adúriz-Bravo, A.; Greca, I.M. A framework for epistemological discussion around an integrated STEM education. Sci. Educ. 2020, 29, 857–880. [Google Scholar] [CrossRef]
- Ortiz-Revilla, J.; Greca, I.M.; Arriassecq, I. A theoretical framework for integrated STEM education. Sci. Educ. 2022, 31, 383–404. [Google Scholar] [CrossRef]
- Commonwealth of Australia. Sculpting a National Cultural Plan. 2021. Available online: https://www.aph.gov.au/Parliamentary_Business/Committees/House/Communications/Arts/Report (accessed on 23 January 2022).
- Corfo Fundación Chile. Preparando a Chile para la Sociedad Del Conocimiento: Hacia Una Coalición Que Impulse La Educación STEAM. 2017. Available online: https://winnova.cl/wp-content/uploads/2020/05/STEM_FCh_digital.pdf (accessed on 23 January 2022).
- Korea Foundation for the Advancement of Science and Creativity. Policy Directions of STEAM Education: Introductory Training of KOFAC STEAM; Foundation for the Advancement of Science: Seoul, Republic of Korea, 2012. [Google Scholar]
- Morales, M.P.E.; Anito, J.C.; Avilla, R.A.; Sarmiento, C.P.; Palisoc, C.P.; Elipane, L.E.; Ayuste, T.O.D.; Butron, B.R.; Palomar, B.C. The Philippine STEAM Education Model; Philippine Normal University: Manila, Philippines, 2019. [Google Scholar]
- Gobierno de España. La Respuesta a Las Nuevas Exigencias Sociales. 2021. Available online: https://educagob.educacionyfp.gob.es/lomloe/respuestas.html (accessed on 23 January 2022).
- Gobierno de España. Proyecto de Real Decreto Por el Que Se Establece La Ordenación y Las Enseñanzas Mínimas de La Educación Primaria. 2021. Available online: https://educagob.educacionyfp.gob.es/dam/jcr:a7840694-b80b-4b8a-8494-8120ab6f8a9d/proyecto-rd-educaci-n-primaria-con-anexos.pdf (accessed on 23 January 2022).
- Ortiz-Revilla, J.; Sanz-Camarero, R.; Greca, I.M. A critical look at theoretical models on integrated STEAM education. Rev. Iberoam. Educ. 2021, 87, 13–33. [Google Scholar] [CrossRef]
- Dare, E.A.; Ring-Whalen, E.A.; Roehrig, G.H. Creating a continuum of STEM models: Exploring how K-12 science teachers conceptualize STEM education. Int. J. Sci. Educ. 2019, 41, 1701–1720. [Google Scholar] [CrossRef]
- Martín-Páez, T.; Aguilera, D.; Perales-Palacios, F.J.; Vílchez-González, J.M. What are we talking about when we talk about STEM education? A review of literature. Sci. Educ. 2019, 103, 799–822. [Google Scholar] [CrossRef]
- Thibaut, L.; Ceuppens, S.; De Loof, H.; De Meester, J.; Goovaerts, L.; Struyf, A.; Boeve-de Pauw, J.; Dehaene, W.; Deprez, J.; De Cock, M.; et al. Integrated STEM education: A systematic review of instructional practices in secondary education. Eur. J. STEM Educ. 2018, 3, 2. [Google Scholar] [CrossRef] [PubMed]
- Gresnigt, R.; Taconis, R.; van Keulen, H.; Gravemeijer, K.; Baartman, L. Promoting science and technology in primary education: A review of integrated curricula. Stud. Sci. Educ. 2014, 50, 47–84. [Google Scholar] [CrossRef]
- Tao, Y. Kindergarten teachers’ attitudes toward and confidence for integrated STEM education. J. STEM Educ. Res. 2019, 2, 155–171. [Google Scholar] [CrossRef]
- DeCoito, I. A longitudinal study: Investigating the Impact of an Outreach Program on Students’ Future Course Selection and STEM Career Choices, Phase III; Western University: London, ON, Canada, 2016. [Google Scholar]
- Stains, M.; Vickrey, T. Fidelity of implementation: An overlooked yet critical construct to establish effectiveness of evidence-based instructional practices. Life Sci. Educ. 2017, 16, 1–11. [Google Scholar] [CrossRef]
- Thibaut, L.; Knipprath, H.; Dehaene, W.; Depaepe, F. The influence of teachers’ attitudes and school context on instructional practices in integrated STEM education. Teach. Teach. Educ. 2018, 71, 190–205. [Google Scholar] [CrossRef]
- DeCoito, I.; Myszkal, P. Connecting science instruction and teachers’ self-efficacy and beliefs in STEM education. J. Sci. Teach. Educ. 2018, 29, 485–503. [Google Scholar] [CrossRef]
- Bartels, S.L.; Rupe, K.M.; Lederman, J.S. Shaping preservice teachers’ understandings of STEM: A collaborative math and science methods approach. J. Sci. Teach. Educ. 2019, 30, 660–680. [Google Scholar] [CrossRef]
- Ring, E.A.; Dare, E.A.; Crotty, E.A.; Roehrig, G.H. The evolution of teacher conceptions of STEM education throughout an intensive professional development experience. J. Sci. Teach. Educ. 2017, 28, 444–467. [Google Scholar] [CrossRef]
- García-Carrillo, C.; Greca, I.M.; Fernández-Hawrylak, M. Teacher perspectives on teaching the STEM approach to educational coding and robotics in primary education. Educ. Sci. 2021, 11, 64. [Google Scholar] [CrossRef]
- Carbajo-Barbero, R.M.; Ortiz-Revilla, J.; Greca, I.M. Understanding of some engineering characteristics of teachers in training. Rev. Enseñanza Física 2021, 33, 135–144. Available online: https://revistas.unc.edu.ar/index.php/revistaEF/article/view/35624/35748 (accessed on 23 January 2022).
- Brenneman, K. Assessment for preschool science learning and learning environments. Early Child. Res. Pract. 2011, 13, 1–9. Available online: https://ecrp.illinois.edu/v13n1/brenneman.html (accessed on 23 January 2022).
- Metz, K. Rethinking what is “developmentally appropriate” from a learning progression perspective: The power and the challenge. Rev. Sci. Math. ICT Educ. 2009, 3, 5–22. [Google Scholar] [CrossRef]
- Greenfield, D.B.; Jirout, J.; Dominguez, X.; Greenberg, A.; Maier, M.; Fuccillo, J. Science in the preschool classroom: A programmatic research agenda to improve science readiness. Early Educ. Dev. 2009, 20, 238–264. [Google Scholar] [CrossRef]
- Stohlmann, M.; Moore, T.J.; Cramer, K. Preservice elementary teachers’ mathematical content knowledge from an integrated STEM modelling activity. J. Math. Model. Appl. 2013, 1, 18–31. Available online: https://proxy.furb.br/ojs/index.php/modelling/article/view/3299/2476 (accessed on 23 January 2022).
- Thibaut, L.; Knipprath, H.; Dehaene, W.; Depaepe, F. Teachers’ attitudes toward teaching integrated STEM: The impact of personal background characteristics and school context. Int. J. Sci. Math. Educ. 2019, 17, 987–1007. [Google Scholar] [CrossRef]
- Creswell, J.W.; Guetterman, T.C. Educational Research: Planning, Conducting, and Evaluating Quantitative and Qualitative Research, 6th ed.; Pearson: Boston, MA, USA, 2019. [Google Scholar]
- Francis, J.J.; Johnston, M.; Robertson, C.; Glidewell, L.; Entwistle, V.; Eccles, M.P.; Grimshaw, J.M. What is an adequate sample size? Operationalising data saturation for theory-based interview studies. Psychol. Health 2010, 25, 1229–1245. [Google Scholar] [CrossRef]
- Fontana, A.; Frey, J. The Interview, from Neutral Stance to Political Involvement. In The Sage Handbook of Qualitative Research; Denzin, Y.N.K., Lincoln, S., Eds.; Sage: Washington, DC, USA, 2005; pp. 695–727. [Google Scholar]
- Van Aalderen-Smeets, S.I.; Walma Van Der Molen, J.H.; Asma, L.J.F. Primary teachers’ attitudes toward science: A new theoretical framework. Sci. Educ. 2012, 96, 158–182. [Google Scholar] [CrossRef]
- Corbin, J.; Strauss, A. Basics of Qualitative Research, 4th ed.; Sage: London, UK, 2014. [Google Scholar]
- Braun, V.; Clarke, V. Using thematic analysis in psychology. Qual. Res. Psychol. 2006, 3, 77–101. [Google Scholar] [CrossRef]
- Fridberg, M.; Redfors, A.; Greca, I.M.; García Terceño, E. Spanish and Swedish teachers’ perspective of teaching STEM and robotics in preschool—Results from the botSTEM project. International Journal of Technology and Design Education. Advanced Online Publication. Int. J. Technol. Des. Educ. 2022, 33, 1–21. [Google Scholar] [CrossRef]
- Romero-Ariza, M.; Quesada, A.; Abril, A.M.; Cobo, C. Changing teachers’ self-efficacy, beliefs and practices through STEAM teacher professional development. J. Study Educ. Dev. 2021, 44, 942–969. [Google Scholar] [CrossRef]
- Cañal, P. Student research today. Alambique. Didáctica Las Cienc. Exp. 2007, 52, 9–19. Available online: https://www.grao.com/es/producto/la-investigacion-escolar-hoy-al05215048 (accessed on 23 January 2022).
- Hourigan, M.; O’Dwyer, A.; Leavy, A.M.; Corry, E. Integrated STEM—A step too far in primary education contexts? Ir. Educ. Stud. 2021, 41, 687–711. [Google Scholar] [CrossRef]
- Johnson, T.M.; Byrd, K.O.; Allison, E.R. The impact of integrated STEM modeling on elementary preservice teachers’ self-efficacy for integrated STEM instruction: A co-teaching approach. Sch. Sci. Math. 2021, 121, 25–35. [Google Scholar] [CrossRef]
- Alonso-Centeno, A.; Ortiz-Revilla, J.; Greca, I.M.; Sanz de la Cal, E. Perceptions of STEAM+CLIL integration: Results of a co-teaching proposal during initial teacher training. In Controversial Issues and Social Problems for an Integrated Disciplinary Teaching; Ortega-Sánchez, D., Ed.; Springer: Cham, Switzerland, 2022; pp. 135–151. [Google Scholar] [CrossRef]

| Participant | General Education | General Teaching Experience | STEAM Training | Teaching Experience in STEAM |
|---|---|---|---|---|
| 1 | Doctor of Science, Bachelor of Science in Food Science and Technology, and Bachelor of Science in Chemistry | 10 years in extracurricular scientific activity, associate university lecturer in Science Didactics and teacher at an adult education school | STEAM expert degree and member of the European STEM teacher network | Out-of-school teaching, university teaching, and adult education |
| 2 | Fourth-year undergraduate degree in Primary Education | Two academic internships | Two science teaching subjects (six ECTS on STEAM) | Out-of-school teaching and project management |
| 3 | Degree in Primary Education, Degree in Early Childhood Education, Master’s Degree in Educational Research and Innovation, University Expert in CLIL, and Degree in Educational Centre Management | 20 years in primary education and associate university lecturer in English language teaching | One subject in Science Didactics (three ECTS on STEAM) | Master’s thesis, out-of-school teaching, university teaching, and project work |
| 4 | Bachelor’s Degree in Primary Education and Master’s Degree in Educational Research and Innovation | Two years in university teaching | STEAM expert degree and STEM-related postdoctoral scholarship | University teaching |
| 5 | Degree in Primary Education | 12 years in Primary Education | One subject of Didactics of Science (three ECTS on STEAM) | Carrying out projects |
| 6 | Doctorate in Audiovisual Communication and fourth year of a degree in Primary Education | Private teacher, two academic internships, and extracurricular teaching using STEAM | STEAM expert degree | Out-of-school teaching and managing an internship project |
| 7 | Degree in Early Childhood Education and a Degree in Interpreting for the Deaf | 28 years in Early Childhood Education and specialist in international science projects | STEAM expert degree, member of the European STEM teachers’ network, and courses in Schoolnet and School Gateway | Teaching in Early Childhood Education, carrying out projects through the European e-twinning platform and Science on Stage |
| 8 | Bachelor’s Degree in Primary Education and Bachelor’s Degree in Early Childhood Education | Four years in Primary Education | STEAM expert degree | Extracurricular teaching and project work |
| 9 | Studying fourth Year of Degree in Primary Education | Two academic internships | Two subjects of Didactics of Science (6 ECTS on STEAM) | Final Degree Project, extracurricular teaching, and implementation of internships |
| 10 | Degree in Primary Education and Degree in Early Childhood Education | Four academic internships | STEAM expert degree and three subjects in Didactics of Science (nine ECTS on STEAM) | Master’s Degree Final Project and extracurricular teaching |
| 11 | Degree in Early Childhood Education and Diploma in EGB in science and mathematics | 35 years in Early Childhood Education | Courses in programming and training in Science Didactics | Project implementation |
| Indicators | Scale Score | |||
|---|---|---|---|---|
| 0 = Not at All | 1 = Little | 2 = Quite a Lot | 3 = A Lot of Experience | |
| General teaching experience | No experience | Traineeship | Up to 10 years | More than 10 years |
| STEAM training | No training | Extra-curricular training (courses) | Curricular training (university degrees) | Extra-curricular and curricular training |
| Teaching experience in STEAM | No experience | Development of up to two activities/projects | Development of several activities/projects | Intensive curricular and extracurricular implementation |
| Visual representation and explanation | ![]() “Each letter of the acronym can be seen in an ellipse, with characteristic drawings of each discipline. Each ellipse passes through the centre, so all the letters contribute.” | Model E Multidisciplinary level |
| Question 2 interview: STEAM teaching experience | “We started to work by projects, we created a palette of multiple intelligences, and we created a project in which we had all the intelligences and we associated one with each subject [...]. The projects were based on the teachers’ own initiative and coordination between them, my colleague is not really in favour of this work, so if we don’t coordinate with all the teachers, it can’t be done” | Multidisciplinary level |
| Question 3 interview: definition of STEAM | “Integrated STEAM education means that all of this, art, science, engineering, technology and mathematics, is all integrated in one project.” | Multidisciplinary level |
| Question 4 interview: STEAM integration | “Integration implies that it should always be within the same classroom, that it should be a complete project [...]. When you do the project, the classes and the teachers must be brought together, so that you can work on different tasks, different aspects within the same project at the same time.” | |
| Global profile | Multidisciplinary | |
| Model | Frequency of Choice |
|---|---|
| A | 1 |
| B | 13 |
| C | 2 |
| D | 0 |
| E | 9 |
| F | 6 |
| G | 3 |
| H | 0 |
| Category | Subcategory | Frequency of Reference | |
|---|---|---|---|
| Cognitive | Barriers | Lack of methodological training | 4 |
| Lack of training in content | 6 | ||
| Drivers | Link to the real world | 7 | |
| Inclusive education | 5 | ||
| Meaningful learning | 9 | ||
| Real assessment process | 3 | ||
| Affective | Barriers | Discomfort with content | 6 |
| Insecurity in teaching | 6 | ||
| Costly adaptation | 2 | ||
| Drivers | Comfort with content | 8 | |
| Security in teaching | 8 | ||
| Involvement and active participation of students and third parties | 9 | ||
| Logistic | Barriers | Lack of teaching coordination | 7 |
| Separate subjects | 4 | ||
| Extra work | 3 | ||
| Assessment difficulties | 3 | ||
| Lack of material resources | 4 | ||
| Lack of time | 6 |
| Participant | Global Profile | General Teaching Experience * | STEAM Training | STEAM Teaching Experience |
|---|---|---|---|---|
| 1 | Interdisciplinary | 2 (Primary) | 3 | 3 |
| 2 | Multidisciplinary | 1 (Primary) | 2 | 1 |
| 3 | Multidisciplinary | 3 (Primary) | 2 | 1 |
| 4 | Transdisciplinary | 2 (Primary) | 3 | 3 |
| 5 | Multidisciplinary | 3 (Primary) | 3 | 2 |
| 6 | Connected | 1 (Primary) | 2 | 1 |
| 7 | Transdisciplinary | 3 (Pre-primary) | 3 | 3 |
| 8 | Nested | 2 (Primary) | 2 | 2 |
| 9 | Multidisciplinary | 1 (Primary) | 2 | 1 |
| 10 | Connected | 1 (Pre-primary) | 2 | 1 |
| 11 | Nested | 3 (Pre-primary) | 1 | 1 |
Disclaimer/Publisher’s Note: The statements, opinions and data contained in all publications are solely those of the individual author(s) and contributor(s) and not of MDPI and/or the editor(s). MDPI and/or the editor(s) disclaim responsibility for any injury to people or property resulting from any ideas, methods, instructions or products referred to in the content. |
© 2023 by the authors. Licensee MDPI, Basel, Switzerland. This article is an open access article distributed under the terms and conditions of the Creative Commons Attribution (CC BY) license (https://creativecommons.org/licenses/by/4.0/).
Share and Cite
Ortiz-Revilla, J.; Ruiz-Martín, Á.; Greca, I.M. Conceptions and Attitudes of Pre-School and Primary School Teachers towards STEAM Education in Spain. Educ. Sci. 2023, 13, 377. https://doi.org/10.3390/educsci13040377
Ortiz-Revilla J, Ruiz-Martín Á, Greca IM. Conceptions and Attitudes of Pre-School and Primary School Teachers towards STEAM Education in Spain. Education Sciences. 2023; 13(4):377. https://doi.org/10.3390/educsci13040377
Chicago/Turabian StyleOrtiz-Revilla, Jairo, Ángela Ruiz-Martín, and Ileana M. Greca. 2023. "Conceptions and Attitudes of Pre-School and Primary School Teachers towards STEAM Education in Spain" Education Sciences 13, no. 4: 377. https://doi.org/10.3390/educsci13040377
APA StyleOrtiz-Revilla, J., Ruiz-Martín, Á., & Greca, I. M. (2023). Conceptions and Attitudes of Pre-School and Primary School Teachers towards STEAM Education in Spain. Education Sciences, 13(4), 377. https://doi.org/10.3390/educsci13040377












