Abstract
Narrowing the development gap has long been and continues to be a key element of government aspiration worldwide. Since 2015, the Government of Indonesia has implemented the village fund (VF) transfer to enhance its rural economy, especially in remote areas. The impact of the VF on village development may vary greatly depending on the village’s location. This study examines the causal effects of VF transfer on the rural economic growth of underdeveloped villages in Indonesia. Using a nighttime light dataset at the village level as a proxy for rural economic growth and a regression discontinuity design in time, we found a significant improvement in rural economic growth in underdeveloped villages after the implementation of VF transfer. Our study confirms that the underdeveloped villages in East Indonesia are growing faster than those in West and Central Indonesia. The average growth of nightlight after the implementation of VF is approximately 156% in East Indonesia, 141% in Central Indonesia, and 98% in West Indonesia compared to the growth of pre-VF. Therefore, there is a strong argument to review the current formula of the VF to narrow the rural development gap in Indonesia.
Keywords:
rural development; sustainable development; impact evaluation; intergovernmental transfer; remote sensing application; regression discontinuity design JEL classification:
D63; P25; R11; R12
1. Introduction
The standard of living for most people has been increasing considerably, but addressing inequality and marginalization is challenging, with only a few major success stories to cite (Aiyar and Ebeke 2020; Benjamin et al. 2011; Casey and Owen 2014; Liang 2017). Millions of people have been left behind and are unable to participate in advancing human development, technological innovation, and economic growth. The United Nations’ Sustainable Development Goals (SDGs) stipulate that the pledge to leave no one behind means eradicating all types of poverty; reducing inequality between individuals, citizens, and communities; and attempting to overcome disparities that can arise from geography or elements of social identity (United Nations Development Programme 2018). Therefore, marginalized people, including people in the lagging region, have become priorities in development programs.
Existing studies have shown that heterogeneous countries with high development disparities between rural and urban areas would face considerable obstacles in achieving the SDGs due to poverty, agricultural, rural underdevelopment, and public welfare, which are closely associated to rural regions and play a role in the instability of emerging economies (Azam 2019; Yin et al. 2019). Indonesia, a country with a diversified economic landscape, from skyscrapers in Jakarta to mountain peaks in Papua, has dynamic rural-urban disparities. Figure 1 shows a high degree of inequality between the urban and rural areas in the country. Rural areas have higher poverty rates than urban areas, indicating the persistence of significant regional disparities in Indonesia.
Figure 1.
Gini-based household expenditure (a) and poverty rate across the year (b).
Rural underdevelopment is frequently regarded as the primary determinant of regional underdevelopment (de Janvry and Sadoulet 2009, 2021) and the leading cause of the urban-rural gap in Indonesia (Salim et al. 2017). To address rural underdevelopment, Bednarska-Olejniczak et al. (2020) proposed the application of the SDGs from the bottom up. In this regard, the lowest level of government plays an important role and requires adequate resources for implementing regional development to achieve the SDGs.
In Indonesia, the village is the lowest government level. According to the National Socio-Economic Survey (Susenas), around 65% of Indonesia’s population lives in rural areas. Following Village Law No. 6 of 2014, the Indonesian government devolved most of its budgeting authorities to village-level governments to hasten rural development through village fund (VF) transfers. As an intergovernmental transfer scheme directed at the lowest government level, VF transfer is an essential national program because of the substantial funds it distributes (10% of the total intergovernmental transfer). Through the 1-Village-1-Billion scheme, the VF program in Indonesia is one of the world’s largest intergovernmental transfers directed to the lowest level of government. Between 2015 and 2020, the Indonesian government transferred more than IDR257 trillion (or about USD18 billion at the current exchange rate) to village governments.
However, studies examining the causal effects of VFs using appropriate impact evaluation methods remain limited. The scarcity of research on this topic is primarily attributed to difficulties in examining causal effects because of the lack of a counterfactual group. Previous studies that have attempted to examine the impacts of VFs are largely descriptive and only based on correlations (see, for example, Arham and Hatu 2020; Fitriyani et al. 2018; Harun et al. 2020; Ismail et al. 2020; Permatasari et al. 2021; Susilo et al. 2021; Wahyudi et al. 2022). They failed to analyze the causality of the VF program. Therefore, to identify the causal impacts of VFs on rural economic growth in underdeveloped villages, in this study, we used a regression discontinuity design (RDD) in time to evaluate villages before and after VF implementation (Cattaneo et al. 2019a, 2019b; Khandker et al. 2010).
Another potential problem in examining the causal effects of VFs on rural economic growth is the lack of data on economic activity in underdeveloped villages. Traditionally, gross domestic product (GDP) has been established as a measure of economic growth and has become an essential variable in economic growth evaluation (Aiyar and Ebeke 2020; Banerjee and Duflo 2011; Canavire-Bacarreza et al. 2020; Chanda and Kabiraj 2020; de Janvry and Sadoulet 2021; Liu et al. 2019; Suryahadi et al. 2009). Nevertheless, measuring real GDP in small-area entities, such as the village level, is highly complicated. According to Henderson et al. (2012), satellite luminosity data can be used as a proxy for rural economic growth when reliable statistics are unavailable. The idea is that night light intensity reflects outdoor and indoor lighting use. As per capita income increases because of production processes, the use of lighting for consumption and investment activities also increases. Therefore, a higher intensity of nighttime lights (NTLs) indicates a higher level of economic activity in the region.
In this study, we examine the causal effects of VFs on rural economic growth in underdeveloped villages in Indonesia and contribute to the existing literature based on several mechanisms. First, we offer an alternative to the existing research by utilizing the RDD in time as a running variable to evaluate VF impacts on rural economic growth in underdeveloped villages. Second, to the best of our knowledge, this is the first study to use the most appropriate data for describing the rural economic activity, NTL data, because of the lack of rural economic activity data in underdeveloped villages. Third, we analyze underdeveloped villages in Indonesia as part of the pledge to leave no one behind, which is the commitment to the SDGs. Our empirical strategy consists of three steps. (i) We calculated the monthly average light intensity (ALI) of approximately 26,000 underdeveloped villages between January 2014 and December 2019 for around 725,000 observations. (ii) We then ran the RDD to determine the causal effects of VFs on rural economic growth. (iii) Finally, we examined the validity tests and robustness checks.
2. Literature Review
2.1. Overview of Village Development
Decentralization and local government reforms have become popular in developing countries (Martinez-Vazquez et al. 2017; World Bank 2005). Local governments, which are closer to the people, are believed to provide public goods more efficiently than the central government (Arends 2020). Many developing countries have reformed their decentralization policies at the lowest government levels, such as at the village level, including Thailand, Cambodia, and Vietnam (Boonperm et al. 2013; Romeo and Luc 2004; World Bank 2005). In 2014, the Indonesian government issued Village Law No. 6 of 2014, mandating decentralization at the village level. The Village Law heralded a new era in the history of Indonesian decentralization and provided optimism for improving rural development and community welfare. The policy aims to improve access to and the delivery of public services, strengthen the responsibilities of village governments, and provide a legal and financial framework for Indonesian villagers to participate in rural development (Lewis 2015). The devolution of authority to villages also aims to promote equitable access to services across all regions in Indonesia to address national inequality.
To meet the objective of village development, the government initiated the VF program. Through the 1-Village-1-Billion scheme, the Indonesian government transferred more than IDR257 trillion (or about USD18 billion at the current exchange rate) between 2015 and 2020 to village governments. In contrast to Thailand’s million baht VF (approximately USD24,000 for each village), which was only used to establish a village financial institution for making loans within villages (Boonperm et al. 2013; Kaboski and Townsend 2012; Menkhoff and Rungruxsirivorn 2011), VF transfers in Indonesia were used to fund rural development in around 75,000 villages. As a result, VFs have allocated more resources to local villages, allowing them to provide services, build infrastructure, boost the potential of local economies, promote community welfare, and minimize regional disparities. Villages can now plan and manage the needs of their communities based on local development. It is expected that village administration and the economy will improve because of increased financial assistance through VFs.
The Ministry of Villages, Disadvantaged Regions, and Transmigration developed the Village Development Index (VDI) to classify villages in Indonesia (Table 1). The VDI is an essential indicator of community development because it measures the level of development in a village. As a composite index that describes a village’s level of development, the VDI covers the following five dimensions: essential services, infrastructure, transportation, general service, and government administration. Villages are classified based on the VDI into independent, developing, and underdeveloped villages.
Table 1.
Villages based on VDI categorization in 2014–2018.
Rencana Pembangunan Jangka Menengah Nasional (National Medium-Term Development Plan) 2015–2019 outlines the development goals that must be reached during the next five years in the country. The goal is to decrease the number of underdeveloped villages by 5000 and improve the number of advanced villages by 2000. Figure 2a,b show the maps of villages by VDI in 2014 and 2018. Most independent villages are located on Java and Sumatra islands, whereas the underdeveloped villages are located on the islands of Kalimantan, Sulawesi, and Papua.

Figure 2.
(a) Indonesia’s VDI 2014. (b) Indonesia’s VDI 2018. Source: Statistics Indonesia.
During the initial implementation of the VF policy in 2015, the Indonesian government set the amount of VFs in each district based on the concept of equity. The VF transfers were divided into a basic allocation (90%) and a formula-based allocation (10%). The basic allocation is distributed evenly based on the number of villages in each district, whereas the formula-based allocation considers population size, poor population size, area, and geographical difficulties. According to Lewis (2015), the implementation of VFs in the country was excessively hurried and unplanned, with only a small fraction of the formula allocation considering Indonesia’s uniqueness and diversity. A reformulation of VF distribution is required to speed up poverty alleviation, eliminate inequality, and provide incentives for highly underdeveloped and underdeveloped villages with a high number of poor people. Therefore, the government improved the policy by modifying the VF allocation pattern to one that considers village characteristics, such as population size, inadequate population size, geographical difficulties, and expensive construction (Figure 3).
Figure 3.
VF allocation 2019.
2.2. Village Fund Utilization and the SDGs
To accelerate the achievement of the SDGs, the government and communities play important roles. Communities, specifically rural communities, have social bonds, togetherness, and solidarity (Soerjatisnanta and Natamihardja 2016). Villages have a democratic culture in which openness, involvement, and deliberation are the foundations for decision-making. This description strongly engages with the essential principles in implementing the SDGs and could, therefore, encourage the adoption of the SDGs by village governments.
As stated in the Ministry of Village Regulation No. 5 in 2015, VFs are prioritized to achieve village development goals (including enhancing rural welfare, improving the quality of human life, and eradicating poverty) and community empowerment. VFs fulfill basic needs and promote infrastructure development, local economic development, and the sustainable use of natural resources and the environment (Figure 4). The use of VFs for community empowerment is realized through the following four priorities: village planning improvement, capacity building, supporting village-owned enterprise operations, and health promotion.
Figure 4.
VF utilization priority.
Soerjatisnanta and Natamihardja (2016) developed a map of VF allocations that corresponded to the SDGs, as shown in Table 2. The use of VFs can help realize the SDGs, except for three SDG agendas. A possible explanation is that the village government has no authority over the three SDG agendas. Therefore, VFs may be used to support the achievement of the SDGs through the enactment of appropriate regulations that allow these funds to be used for accomplishing the SDGs (Permatasari et al. 2021).
Table 2.
SDG agenda and VF priority.
3. Material and Method
We used four main steps to evaluate the impacts of VF transfer on underdeveloped villages in Indonesia. First, we collected basic data for impact evaluation. Second, we corrected NTL data by referring to previous studies. Third, we evaluated the impacts of VFs on rural economic growth using the RDD. Finally, we analyzed the results (Figure 5).
Figure 5.
Flowchart of data processing.
3.1. Data
This study used villages as the unit of analysis. We obtained monthly NTL data from the cloud-free version of the Visible Infrared Imaging Radiometer Suite-Day Night Band (VIIRS-DNB) by the National Oceanic and Atmospheric Administration to identify the rural economic growth of each village from January 2014 to December 2019 (https://eogdata.mines.edu/nighttime_light accessed on 12 January 2021). In VIIRS-DNB satellite data, Indonesia is located on tile 3 (75 N/60 E to 00 N/120E) and tile 6 (00N/60E to 65S/120E). NTL data were matched with the village map data sourced from Statistics Indonesia to calculate the ALI per village. We excluded DKI Jakarta and other urban areas because they did not meet the requirements.
The research was limited to underdeveloped villages based on their 2014 VDIs. The total number of observations in this study was about 725,000. We used village geographic features, such as area, elevation, ruggedness, temperature, and topography, as covariates. We used a map of administrative village boundaries from Statistics Indonesia to determine the village area. We also extracted the National Aeronautics and Space Administration and the United States Geological Survey satellite data to determine how high each village was and how rough the terrain was. In addition, we used satellite data from MODIS/MOD11A2006 Terra Land Surface Temperature and Emissivity to obtain the temperature data for each village. Then, we used Village Potential Data conducted by Statistics Indonesia to get the topography for each village.
3.2. Measuring Rural Economic Growth from Average Light Intensity
Several studies have established a potential relationship between NTL and a variety of other factors, such as economic activity (Gibson et al. 2021; Henderson et al. 2012; Laurini 2016; Mellander et al. 2015; Gibson et al. 2020), poverty evaluation (Engstrom et al. 2017; Noor et al. 2008; Pan et al. 2020), regional inequality (Ivan et al. 2020; Lessmann and Seidel 2017; Wu et al. 2018; Zheng 2021), human well-being measurement (Elvidge et al. 2012; Ghosh et al. 2013), and urban structure (Yudhistira et al. 2019). NTL imaging gives researchers several advantages in terms of accessibility, efficiency, spatial resolution, and processing time. However, as a proxy for economic activity, NTL has a limitation because not all types of economic activities can be recorded at night. The lack of power in rural areas impedes the accuracy of NTL estimates of rural economic activity. Nevertheless, our observations show that Indonesia has nearly reached a 100% electrification rate, suggesting that electricity is available in practically every section of the country. In this study, we used NTL to predict rural economic growth when there were insufficient village-level economic activity data.
To measure light density, we referred to the studies of Doll et al. (2006); Ghosh et al. (2013); Guerrero and Mendoza (2019); Henderson et al. (2012); Marx and Gosh (2014); and Singhal et al. (2020). Before measuring the ALI, we adjusted the initial VIIRS-DNB data by removing stray light, lighting, moon illumination, and cloud cover in tropical countries. We modified the approaches of Shi et al. (2014) and Yu et al. (2015) to conduct this procedure. The following steps were taken to adjust NTL: (1) masking was created by defining pixels to positive DN values; (2) negative pixel values were transformed to zero; and (3) VIIRS-DNB data were modified using the optimal threshold value determined by the economic development of Indonesia’s major cities. The most relevant criterion in this investigation was DKI Jakarta. We used night light intensity to measure economic activity in the community after removing outliers. Figure 6a,b show the NTL on Java Island before and after the cleaning process.
Figure 6.
(a) NTL data before the correction process on Java Island, June 2019. (b) NTL data after the correction process on Java Island, June 2019.
After the dataset correcting process, the ALI was calculated as the sum of all pixels with positive intensity values divided by the total number of pixels with positive intensity values in the village area (Yu et al. 2015).
where is the ALI in village i at time t, and indicates the total amount of corrected NTL on village i at time t, as measured by the sum of all pixels in the administrative village boundaries’ area. is the total number of pixels with a positive luminosity value in the village i at time t.
3.3. Empirical Strategy
A randomized controlled trial (RCT) is one of the most well-known impact evaluation tools. The RCT is the gold standard for determining whether a program is effective. However, conducting an RCT to evaluate a program is complicated. The primary challenge is finding a good counterfactual, namely, the condition that would have happened to a participant if they had not been exposed to the program (Khandker et al. 2010).
The VF program was applied to all villages in Indonesia; as a result, estimating the causal effects of VFs was challenging due to the lack of a counterfactual group. To overcome this challenge, we applied the RDD in time as a running variable, in a similar way to other studies (see Clark et al. 2020; Luechinger and Roth 2016; Yudhistira et al. 2020). The RDD is frequently used in program evaluation and treatment effect settings (Cattaneo et al. 2014, 2019a, 2019b, 2021; Cattaneo and Vazquez-Bare 2017; Kolesár and Rothe 2018). Generally, the following three fundamental components define the RDD: a score (also known as a running variable), a cutoff, and a treatment procedure that places observations on the treatment or control, depending on the score and cutoff. This study used distance to a month of VF transfer as the assignment variable; therefore, our RD applications had discrete scores.
A critical issue when deciding how an RDD with a discrete score can be analyzed is the number of distinct mass points. Cattaneo et al. (2019b) highlighted that when the RD running variable is not a continuous random variable, local polynomial methods may not be directly applicable. Local polynomial approaches may still be appropriate when the score is discrete, but the mass points are sufficiently large. Nevertheless, local polynomial algorithms will be inapplicable if the number of mass points is extremely small.
A preferable option in the RDD with a discrete running variable and a few mass points is to use local randomization methods. The running variable in this study was discrete, with 72 mass points, which means that our mass points were small. Therefore, our estimates in this study were derived from the local randomization method. In our RD estimation, we also needed to select a bandwidth close to the cutoff and compare the average outcomes above and below the cutoff.
The local randomization approach is based on the concept that the treatment assignment is as good as a random assignment in the neighborhood of the cutoff. Cattaneo et al. (2014, 2019b) stated that there is a small window around the cutoff so that for all units with scores within the window, the cutoff is assigned as in a randomized experiment, which is defined as a random assignment. If the score is discrete, the local randomization technique can eliminate the requirement for window selection because the small window seems to be well defined (Calonico et al. 2014, 2021; Cattaneo et al. 2019b; Cattaneo and Vazquez-Bare 2017; Kolesár and Rothe 2018).
To define an appropriate cutoff for building counterfactual data, we assumed that the effects of VFs started in January 2017 based on several considerations. First, the disbursement of VFs in 2015 only covered 20% of the total villages, so those villages that received VFs in 2015 were dropped from the observations to obtain counterfactual data. Second, in 2016, VFs were transferred in the following three tranches: 40% in April 2016, 40% in August 2016, and 20% in October 2016. Finally, all villages received and used their VFs, which started in January 2017. Therefore, January 2017 is the best cutoff to distinguish the effects before and after the VF transfers.
The data are compiled so that the application of the VF transfer policy genuinely follows the conditions of the time used, namely, using a cutoff in January 2017; before January 2017 is the period before the implementation of the VF policy, and after January 2017 is the period after the enactment of the VF transfer. Our strategy for estimating rural economic growth using the night light indicator assumes that the running variable can explain the discontinuous transfer of VFs covering all villages in Indonesia in 2017.
We estimated the impacts of VF transfers on rural economic growth in underdeveloped villages in Indonesia, as measured by the monthly ALI. To determine the causal effects of VFs, we used specifications of the following form:
In this equation, the dependent variable is the rural economic growth measured with the ALI in village i at month t, presented in a natural logarithm. The variable of interest is the dummy variable that captures the VF transfer policy. The value is 1 for the period after the VF transfer and 0 otherwise. We controlled for Equation (2) by adding covariates , including geographical conditions, such as area, elevation, ruggedness, temperature, and a dummy for the topography area, whose value is 1 for the mainland and 0 otherwise. is the running variable with a polynomial time trend.
4. Result and Discussion
4.1. Results of the ALI Calculation
Before the description of the core results of the RDD method, examining the ALI in underdeveloped villages in Indonesia from 2014 to 2019 is instructive (Figure 7). Indonesia is often divided into the west, central, and east regions. Each region contains islands, which are as follows:
Figure 7.
ALI of underdeveloped villages across the region.
- (1)
- West Indonesia, an advanced region, consists of Sumatra, Java, and Bali islands.
- (2)
- Central Indonesia, a developing region, consists of Kalimantan, Sulawesi, and Nusa Tenggara islands.
- (3)
- East Indonesia, a remote region, consists of Maluku and Papua islands.
As illustrated in Figure 7, the ALI dramatically increased in all regions after VF transfers were implemented. A significant increase in the ALI indicates that VF transfer results in improvements in rural economic growth in underdeveloped villages. What stands out in Figure 7 is the relatively high disparity between regions, with the ALI in West Indonesia being significantly higher than that in the other regions. In general, most development is concentrated in West Indonesia. Therefore, Central and East Indonesia must pursue development to avoid falling behind.
We compared the characteristics of the treatment and control villages based on the implementation of VF transfer. Table 3 presents the descriptive statistics for the pre (2014–2016) and post (2017–2019) treatments. Generally, geographical features do not show significant differences before and after VF transfer. However, if there was a discrepancy, a possible explanation is forming new villages and expanding existing ones. This is reasonable because of several factors, including village governments’ management of the VF transfer policy, which expressed the desire to manage their VFs independently. Another possible explanation is that new villages are formed because of a desire to accelerate an area’s development and empowerment process. Considering factors such as area and population, village communities assume that if they still join the old villages, the development and empowerment process of these villages will slow down. Therefore, the community proposed the formation of new villages.
Table 3.
Descriptive statistics of underdeveloped villages in Indonesia.
4.2. Baseline Estimates
In this section, we begin our discussion by defining graphical presentations and the technique for generating them in the RDD framework. Graphical representations are a simple, yet effective, means of visualizing the RDD identification technique, considering that (1) they should be the initial step in any RD analysis, (2) they have an intuitive way of visualizing the RD approach, and (3) the mechanisms used for graphical analyses serve as the foundation for our discussion of empirical estimation (Calonico et al. 2015; Cattaneo et al. 2019a; Jacob et al. 2012).
Furthermore, the RD plot shows the monthly ALI across the Indonesian islands from January 2014 to December 2019 (Figure 8). On the right-hand side of the cutoff, after January 2017, there was an increasing trend in the ALI. We fitted a local linear regression to estimate the value for each side of the cutoff in January 2017, when VF transfers were implemented for all villages in Indonesia. The scatterplot indicates an apparent positive relationship between the running variable and the outcome. Thus, after VFs were transferred, underdeveloped villages tended to have a higher ALI than before.
Figure 8.
Average nighttime light monthly in underdeveloped villages of Indonesia. Note: the vertical dashed line denotes the month of the VF transfer’s full implementation in January 2017. As Equation (2) describes, the gray dots reflect the monthly residual’s average NTL in a natural logarithm. The green and yellow lines represent the fitted curves.
Table 4 displays the results from the estimation using Equation (2). Panel A depicts the RDD estimate without covariates across the region, whereas Panel B shows the RDD estimate using all covariates (area, elevation, ruggedness, temperature, and topography). We found a significant increase in the ALI as a proxy for rural economic growth of around 115.9%, with a robust p-value less than 0.01 after the implementation of VF transfer (Table 3, Panel A, Column 1). Our findings show that VF transfer improves the quality of life in underdeveloped villages. This result is similar to those obtained by Azam (2019); Chandoevwit and Ashakul (2008); and Liu et al. (2019), in which an increase in the capacity level of development (authority and funds) helps to improve economic growth. This finding is also consistent with those obtained by Muinelo-Gallo et al. (2017); Kim and Samudro (2017); Liu et al. (2019); and Zheng (2021). They found a positive impact of intergovernmental transfer on economic growth.
Table 4.
Impacts of VFs on rural economic growth in underdeveloped villages: baseline results of the RDD.
Furthermore, we found that the impacts of VFs on rural economic growth across regions are statistically significant at the 1% level in the same direction. The highest increase in rural economic growth because of VFs can be observed in East Indonesia, a remote area, demonstrating a 153.7% increase. The lowest increase can be observed in West Indonesia, an advanced area. The heterogeneous outcome of VF transfer programs might be determined by other factors that help villages obtain the benefits of VFs, such as financial literacy (Harun et al. 2020), management, and public knowledge dissemination (Arifin et al. 2020).
In short, our findings indicate that poor regions grow faster than rich regions. This unexpected result could be a convergence indicator that requires further investigation. A large and growing body of literature has investigated convergence through different approaches, methods, and ways (Islam 2003). In turn, the debate has led to many different interpretations of convergence. Nevertheless, our results might be available as a starting point for analyzing whether convergence occurs among villages in Indonesia.
4.3. Tests of the Validity of the RDD Approach
We conducted validation tests based on the treatment impact on the predetermined covariates defined before the treatment was applied. All predetermined covariates were assessed using the same technique as the outcome of interest. Given that the treatment could not have influenced the predetermined covariates, the null hypothesis of no treatment effect must not be rejected.
This study used a dataset of around 725,000 observations, with 72 mass points. This number was relatively small, so we used local randomization for the validity test. An advantage of the local randomization conceptual framework is that it can be used even with few mass points in the running variable. With a window of (−1, 1), the results of the predetermined covariates are reported in Table 5. The Fisherian null hypothesis is that VFs do not affect the covariates. The treated and controlled villages appear identical in area, elevation, ruggedness, temperature, and dummy topography.
Table 5.
Effects of RD on the predetermined covariates, local randomization approach.
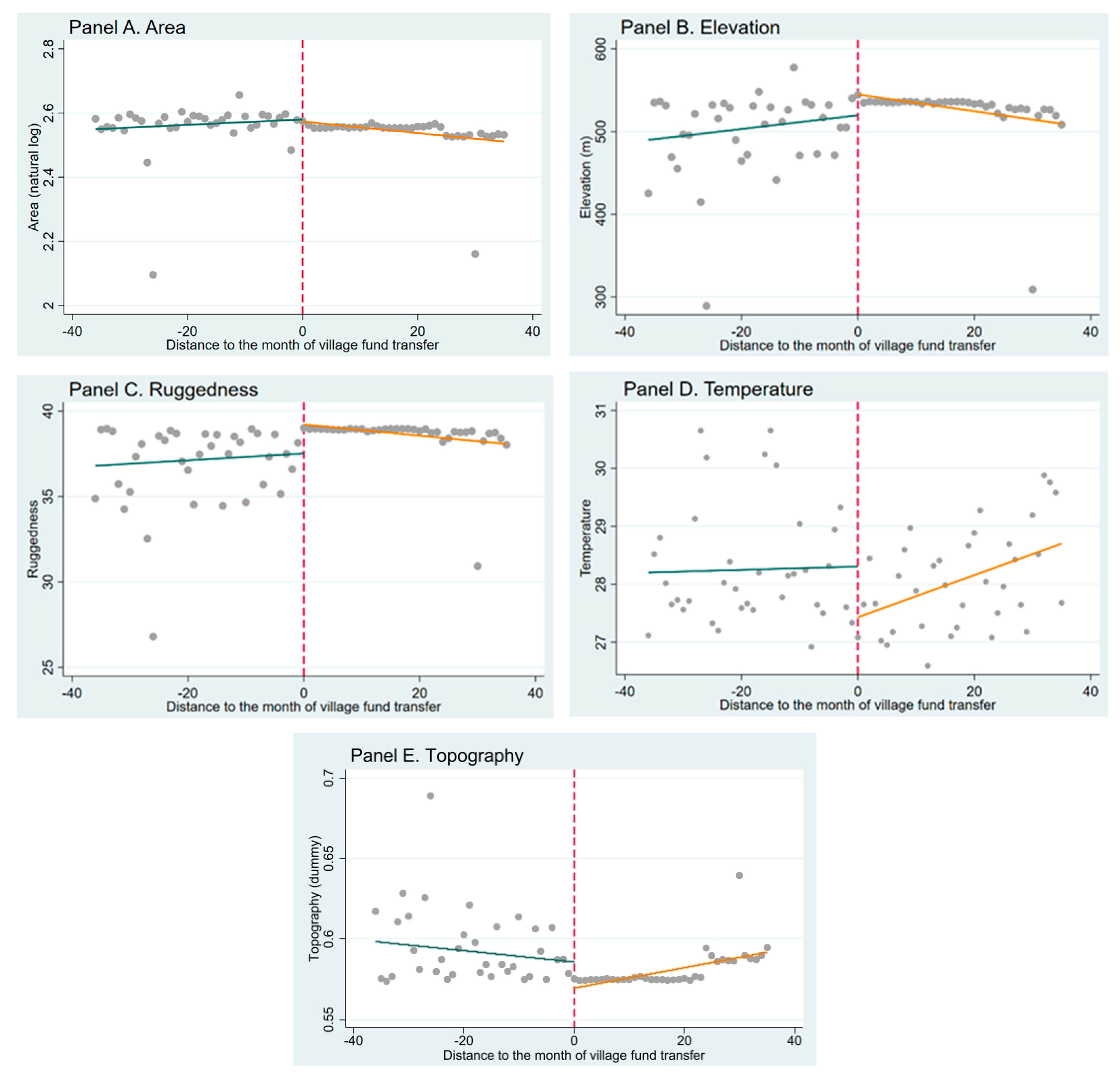
We also created an RD plot of the covariates and identified the influence of VF transfer on the covariates. The following five covariates were considered: area, elevation, ruggedness, temperature, and topography. Figure 9 presents the findings and supports our hypothesis. We did not find any discontinuity close to the threshold, as anticipated. Therefore, the formal and graphical analyses indicate that the villages above and below the cutoff are similar in geographical features.
Figure 9.
RDD in time on covariates. Note: as described in Equation (2), the gray dots reflect the covariates before and after the policy. The green and yellow lines represent the fitted curves. The vertical dashed line denotes the month of the VF transfer’s full implementation in January 2017.
Meanwhile, covariates in the RDD estimates reveal a similar magnitude of VF impacts with a higher coefficient. Table 3, Panel B, presents the RDD estimates with covariate variables. We find strong evidence that VFs help to improve rural economic growth. Since VF transfer has been implemented, rural economic growth in East Indonesia has dramatically increased by 155.9%. Our findings show that remote areas have experienced higher increases in rural economic growth. By contrast, as a developed region, West Indonesia has experienced the least increase in rural economic growth after the implementation of the VF transfer. The comparison of the two results, the RDD with and without covariates, provides strong evidence that VFs improve the rural economic growth in underdeveloped villages in Indonesia, with poor regions growing faster than rich regions. This surprising result may indicate convergence, which could be the starting point of further research.
This interesting finding also shows that the use of night light data is not only a proxy for economic growth, population, inequality, urbanization, and poverty, as discussed above, it also allows us to add a new dimension, the convergence phenomenon at the village level, which is not possible using the available official data. Night light data can provide information up to about 0.86 sq. km at the equator (Chanda and Kabiraj 2020). Even the smallest events can be tracked and evaluated in greater detail using night light data.
As our unexpected findings show, the initial phenomenon of convergence at the village level indicates that the government seems to fulfill its commitment to developing Indonesia from the periphery by strengthening and transferring authority and funds to villages. Through the 1-Village-1-Billion policy, the government gave more resources to villages and ensured that remote areas could catch up with sustainable rural development. VF is similar to the Solecki Fund in Poland (see Bednarska-Olejniczak et al. 2020), which assists rural governments in achieving the SDGs. Of course, using prioritized VFs in line with the SDG agenda is a step toward fulfilling the commitment of leaving no one behind.
4.4. Robustness Checks
We conducted the robustness checks following the work of Luechinger and Roth (2016) and Yudhistira et al. (2020), who performed robustness checks by changing the sample length and polynomial level and determining how well estimates of VF impact hold up with different polynomial orders. The two alternative sample lengths were constructed by reducing the years for similar underdeveloped villages in Indonesia. As a result, our observations were divided into the following two periods: 2014–2018 and 2015–2019 (Table 6). The robustness checks supported the baseline results. For 2014–2018, the estimates were robust in sign and magnitude, being statistically significant at the 1% level, except for polynomial order 3. Aside from the quadratic model, the estimates for 2015–2019 were also stable in terms of sign and size, and they were statistically significant at the 1% level.
Table 6.
Robustness check: the impact of VFs under polynomial orders.
5. Conclusions
This study sought to evaluate the VF’s impact on rural economic growth in underdeveloped villages across Indonesia. Given the lack of available data to measure rural economic growth at the village level, we used monthly NTL as a proxy for rural economic activity for approximately 26,000 villages from January 2014 to December 2019. After correcting the NTL data, we used RDD in time. Our results show that the VF effectively increased rural economic growth in underdeveloped villages in Indonesia.
Our findings also reveal that facilitating the VF transfer in remote East Indonesia led to a more significant change in rural economic growth than in other areas of the country. The results indicate that poor areas grew faster than the more prosperous ones. This unexpected finding could be a convergence indicator that requires further investigation. The Indonesian government has expressed commitments to leave no one behind, as pledged in the SDGs, and in ensuring that remote areas can catch up with development.
Furthermore, the heterogeneous outcome of the VF transfer may encourage policymakers to focus on relevant village characteristics that can be addressed to increase the utility of the VF transfer, such as the availability of basic infrastructures. These adjustments could better improve rural economic growth through various innovations, such as determining an allocation formula for the VF that could best foster convergence. This can be achieved by considering other sources of revenue generated by the village beyond the transfers from the central government that need to be taken into the allocation formula to speed up the catching up of the left-behind villages. Additionally, determining an allocation formula can be achieved by reducing the basic allocation and adding more to the formula allocation and affirmation allocation. The geographical difficulty index component in the formula allocation also should be higher than the current percentage. Nevertheless, as our study could not provide an exact formula number, further studies are needed to simulate the optimum VF formula.
Beyond its contributions, this research points toward areas to be explored in future research. For instance, this study does not consider political behavior at the village level, such as leadership and elite capture at the village level, which might affect the impacts of the VF. Moreover, this study only analyzes the VF’s impacts on rural economic growth in underdeveloped villages. Thus, our claim for the VF’s role in convergence is not without caveats, as our analysis demonstrated.
Author Contributions
Conceptualization, N.H., M.I., T.D. and S.S.; methodology, N.H.; software, N.H.; validation, T.D.; formal analysis, N.H.; investigation, M.I., T.D. and S.S.; resources, N.H.; data curation, N.H.; writing—original draft preparation, N.H.; writing—review and editing, M.I., T.D. and S.S.; visualization, N.H.; supervision, M.I., T.D. and S.S.; project administration, N.H.; funding acquisition, M.I. All authors have read and agreed to the published version of the manuscript.
Funding
This research was partially funded by Universitas Indonesia through the grant Publikasi Terindeks Internasional (PUTI) Doktor, grant number NKB-707/UN2.RST/HKP.05.00/2020.
Institutional Review Board Statement
Not applicable.
Informed Consent Statement
Not applicable.
Data Availability Statement
Not applicable.
Conflicts of Interest
The authors declare no conflict of interest.
References
- Aiyar, Shekhar, and Christian Ebeke. 2020. Inequality of opportunity, inequality of income and economic growth. World Development 136: 105115. [Google Scholar] [CrossRef]
- Arends, Helge. 2020. The Dangers of Fiscal Decentralization and Public Service Delivery: A Review of Arguments. Polit Vierteljahresschr 61: 599–622. [Google Scholar] [CrossRef]
- Arham, Muhammad Amir, and Rauf Hatu. 2020. Does Village Fund Transfer Address the Issue of Inequality and Poverty? A Lesson from Indonesia. Journal of Asian Finance, Economics and Business 7: 433–42. [Google Scholar] [CrossRef]
- Arifin, Bondi, Eko Wicaksono, Rita Helbra Tenrini, Irwanda Wisnu Wardhana, Hadi Setiawan, Sofia Arie Damayanty, Akhmad Solikin, Maman Suhendra, Acwin Hendra Saputra, Gede Agus Ariutama, and et al. 2020. Village fund, village-owned-enterprises, and employment: Evidence from Indonesia. Journal of Rural Studies 79: 382–94. [Google Scholar] [CrossRef]
- Azam, Mehtabul. 2019. Accounting for growing urban-rural welfare gaps in India. World Development 122: 410–32. [Google Scholar] [CrossRef]
- Banerjee, Abhijit Vinayak, and Esther Duflo. 2011. Growth Theory through the Lens of Development Economics. Handbook of Economic Growth 1: 473–552. [Google Scholar] [CrossRef]
- Bednarska-Olejniczak, Dorota, Jarosław Olejniczak, and Libuše Svobodová. 2020. How a participatory budget can support sustainable rural development-lessons from Poland. Sustainability 12: 2620. [Google Scholar] [CrossRef]
- Benjamin, Dwayne, Loren Brandt, and John Giles. 2011. Did Higher Inequality Impede Growth in Rural China? Economic Journal 121: 1281–309. [Google Scholar] [CrossRef]
- Boonperm, Jirawan, Jonathan Haughton, and Shahidur R. Khandker. 2013. Does the Village Fund matter in Thailand? Evaluating the impact on incomes and spending. Journal of Asian Economics 25: 3–16. [Google Scholar] [CrossRef]
- Calonico, Sebastian, Matias D. Cattaneo, and Max H. Farrell. 2021. Optimal bandwidth choice for robust bias-corrected inference in regression discontinuity designs. Econometrics Journal 23: 192–210. [Google Scholar] [CrossRef]
- Calonico, Sebastian, Matias D. Cattaneo, and Rocío Titiunik. 2014. Robust data-driven inference in the regression-discontinuity design. Stata Journal 14: 909–46. [Google Scholar] [CrossRef]
- Calonico, Sebastian, Matias D. Cattaneo, and Rocío Titiunik. 2015. Optimal Data-Driven Regression Discontinuity Plots. Journal of the American Statistical Association 110: 1753–69. [Google Scholar] [CrossRef]
- Canavire-Bacarreza, Gustavo, Jorge Martinez-Vazquez, and Bauyrzhan Yedgenov. 2020. Identifying and disentangling the impact of fiscal decentralization on economic growth. World Development 127: 104742. [Google Scholar] [CrossRef]
- Casey, Gregory P., and Ann L. Owen. 2014. Inequality and Fractionalization. World Development 56: 32–50. [Google Scholar] [CrossRef]
- Cattaneo, Matias D., and Gonzalo Vazquez-Bare. 2017. The Choice of Neighborhood in Regression Discontinuity Designs. Observational Studies 3: 134–46. [Google Scholar] [CrossRef]
- Cattaneo, Matias D., Brigham R. Frandsen, and Rocío Titiunik. 2014. Randomization Inference in the Regression Discontinuity Design: An Application to Party Advantages in the U.S. Senate. Journal of Causal Inference 3: 1–24. [Google Scholar] [CrossRef]
- Cattaneo, Matias D., Michael Jansson, and Xinwei Ma. 2021. Local regression distribution estimators. Journal of Econometrics, 1–18. [Google Scholar] [CrossRef]
- Cattaneo, Matias D., Nicolás Idrobo, and Rocío Titiunik. 2019a. A Practical Introduction to Regression Discontinuity Designs: Foundations. Cambridge: Cambridge University Press. [Google Scholar] [CrossRef]
- Cattaneo, Matias D., Nicolás Idrobo, and Rocío Titiunik. 2019b. A Practical Introduction to Regression Discontinuity Designs: Volume II. Cambridge: Cambridge University Press. [Google Scholar]
- Chanda, Areendam, and Sujana Kabiraj. 2020. Shedding light on regional growth and convergence in India. World Development 133: 104961. [Google Scholar] [CrossRef]
- Chandoevwit, Worawan, and Bawornpan Ashakul. 2008. The Impact of the Village Fund on Rural Households. TDRI Quarterly Review 23: 9–16. [Google Scholar]
- Clark, Andrew E., Orla Doyle, and Elena Stancanelli. 2020. The impact of terrorism on individual well-being: Evidence from the Boston Marathon bombing. Economic Journal 130: 2065–104. [Google Scholar] [CrossRef]
- de Janvry, Alain, and Elisabeth Sadoulet. 2009. Agricultural growth and poverty reduction: Additional evidence. World Bank Research Observer 25: 1–20. [Google Scholar] [CrossRef]
- de Janvry, Alain, and Elisabeth Sadoulet. 2021. Development Economics: Theory and Practice, 2nd ed. New York: Routledge. [Google Scholar] [CrossRef]
- Doll, Christopher N. H., Jan-Peter Muller, and Jeremy G. Morley. 2006. Mapping regional economic activity from nighttime light satellite imagery. Ecological Economics 57: 75–92. [Google Scholar] [CrossRef]
- Elvidge, Christopher D., Kimberly E. Baugh, Sharolyn J. Anderson, Paul C. Sutton, and Tilottama Ghosh. 2012. The Night Light Development Index (NLDI): A spatially explicit measure of human development from satellite data. Social Geography 7: 23–35. [Google Scholar] [CrossRef]
- Engstrom, Ryan, Jonathan Hersh, and David Newhouse. 2017. Poverty from Space: Using High-Resolution Satellite Imagery for Estimating Economic Well-Being. World Bank Policy Research Working Paper No. 8284. Washington, DC: World Bank Group. [Google Scholar]
- Fitriyani, Lita Yulita, Marita Marita, Widyastuti Widyastuti, and Ridho Wahyu Nurahman. 2018. Determinants of Village Fund Allocation. Jurnal Akuntansi Multiparadigma 9: 526–39. [Google Scholar] [CrossRef]
- Ghosh, Tilottama, Sharolyn J. Anderson, Christopher D. Elvidge, and Paul C. Sutton. 2013. Using nighttime satellite imagery as a proxy measure of human well-being. Sustainability 5: 4988–5019. [Google Scholar] [CrossRef]
- Gibson, John, Susan Olivia, and Geua Boe-Gibson. 2020. Night Lights in Economics: Sources and Uses. Journal of Economic Surveys 34: 955–80. [Google Scholar] [CrossRef]
- Gibson, John, Susan Olivia, Geua Boe-Gibson, and Chao Li. 2021. Which night lights data should we use in economics, and where? Journal of Development Economics 149: 102602. [Google Scholar] [CrossRef]
- Guerrero, Víctor M., and Juan A. Mendoza. 2019. On measuring economic growth from outer space: A single country approach. Empirical Economics 57: 971–90. [Google Scholar] [CrossRef]
- Harun, Harun, Peter Graham, Haryono P. Kamase, and Monir Mir. 2020. A Critical Analysis of the Impacts of Financial Literacy and NPM on Village Funds Initiative in Indonesia. International Journal of Public Administration 44: 336–45. [Google Scholar] [CrossRef]
- Henderson, J. Vernon, Adam Storeygard, and David N. Weil. 2012. Measuring economic growth from outer space. American Economic Review 102: 994–1028. [Google Scholar] [CrossRef] [PubMed]
- Islam, Nazrul. 2003. What have we learnt from the convergence debate? Journal of Economic Surveys 17: 309–62. [Google Scholar] [CrossRef]
- Ismail, Yasin R., Muhammad Amir Arham, and Sri Indriyani S. Dai. 2020. Analysis Of Village Dau, Dak, And Funds On Inequality Distribution Income And Growth In Indonesia 2015–2018. Jambura Equilibrium Journal 1: 83–93. [Google Scholar] [CrossRef][Green Version]
- Ivan, Kinga, Iulian-Horia Holobâcă, József Benedek, and Ibolya Török. 2020. Potential of nighttime lights to measure regional inequality. Remote Sensing 12: 33. [Google Scholar] [CrossRef]
- Jacob, Robin Tepper, Pei Zhu, Marie-Andrée Somers, and Howard Bloom. 2012. A Practical Guide to Regression Discontinuity. New York: MDRC. [Google Scholar]
- Kaboski, Joseph P., and Robert M. Townsend. 2012. The impact of credit on village economies. American Economic Journal: Applied Economics 4: 98–133. [Google Scholar] [CrossRef]
- Khandker, Shahidur R., Gayatri B. Koolwal, and Hussain A. Samad. 2010. Handbook on Impact Evaluation: Quantitative Methods and Practices. Washington, DC: World Bank Publications. [Google Scholar]
- Kim, Euijune, and Yasir Niti Samudro. 2017. The impact of intergovernmental transfer funds on interregional income disparity in Indonesia. International Journal of Urban Sciences 21: 22–40. [Google Scholar] [CrossRef]
- Kolesár, Michal, and Christoph Rothe. 2018. Inference in regression discontinuity designs with a discrete running variable. American Economic Review 108: 2277–304. [Google Scholar] [CrossRef]
- Laurini, Ma’rcio Poletti. 2016. Income Estimation Using Night Luminosity: A Continuous Spatial Model. Spatial Demography 4: 83–115. [Google Scholar] [CrossRef]
- Lessmann, Christian, and André Seidel. 2017. Regional inequality, convergence, and its determinants – A view from outer space. European Economic Review 92: 110–32. [Google Scholar] [CrossRef]
- Lewis, Blane D. 2015. Decentralising to Villages in Indonesia: Money (and Other) Mistakes. Public Administration and Development 35: 347–59. [Google Scholar] [CrossRef]
- Liang, Che-Yuan. 2017. Optimal inequality behind the veil of ignorance. Theory and Decision 83: 431–55. [Google Scholar] [CrossRef]
- Liu, Liangliang, Donghong Ding, and Jun He. 2019. The welfare effects of fiscal decentralization: A simple model and evidence from China. Quality and Quantity 53: 417–34. [Google Scholar] [CrossRef]
- Luechinger, Simon, and Florian Roth. 2016. Effects of a mileage tax for trucks. Journal of Urban Economics 92: 1–15. [Google Scholar] [CrossRef]
- Martinez-Vazquez, Jorge, Santiago Lago-Peñas, and Agnese Sacchi. 2017. The Impact of Fiscal Decentralization: A Survey. Journal of Economic Surveys 31: 1095–129. [Google Scholar] [CrossRef]
- Marx, Susan, and Asha Gosh. 2014. Local Governance Policy Brief: Comparative Review of Village Governance in Cambodia, Indonesia, Papua New Guinea, and the Philippines. Dili: The Asia Foundation, vol. 1. [Google Scholar]
- Mellander, Charlotta, José Lobo, Kevin Stolarick, and Zara Matheson. 2015. Nighttime light data: A good proxy measure for economic activity? PloS ONE 10: e0139779. [Google Scholar] [CrossRef] [PubMed]
- Menkhoff, Lukas, and Ornsiri Rungruxsirivorn. 2011. Do village funds improve access to finance? Evidence from Thailand. World Development 39: 110–22. [Google Scholar] [CrossRef]
- Muinelo-Gallo, Leonel, Adrián Rodríguez-Miranda, and Pablo Castro-Scavone. 2017. Intergovernmental transfers and regional income inequalities in Uruguay. Hacienda Pública Española 219: 9–34. [Google Scholar] [CrossRef]
- Noor, Abdisalan M., Victor A. Alegana, Peter W. Gething, Andrew J. Tatem, and Robert W. Snow. 2008. Using remotely sensed nighttime light as a proxy for poverty in Africa. Population Health Metrics 6: 5. [Google Scholar] [CrossRef] [PubMed]
- Pan, Wenbin, Hongming Fu, and Peng Zheng. 2020. Regional poverty and inequality in the Xiamen-Zhangzhou-Quanzhou city cluster in China Based on NPP/VIIRS nighttime light imagery. Sustainability 12: 2547. [Google Scholar] [CrossRef]
- Permatasari, Paulina, Assyifa Szami Ilman, Carol Ann Tilt, Dian Lestari, Saiful Islam, Rita Helbra Tenrini, Arif Budi Rahman, Agunan Paulus Samosir, and Irwanda Wisnu Wardhana. 2021. The village fund program in Indonesia: Measuring the effectiveness and alignment to sustainable development goals. Sustainability 13: 2294. [Google Scholar] [CrossRef]
- Romeo, Leonardo G., and Spyckerelle Luc. 2004. Decentralization Reforms and Commune-Level Services Delivery in Cambodia. Paper presented at Local Government Pro-Poor Service Delivery Workshop, Manila, Philippines, February 9–13. [Google Scholar]
- Salim, Agus, Wahidah R. Bulan, Bejo Untung, Indro Laksono, and Karen Brock. 2017. Indonesia’s Village Law: Enabler or Constraint for More Accountable Governance? Available online: https://opendocs.ids.ac.uk/opendocs/bitstream/handle/20.500.12413/13324/Village_law_Indonesia_Final.pdf (accessed on 16 August 2021).
- Shi, Kaifang, Bailang Yu, Yixiu Huang, Yingjie Hu, Bing Yin, Zuoqi Chen, Liujia Chen, and Jianping Wu. 2014. Evaluating the ability of NPP-VIIRS nighttime light data to estimate the gross domestic product and the electric power consumption of China at multiple scales: A comparison with DMSP-OLS data. Remote Sensing 6: 1705–24. [Google Scholar] [CrossRef]
- Singhal, Abhishek, Sohini Sahu, Siddhartha Chattopadhyay, Abhijit Mukherjee, and Soumendra N. Bhanja. 2020. Using night time lights to find regional inequality in India and its relationship with economic development. PloS ONE 15: 0241907. [Google Scholar] [CrossRef]
- Soerjatisnanta, Hieronymus, and Rudi Natamihardja. 2016. Institutional and Cultural Approaches for Strengthening Human Right Cities and SDGs at the Village Level. Volume 15, pp. 1–23. Available online: http://www.whrcf.org/data/file/MeetingData_eng/3422239159_PMHXNzVW_b82ebe152e33b03960fa21a841711f11dd43ca16.pdf (accessed on 16 August 2021).
- Suryahadi, Asep, Daniel Suryadarma, and Sudarno Sumarto. 2009. The effects of location and sectoral components of economic growth on poverty: Evidence from Indonesia. Journal of Development Economics 89: 109–17. [Google Scholar] [CrossRef]
- Susilo, Daniel, Endik Hidayat, and Rustono Farady Marta. 2021. Village public innovations during COVID19 pandemic in rural areas: Phenomena in Madura, Indonesia. Cogent Social Sciences 7: 1. [Google Scholar] [CrossRef]
- United Nations Development Programme. 2018. What Does It Mean to Leave No One Behind? A UNDP Discussion Paper and Framework for Implementation. New York: UNDP. [Google Scholar]
- Wahyudi, Sugeng, Tarmizi Achmad, and Imang Dapit Pamungkas. 2022. Prevention Village Fund Fraud in Indonesia: Moral Sensitivity as a Moderating Variable. Economies 10: 26. [Google Scholar] [CrossRef]
- World Bank. 2005. East Asia Decentralizes: Making Local Government Work. Washington, DC: The World Bank. [Google Scholar]
- Wu, Rongwei, Degang Yang, Jiefang Dong, Lu Zhang, and Fuqiang Xia. 2018. Regional inequality in China based on NPP-VIIRS nighttime light imagery. Remote Sensing 10: 240. [Google Scholar] [CrossRef]
- Yin, Ximing, Jin Chen, and Jizhen Li. 2019. Rural innovation system: Revitalize the countryside for a sustainable development. Journal of Rural Studies 93: 471–78. [Google Scholar] [CrossRef]
- Yu, Bailang, Kaifang Shi, Yingjie Hu, Chang Huang, Zuoqi Chen, and Jianping Wu. 2015. Poverty Evaluation Using NPP-VIIRS Nighttime Light Composite Data at the County Level in China. IEEE Journal of Selected Topics in Applied Earth Observations and Remote Sensing 8: 1217–29. [Google Scholar] [CrossRef]
- Yudhistira, Muhammad Halley, Prani Sastiono, and Melly Meliyawati Meliyawati. 2020. Exploiting unanticipated change in block rate pricing for water demand elasticities estimation: Evidence from Indonesian suburban area. Water Resources and Economics 32: 100161. [Google Scholar] [CrossRef]
- Yudhistira, Muhammad Halley, Witri Indriyani, Andhika Putra Pratama, Yusuf Sofiandi, and Yusuf Reza Kurniawan. 2019. Transportation network and changes in urban structure: Evidence from the Jakarta Metropolitan Area. Research in Transportation Economics 74: 52–63. [Google Scholar] [CrossRef]
- Zheng, Lucy. 2021. Fiscal decentralization and regional disparity: Evidence from cross-section and panel data. Annals of Regional Science 82: 29–36. [Google Scholar] [CrossRef]
Publisher’s Note: MDPI stays neutral with regard to jurisdictional claims in published maps and institutional affiliations. |
© 2022 by the authors. Licensee MDPI, Basel, Switzerland. This article is an open access article distributed under the terms and conditions of the Creative Commons Attribution (CC BY) license (https://creativecommons.org/licenses/by/4.0/).









