A Two-Step Method for Diode Package Characterization Based on Small-Signal Behavior Analysis
Abstract
1. Introduction
2. Materials and Methods
2.1. Materials
2.2. Analysis of the Diode’s Small-Signal Behavior Across Crucial Bias Points
2.3. The Two-Step Parameter Extraction Method
2.3.1. Step 1, Obtaining , , and
2.3.2. Obtaining
3. Results
Diode Packaging Parameter Extraction
Packaged Diode vs. Unpakaged Diode
4. Discussion
4.1. Analysis of the Effect of Packaging Parasitic Elements on Diode Performance
4.1.1. Comparison Between Unpackaged and Packaged Diode
4.1.2. Impact of an Increase in on Packaged Diode Behavior at 0.5 V
4.1.3. Impact of an Increase in on Packaged Diode Behavior at 0.5 V
4.1.4. Impact of an Increase in on Packaged Diode Behavior at 0.5 V
4.1.5. Impact of an Increase in on Packaged Diode Behavior at −5 V, 0.5 V and 1.22 V
4.2. Expectations on Diode Measurements
4.3. Packaging Electrical Model
4.4. Method Limitations
4.5. Future Research Directions
5. Conclusions
Author Contributions
Funding
Institutional Review Board Statement
Informed Consent Statement
Data Availability Statement
Acknowledgments
Conflicts of Interest
Abbreviations
| PCB | printed circuit board |
| GHz | gigahertz |
| RF-DC | radiofrequency and direct current |
| HFSS | High-Frequency Structure Simulator |
| ADS | Advanced Design System |
| GSG | ground-signal-ground |
| CPW | coplanar waveguide |
| I–V | current vs. voltage |
| DSFB | diode in short-circuit at forward bias |
Appendix A. Electrical Model for the De-Embedding Structures

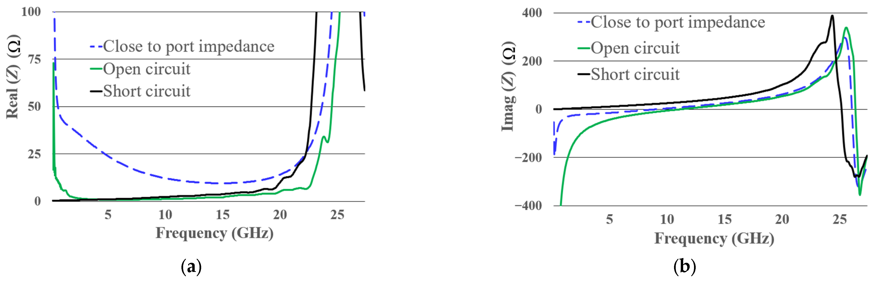
- At low frequencies, tends to be infinite, as expected for an open circuit
- At mid frequencies, becomes approximately constant.
- At high frequencies, increases due to the combination of the inductive and resistive effects of the open structure.




| Parameters | Value | Parameters | Value |
|---|---|---|---|
| 0.004279 nH | 0.181 pF | ||
| 0.113/0.35 pF | 0.31 Ohm | ||
| 0.477 nH | 0.172 nH | ||
| 0.012 Ohm | 24 KOhm | ||
| 400 Ohm |
Appendix B. Electrical Model for Unpackaged Diode Under Three Bias Operation Regions
- In the non-conduction region, the electrical model (Figure A6a) corresponds to the bias values ranging from −5 V to 0.3 V.
- In the semi-conduction region, the electrical model (Figure A6b) corresponds to the bias values between 0.4 V and 0.6 V.
- In the full-conduction region, the electrical model (Figure A6c) corresponds to the bias values from 0.7 V to 1.22 V.

(V) | (Ohm) | (pF) | (nH) | (pF) | (Ohm) | (nH) | (Ohm) | (pF) |
|---|---|---|---|---|---|---|---|---|
| −5 | 129 | 0.5 | 0.055 | 8 | 1 | - | - | - |
| 0 | 1350 | 1 | 0.055 | 1 | 1.5 | - | - | - |
| 0.3 | 389 | 1.05 | 0.055 | 0.85 | 1.5 | - | - | - |
| 0.4 | 1030 | 4 | - | 1.5 | 250 | 0.055 | 2 | 0.5 |
| 0.5 | 440 | - | 0.040 | 3.8 | 60 | 0.015 | - | 0.5 |
| 0.6 | 53.8 | - | 0.015 | 18 | 17.1 | 0.02 | - | 0.6 |
| Bias (V) | (Ohm) | (pF) | (pF) | (nH) |
|---|---|---|---|---|
| 0.7 | 7.381 | 4.5 | 100 | - |
| 0.82 | 1.7 | 0.5 | - | 0.078 |
| 1.22 | 1.31 | 0.1 | - | 0.05 |
References
- Luo, H.; Hu, W.; Guo, Y. Parameter extraction and modeling of Schottky diodes: An extension of the resonance based inductance extraction method. In Proceedings of the IEEE MTT-S International Wireless Symposium, Nanjing, China, 23–26 May 2021; pp. 1–3. [Google Scholar] [CrossRef]
- Luo, H.; Li, J. A novel extraction method for series inductance in Schottky diodes based on resonance. In Proceedings of the IEEE MTT-S International Microwave Workshop Series on Advanced Materials and Processes for RF and THz Applications (IMWS-AMP), Suzhou, China, 29–31 July 2020; pp. 1–3. [Google Scholar] [CrossRef]
- Amirpour, R.; Schwantuschke, D.; Van Raay, F.; Brueckner, P.; Quay, R.; Ambacher, O. Large-signal modeling of a scalable high-Q AlGaN/GaN high electron-mobility varactor. IEEE Trans. Microw. Theory Tech. 2019, 67, 922–927. [Google Scholar] [CrossRef]
- Bendjeddou, I.; Garcia, M.J.; El Valli, A.S.; Litvinenko, A.; Cros, V.; Ebels, U.; Jenkins, A.; Ferreira, R.; Dutra, R.; Morche, D.; et al. Electrical modeling of spin-torque diodes used as radio frequency detectors: A step-by-step methodology for parameter extraction. IEEE Trans. Microw. Theory Tech. 2023, 71, 2771–2781. [Google Scholar] [CrossRef]
- Gao, S.-P.; Hu, W.; Zhang, H.; Guo, Y. Millimeter-wave rectifiers using proprietary Schottky diodes: Diode modeling and rectifier analysis. In Proceedings of the Wireless Power Week (WPW), Bordeaux, France, 5–8 July 2022; pp. 180–184. [Google Scholar] [CrossRef]
- Hansen, J.; Chang, K. Diode modeling for rectenna design. In Proceedings of the IEEE International Symposium on Antennas and Propagation (APSURSI), Spokane, WA, USA, 25 August 2011; pp. 1077–1080. [Google Scholar] [CrossRef]
- Chen, Q.; Chen, X.; Cai, H.; Chen, F. Schottky diode large-signal equivalent-circuit parameters extraction for high-efficiency microwave rectifying circuit design. IEEE Trans. Circuits Syst. II Express Briefs 2020, 67, 2722–2726. [Google Scholar] [CrossRef]
- Tang, A.Y.; Stake, J. Impact of eddy currents and crowding effects on high-frequency losses in planar Schottky diodes. IEEE Trans. Electron Devices 2011, 58, 3260–3269. [Google Scholar] [CrossRef]
- Zhang, Y.; Wu, C.; Liu, X.; Wang, L.; Dai, C.; Cui, J.; Li, Y.; Kinar, N. The development of frequency multipliers for terahertz remote sensing system. Remote Sens. 2022, 14, 2486. [Google Scholar] [CrossRef]
- Tang, A.Y.; Drakinskiy, V.; Yhland, K.; Stenarson, J.; Bryllert, T.; Stake, J. Analytical extraction of a Schottky diode model from broadband S-parameters. IEEE Trans. Microw. Theory Tech. 2013, 61, 1870–1878. [Google Scholar] [CrossRef]
- Ghanem, H.; Gonçalves, J.C.A.; Chevalier, P.; Alaji, I.; Aouimeur, W.; Lepilliet, S.; Gloria, D.; Gaquière, C.; Danneville, F.; Ducournau, G. Modeling and analysis of a broadband Schottky diode noise source up to 325 GHz based on 55-nm SiGe BiCMOS technology. IEEE Trans. Microw. Theory Tech. 2020, 68, 2268–2277. [Google Scholar] [CrossRef]
- Umbach, P.; Thome, F.; Leuther, A.; Quay, R. Unified scalable model for HEMT-based planar Schottky diodes. IEEE Trans. Microw. Theory Tech. 2025, 73, 1424–1436. [Google Scholar] [CrossRef]
- García-Luque, A.; Mata-Contreras, F.J.; Martín-Guerrero, T.M. Analysis, Formulation, and Implementation of a Nonlinear Equivalent Circuit for High-Frequency Semiconductor Diodes. IEEE Microw. Mag. 2025, 26, 25–41. [Google Scholar] [CrossRef]
- Torres-Torres, R.; Murphy-Arteaga, R. Straightforward Determination of Small-Signal Model Parameters for Bulk RF-MOSFETs. In Proceedings of the Fifth IEEE International Caracas Conference on Devices, Circuits and Systems, Punta Cana, Dominican Republic, 3–5 November 2004; Volume 1, pp. 14–18. [Google Scholar] [CrossRef]
- Gibiino, G.P.; Santarelli, A.; Cignani, R.; Traverso, P.A.; Filicori, F. Measurement-Based Automatic Extraction of FET Parasitic Network by Linear Regression. IEEE Microw. Wirel. Compon. Lett. 2019, 29, 598–600. [Google Scholar] [CrossRef]
- Wolff, I. Coplanar Microwave Integrated Circuits; Wiley: Hoboken, NJ, USA, 2006. [Google Scholar]
- Bera, S.C. Microwave Active Devices and Circuits for Communication; Springer: Cham, Switzerland, 2019. [Google Scholar]
- Hao, X.; Zhang, A.; Gu, G.; Liang, S.; Song, X.; Zhang, L.; Xu, P.; Gao, J.; Feng, Z. GaAs PIN diode-based 220 GHz switch design using flip chip technique. IEEE Trans. Terahertz Sci. Technol. 2025, 15, 100–106. [Google Scholar] [CrossRef]
- Tantwai, K.K. Microwave-frequency non-linear universal model for PIN diode. In Proceedings of the International Workshop on Physics of Semiconductor Devices (IWPSD), Mumbai, India, 16–20 December 2007; pp. 119–122. [Google Scholar] [CrossRef]
- Zhang, A.; Gao, J. Comprehensive analysis of linear and nonlinear equivalent circuit model for GaAs-PIN diode. IEEE Trans. Ind. Electron. 2021, 69, 11541–11548. [Google Scholar] [CrossRef]
- Ladan, S. Simultaneous Wireless Power Transmission and Data Communication. Ph.D. Dissertation, École Polytechnique de Montréal, Montreal, QC, Canada, 2014. [Google Scholar]
- Nadri, S.; Xie, L.; Jafari, M.; Bauwens, M.F.; Arsenovic, A.; Weikle, R.M. Measurement and extraction of parasitic parameters of quasi-vertical Schottky diodes at submillimeter wavelengths. IEEE Microw. Wirel. Compon. Lett. 2019, 29, 474–476. [Google Scholar] [CrossRef]
- Xu, H.; Schoenthal, G.S.; Liu, L.; Xiao, Q.; Hesler, J.L.; Weikle, R.M. On estimating and canceling parasitic capacitance in submillimeter-wave planar Schottky diodes. Microw. Wirel. Compon. Lett. 2009, 19, 807–809. [Google Scholar] [CrossRef]
- Trevisoli, R.; Da Paz, H.P.; Da Silva, V.S.; Casella, I.R.S.; Capovilla, C.E. Modeling Schottky Diode Rectifiers Considering the Reverse Conduction for RF Wireless Power Transfer. IEEE Trans. Circuits Syst. Part II 2022, 69, 1732–1736. [Google Scholar] [CrossRef]
- Odiamenhi, M.A.; Basherlou, H.J.; See, C.H.; Parchin, N.O.; Goh, K.; Yu, H. State-Space Modelling of Schottky Diode Rectifiers Including Parasitic and Coupling Effects up to the Terahertz Band. Electronics 2025, 14, 3718. [Google Scholar] [CrossRef]
- Sánchez-Muñoz, J.P.; Torres-Torres, R. Characterization of bias-dependent ceramic capacitors from reflection coefficient measurements performed using a VNA. IEEE Trans. Electromagn. Compat. 2024, 66, 351–358. [Google Scholar] [CrossRef]
- Roy, C.; Wu, K. A generalized circuit model development approach with short open thru (SOT) de-embedding technique and its applications. IEEE Trans. Microw. Theory Tech. 2024, 72, 124–137. [Google Scholar] [CrossRef]


















| Parameters | Extraction A-B-C | Extraction A-B-D | Units |
|---|---|---|---|
| 0.162 | 0.178 | pF | |
| 0.167 | 0.190 | nH | |
| 0.252 | 0.229 | nH | |
| 0.542 | 0.542 | Ohm |
Disclaimer/Publisher’s Note: The statements, opinions and data contained in all publications are solely those of the individual author(s) and contributor(s) and not of MDPI and/or the editor(s). MDPI and/or the editor(s) disclaim responsibility for any injury to people or property resulting from any ideas, methods, instructions or products referred to in the content. |
© 2025 by the authors. Licensee MDPI, Basel, Switzerland. This article is an open access article distributed under the terms and conditions of the Creative Commons Attribution (CC BY) license (https://creativecommons.org/licenses/by/4.0/).
Share and Cite
Cárdenas-Herrera, H.A.; Murphy-Arteaga, R.S. A Two-Step Method for Diode Package Characterization Based on Small-Signal Behavior Analysis. Technologies 2025, 13, 581. https://doi.org/10.3390/technologies13120581
Cárdenas-Herrera HA, Murphy-Arteaga RS. A Two-Step Method for Diode Package Characterization Based on Small-Signal Behavior Analysis. Technologies. 2025; 13(12):581. https://doi.org/10.3390/technologies13120581
Chicago/Turabian StyleCárdenas-Herrera, Hidai A., and Roberto S. Murphy-Arteaga. 2025. "A Two-Step Method for Diode Package Characterization Based on Small-Signal Behavior Analysis" Technologies 13, no. 12: 581. https://doi.org/10.3390/technologies13120581
APA StyleCárdenas-Herrera, H. A., & Murphy-Arteaga, R. S. (2025). A Two-Step Method for Diode Package Characterization Based on Small-Signal Behavior Analysis. Technologies, 13(12), 581. https://doi.org/10.3390/technologies13120581

