Next Article in Journal
Optimizing Teleconsultation Scheduling with a Two-Level Approach Based on Reinforcement Learning
Previous Article in Journal
A Portable QCM-Based Biosensor-Incorporated Graphene Oxide for Point-of-Care Prostate Cancer Marker Detection
 
 
Font Type:
Arial Georgia Verdana
Font Size:
Aa Aa Aa
Line Spacing:
Column Width:
Background:
Article

Impact of Stereoscopic Technologies on Heart Rate Variability in Extreme VR Gaming Conditions

by
Penio Lebamovski
* and
Evgeniya Gospodinova
Institute of Robotics, Bulgarian Academy of Sciences, 1113 Sofia, Bulgaria
*
Author to whom correspondence should be addressed.
Technologies 2025, 13(12), 545; https://doi.org/10.3390/technologies13120545
Submission received: 28 September 2025 / Revised: 17 November 2025 / Accepted: 20 November 2025 / Published: 24 November 2025

Abstract

This study examines the effects of different stereoscopic technologies on physiological responses in immersive virtual reality (VR) environments. Five participant groups were evaluated: a control group (no stereoscopy) and four groups using anaglyph, passive, active glasses, or VR helmets. Heart rate variability (HRV) was measured in both time (MeanRR, SDNN, RMSSD, pNN50) and frequency (LF, HF, LF/HF) domains to assess autonomic nervous system activity. Active, polarized glasses and VR helmets significantly reduced SDNN and RMSSD compared to the control group (p < 0.01), with VR helmets causing the largest decrease (MeanRR −70%, RMSSD −51%). Anaglyph glasses showed milder effects. Nonlinear analysis revealed reduced entropies and Hurst parameter in highly immersive conditions, indicating impaired fractal heart rate structure and increased physiological load. These results demonstrate a clear relationship between immersion level and cardiovascular response, emphasising that higher immersion increases physiological stress. The scientific contribution lies in the combined application of linear and nonlinear HRV analysis to systematically compare different stereoscopic display types under controlled gaming immersion. The study proposes a practical methodology for assessing HRV in VR settings, which can inform the ergonomic design of VR systems and ensure users’ physiological safety. By highlighting the differential impacts of stereoscopic technologies on HRV, the findings offer guidance for optimising VR visualisation to balance immersive experience with user comfort and health.

1. Introduction

Virtual Reality (VR) is rapidly establishing itself as an innovative platform for interactive applications in gaming, education, and scientific research. A key factor for the depth of immersion is the use of the stereoscopic technologies, which create a sense of depth and spatial realism through parallax [1,2]. However, as visual realism increases, the physiological responses of users also change. Among the methods applied to assess these responses is heart rate variability (HRV), which is considered a reliable marker for evaluating the autonomic nervous system, stress levels, and psychophysiological workload. Previous studies have explored HRV responses in various VR contexts, including training, gaming, and medical rehabilitation; however, most have focused on general immersion effects rather than systematic comparisons between different stereoscopic visualisation technologies.
VR systems are typically classified into two categories: low-immersion (LiVR) and high-immersion (HiVR) systems, both of which provide the user with a sense of immersion that differs from traditional visualisation. LiVR systems use a standard monitor (for anaglyph glasses) or a specialised monitor for passive or active 3D technologies, such as shooter or polarising glasses. HiVR systems primarily use VR headsets, which provide deep immersion through sensor integration and direct interaction with objects and parameters within the virtual environment [3]. Both technologies involve interactivity and interaction. In LiVR systems, interaction is primarily limited to the use of a keyboard and joystick. In contrast, HiVR incorporates more senses and sensors, creating a sense of physical presence in the virtual environment [4,5]. Highly immersive systems often include additional devices such as controllers, gloves, and motion platforms. Many of the headsets offer a 360-degree view and active head tracking. In limited immersion systems, VR utilises devices such as computers or TVs and does not completely isolate the user from the real world. A high level of immersion increases engagement but can also lead to visual and physiological discomfort with prolonged use. In such cases, low-immersion systems are a good alternative. While these findings highlight important differences in user experience between low- and high-immersion VR, little is known about how distinct stereoscopic display types—such as anaglyph, passive, active, or headset-based systems—differ in their physiological impact. Previous works have rarely conducted direct comparisons between these modalities using unified HRV metrics, which limits understanding of how immersion and stereoscopic depth jointly affect autonomic regulation.
To address this limitation, the present study introduces a novel integrative approach that combines both linear and nonlinear HRV analyses to systematically compare physiological responses across different stereoscopic display types under controlled gaming immersion. This combined methodology provides a more comprehensive assessment of autonomic regulation in VR than previous studies focusing solely on immersion intensity.
When developing VR games, it is essential to consider that they affect users differently. For example, children and adolescents often prefer HiVR systems, while adults tend to be more comfortable with LiVR. This is because children are using modern technologies at home and at school from a young age, unlike their parents [6,7].
Stereoscopic parallax plays an important role in spatial perception in VR games and applications. Its main features include [2]:
  • Depth and spatial perception: Stereoscopic parallax allows users to perceive depth and distances in a virtual environment in a way similar to the real world. This contributes to increased realism and immersion, as users can observe and interact with objects in three-dimensional space more intuitively and naturally.
  • Increased engagement and immersion: The realistic sense of depth and three-dimensionality increases user engagement and makes them feel more immersed in the game.
  • Creating complex visual effects: Stereoscopic parallax allows for the creation of complex visual effects, such as moving objects, explosions, and other dynamic elements, that appear more realistic and convincing.
Despite these advantages, the strong stereoscopic effect can cause increased cognitive load and visual discomfort, which affects HRV. This highlights the need for systematic research on the physiological responses of users to different stereoscopic configurations.
The application of VR in medicine offers new opportunities to improve healthcare by creating interactive and engaging therapeutic environments. In a publication [8], the authors present the methodology and results of a study aimed at developing a system for measuring vital signs such as heart rate, blood pressure, and blood oxygen levels using VR devices. The results underscore the importance of accurately monitoring physiological parameters to ensure the safe and effective use of VR in clinical settings.
The authors of the publication [9] investigated the effect of VR on muscle strength. The results showed that participants experienced less pain in a virtual environment than in a real one, suggesting that VR could be an effective tool for pain management.
The publication [10] examined the impact of serious games on heart rate variability (HRV) in older adults. The study highlights the potential of serious games as a means of improving the physical and mental health of older adults by positively influencing HRV.
In recent years, VR has established itself as a powerful tool for creating immersive and impactful user experiences, which are utilised in both the entertainment industry and scientific research on human behaviour and physiological responses. The intensity of the perceived virtual experience depends on many factors, among which the degree of immersion and the presence of a stereoscopic effect play a key role.
However, the impact of the stereoscopic effect on user perception and physiological indicators has not yet been sufficiently studied. In our previous work [11,12,13], an extreme VR game was created, the purpose of which was to induce high levels of psychological stress, measured by HRV. The present study further develops this topic by directly comparing active and passive stereoscopic technologies in the context of an extreme VR gaming environment and analysing their impact on HRV.
Based on the purpose of the present study and the reviewed literature, the following research gap was identified: there is a lack of direct experimental comparisons between stereoscopic technologies combining both linear and nonlinear HRV analysis. To address this, the present study applies time-domain, frequency-domain, and nonlinear HRV metrics to evaluate autonomic responses under varying levels of VR immersion.
Hypothesis: High-immersion stereoscopic technologies will lead to significantly lower values of HRV time-domain indicators (e.g., SDNN, RMSSD) and nonlinear measures (e.g., Approximate Entropy, Hurst exponent) compared to low-immersion configurations, reflecting increased physiological load and reduced autonomic flexibility.

2. Materials and Methods

The materials and methods described in this section provide a methodological basis for conducting research and HRV analysis related to stereoscopic parallax and its impact on user experience and physiological responses in the context of an extreme VR game.

2.1. Binocular Vision

Binocular vision plays a key role in understanding and applying stereoscopic parallax in the development of 3D virtual reality games. Binocular vision is the ability of the brain to combine images received from both eyes to create a single three-dimensional image. This ability is essential for depth perception and spatial orientation. Among the key features of binocular vision are coordination between the eyes, spatial orientation, and the perception of depth or volume. When observing a two-dimensional image, the brain attempts to reconstruct a three-dimensional picture, resulting in a loss of information due to the subjective interpretation associated with individual experience and knowledge [14]. Figure 1A illustrates the mechanism of binocular vision, in which each eye perceives the observed object from a slightly different viewing angle.

2.2. Stereoscopic Parallax

Stereoscopic parallax is a visual mechanism in three-dimensional graphics that allows the generation of a stereoscopic effect through passive or active 3D technologies [15]. Depending on the spatial position of the objects relative to the screen, stereoscopic parallax is of three main types: positive, negative, and zero, shown in Figure 1B. The theoretical principles of parallax are presented in Appendix A.

2.3. 3D Canvas and Virtual Camera Configuration

The 3D canvas, which represents a three-dimensional space, is used in modelling, animating, and visualising game objects [15,16,17,18,19]. It includes components such as 3D models, materials and textures, light sources and complete three-dimensional scenes that form the basis of the visual experience in the game. The canvas is used together with the camera when rotating, scaling (zooming in and out), and positioning objects in the scene, providing flexible control over their spatial orientation and placement.
Another essential element needed in creating 3D games is the virtual camera. It simulates the functioning of a real camera but is a software object that determines the user’s point of view in three-dimensional space. A virtual camera is a logical construct without a physical presence that controls the visualisation of a scene in a game. In 3D game development, an application can contain multiple virtual cameras, depending on the game scene’s needs. The virtual camera determines what the player sees and from what perspective. Its main characteristics include position in space, orientation (viewing direction), field of view, projection type (perspective or orthographic), and depth parameters (near/far clipping planes), which specify which objects will be visualised according to their distance from the camera.
Figure 2A shows an implementation of the parallax effect in Unity using two virtual cameras, and Figure 2B shows an implementation in Java3D using two three-dimensional canvases. An additional camera combines the views for the left and right eyes, thus achieving a stereoscopic effect. Additional information about the characteristics of the virtual camera is shown in Appendix B.

2.4. Types of Glasses

2.4.1. Passive Glasses

Passive glasses with circular polarisation are widely used in the visualisation of three-dimensional content in gaming and VR environments, where high visual comfort and minimisation of visual artefacts are required. The technology utilises the principle of light polarisation—a process in which a light wave is directed to oscillate in a specific plane. In circular polarisation, the electromagnetic wave describes a spiral trajectory, which can be left- or right-handed depending on the polarisation direction. In gaming applications, this is realised by projecting or rendering two images with different polarisation orientations—one for the left eye and the other for the right eye. Passive glasses, equipped with polarising filters, provide selective transmission of the corresponding light waves, directing each image to the correct eye. A significant advantage of circular polarisation in 3D games is the stability of the stereo effect even when moving or tilting the head, which is critical for achieving an immersive gaming experience. Unlike active 3D systems, passive technology does not require synchronisation with the graphics processor, since the merging of the two perspectives is performed by the human brain, without additional software or hardware processing [20]. This technology is particularly suitable for 3D games, which seek an optimal balance between visual quality and low system load [21].

2.4.2. Active Glasses

Active technology uses a time-division method in which the display alternates frames intended for the left and right eyes at a high frequency. Active glasses are equipped with liquid crystal (LCD) lenses that function as optical shutters and periodically switch between transparent and opaque states. This switching process occurs in strict synchronisation with the frames emitted by the screen, ensuring that each frame is presented to the corresponding eye, while the other eye is blocked. Although the switching between transparency and opacity occurs at an extremely high speed, exceeding the frequencies perceived by the human eye, the process requires flawless synchronisation between the glasses and the display to avoid visual defects such as flickering or double images.

2.4.3. Anaglyph Glasses

Anaglyph glasses are one of the oldest and most widespread technologies for stereoscopic visualisation. Their operating principle is based on the use of two colour filters—usually red for the left eye and blue or cyan for the right eye [22,23]. The red filter blocks the passage of blue and green light, passing only the red components, while the blue (or cyan) filter passes the blue and green wavelengths, blocking the red ones. Through this method, each eye perceives an image from a different perspective, which allows the creation of a stereoscopic effect when the two images are correctly superimposed on the screen. Despite its simplicity and low equipment requirements, the anaglyph technique has significant limitations in terms of visualisation quality—mainly in the reduced colour gamut, reduced brightness, and the presence of colour distortions, which negatively affect the realism of the three-dimensional image.

2.5. Passive 3D Monitor

The GlobeView passive 3D monitor (Schneider Digital, Holzkirchen, Germany) utilises stereoscopic technology with circular line by line polarisation, offering a stable 3D image that eliminates flickering and visual fatigue—common issues with active 3D systems. In 3D mode, the monitor utilises a horizontally interlaced image technique (1920 × 540 pixels per eye), which ensures high brightness and smooth contours, even with a standard video card, without the need for specialised hardware. GlobeView is suitable for 3D games, as it eliminates head movement artefacts and maintains a comfortable viewing experience at a distance of between 1.5 and 6 m. The “swap eye” function allows stereo channel correction in the event of negative parallax/effect, ensuring correct matching between the left and right eyes. Although originally created for medical purposes, GlobeView provides excellent optical precision for gaming applications with passive 3D visualisation.

2.6. Methodology of Heart Rate Variability Analysis

To assess physiological responses to interaction with stereoscopic parallax in a 3D gaming environment, HRV analysis was conducted. The study included the determination of time and frequency domain parameter values, as well as the application of nonlinear methods. RR intervals, representing the time intervals between consecutive R-waves in the electrocardiogram, serve as a basic signal for calculating all HRV indicators.
In the temporal analysis, the mean value of the RR intervals, the standard deviation (SDNN), the root mean square sum of the squares of the consecutive differences (RMSSD), and the percentage of adjacent RR intervals with a difference of more than 50 ms (pNN50%) were determined. These indicators reflect both general autonomic regulation and the activity of the parasympathetic nervous system [24].
In the frequency analysis, the distribution of HRV power in the low-frequency (LF) and high-frequency (HF) ranges was studied, as well as their ratio (LF/HF), which characterises the balance between sympathetic and parasympathetic activity [25].
For a more in-depth characterisation of the autonomic regulation of the studied signals, Approximate Entropy (ApEn) and Sample Entropy (SampEn) were applied to assess the complexity and predictability of cardiac intervals, as well as the Hurst exponent (H) to analyse the long-term correlation structure and fractal dynamics of the heart rhythm [26,27]. This complex analysis enables the identification of specific changes in the autonomic nervous system associated with the perception of stereoscopic parallax in the context of gaming and virtual reality.

2.7. Data and Statistical Analysis

The study involved 22 healthy volunteers (18 men and 4 women) aged between 18 and 35 years, without previous heart disease. The relatively small sample size (n = 22) was determined based on the exploratory nature of the study and the high within-subject sensitivity of HRV measures. While this number limits the generalizability of the results, it is comparable to previous physiological VR studies and is acknowledged as a methodological limitation (see Limitations section). Each participant was tested by playing a VR game with four different stereoscopic devices: anaglyph glasses, active glasses, passive polarising glasses and a VR helmet, to assess their influence on HRV parameters. The experiment was conducted using a within-subjects design, meaning that all participants experienced all four stereoscopic conditions. The order of exposure was counterbalanced across participants to minimise order effects. Each VR session lasted approximately 20 min, followed by a two-hour rest period to prevent fatigue or side effects.
The VR task consisted of an “extreme” first-person game developed in Unity, involving fast-paced navigation through dynamically changing 3D environments with sudden visual and auditory stimuli designed to elicit stress responses. The genre can be described as a survival-action simulation, with moderate to high visual intensity. Each session maintained similar levels of difficulty and environmental complexity across stereoscopic conditions to ensure comparability.
The statistical analysis of the studied parameters was performed using a t-test to determine whether the differences between the studied groups were statistically significant. This approach was chosen to specifically assess how each technology affected HRV relative to the baseline visual experience. To control for potential inflation of Type I error due to multiple comparisons, Holm–Bonferroni correction was applied to the family of three contrasts (anaglyph vs. control, passive vs. control, active/VR vs. control). Effect size measures were calculated to quantify the magnitude of differences between experimental conditions:
  • Cohen’s d is a standardised measure of the difference between two means, expressed in units of standard deviation. Values around 0.2 are considered small, 0.5 medium, and 0.8 or higher large. In our study, Cohen’s d values greater than 1.0 indicate very large effects, suggesting substantial differences in HRV parameters between conditions.
  • Partial eta squared (η2) quantifies the proportion of total variance in a dependent variable that is attributable to an independent variable. Values around 0.01 are considered small, 0.06 medium, and 0.14 large. Higher η2 values indicate stronger associations between the experimental manipulation and observed physiological responses.
These measures complement p-values by providing information on the practical significance of the results, not just statistical significance.

3. Software Implementation

To implement the stereoscopic parallax in the experimental 3D game, virtual reality software was developed, including several versions corresponding to different technological approaches to achieve the stereoscopic effect. The leading software solutions include the following options:
  • A version of the game using the Java3D API (ver. 1.6) was developed, with integrated support for active glasses. This approach enables precise control of the frames for the left and right eyes, resulting in a high-quality stereoscopic effect on compatible 3D displays. Conceptually, this solution represents an active stereoscopic approach, where rapid frame alternation enhances depth perception but may also increase visual strain.
  • A version of the game has been created in the Unity environment, aimed at visualising stereoscopic content through passive polarisation. By using an appropriate technique to divide the image for both eyes and applying polarised filters, an effective 3D experience is achieved. Compared with the active approach, passive polarisation ensures higher comfort and lower physiological load during prolonged viewing.
  • Integrations have been developed in both Java3D and Unity (ver. 2021.3.6f1), aimed at supporting virtual reality device: Photontree 3D Pro (Photontree Optic Technology, New Taipei City, Taiwan). By using stereo rendering ensure a high level of immersion in the game environment. This HiVR approach allows full control of the stereoscopic parallax according to individual user parameters such as interpupillary distance, offering the most realistic sense of spatial presence.
  • Additional software has been developed in Unity, which allows anaglyphic rendering of scenes. This solution offers the possibility of stereoscopic perception through standard anaglyphic glasses (red–blue), making the technology accessible to users without specialised 3D equipment. Although this technique provides limited colour fidelity, it represents a LiVR solution suitable for educational or demonstration contexts.

3.1. Stereoscopic Parallax Implementation with Active VR Visualisation

Active VR technology uses stereoscopic parallax to create a sense of spatial depth. This is achieved by synchronising the visualisation of images for the left and right eyes, implemented using two three-dimensional canvases—one for each eye. The software implementation was developed using the Java3D API. Figure 3 illustrates an example of a game scene element visualised using an active stereoscopic 3D technique with active shutter glasses.
The configuration of stereoscopic parallax in Java3D is implemented using objects such as PhysicalEnvironment and PhysicalBody, which define the physical parameters of the virtual scene. In the initial position, the parallax along the Z/Y axis is assumed to be zero, and the depth effect is achieved through variations in the positioning of the objects relative to the observer.
The implementation of the stereoscopic effect requires the presence of a specialised graphics card, an active 3D monitor, active shutter glasses, as well as a synchronisation device that ensures precise coordination between the visualised frames and the switching of the glasses lenses.
A major limitation of the developed application is its inability to adjust the stereoscopic effect in real time dynamically. Parameters such as interpupillary distance, convergence point, and position of objects in the scene should be predefined in the program code, which limits adaptability to the individual characteristics of the user and the ability to change the scene configuration dynamically during operation.
The stereoscopic effect is best obtained and observed with a 3D passive monitor. When a negative parallax effect is present, a slight strain on the eyes is felt, and the “sweep eyes” function is then activated. In this case, it is possible to accelerate the speed of camera movement, which is done by pressing a key or a joystick button. Unlike active 3D technology, with polarising software, the eyes are not strained, the image quality is better, and a long ECG recording can be performed. This behavioural difference between active and passive stereoscopy is important, as it suggests different physiological reactions under varying visual conditions.
Figure 4A illustrates a case of negative parallax, where the virtual object appears to be in front of the screen, while Figure 4B shows a case of positive parallax, where the object is behind the plane of the screen. It can be seen that the parallax is greater when the object is visually in front of the screen.

3.2. Realisation of Stereoscopic Parallax Through Anaglyph and Polarising Glasses

The realisation of stereoscopic parallax in Unity for visualisation with polarising and anaglyph glasses is achieved by using two virtual cameras, located at a distance corresponding to the user’s interocular distance. The visualisation of the image for each eye is controlled by a specially created shader that processes the rendering of the scene in two separate colour channels or polarisation planes.
In anaglyph visualisation, one camera generates an image with a red filter for the left eye. In contrast, the other generates an image with a blue (or cyan) filter for the right eye. These images are superimposed on the screen, with the corresponding colour filters of the anaglyph glasses allowing each eye to perceive the correct perspective, creating a stereoscopic effect and a sense of depth.
In polarisation technology, visualisation also relies on two cameras, but the images are projected with different polarisations (usually horizontal or vertical). For correct perception, it is necessary to use a special polarisation display and polarising glasses that separate the images for the left and right eyes. Figure 5 illustrates an example of a scene element realised through anaglyph and polarising (passive) 3D visualisation.
Of particular importance for the quality of the stereoscopic effect are the coordinates of the vertices in three-dimensional space, as they determine the accuracy of the geometric transformation when rendering the scene from both perspectives. Precise camera settings and vertex processing using shaders ensure synchronisation between the images for the left and right eyes, providing high-quality perceived depth.
Conceptually, these techniques represent low-immersion stereoscopy—accessible, hardware-light solutions that provide acceptable depth cues with minimal physiological stress, making them suitable for longer experimental sessions.
Figure 6 presents a stereoscopic visualisation realised through anaglyph glasses with colour filters (red and blue). The camera in the 3D game is positioned above the buildings, which provides a “bird’s eye” perspective. Although the method is technologically applicable and straightforward without the need for specialised hardware, the quality of the visualised scenes is limited by the reduced colour gamut and the presence of chromatic distortions characteristic of the anaglyph technique.

3.3. Stereoscopic Parallax in VR Headset

Unlike passive (anaglyph and polarising) and active 3D technologies, in VR helmets, the visualisation for each eye is carried out through a separate display located directly in front of the user’s eyes (Figure 7) [28]. This eliminates the need for external synchronisation through glasses with filters or active mechanisms. The software implementation is implemented using Java3D and Unity, achieving a high level of immersion thanks to the following main features:
  • Independent rendering of images for each eye, providing a stereoscopic effect/parallax with realistic depth;
  • Precise setting of the convergence point and stereoscopic parallax, depending on the interpupillary distance (IPD).
The main advantage of this technology is the ability to individually adjust the parameters according to the physiological characteristics of the user (interpupillary distance, viewing angle). This significantly improves the perception of depth and spatial proportions, reducing visual discomfort during prolonged use.

3.4. Three-Dimensional Modelling

The VR game uses Blender (ver.3.1.2) software to model buildings, asteroids, the sea surface, and explosion effects. The final modelling result is exported in two main formats: OBJ and FBX. When developing game elements using Java3D, OBJ files are primarily used, whereas the Unity version supports both formats: OBJ for static objects and FBX for animations.
Additional plugins, such as Buildify and Blossom, were used to build architectural structures, which accelerated the process of creating detailed buildings and facades. Particular attention is paid to dynamic scenes with spectacular collisions between objects, such as an asteroid hitting a building, which requires synchronised interaction between the 3D models and the physics engine of the game environment.
Figure 8 presents various stages of the game scene development and visualisation process, achieved through the integration of different software platforms and stereoscopic techniques.

3.5. Comparative Analysis Between LiVR and HiVR

The comparison between the two main concepts of stereoscopic visualisation: LiVR and HiVR covers their advantages, limitations and impact on the user experience.
HiVR systems utilise specialised VR headsets that provide a high degree of immersion, complete interactivity, and detailed graphical visualisation, suitable for training and simulations that require a realistic environment and the development of motor skills. The main limitations of HiVR are the need for specialised hardware and the risk of visual or vestibular discomfort with prolonged use (VR sickness).
LiVR technologies, based on passive (anaglyph or polarisation) and active (shutter-based) stereoscopy, offer easy integration, low hardware requirements and minimal load on the visual system and the autonomic nervous system. They are suitable for educational and demonstration applications, but have a lower degree of immersion, limited interactivity and a lack of built-in sensors for tracking movements.
In conclusion, LiVR systems are preferred for applications where accessibility and long-term use are crucial. In contrast, HiVR systems offer the authentic user experience and high interactivity necessary for highly realistic simulations. The choice between the two technologies depends on the application goals, available resources, and physiological characteristics of the users.

4. Results

This article presents the results of a study examining the impact of various stereoscopic devices on participants’ physiological responses, as measured by HRV parameters. The study employed anaglyph glasses, active glasses, passive polarising glasses, and a virtual helmet to determine which device produces the strongest stereoscopic effect and, accordingly, the most significant impact on cardiac activity.
For the purposes of the analysis, the participants were divided into the following five groups:
  • Group 1—before the game (control group);
  • Group 2—playing with anaglyph glasses;
  • Group 3—playing with passive polarising glasses;
  • Group 4—playing with active glasses;
  • Group 5—playing with a virtual helmet.
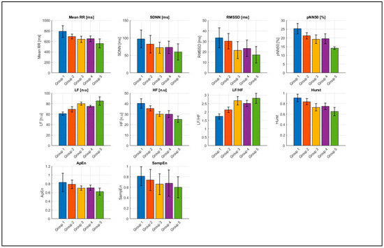
The study includes analysis in three main directions: time analysis, frequency analysis and nonlinear analysis of HRV. The mean values, the standard deviations and 95% confidence intervals of the main parameters are presented in Table 1.
Figure 9 visualises the trends in the changes in HRV parameters between the five groups. The results of the statistical comparisons between the control group and the experimental conditions are shown in Table 2. The p-values presented are based on paired-sample t-tests comparing each stereoscopic technology with the control group. A Holm–Bonferroni correction was applied to control for multiple comparisons.

5. Discussion

5.1. HRV Analysis

In the time domain analysis, a significant reduction in the mean value of the RR interval series (MeanRR) was observed in all groups using stereoscopic devices, compared to the control group. This reduction is an indicator of increased heart rate, suggesting increased activation of the sympathetic division of the autonomic nervous system in response to visual stimulation and the degree of immersion. The most pronounced reduction in MeanRR was observed in the group using the VR helmet (Group 5), indicating a higher physiological load associated with increased sensory impact and intense perception of the virtual environment. In addition to MeanRR, the parameters SDNN and RMSSD, reflecting general cardiac variability and parasympathetic regulation, also show a tendency towards reduction when using stereoscopic technologies. This decrease is particularly pronounced in the groups using active and passive 3D technology—shooter glasses (Group 4), polarising glasses (Group 3) and VR helmet (Group 5). Similar dynamics in SDNN and RMSSD values are indicative of reduced parasympathetic activity and possible occurrence of physiological stress in response to intense visual stimulation. These results are consistent with data from previous studies [29], which observed increased load on the autonomic nervous system when using highly immersive VR systems. The lower SDNN and RMSSD values in active and passive technologies can be explained by the more pronounced feeling of realism and presence in three-dimensional space, which leads to increased cognitive and sensory loads. The obtained results confirm the hypothesis that the degree of stereoscopic effect and the level of immersion directly affect cardiac activity, with more intense technologies causing more pronounced sympathetic activity, resulting in a decrease in HRV.
Analysis of HRV in the frequency domain reveals a significant increase in power in the low-frequency range (LF, 0.04–0.15 Hz) across all groups utilising stereoscopic technologies, compared to the control group. This increase is most pronounced in subjects using VR helmets (Group 5), which indicates the dominance of the sympathetic part of the autonomic nervous system in response to the increased level of visual immersion. In parallel with the increase in the LF component, a significant increase in the LF/HF ratio is also recorded, which further confirms the shift in the vegetative balance towards sympathetic dominance. The high values of the LF/HF ratio in the groups using active/passive 3D technology and a virtual headset (Group 3, Group 4 and Group 5) reflect increased psychophysiological arousal and a potential increase in cognitive and emotional load resulting from the more realistic and intense visual stimulation. This trend is consistent with the hypothesis that stereoscopic parallax and the degree of visual realism play a key role in modulating the body’s autonomic response. The more complex and dynamic visual effects characteristic of VR headsets lead to increased sensory integration and cognitive processing, which is reflected in increased sympathetic activity and suppression of parasympathetic control. With less immersive technologies, such as anaglyph and polarising glasses, the effect on the LF component and the LF/HF ratio is less pronounced, which corresponds to the lower degree of visual impact and, accordingly, less load on the autonomic nervous system. These results are consistent with other studies, which indicate that VR environments with high perceptual intensity and realism can induce physiological reactions analogous to stress reactions, characterised by increased sympathetic activity, as measured by HRV parameters. In this context, the LF/HF ratio can be used as a reliable biomarker for assessing physiological load when interacting with different VR technologies. In parallel with the registered increase in the LF component and the LF/HF ratio, a trend towards a decrease in the high-frequency component (HF, 0.15–0.40 Hz) was observed, especially pronounced in the groups using active, passive 3D technology and VR helmets (Group 3, Group 4 and Group 5). The HF component is primarily associated with parasympathetic activity. It reflects the influence of the vagus nerve on cardiac activity, with its reduction indicating the suppression of relaxation mechanisms and an increase in physiological tension. The decrease in HF power in highly immersive technologies correlates with the increased cognitive and emotional load that the VR environment creates through intense visual stimulation. This state of sympathetic dominance is characteristic of stressful situations and states of increased concentration, where autonomic regulation is readjusted towards rapid reactivity at the expense of the physiological “restorative” response, governed by the parasympathetic system. Less immersive technologies (anaglyph and polarising glasses) demonstrate a more moderate reduction in the HF component, which reflects the lower level of cognitive and emotional load, as well as the limited influence on autonomic regulation. These results emphasise the importance of HF power as an indicator of parasympathetic tone and a possible predictor of the accumulation of physiological tension during prolonged interaction with VR environments. Similar findings were reported in study [30], where higher levels of immersion led to more pronounced changes in HRV.
Nonlinear analysis of HRV, using Hurst exponent (H), Approximate Entropy (ApEn) and Sample Entropy (SampEn), provides additional information about the dynamic complexity and long-term correlation in the rhythmic activity of the heart. These indicators measure the degree of unpredictability and self-organisation in the heart rhythm, allowing a more precise analysis of the autonomic regulation of the cardiovascular system, which traditional linear methods cannot capture. When conducting experiments with virtual reality devices with a high degree of immersion (head-mounted displays), a significant decrease in ApEn and SampEn values was observed, indicating a reduction in the complexity of the heart rhythm and a transition to more regular, rhythmic states. Such a decrease in entropy indicators is interpreted as an indicator of increased sympathetic activity and reduced variability, which is a typical physiological response to stress and cognitive load. The Hurst exponent, which measures long-term correlations and trends toward persistence in heart rate, also decreased, indicating a loss of adaptive cardiorespiratory regulation during intense sensory immersion. These changes correlate with the increased attention, cognitive engagement, and psychophysiological strain associated with interacting with VR environments, where visual, auditory, and spatial stimuli trigger activation of the autonomic nervous system into a heightened state of alertness. The reduction in nonlinear heart rate complexity during highly immersive VR experiences can be considered a biomarker of psychophysiological stress and cognitive overload, which in turn has important implications for designing more ergonomic and user-friendly virtual environments. Similar effects have been reported by Melillo et al. [31], who found that nonlinear HRV metrics decrease under real-life stress conditions. Together, these findings suggest that monitoring nonlinear HRV metrics may provide valuable insights into user stress levels and cognitive load during VR interactions.
The present findings align with the broader body of evidence showing that immersive VR modulates autonomic regulation through increased sympathetic activity and reduced heart rate complexity [32,33,34].
The consistency of the present results with previous research strengthens the validity of these conclusions. The novelty of this study lies in extending prior observations by simultaneously applying both linear and nonlinear HRV analyses to systematically compare different stereoscopic display technologies under controlled gaming immersion, thus providing a more comprehensive characterisation of autonomic regulation in immersive virtual environments.

5.2. Statistical Analysis

The statistical analysis showed clear and consistent differences in heart rate variability parameters between the control and the experimental groups. A gradual change in the results was observed with increasing levels of visual immersion, suggesting activation of the autonomic nervous system and an enhanced physiological response to stress.
Comparisons with the control group (before the game) show that statistically significant differences are observed mainly in Group 3, Group 4 and Group 5, which use polarising glasses, active glasses and a virtual helmet. In the anaglyph glasses (Group 2), the changes are minimal and statistically insignificant (p > 0.05, Cohen’s d < 0.5), suggesting a lower impact and a lower degree of stress.
The large and statistically significant changes in MeanRR, pNN50, LF/HF and HF power parameters (p < 0.001, d > 1.5, η2 > 0.4) reflect the activation of the autonomic nervous system with deeper immersion in the environment. The gradual decrease in the values of HRV parameters from Group 1 to Group 5 indicates reduced cardiac variability, a typical sign of physiological stress and increased sympathetic activity. The strongest effects (η2 > 0.8) observed with the virtual helmet confirm that deeper immersion induces a more pronounced autonomic response.
These results are consistent with previous research showing that virtual and highly immersive environments can provoke intense emotional and physiological responses, reflected in changes in HRV, which supports the hypothesis of a relationship between the level of immersion and the strength of the physiological response. From a statistical perspective, the results demonstrate reliability and consistency, with low p-values and large η2 indicating that the observed effects are robust and unlikely to be due to chance.

5.3. Limitations and Future Directions

The present study has some limitations. The sample size (n = 22) was relatively small and the gender distribution was unbalanced (18 men and 4 women), which may limit the generalizability of the results. However, in the age group 18–35 years, gender differences did not significantly affect heart rate variability. Significant differences are usually observed after the age of 50 years, mainly due to hormonal changes that occur during menopause. For this reason, we believe that the unbalanced gender distribution did not significantly affect the main conclusions of the study.
The duration of ECG recordings was limited to 20 min to avoid the onset of fatigue or physical discomfort that could distort the results of heart rate variability analysis.
Despite the limitations listed, the results obtained are consistent and statistically significant, which supports the reliability of the established trends and conclusions. In the future, the study will be expanded by including larger samples, longer recordings, and a more complex experimental design.

6. Conclusions

This study highlights that the degree of immersion in stereoscopic visualisation technologies significantly influences users’ autonomic responses, as reflected in HRV measures. High-immersion devices, such as VR headsets, elicit stronger sympathetic activation and reduced parasympathetic activity, which may enhance realism and engagement but also increase physiological strain with prolonged use. Lower-immersion systems, such as anaglyph glasses, provide a milder physiological impact, making them suitable for educational or demonstration purposes requiring longer exposure without discomfort.
These findings offer practical guidance for selecting VR technologies across different applications: VR headsets are optimal for gaming, simulation, or rehabilitation scenarios demanding high immersion, while lower-immersion systems are preferable for teaching or training environments. Future research should explore long-term adaptation to immersive VR, potential gender differences in physiological responses, and the integration of real-time biofeedback to optimise user experience and safety.

Author Contributions

Conceptualization, design, investigation, and methodology: P.L. and E.G.; data processing, review for correctness, and creating software: P.L., who also performed the experiments and data analysis and wrote the manuscript. Finally, E.G. reviewed the manuscript and contributed to the final version. All authors have read and agreed to the published version of the manuscript.

Funding

This research was funded by the NATIONAL SCIENCE FUND of Bulgaria (scientific project “Research, mathematical analysis and assessment of the impact of stress on cardiac data”), grant number KP-06-M72/1, 5 December 2023.

Institutional Review Board Statement

The study was approved by the Ethics Committee of Institute of Robotics at Bulgarian Academy of Sciences (protocol code 6 and date: 2 November 2024).

Informed Consent Statement

Informed consent was obtained from all subjects involved in the study.

Data Availability Statement

The original contributions presented in the study are included in the article.

Acknowledgments

This work was conducted with the financial assistance of the National Science Fund of Bulgaria project number KP-06-M72/1, 5 December 2023, which is gratefully acknowledged.

Conflicts of Interest

The authors declare no conflicts of interest.

Appendix A. Types of Stereoscopic Parallax and Calculation

Depending on the object’s position relative to the display plane, three primary parallax types are distinguished: positive, negative and zero.
Positive parallax occurs when objects are located behind the plane of the screen relative to the viewer. In this type of parallax, the two images intended for the left and right eyes are located close to each other or partially overlap. Positive parallax creates a sense of depth while minimising visual fatigue during prolonged perception of three-dimensional content.
Negative parallax occurs when objects are visualised so that they appear to be located in front of the plane of the screen relative to the viewer. In this case, the images intended for the left and right eyes are positioned with a greater horizontal distance between them, resulting in an enhanced stereoscopic effect. Although it creates a pronounced sense of volume and proximity, excessive use of negative parallax can cause visual discomfort and fatigue during prolonged viewing.
Zero stereoscopic parallax is characterised by the placement of objects in the plane of the screen relative to the viewer. In this type of parallax, the projections for the left and right eyes coincide completely, resulting in a lack of stereoscopic depth, where objects are perceived as part of the two-dimensional plane of the screen.
Controlling stereoscopic parallax is a crucial factor in the development of 3D games for virtual reality, as it directly impacts the realism and comfort of the player. When creating VR applications, it is essential to consider both the distance between the display and the user and the screen size to optimise visual perception and minimise visual fatigue during extended gaming sessions.
Stereoscopic parallax used in the creation of 3D games is of two main types:
  • Absolute parallax along X—horizontal displacement of images along the line of sight.
  • Parallax along Y—vertical displacement perpendicular to the line of sight.
Human eyes are located about 6–7 cm apart, which leads to different angles of perception (binocular disparity). Parallax is realised through two physical stereo cameras or two virtual canvases in space. In VR, each eye receives a different image through specialised glasses or helmets, creating a sense of depth and three-dimensionality. The depth (Z) of the object is calculated based on the difference in the position of the pixels (disparity) between the left and right images.
The formula for calculating depth (Z) is [2]:
Z = B × f/d
where
  • Z—depth (distance to the object);
  • f—focal length of the camera (in mm or pixels);
  • B—baseline distance between the two cameras;
  • d—disparity is the horizontal displacement between the positions of a given pixel in the left and right images, i.e., parallax.
For objects located closer to the observer, the value of d (disparity) is larger, and the distance Z is smaller; vice versa, for distant objects, d is smaller, and Z increases.
In stereoscopic parallax, the head, cameras, or canvas remain static and fixed. This type of parallax arises solely from the difference in perspective between the two eyes and does not depend on the movement of the observer. On the other hand, in linear (dynamic) parallax, the effect occurs when the observer (or camera) moves, resulting in a visual displacement of objects in the scene. When moving, nearby objects move faster than distant ones, creating an additional sense of depth. The strength of stereoscopic parallax depends on the following two factors:
  • Convergence point—the place in space where the lines of sight of the two eyes (or cameras) intersect.
  • The position of objects in the scene—the closer the objects are to the viewer, the stronger the parallax.
When the camera or player moves, the parallax effect becomes more noticeable, especially for objects located close to the camera or screen plane. The smaller the distance between the object and the observer, the stronger the parallax effect is manifested when changing the point of view. The types of parallax effects are as follows:
  • Geometric parallax (real 3D)—occurs with natural binocular vision, when both eyes perceive the object from a different angle.
  • Monocular parallax—used in 2D graphics and web design through anaglyph projections to create the illusion of depth.
  • Motion parallax—an effect caused by camera or head movement, in which nearby objects move faster than distant ones.
In game environments such as Unity and Java/Java3D, to achieve an optimal stereo effect, it is recommended to run the application in full-screen mode (EXE file).

Appendix B. Projection and Coordinate Transformations

Among the characteristics of a virtual camera in 3D games, the most important is the projection type, which determines the visualisation of the three-dimensional scene on the two-dimensional screen. The main types of projections used in 3D game development are perspective and orthographic.
Perspective projection simulates the way the human eye perceives space: objects appear smaller as their distance from the camera increases. This is the standard projection method in 3D games, as it provides realism and depth to the scene.
Orthographic projection—This type of projection lacks perspective—objects retain the same size regardless of their distance from the camera. In 3D games, orthographic projection is mainly used for technical views, user interfaces, or for specific visual effects in the game process.
Each virtual scene is visualised from the camera’s perspective, using a specific mathematical apparatus [15,18,19]:
  • View Matrix—defines the transformations through which the coordinates of the objects pass from the scene coordinate system to the camera coordinate system.
  • Projection Matrix—transforms the scene from 3D to 2D, creating the effect of perspective or orthographic projection.
  • Viewport Transform—converts coordinates from a normalised coordinate system to specific pixel positions on the screen.

References

  1. Tao, J.; Fang, L. A Stereoscopic Parallax Generation Algorithm in a Virtual Reality Scene That Takes the Viewpoint-Related LOD Quadtree into Account. In Proceedings of the International Conference on Smart Grid and Electrical Automation (ICSGEA), Changsha, China, 9–10 June 2018; pp. 245–248. [Google Scholar] [CrossRef]
  2. Praveen, S. Efficient Depth Estimation Using Sparse Stereo-Vision with Other Perception Technique. In Coding Theory; Radhakrishnan, S., Sarfraz, M., Eds.; IntechOpen: London, UK, 2020. [Google Scholar] [CrossRef]
  3. Rakowski, R.; Gruber, A. Low-Immersion versus High-Immersion Virtual Reality: Definitions, Classification, and Examples with a Foreign Language Focus. In Proceedings of the Innovation in Language International Conference, Florence, Italy, 14–15 November 2019. [Google Scholar]
  4. Ciążyńska, J.; Maciaszek, J. Effects of Low-Immersive vs. High-Immersive Exercise Environment on Postural Stability and Reaction and Motor Time of Healthy Young Adults. J. Clin. Med. 2023, 12, 389. [Google Scholar] [CrossRef] [PubMed]
  5. Cao, Y.; Ng, G.-W.; Ye, S.-S. Design and Evaluation for Immersive Virtual Reality Learning Environment: A Systematic Literature Review. Sustainability 2023, 15, 1964. [Google Scholar] [CrossRef]
  6. Christou, C. Virtual Reality in Education. In Affective, Interactive and Cognitive Methods for E-Learning Design: Creating an Optimal Education Experience; Tzanavari, A., Tsapatsoulis, N., Eds.; IGI Global Scientific Publishing: Hershey, PA, USA, 2010; pp. 228–243. [Google Scholar] [CrossRef]
  7. Piovesan, S.; Passerino, L.; Pereira, A. Virtual Reality as a Tool in the Education. In Proceedings of the IADIS International Conference and Cognition and Exploratory Learning in Digital Age, Greece (CELDA), Madrid, Spain, 19–21 October 2012; pp. 295–298. Available online: https://files.eric.ed.gov/fulltext/ED542830.pdf (accessed on 16 November 2025).
  8. Gerber, S.M.; Jeitziner, M.M.; Wyss, P.; Chesham, A.; Urwyler, P.; Muri, R.; Jakob, S.M.; Nef, T. Visuo-acoustic stimulation that helps you to relax: A virtual reality setup for patients in the intensive care unit. Sci. Rep. 2017, 7, 13228. [Google Scholar] [CrossRef] [PubMed]
  9. Azurdia, D.; Acuña, S.; Narasaki-Jara, M.; Furtado, O., Jr.; Jung, T. Effects of Virtual Reality-Based Aerobic Exercise on Perceptions of Pain and Fatigue in Individuals with Spinal Cord Injury. Games Health J. 2022, 11, 236–241. [Google Scholar] [CrossRef]
  10. Hou, C.-J.; Chen, Y.-T.; Capilayan, M.; Lin, Y.-S.; Huang, M.-W.; Huang, J.-J. Analysis of Heart Rate Variability in Response to Serious Games in Elderly People. Sensors 2021, 21, 6549. [Google Scholar] [CrossRef]
  11. Lebamovski, P.; Gospodinova, E. Investigating the Impact of Mental Stress on Electrocardiological Signals through the Use of Virtual Reality. Technologies 2024, 12, 159. [Google Scholar] [CrossRef]
  12. Lebamovski, P.; Gospodinova, E. Investigating Stress during a Virtual Reality Game Through Fractal and Multifractal Analysis of Heart Rate Variability. Appl. Syst. Innov. 2025, 8, 16. [Google Scholar] [CrossRef]
  13. Lebamovski, P. Exploring Heart Rate Variability and Mental Effects of Gameplay in Virtual Reality and 3D Morphing Animation. Technologies 2025, 13, 157. [Google Scholar] [CrossRef]
  14. Galabov, M. 2D to 3D conversion algorithms. In Proceedings of the Second International Virtual Research Conference in Technical Disciplines, Online, 17–21 November 2014; pp. 91–93. [Google Scholar] [CrossRef]
  15. Holliman, N.S.; Dodgson, N.A.; Favalora, G.E.; Pockett, L. Three-dimensional displays: A review and applications analysis. IEEE Trans. Broadcast. 2011, 57, 362–371. [Google Scholar] [CrossRef]
  16. Zhang, H.; Liang, D. Computer Graphics Using Java 2D and 3D; Prentice Hall: Hoboken, NJ, USA, 2007. [Google Scholar]
  17. Terrazas, A.; Ostuni, J.; Barlow, M. Java Media APIS: Cross-Platform Imaging, Media, and Visualization; Sams: Indianapolis, IN, USA, 2002. [Google Scholar]
  18. Li, S.; Yang, C.; Peng, Z.; Liu, Y.; Diao, Z.; Lu, X.; Yu, Y.; Wang, Q.; Mu, Q. Continuously focus tunable 2D/3D switchable cylindrical liquid crystal microlens arrays for autostereoscopic displays. Opt. Express 2025, 33, 1594–1608. [Google Scholar] [CrossRef]
  19. LaValle, S. Virtual Reality; Cambridge University Press: Cambridge, UK, 2023; pp. 66–92. Available online: http://vr.cs.uiuc.edu (accessed on 16 November 2025).
  20. Banks, M.; Read, J.; Allison, R.; Watt, S. Stereoscopy and the human visual system. SMPTE Motion Imaging J. 2004, 113, 44–54. [Google Scholar] [CrossRef]
  21. Howard, I.; Rogers, B. Perceiving in Depth, Volume 2: Stereoscopic Vision; Oxford University Press: Oxford, UK, 2012. [Google Scholar]
  22. Kang, J.; Zhang, X.; Zhang, C.; Liu, B. Application of 3D Stereoscopic Visualization Technology in Casting Aspect; China Foundry Association: Beijing, China, 2014; pp. 308–313. [Google Scholar]
  23. Keresteš, K. Making the anaglyph map. Geod. Vestn. 2000, 44, 1–2. [Google Scholar]
  24. Georgieva-Tsaneva, G. Interactive Cardio System for Healthcare Improvement. Sensors 2023, 23, 1186. [Google Scholar] [CrossRef]
  25. Georgieva-Tsaneva, G.; Cheshmedzhiev, K.; Tsanev, Y.-A.; Dechev, M.; Popovska, E. Healthcare Monitoring Using an Internet of Things-Based Cardio System. IoT 2025, 6, 10. [Google Scholar] [CrossRef]
  26. Delgado-Bonal, A.; Marshak, A. Approximate Entropy and Sample Entropy: A Comprehensive Tutorial. Entropy 2019, 21, 541. [Google Scholar] [CrossRef] [PubMed]
  27. Henriques, T.; Ribeiro, M.; Teixeira, A.; Castro, L.; Antunes, L.; Costa-Santos, C. Nonlinear Methods Most Applied to Heart-Rate Time Series: A Review. Entropy 2020, 22, 309. [Google Scholar] [CrossRef]
  28. Gobbeti, E.; Scateni, R. Virtual Reality: Past, Present and Future. In Virtual Environments in Clinical Psychology and Neuro-Science; Riva, G., Wiederhold, B.K., Molinari, E., Eds.; IOS Press: Amsterdam, The Netherlands, 1998; pp. 3–20. [Google Scholar] [CrossRef]
  29. Georgieva-Tsaneva, G.; Cheshmedzhiev, K.; Tsanev, Y.-A.; Dechev, M. Physiological State Recognition via HRV and Fractal Analysis Using AI and Unsupervised Clustering. Information 2025, 16, 718. [Google Scholar] [CrossRef]
  30. Malińska, M.; Zużewicz, K.; Bugajska, J.; Grabowski, A. Heart rate variability (HRV) during virtual reality immersion. Int. J. Occup. Saf. Ergon. JOSE 2015, 21, 47–54. [Google Scholar] [CrossRef]
  31. Melillo, P.; Bracale, M.; Pecchia, L. Nonlinear Heart Rate Variability features for real-life stress detection. Case study: Students under stress due to university examination. Biomed. Eng. Online 2011, 10, 96. [Google Scholar] [CrossRef]
  32. Kim, H.; Kim, D.J.; Kim, S.; Chung, W.H.; Park, K.A.; Kim, J.D.K.; Kim, D.; Kim, M.J.; Kim, K.; Jeon, H.J. Effect of Virtual Reality on Stress Reduction and Change of Physiological Parameters Including Heart Rate Variability in People with High Stress: An Open Randomized Crossover Trial. Front. Psychiatry 2021, 12, 614539. [Google Scholar] [CrossRef]
  33. Özgün, İ.; Işıkçı Koca, E.; Scharfen, H.; Özbilgen, E.; Yerlikaya, D.; Özbilgen, E. Heart Rate Variability in Athletes During a Virtual Reality-Based Working Memory Experience. AURUM J. Eng. Syst. Archit. 2024, 8, 207–234. [Google Scholar] [CrossRef]
  34. Dal, N.; Tok, S.; Balıkçı, İ.; Yılmaz, S.E.; Binboğa, E. Comparison of Heart Rate Variability Psychological Responses and Performance in Virtual and Real Archery. Brain Behav. 2024, 14, e70070. [Google Scholar] [CrossRef]
Figure 1. Binocular vision and stereoscopic parallax. (A) Mechanism of binocular vision, illustrating how the human visual system combines images from both eyes to perceive depth. (B) Types of stereoscopic parallax, showing how differences in images between the left and right eyes create the perception of three-dimensional structure.
Figure 1. Binocular vision and stereoscopic parallax. (A) Mechanism of binocular vision, illustrating how the human visual system combines images from both eyes to perceive depth. (B) Types of stereoscopic parallax, showing how differences in images between the left and right eyes create the perception of three-dimensional structure.
Technologies 13 00545 g001
Figure 2. Implementation of stereoscopic parallax. (A) Schematic of stereoscopic parallax implementation in Unity: cameras generate left and right views, which are combined to form the 3D scene. (B) Schematic of stereoscopic parallax implementation in Java3D: a canvas3D generates left and right views, which are combined to form the 3D scene. Arrows indicate the flow of visual information from the camera or canvas to the left and right views and finally to the combined 3D output.
Figure 2. Implementation of stereoscopic parallax. (A) Schematic of stereoscopic parallax implementation in Unity: cameras generate left and right views, which are combined to form the 3D scene. (B) Schematic of stereoscopic parallax implementation in Java3D: a canvas3D generates left and right views, which are combined to form the 3D scene. Arrows indicate the flow of visual information from the camera or canvas to the left and right views and finally to the combined 3D output.
Technologies 13 00545 g002
Figure 3. Game scene visualised using active 3D technology, employing active shutter glasses to provide stereoscopic depth perception and enhanced user immersion.
Figure 3. Game scene visualised using active 3D technology, employing active shutter glasses to provide stereoscopic depth perception and enhanced user immersion.
Technologies 13 00545 g003
Figure 4. Parallax effect in Unity: (A) negative parallax (objects appear in front of the screen), (B) positive parallax (objects appear behind the screen), illustrating stereoscopic depth perception.
Figure 4. Parallax effect in Unity: (A) negative parallax (objects appear in front of the screen), (B) positive parallax (objects appear behind the screen), illustrating stereoscopic depth perception.
Technologies 13 00545 g004
Figure 5. 3D visualisation using different stereoscopic techniques: (A) anaglyph method, where red–blue glasses create depth perception; (B) polarisation method, where polarising glasses enable stereoscopic viewing with preserved colour fidelity.
Figure 5. 3D visualisation using different stereoscopic techniques: (A) anaglyph method, where red–blue glasses create depth perception; (B) polarisation method, where polarising glasses enable stereoscopic viewing with preserved colour fidelity.
Technologies 13 00545 g005
Figure 6. Anaglyph visualisation demonstrating stereoscopic depth perception: (A) red channel filtration; (B) blue channel filtration; (C) combined anaglyph image/material for 3D viewing.
Figure 6. Anaglyph visualisation demonstrating stereoscopic depth perception: (A) red channel filtration; (B) blue channel filtration; (C) combined anaglyph image/material for 3D viewing.
Technologies 13 00545 g006
Figure 7. HiVR stereoscopic visualisation using two displays for the left and right eyes, implemented in Unity/Java3D to provide immersive 3D depth perception.
Figure 7. HiVR stereoscopic visualisation using two displays for the left and right eyes, implemented in Unity/Java3D to provide immersive 3D depth perception.
Technologies 13 00545 g007
Figure 8. Examples of 3D model development and visualisation in Blender, Unity, and Java3D: (A) Modelling in Blender with the Buildify plugin; (B) Importing an FBX file into Unity; (C) Importing an OBJ file into Java3D; (D) Visualisation with polarisation technique in Unity; (E) Anaglyph visualisation in Unity; (F) Visualisation using active 3D technology.
Figure 8. Examples of 3D model development and visualisation in Blender, Unity, and Java3D: (A) Modelling in Blender with the Buildify plugin; (B) Importing an FBX file into Unity; (C) Importing an OBJ file into Java3D; (D) Visualisation with polarisation technique in Unity; (E) Anaglyph visualisation in Unity; (F) Visualisation using active 3D technology.
Technologies 13 00545 g008
Figure 9. Comparison of HRV parameters between five experimental groups: Group 1—before the game (control group); Group 2—playing with anaglyph glasses; Group 3—playing with passive polarising glasses; Group 4—playing with active glasses; Group 5—playing with a virtual helmet.
Figure 9. Comparison of HRV parameters between five experimental groups: Group 1—before the game (control group); Group 2—playing with anaglyph glasses; Group 3—playing with passive polarising glasses; Group 4—playing with active glasses; Group 5—playing with a virtual helmet.
Technologies 13 00545 g009
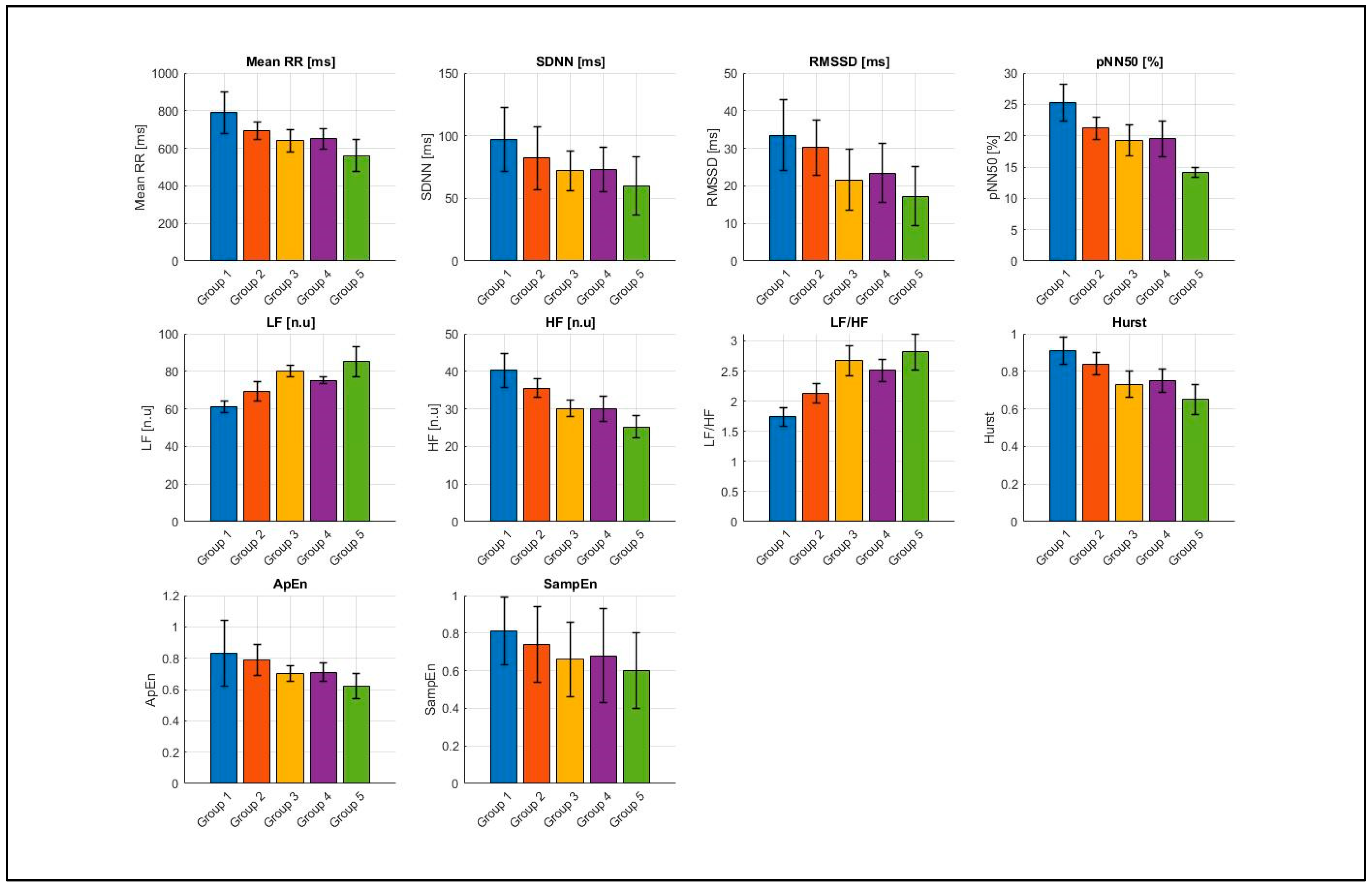
Table 1. HRV analysis across five VR experimental groups.
Table 1. HRV analysis across five VR experimental groups.
ParametersGroup 1Group 2Group 3 Group 4Group 5
Mean ± SD (95% CI)
Time-domain analysisMeanRR [ms]789 ± 110
(740–838)
670 ± 47
(650–690)
640 ± 60
(613–667)
650.2 ± 53.4
(627–673)
560.3 ± 85.1
(523–597)
SDNN [ms]97.3 ± 25.4
(81–114)
82.03 ± 25.3
(71–93)
72 ± 16
(65–79)
73 ± 18
(65–81)
60.1 ± 23.1
(50–70)
RMSSD [ms]33.5 ± 9.5
(25–42)
30.2 ± 7.3
(27–33)
21.6 ± 8.1
(18–25)
23.4 ± 7.9
(20–26)
17.2 ± 7.9
(14–20)
pNN50 [%]25.3 ± 2.9
(24–27)
21.2 ± 1.80
(20–22)
19.3 ± 2.5
(18–21)
19.5 ± 2.9
(18–21)
14.2 ± 0.8
(13.9–14.5)
Frequency-domain analysisLF [n.u]61.1 ± 3.2
(59–63)
69.3 ± 5.3
(67–72)
80.1 ± 3.2
(78–82)
75.2 ± 1.8
(74–76)
85.1 ± 7.8
(82–89)
HF [n.u]40.3 ± 4.50
(38–43)
32.5 ± 2.5
(31–34)
30.1 ± 2.2
(29–31)
30 ± 3.3
(28–32)
25.2 ± 2.9
(24–27)
LF/HF1.52 ± 0.15
(1.45–1.6)
2.13 ± 0.16
(2.06–2.20)
2.67 ± 0.25
(2.55–2.79)
2.51 ± 0.19
(2.42–2.60)
3.3 ± 0.3
(3.16–3.44)
Nonlinear analysisHurst0.91 ± 0.07
(0.88–0.9)
0.84 ± 0.06
(0.81–0.87)
0.73 ± 0.07
(0.70–0.76)
0.75 ± 0.06
(0.72–0.78)
0.65 ± 0.08
(0.61–0.69)
ApEn0.83 ± 0.21
(0.74–0.9)
0.79 ± 0.1
(0.74–0.84)
0.70 ± 0.05
(0.68–0.72)
0.71 ± 0.06
(0.68–0.74)
0.62 ± 0.08
(0.59–0.65)
SampEn0.81 ± 0.18
(0.73–0.9)
0.74 ± 0.2
(0.65–0.83)
0.66 ± 0.2
(0.57–0.75)
0.68 ± 0.25
(0.57–0.79)
0.60 ± 0.2
(0.51–0.69)
Table 2. Statistical comparison of heart rate variability parameters between pre-game control (Group 1) and different visual immersion technologies (from Group 2 to Group 5).
Table 2. Statistical comparison of heart rate variability parameters between pre-game control (Group 1) and different visual immersion technologies (from Group 2 to Group 5).
ParameterGroup 1 vs. Group 2Group 1 vs. Group 3Group 1 vs. Group 4Group 1 vs. Group 5
pdη2pdη2Pdη2pDη2
Time-domain analysis
MeanRR [ms]0.00011.410.340.00011.680.430.00011.610.400.00012.330.59
SDNN [ms]0.1070.500.060.00390.920.1820.00640.870.160.00021.240.29
RMSSD [ms]0.460.220.010.0110.800.1430.0300.680.110.00081.100.24
pNN50 [%]0.00011.700.430.00012.220.560.00012.00.510.00015.220.87
Frequency-domain analysis
LF [n.u]0.0001−1.90.480.0001−5.90.900.0001−5.40.880.0001−4.030.81
HF [n.u]0.00012.140.550.00012.880.680.00012.610.640.00013.990.81
LF/HF0.0001−3.90.800.0001−5.60.890.0001−5.80.890.0001−7.50.94
Nonlinear analysis
Hurst0.00091.070.230.00012.570.630.00012.450.610.00013.460.76
ApEn0.4240.240.020.00720.850.160.01360.780.140.00011.320.31
SampEn0.2290.370.030.0120.790.140.0540.600.0850.00071.100.24
Disclaimer/Publisher’s Note: The statements, opinions and data contained in all publications are solely those of the individual author(s) and contributor(s) and not of MDPI and/or the editor(s). MDPI and/or the editor(s) disclaim responsibility for any injury to people or property resulting from any ideas, methods, instructions or products referred to in the content.

Share and Cite

MDPI and ACS Style

Lebamovski, P.; Gospodinova, E. Impact of Stereoscopic Technologies on Heart Rate Variability in Extreme VR Gaming Conditions. Technologies 2025, 13, 545. https://doi.org/10.3390/technologies13120545

AMA Style

Lebamovski P, Gospodinova E. Impact of Stereoscopic Technologies on Heart Rate Variability in Extreme VR Gaming Conditions. Technologies. 2025; 13(12):545. https://doi.org/10.3390/technologies13120545

Chicago/Turabian Style

Lebamovski, Penio, and Evgeniya Gospodinova. 2025. "Impact of Stereoscopic Technologies on Heart Rate Variability in Extreme VR Gaming Conditions" Technologies 13, no. 12: 545. https://doi.org/10.3390/technologies13120545

APA Style

Lebamovski, P., & Gospodinova, E. (2025). Impact of Stereoscopic Technologies on Heart Rate Variability in Extreme VR Gaming Conditions. Technologies, 13(12), 545. https://doi.org/10.3390/technologies13120545

Note that from the first issue of 2016, this journal uses article numbers instead of page numbers. See further details here.

Article Metrics

Back to TopTop