Shifting and Expanding Clause Combining Strategies in Heritage Turkish Varieties
Abstract
:1. Introduction
1.1. Heritage Languages
1.2. The Present Study
- What are the differences between the three varieties in terms of frequency distributions and variation between strategies of clause combining?
 - What are the differences between the three varieties with respect to age, mode, and register variation in terms of the various clause combining strategies used?
 - Do we find in the heritage varieties shifting form–function relations in specific forms leading to the development of new coordinators? If yes, what are the reasons for their emergence?
 - To what extent can we relate our findings concerning the heritage varieties to internal developments, cross-linguistic influence, and/or incomplete acquisition?
 
1.3. Clause Combining
1.4. Clause Combining in Turkish
2. Methods
2.1. Participants and Data
2.2. Elicitation: Language Situations (Wiese 2020)
2.3. Statistical Analysis and Data Presentation
3. Results
3.1. Overall Distribution of Non-Finite Subordination in Turkish Varieties
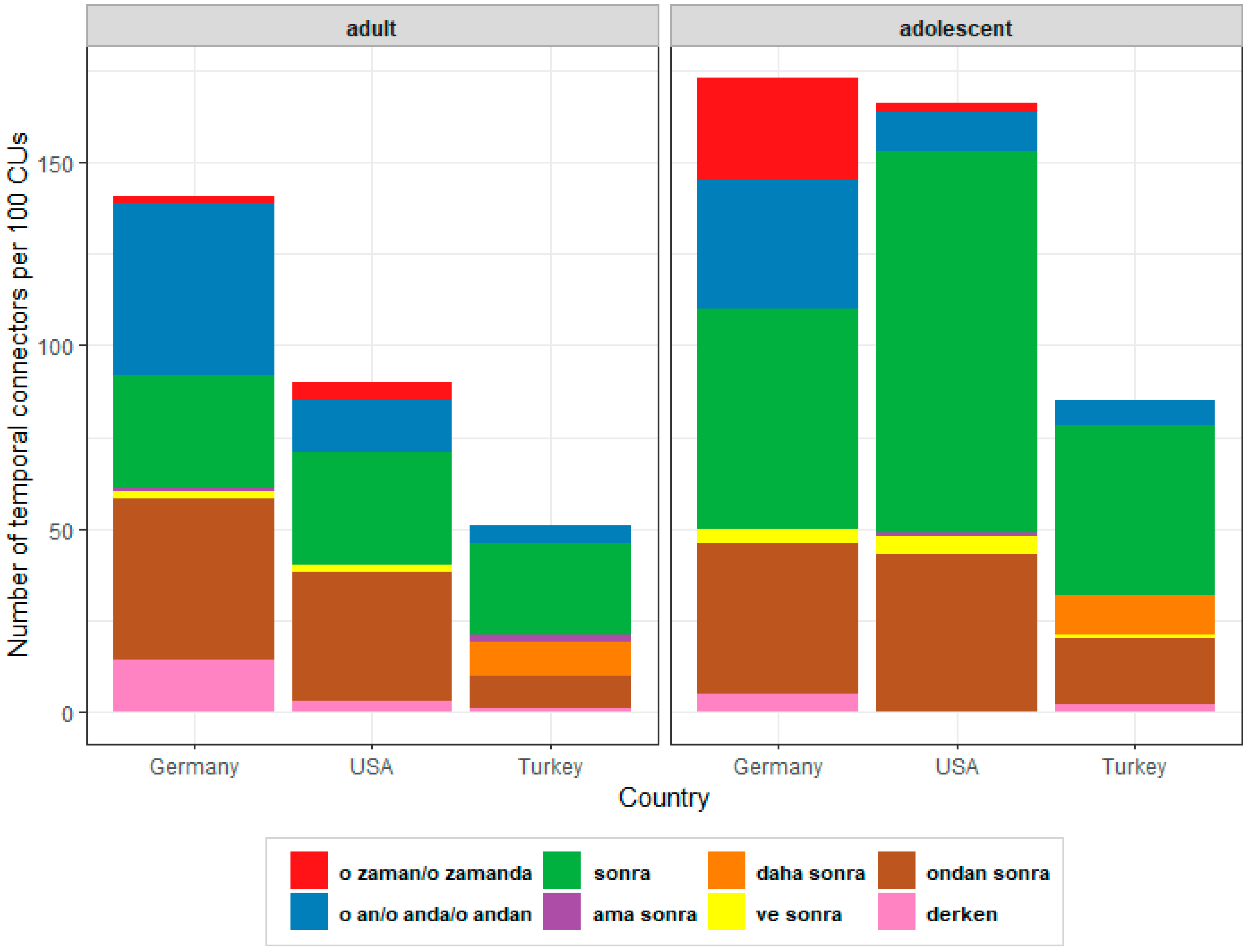
3.2. Overall Distribution of Coordination (Parataxis) Based on Connectors in the Turkish Varieties
3.3. Modeling the Use of Connectors and Non-Finite Verbs
3.4. Distribution of Specific Connectors in Turkish Varieties in General
3.5. Distribution of Functions of o Zaman and Derken
3.5.1. o zaman
- (1)
 - A: Çok terledim.Z: Duş müsait.A: O zaman bir duş alayım.“A: I’m very sweaty.Z: The shower is free.A: Then, I’ll take a shower.”
 
- (2)
 - Adam topla oynuyordu ve top birden elinden kaydi ve yola düstü. Tam da o zaman bir araba geliyordu ve birden frenledi. (DEbi12FT_iwT)8
 
“The man was playing with the ball, and suddenly the ball slipped and fell on the street. Right then, a car was coming and suddenly braked.”
- (3)
 - Bir tane çocuk yolda yürürken o da e topla oynuyordu. O zaman top da e sokağa fırladı. O zaman yanında köpek vardı. (DEbi75FT_fsT)
 
In Table 5, we summarize the three functions of o zaman in the corpus and provide the raw numbers for the overall occurrences of o zaman.“While a child was walking on the street, s/he was playing with a ball. Then, the ball fell onto the street. Then, there was a dog next to them.”
3.5.2. derken
- (4)
 - yani çocuk da topla oynuyodu çocuk derken hani bi (-) yirmi yirmi (-) beş vardır (DEbi61FT_isT)
 
“So, the child was playing with the ball, speaking of child I actually meant someone around 20 or so.”
- (5)
 - köpek topa koşıyım derken sokağa fırladı (TUmo53MT_iwT)
 
“deciding to run for the ball, the dog threw itself on the street” (lit: “I will run for the ball saying the dog threw itself on the street”
- (6)
 - bir genç çift tam yolu geçecekti (-) park alanında (-) derken ellerinden top düştü yola (DEbi04MT_isT)
 
In Table 6, we summarize the three functions of derken in the corpus and provide the raw numbers for the overall occurrences of derken.“a young couple in the parking space was just about to cross the street when the ball fell from their hands on the road”
3.5.3. Sources of Change in the Use of O Zaman and Derken: Incomplete Acquisition?
4. Discussion
Author Contributions
Funding
Institutional Review Board Statement
Informed Consent Statement
Data Availability Statement
Acknowledgments
Conflicts of Interest
Appendix A
Statistical Analysis
Appendix B
| Fixed Effect | β (σ) | p-Value | 
|---|---|---|
| (intercept) | −0.37 (0.10) | *** | 
| Age | 0.26 (0.10) | * | 
| Register | −0.12 (0.05) | ** | 
| Mode | 0.02 (0.05) | ns | 
| Register*Mode | 0.05 (0.05) | ns | 
| Fixed Effect | β (σ) | p-Value | 
|---|---|---|
| (intercept) | −1.31 (0.09) | *** | 
| Age | −0.01 (0.01) | ns | 
| Register | −0.30 (0.05) | *** | 
| Mode | 0.08 (0.05) | ns | 
| Register*Mode | 0.07 (0.05) | ns | 
| Fixed Effect | β (σ) | p-Value | 
|---|---|---|
| (intercept) | −0.43 (0.11) | *** | 
| Age | 0.05 (0.11) | ns | 
| Register | −0.16 (0.05) | ** | 
| Mode | −0.07 (0.05) | ns | 
| Register*Mode | 0.01 (0.05) | ns | 
Appendix C


| 1 | With ‘canonical Turkish’, we refer to the standard varieties, spoken and written, as laid out in descriptive grammars such as (Kornfilt 1997; Göksel and Kerslake 2005; van Schaaik 2020).  | ||||||||||||||
| 2 | We take as a starting point Haspelmath’s definition of coordination: “The term coordination refers to syntactic constructions in which two or more units of the same type are combined into a larger unit and still have the same semantic relations with other surrounding elements” (Haspelmath 2004, p. 29).  | ||||||||||||||
| 3 | Moreover, other grammars of Turkish follow this distinction, though with a different terminology, i.e., Göksel and Kerslake (2005, p. 212ff.: “conjunctions” vs. “discourse connectives”), (van Schaaik 2020, p. 339: “particles which carry a minimal amount of meaning” vs. “particles which connect two clauses in terms of reason, purpose, cause, and the like”).  | ||||||||||||||
| 4 | Within this project, a narration task elicited data from more than 700 participants in five languages, i.e., German, English, Greek, Russian, and Turkish. Additional elicitation was conducted with other language pairs (e.g., Kurdish–Turkish–German) and other HL varieties (e.g., German in the United States).  | ||||||||||||||
| 5 | The PDF versions of the questionnaire can be found here: https://osf.io/qhupg/ (accessed on 9 September 2022).  | ||||||||||||||
| 6 | We normalized the use of connectors per 100 CUs because we assume that only one connector can be used per CU. However, as we see in Figure 3, there are several cases where there is more than one connector used per 1 CU (as demonstrated in the example below). The reason is that we calculated the overall number of connectors (clause-initial and not).
         
 “In addition, then because the car in the back crashed because it didn’t see”  | ||||||||||||||
| 7 | The post hoc result compares the levels of the Country variable separately to each other. In contrast, the full regression model with all the predictors importantly finds a significant effect of country. This is because the Country variable is sum-contrast coded meaning that each level is compared to the grand mean of all levels.  | ||||||||||||||
| 8 | The participant codes provide the following information:
         
  | ||||||||||||||
| 9 | The plot only shows the uses of the novel functions of o zaman and derken in the heritage varieties. As there are no novel uses in the Turkey’s Turkish variety and the other uses of derken are also extremely infrequent or did not occur in this group, the group is left out of the figure.  | 
References
- Aalberse, Suzanne, Ad Backus, and Pieter Muysken. 2019. Heritage Languages. Amsterdam: Benjamins. Available online: https://www.jbe-platform.com/content/books/9789027261762 (accessed on 9 September 2022).
 - Aarssen, Jeroen, Mehmet-Ali Akinci, and Kutlay Yağmur. 2001. Development of clause linkage in the narratives: A comparison of Turkish children in Australia, France, the Netherlands and Turkey. In Research on Child Language Acquisition: Proceedings of the 8th Conference of the IASCL. Edited by Margareta Almgren, Andoni Barreña, María-José Ezeizabarrena, Itziar Idiazabal and Brian MacWhinney. San Sebastian: University of the Basque Country, pp. 41–56. [Google Scholar]
 - Backus, Ad. 2004. Convergence as a mechanism of language change. Bilingualism: Language and Cognition 7: 179–81. [Google Scholar]
 - Bates, Douglas, Martin Mächler, Ben Bolker, and Steve Walker. 2015. Fitting Linear Mixed-Effects Models Using lme4. Journal of Statistical Software 67: 1–48. [Google Scholar] [CrossRef]
 - Bayram, Fatih. 2013. Acquisition of Turkish by Heritage Speakers: A Processability Approach. Ph.D. thesis, Newcastle University, Newcastle, UK. [Google Scholar]
 - Biber, Douglas, and Susan Conrad. 2009. Register, Genre, and Style. Cambridge: Cambridge University Press. [Google Scholar]
 - Bohnacker, Ute, and Birsel Karakoç. 2020. Subordination in children acquiring Turkish as a heritage language in Sweden. In Studies in Turkish as a Heritage Language. Edited by Fatih Bayram. Amsterdam: Benjamins, pp. 155–204. [Google Scholar]
 - Chafe, Wallace L. 1976. Givenness, contrastiveness, definiteness, subjects, topics, and point of view. In Subject and Topic. Amsterdam: Elsevier Science & Technology Books, pp. 25–55. [Google Scholar]
 - Dollnick, Meral. 2013. Konnektoren in türkischen und deutschen Texten bilingualer Schüler. Frankfurt: Lang. [Google Scholar]
 - Göksel, Aslı, and Celia Kerslake. 2005. Turkish. (1. publ). London: Routledge. [Google Scholar]
 - Grabowski, John J. 2005. Prospects and Challenges: The Study of Early Turkish Immigration to the United States. Journal of American Ethnic History 25: 85–100. [Google Scholar]
 - Haspelmath, Martin. 2004. Coordinating constructions: An overview. Typological Studies in Language 58: 3–40. [Google Scholar]
 - Herkenrath, Annette. 2016. Deictic conjunctions in the Turkish of bilingual children? In The Uppsala Meeting. Proceedings of the 13th International Conference on Turkish Linguistics. Edited by Éva Á. Csató, Birsel Karakoç and Astrid Menz. Wiesbaden: Harrassowitz, pp. 122–34. [Google Scholar]
 - Herkenrath, Annette, and Birsel Karakoç. 2007. Zur Morphosyntax äußerungsinterner Konnektivität bei mono- und bilingualen türkischen Kindern. In Einheit und Vielfalt in der türkischen Welt. Materialien der 5. Deutschen Turkologenkonferenz, Universität Mainz, 4–7 Oktober 2002. Edited by Hendrik Boeschoten and Heidi Stein. Wiesbaden: Harrassowitz, pp. 131–60. [Google Scholar]
 - Herkenrath, Annette. 2007. Discourse coordination in Turkish monolingual and Turkish–German bilingual children’s talk: Işte. In Connectivity in Grammar and Discourse. Amsterdam: John Benjamins Publishing Company, pp. 291–328. [Google Scholar]
 - Iefremenko, Kateryna, and Christoph Schroeder. 2019. Göçmen Türkçesinde cümle birleştirme. Pilot çalışma [Clause-combining in Heritage Turkish: A pilot study]. Dilbilimde Güncel Tartışmalar 33: 247–55. [Google Scholar]
 - Iefremenko, Kateryna, Christoph Schroeder, and Jaklin Kornfilt. 2021. Converbs in heritage Turkish: A contrastive approach. Nordic Journal of Linguistics 44: 130–54. [Google Scholar] [CrossRef]
 - Johanson, Lars. 1992. Strukturelle Faktoren in Türkischen Sprachkontakten. Stuttgart: Steiner, vol. 29. [Google Scholar]
 - Johanson, Lars. 1996. Kopierte Satzjunktoren im Türkischen. STUF-Language Typology and Universals 49: 39–49. [Google Scholar] [CrossRef]
 - Johanson, Lars. 2010. Three kinds of clause junctors. In Aspects of Co- and Subordination. Case Studies from African, Slavonic, and Turkic Languages. Edited by Georg Ziegelmeyer and Norbert Cyffer. Cologne: Köppe Verlag, pp. 9–14. [Google Scholar]
 - Johanson, Lars. 2021. Turkic. Cambridge: Cambridge University Press. [Google Scholar]
 - Karakoç, Birsel. 2007. Connectivity by means of finite elements in monolingual and bilingual Turkish discourse. In Connectivity in Grammar and Discourse. Edited by Jochen Rehbein, Christiane Hohenstein and Lukas Pietsch. Amsterdam: Benjamins, pp. 199–227. [Google Scholar]
 - Kerslake, Celia. 2007. Alternative subordination strategies in Turkish. In Connectivity in Grammar and Discourse. Edited by Jochen Rehbein and Lukas Hohenstein. Amsterdam: Benjamins, pp. 199–227. [Google Scholar] [CrossRef]
 - Kornfilt, Jaklin. 1997. Turkish. London: Routledge. [Google Scholar]
 - Kornfilt, Jaklin. 2014. Differentiating between free adjuncts and (non-)free relatives in Turkish. Dilbilim Araştırmaları 2: 117–29. [Google Scholar]
 - Küppers, Almut, Yazgül Şimşek, and Christoph Schroeder. 2015. Turkish as a minority language in Germany: Aspects of language development and language instruction. Zeitschrift für Fremdsprachenforschung 26: 29–51. [Google Scholar]
 - Labov, William. 2012. What is to be learned. Review of Cognitive Linguistics 10: 265–93. [Google Scholar] [CrossRef]
 - Labov, William, and Wendell A. Harris. 1994. Addressing social issues through linguistic evidence. In Language and the Law. Edited by John Gibbons. London: Routledge, pp. 265–305. [Google Scholar]
 - Lehmann, Christian. 1988. Towards a typology of clause linkage. In Clause Combining in Grammar and Discourse. Edited by John Haiman and Sandra A. Thompson. Amsterdam: Benjamins, pp. 181–225. [Google Scholar] [CrossRef]
 - Lohndal, Terje, Jason Rothman, Tanja Kupisch, and Marit Westergaard. 2019. Heritage language acquisition: What it reveals and why it is important for formal linguistic theories. Language and Linguistics Compass 36: 165. [Google Scholar] [CrossRef]
 - Miller, Jim E., and Regina Weinert. 2009. Spontaneous spoken language. Edited by Regina Weinert. Oxford: Oxford University Press. Available online: http://site.ebrary.com/lib/alltitles/docDetail.action?docID=10358388 (accessed on 9 September 2022).
 - Montrul, Silvina. 2008. Incomplete Acquisition in Bilingualism. Translated by Silvina Montrul. Amsterdam: John Benjamins, vol. 39, Available online: https://search.ebscohost.com/login.aspx?direct=true&scope=site&db=nlebk&db=nlabk&AN=243166 (accessed on 9 September 2022).
 - Montrul, Silvina. 2010. Dominant language transfer in adult second language learners and heritage speakers. Second Language Research 26: 293–327. [Google Scholar] [CrossRef]
 - Onar Valk, Pelin. 2015. Transformation in Dutch Turkish Subordination? Converging Evidence of Change Regarding Finiteness and Word Order in Complex Clauses. Ridderkerk: LOT, vol. 394. [Google Scholar]
 - Polinsky, Maria. 2008. Gender under incomplete acquisition: Heritage speakers’ knowledge of noun categorization. Heritage Language Journal 6: 40–71. [Google Scholar] [CrossRef]
 - Poplack, Shana, and Stephen Levey. 2009. Contact-induced grammatical change. In Language and Space. Theories and Methods. Edited by Peter Auer and Jürgen E. Schmidt. Vienna: De Gruyter, pp. 391–419. [Google Scholar]
 - Putnam, Michael T., and Liliana Sánchez. 2013. What’s so incomplete about incomplete acquisition? Linguistic Approaches to Bilingualism 3: 478–508. [Google Scholar] [CrossRef]
 - R Core Team. 2022. R: A Language and Environment for Statistical Computing. Vienna: R Foundation for Statistical Computing. Available online: https://www.R-project.org/ (accessed on 9 September 2022).
 - Rehbein, Jochen, and Annette Herkenrath. 2015. Converbs in monolingual’s and bilingual’s Turkish. In Ankara Papers in Turkish and Turkic Linguistics. Edited by Ufuk Ataş, Jochen Rehbein, Çiğdem S. Şimşek and Deniz Zeyrek. Wiesbaden: Harrassowitz, pp. 493–513. [Google Scholar]
 - Schroeder, Christoph. 2002. On the structure of spoken Turkish. ELiS_e: Essener Linguistische Skripte–Elektronisch 2: 73–90. [Google Scholar]
 - Schroeder, Christoph. 2016. Clause combining in Turkish as a minority language in Germany. In Exploring the Turkish Linguistic Landscape. Essays in Honor of Eser Erguvanlı-Taylan. Edited by Didar Akar, Mine Güven, Meltem Kelepir and Balkız Öztürk. Wiesbaden: Benjamins, pp. 81–102. [Google Scholar] [CrossRef]
 - Schroeder, Christoph, Iefremenko Kateryna, and Öncü Mehmet. in press. The postverbal position in heritage Turkish. A comparative perspective with a focus on non-clausal elements. In Zweisprachigkeit Deutsch-Türkisch. Edited by Zeynep Kalkavan-Aydın and Yazgül Şimşek. Studien in Deutschland und in den Nachbarländern. Münster: Waxmann.
 - Şenlik, Ahmet S. 2022. Zur Satzverknüpfung im Altosmanischen; Thousand Oaks: SAGE and RumeliYA. Available online: https://www.academia.edu/67547560/Zur_Satzverkn%C3%BCpfung_im_Altosmanischen (accessed on 9 September 2022).
 - Tagliamonte, Sali. 2016. Teen Talk: The Language of Adolescents. Cambridge: Cambridge University Press. [Google Scholar]
 - Treffers-Daller, Jeanine, A. Sumru Özsoy, and Roeland van Hout. 2006. Oral language proficiency of Turkish-German bilinguals in Germany and Turkey: An analysis of complex embeddings in Turkish picture descriptions. In Turkic Languages in Contact. Edited by Hendrik E. Boeschoten and Lars Johanson. Wiesbaden: Harrassowitz, pp. 203–219. [Google Scholar]
 - Tsehaye, Wintai, Tatiana Pashkova, Rosemarie Tracy, and Shanley E. Allen. 2021. Deconstructing the native speaker: Further evidence from heritage speakers for why this horse should be dead! Frontiers in Psychology, 4467. [Google Scholar] [CrossRef] [PubMed]
 - van Schaaik, Gerjan. 2020. The Oxford Turkish Grammar. Oxford: Oxford University Press. [Google Scholar]
 - Wickham, Hadley, Mara Averick, Jennifer Bryan, Winston Chang, Lucy D. A. McGowan, Roman François, Garrett Grolemund, Alex Hayes, Lionel Henry, Jim Hester, and et al. 2019. Welcome to the Tidyverse. Journal of Open Source Software 4: 1686. [Google Scholar] [CrossRef]
 - Wiese, Heike. 2020. Language Situations: A method for capturing variation within speakers’ repertoires. Methods in dialectology XVI 59: 105–17. [Google Scholar]
 - Wiese, Heike, Artemis Alexiadou, Shanley Allen, Oliver Bunk, Natalia Gagarina, Kateryna Iefremenko, Esther Jahns, Martin Klotz, Thomas Krause, Annika Labrenz, and et al. 2021. RUEG Corpus. Available online: https://doi.org/10.5281/ZENODO.3236068 (accessed on 9 September 2022).
 - Wiese, Heike, Artemis Alexiadou, Shanley Allen, Oliver Bunk, Natalia Gagarina, Kateryna Iefremenko, Maria Martynova, Tatiana Pashkova, Vasiliki Rizou, Christoph Schroeder, and et al. 2022. Heritage Speakers as Part of the Native Language Continuum. Frontiers in Psychology 12: 717973. [Google Scholar] [CrossRef] [PubMed]
 - Wurm, Stephen. 1987. Évolution de la langue et décline culturel. Diogène 137: 35–48. [Google Scholar]
 - Yağmur, Kutlay. 2011. Does Ethnolinguistic Vitality Theory account for the actual vitality of ethnic groups? A critical evaluation. Journal of Multilingual and Multicultural Development 32: 111–20. [Google Scholar] [CrossRef]
 








| Connectors | Adjunctors | 
|---|---|
| ama “but” | ancak “even though” | 
| çünkü “because” | (bundan) dolayı(sıyla) “consequently” | 
| de/da “and” | halbuki “even though” | 
| eğer “if” | hatta “even” | 
| fakat “but” | ondan “because” | 
| hem … hem … “both … and” | üstelik “furthermore” | 
| ne … ne… “neither … nor” | o zaman(da) “then” | 
| ve “and” | o an(da)/o andan “at that moment” | 
| veya “or” | (ama/daha/ve/ondan) sonra “then” | 
| ya … ya… “either … or” | derken “just then” | 
| yoksa “or” | 
| Country | Group | N | Age (Mean) | Gender | 
|---|---|---|---|---|
| Turkey | adults | 32 | 27.63 | 11 females | 
| adolescents | 34 | 16.09 | 17 females | |
| Germany | adults | 33 | 27.14 | 23 females | 
| adolescents | 32 | 16.00 | 17 females | |
| USA | adults | 27 | 28.00 | 18 females | 
| adolescents | 34 | 16.00 | 22 females | 
| Fixed Effect | β (σ) | p-Value | 
|---|---|---|
| (intercept) | −0.7 (0.09) | *** | 
| Country (Germany) | 0.35 (0.08) | *** | 
| Country (Turkey) | −0.64 (0.08) | *** | 
| Age (adult) | −0.28 (0.12) | * | 
| Register (informal) | 0.27 (0.08) | *** | 
| Mode (written) | −0.10 (0.07) | ns | 
| Register*Mode | 0.19 (0.11) | ns | 
| Country | β (σ) | p-Value | 
|---|---|---|
| Turkey–Germany | −0.99 (0.14) | *** | 
| Turkey–USA | −0.92 (0.14) | *** | 
| Germany–USA | −0.07 (0.14) | ns | 
| Connector | Type | Function | n in RUEG Corpus | 
|---|---|---|---|
| o zaman “then” | Consequence | refocuses on state of affairs at level of action and discourse space, condition for further actions | 0 | 
| reference in past | refocuses on a point or extended stretch of time in self-experienced past | 10 | |
| narrative connector | refocuses on parts of previous narration announcing progression of narration | 23 | 
| Connector | Type | Function | n in RUEG Corpus | 
|---|---|---|---|
| derken “just then” | frame-topic | establishes a previously introduced entity as the frame topic of the clause | 1 | 
| temporal-consecutive | the first event is about to evolve, and the second event suddenly affects it or is a sudden (intentional or unintentional) consequence of the first | 16 | |
| narrative connector | the first event evolves or continues, while the second event (suddenly) starts in that period | 8 | 
Publisher’s Note: MDPI stays neutral with regard to jurisdictional claims in published maps and institutional affiliations.  | 
© 2022 by the authors. Licensee MDPI, Basel, Switzerland. This article is an open access article distributed under the terms and conditions of the Creative Commons Attribution (CC BY) license (https://creativecommons.org/licenses/by/4.0/).
Share and Cite
Özsoy, O.; Iefremenko, K.; Schroeder, C. Shifting and Expanding Clause Combining Strategies in Heritage Turkish Varieties. Languages 2022, 7, 242. https://doi.org/10.3390/languages7030242
Özsoy O, Iefremenko K, Schroeder C. Shifting and Expanding Clause Combining Strategies in Heritage Turkish Varieties. Languages. 2022; 7(3):242. https://doi.org/10.3390/languages7030242
Chicago/Turabian StyleÖzsoy, Onur, Kateryna Iefremenko, and Christoph Schroeder. 2022. "Shifting and Expanding Clause Combining Strategies in Heritage Turkish Varieties" Languages 7, no. 3: 242. https://doi.org/10.3390/languages7030242
APA StyleÖzsoy, O., Iefremenko, K., & Schroeder, C. (2022). Shifting and Expanding Clause Combining Strategies in Heritage Turkish Varieties. Languages, 7(3), 242. https://doi.org/10.3390/languages7030242
        
