Sign in to use this feature.

Years

Between: -

Subjects

remove_circle_outline
remove_circle_outline
remove_circle_outline
remove_circle_outline
remove_circle_outline
remove_circle_outline
remove_circle_outline
remove_circle_outline

Journals

Article Types

Countries / Regions

Search Results (15)

Search Parameters:
Keywords = Multi-Dimensional Similarity Law

Order results
Result details
Results per page
Select all
Export citation of selected articles as:
28 pages, 17187 KB  
Article
Numerical Validation of a Multi-Dimensional Similarity Law for Scaled STOVL Aircraft Models
by Shengguan Xu, Mingyu Li, Xiance Wang, Yanting Song, Bingbing Tang, Lianhe Zhang, Shuai Yin and Jianfeng Tan
Aerospace 2025, 12(10), 908; https://doi.org/10.3390/aerospace12100908 - 9 Oct 2025
Viewed by 485
Abstract
The complex jet-ground interactions of Short Take-off and Vertical Landing (STOVL) aircraft are critical to flight safety and performance, yet studying them with traditional full-scale wind tunnel tests is prohibitively expensive and time-consuming, hindering design optimization. This study addresses this challenge by developing [...] Read more.
The complex jet-ground interactions of Short Take-off and Vertical Landing (STOVL) aircraft are critical to flight safety and performance, yet studying them with traditional full-scale wind tunnel tests is prohibitively expensive and time-consuming, hindering design optimization. This study addresses this challenge by developing and numerically verifying a “pressure ratio–momentum–geometry” multi-dimensional similarity framework, enabling accurate and efficient scaled-model analysis. Systematic simulations of an F-35B-like configuration demonstrate the framework’s high fidelity. For a representative curved nozzle configuration (e.g., the F-35B three-bearing swivel duct nozzle, 3BSD), across scale factors ranging from 1:1 to 1:15, the plume deflection angle remains stable at 12° ± 1°. Concurrently, axial force (F) and mass flow rate (Q) strictly follow the square scaling relationship (F1/n2, Q1/n2), with deviations from theory remaining below 0.15% and 0.58%, respectively, even at the 1:15 scale, confirming high-fidelity momentum similarity, particularly in the near-field flow direction. Second, a 1:13.25 scale aircraft model, constructed using Froude similarity principles, exhibits critical parameter agreement (intake total pressure and total temperature) of the prototype-including vertical axial force, lift fan mass flow, and intake total temperature—all less than 1.5%, while the critical intake total pressure error is only 2.2%. Fountain flow structures and ground temperature distributions show high consistency with the full-scale aircraft, validating the reliability of the proposed “pressure ratio–momentum–geometry” multi-dimensional similarity criterion. The framework developed herein has the potential to reduce wind tunnel testing costs and shorten development cycles, offering an efficient experimental strategy for STOVL aircraft research and development. Full article
(This article belongs to the Section Air Traffic and Transportation)
Show Figures

Figure 1

20 pages, 4388 KB  
Article
An Optimized Semantic Matching Method and RAG Testing Framework for Regulatory Texts
by Bingjie Li, Haolin Wen, Songyi Wang, Tao Hu, Xin Liang and Xing Luo
Electronics 2025, 14(14), 2856; https://doi.org/10.3390/electronics14142856 - 17 Jul 2025
Viewed by 2114
Abstract
To enhance the accuracy and reliability of large language models (LLMs) in regulatory question-answering tasks, this study addresses the complexity and domain-specificity of regulatory texts by designing a retrieval-augmented generation (RAG) testing framework. It proposes a dimensionality reduction-based semantic similarity measurement method and [...] Read more.
To enhance the accuracy and reliability of large language models (LLMs) in regulatory question-answering tasks, this study addresses the complexity and domain-specificity of regulatory texts by designing a retrieval-augmented generation (RAG) testing framework. It proposes a dimensionality reduction-based semantic similarity measurement method and a retrieval optimization approach leveraging information reasoning. Through the construction of the technical route of the intelligent knowledge management system, the semantic understanding capabilities of multiple mainstream embedding models in the text matching of financial regulations are systematically evaluated. The workflow encompasses data processing, knowledge base construction, embedding model selection, vectorization, recall parameter analysis, and retrieval performance benchmarking. Furthermore, the study innovatively introduces a multidimensional scaling (MDS) based semantic similarity measurement method and a question-reasoning processing technique. Compared to traditional cosine similarity (CS) metrics, these methods significantly improved recall accuracy. Experimental results demonstrate that, under the RAG testing framework, the mxbai-embed-large embedding model combined with MDS similarity calculation, Top-k recall, and information reasoning effectively addresses core challenges such as the structuring of regulatory texts and the generalization of domain-specific terminology. This approach provides a reusable technical solution for optimizing semantic matching in vertical-domain RAG systems, particularly for MDSs such as law and finance. Full article
Show Figures

Figure 1

32 pages, 22513 KB  
Article
Golden Ratio Function: Similarity Fields in the Vector Space
by Artyom Grigoryan and Meruzhan Grigoryan
Mathematics 2025, 13(5), 699; https://doi.org/10.3390/math13050699 - 21 Feb 2025
Viewed by 1659
Abstract
In this work, we generalize and describe the golden ratio in multi-dimensional vector spaces. We also introduce the concept of the law of similarity for multidimensional vectors. Initially, the law of similarity was derived for one-dimensional vectors. Although it operated with the values [...] Read more.
In this work, we generalize and describe the golden ratio in multi-dimensional vector spaces. We also introduce the concept of the law of similarity for multidimensional vectors. Initially, the law of similarity was derived for one-dimensional vectors. Although it operated with the values of the ratio of the parts of the whole, it created linear dimensions (a line is one-dimensional). The presented concept of the general golden ratio (GGR) for the vectors in a multidimensional space is described in detail with equations. It is shown that the GGR is a function of one or more angles, which is the solution to the golden equation described in this work. The main properties of the GGR are described, with illustrative examples. We introduce and discuss the concept of the golden pair of vectors, as well as the concept of a set of similarities for a given vector. We present our vision on the theory of the golden ratio for triangles and describe similarity triangles in detail and with illustrative examples. Full article
Show Figures

Figure 1

20 pages, 1647 KB  
Review
Prevention of Food Waste in China: Role and Impact of China’s Anti-Food Waste Law
by Shenghang Wang, Dongxu Liu and Jiping Sheng
Foods 2024, 13(23), 3940; https://doi.org/10.3390/foods13233940 - 6 Dec 2024
Cited by 7 | Viewed by 8031
Abstract
In recent years, despite global improvements in development, food scarcity and waste remain critical issues impacting food security, human health, and environmental sustainability. China’s Ministry of Agriculture and Rural Affairs reports that China’s food loss and waste rate is approximately 22.7%, amounting to [...] Read more.
In recent years, despite global improvements in development, food scarcity and waste remain critical issues impacting food security, human health, and environmental sustainability. China’s Ministry of Agriculture and Rural Affairs reports that China’s food loss and waste rate is approximately 22.7%, amounting to 460 million tons annually, with the consumption and post-harvest processing stages facing the highest losses. To address these issues, China enacted the Anti-Food Waste Law in 2021, aiming to reduce food waste through clear responsibilities, incentives, and penalties for government agencies and relevant stakeholders. While scholars note that the law represents a significant shift from moral to legal governance in tackling food waste, some argue that its provisions lack sufficient specificity. This article assesses the effectiveness of China’s anti-food waste legislation using case studies and comparative analyses, highlighting the challenges in defining and implementing the law within China’s cultural framework, where food signifies abundance and prosperity. Additionally, the article explores successful international practices, including the 2030 Champions Program and similar efforts in Europe and Japan, to inform China’s strategy. The key recommendations for policy improvement include strengthening accountability and governance, establishing a food hierarchy for sustainable resource management, enhancing data collection on food waste, promoting food donation mechanisms, and transitioning from a solely government-led regulatory approach to a multi-dimensional co-regulation model. Full article
(This article belongs to the Section Food Security and Sustainability)
Show Figures

Figure 1

17 pages, 27624 KB  
Article
Large-Scale Physical Simulation Experiment of Water Invasion Law for Multi-Well Development in Sandstone Gas Reservoirs with Strong Water Drive
by Feifei Fang, Sijie He, Jian Zhuang, Jie Zhang and Yanan Bian
Appl. Sci. 2024, 14(17), 8067; https://doi.org/10.3390/app14178067 - 9 Sep 2024
Cited by 6 | Viewed by 1545
Abstract
In order to clarify the water invasion law and residual gas distribution characteristics in edge and bottom water gas reservoirs with multi-well development, a large-scale three-dimensional physical simulation model was developed and a physical simulation experiment method for the water invasion law of [...] Read more.
In order to clarify the water invasion law and residual gas distribution characteristics in edge and bottom water gas reservoirs with multi-well development, a large-scale three-dimensional physical simulation model was developed and a physical simulation experiment method for the water invasion law of multi-well development in sandstone gas reservoirs with strong water drives was established. Water invasion physical simulation experiments of multi-well development under the conditions of different water body multiples and production systems were conducted. The results show the following: (1) Gas wells near fractures and high-permeability zones experience the earliest water breakthrough. The larger the water body multiple, the faster the rate of water invasion, the earlier the water breakthrough time of gas wells, the more severe the degree of water invasion in gas reservoirs, and the lower the ultimate recovery rate. (2) Shutting in low-position gas wells immediately after water breakthrough reduces the overall water production of the gas reservoir and extends the overall water-free gas production period. However, the ultimate recovery rate is lower than when the wells are not shut in. (3) The residual gas in the fracture model is mainly distributed around the fracture and the edge of the gas reservoir, with the ultimate recovery rate ranging from 38.5% to 58.2%. The residual gas in the fracture–high-permeability zone model is mainly distributed around the fracture–high-permeability zone and the edge of the gas reservoir, with the ultimate recovery rate ranging from 28.32% to 41.8%. The experimental results have important guiding significance for the economical and efficient development of similar gas reservoirs. Full article
Show Figures

Figure 1

26 pages, 3614 KB  
Article
Transition Characteristics and Driving Mechanisms of Rural Settlements in Suburban Villages of Megacities under Policy Intervention: A Case Study of Dayu Village in Shanghai, China
by Kaiming Li, Kaishun Li, Yong Liu, Liying Yue and Xiji Jiang
Land 2023, 12(11), 1999; https://doi.org/10.3390/land12111999 - 31 Oct 2023
Cited by 2 | Viewed by 2491
Abstract
China’s distinct rural revitalization process has attracted global attention due to its impressive speed, massive scale, and policy interventions. A relatively limited amount of research has been conducted on how rural transition characteristics and policy mechanisms are interrelated at the micro level. To [...] Read more.
China’s distinct rural revitalization process has attracted global attention due to its impressive speed, massive scale, and policy interventions. A relatively limited amount of research has been conducted on how rural transition characteristics and policy mechanisms are interrelated at the micro level. To fill this research gap, following the main research thread of dividing rural development stages, revealing transition characteristics and exploring policy mechanisms, this paper utilizes a participatory rural appraisal, a landscape metrics analysis, and in-depth interviews to analyze the spatial transition laws of Dayu Village. First, the results show that the village experienced three stages from 1990 to 2020: strict homestead control, village relocation, and land consolidation. Second, the village exhibits multidimensional transition characteristics. With a reduced rural settlement area, regular patch formation, and a dense interior subdivision of rural houses, the land use layout changed from homogeneous to multiple nests. As the industrial structure became more diversified, the villagers’ livelihoods became more differentiated. Inflows of tourists and migrants changed the population structure, causing social relations to become defamiliarized. Moreover, mechanism research finds that policy can promote rural settlement transition by allocating land resources and regulating village behavior. The policy’s scope expanded from a single settlement to the whole village, optimizing external forces, with village behavior effects acting as an internal force. The degree of matching between policy formulation and villagers’ needs is the key to promoting the transition of rural settlements. This research deepens the understanding of the transition laws of suburban villages in megacities in developing countries at the micro scale and provides a reference for land policies in similar villages. Full article
Show Figures

Figure 1

16 pages, 7824 KB  
Article
Vibration Response of the Interfaces in Multi-Layer Combined Coal and Rock Mass under Impact Load
by Feng Li, Guanghao Wang, Guangyou Xiang, Jia Tang, Baorui Ren and Zhibang Chen
Processes 2023, 11(2), 306; https://doi.org/10.3390/pr11020306 - 17 Jan 2023
Cited by 8 | Viewed by 2009
Abstract
The stress wave generated by impact or dynamic load will produce significant reflection and transmission at the rock coal or rock interface during the propagation process. This will produce dynamic effects such as dynamic tensile, stress superposition and mutation. These dynamic effects will [...] Read more.
The stress wave generated by impact or dynamic load will produce significant reflection and transmission at the rock coal or rock interface during the propagation process. This will produce dynamic effects such as dynamic tensile, stress superposition and mutation. These dynamic effects will lead to obvious vibration at the interfaces, which is a key factor leading to dynamic damage and the failure of coal and rock mass. In the process of underground engineering excavation, the dynamic damage of a series of layered rock masses is one of the important factors causing geological disasters. Based on the two–dimensional similar material simulation experiment, the coal and rock mass combined of five layers of fine sandstone, medium sandstone, coal, coarse sandstone and mudstone was taken as the research object, and single and multi-point excitation (synchronous/step-by-step) were used to test the time–history vibration curves of rock–coal and rock–rock interfaces under impact load. It was concluded that the change of extreme value of vibration amplitude presented two stages: first increase, and then attenuation. Most of them required 2.25 cycles to reach the peak value, and the dynamic attenuation of amplitude conformed to the law of exponential. Based on Fast Fourier transform (FFT), the spectrum structures of the amplitude–frequency of interface vibration were studied, and the two predominant frequencies were 48.9~53.7 Hz and 92.4 Hz, respectively. Based on the Hilbert-Huang transform and energy equation, 5~7 vibration modes (IMF) were obtained by decomposing the time–history curves. The three modes, IMF1, IMF2, and IMF3, contained high energy and were effective vibration modes. IMF2 accounted for the highest proportion and was the main vibration mode whose predominant frequencies were concentrated in 45.6~50.2 Hz. Therefore, IMF2 played a decisive role in the whole vibration process and had an important impact on the dynamic response, damage and failure of coal and rock mass. In real conditions, the actual predominant frequencies can be converted according to the size and mechanical properties of the coal and rock mass, and the vibration response characteristics of the interfaces between coal and rock mass under impact load were preliminarily revealed. This study can provide reference for monitoring and early warning of coal and rock dynamic disasters, prevention and control of coal and gas outburst and technical development. Full article
(This article belongs to the Special Issue Process Safety in Coal Mining)
Show Figures

Figure 1

13 pages, 4636 KB  
Article
A Frame Theory of Energetic Life: A Twisting Energy Solidified on the Holographic Fractal Structure
by Yanju Wei, Yajing Yang, Yajie Zhang, Zhiqiang Mu and Fanlu Bu
Appl. Sci. 2022, 12(21), 10930; https://doi.org/10.3390/app122110930 - 28 Oct 2022
Cited by 1 | Viewed by 2773
Abstract
Life, as the most mysterious and unique phenomenon on the Earth, has confused humans since time began. Why does life exist as it does and how has the diversity of life developed? We, herein, propose a new theory of energetic life, based on [...] Read more.
Life, as the most mysterious and unique phenomenon on the Earth, has confused humans since time began. Why does life exist as it does and how has the diversity of life developed? We, herein, propose a new theory of energetic life, based on existing energy laws, to interpret the evolution and categorization of physical life forms, from microscopic life to macroscopic life. According to this theory, life is a process in which a mass of energy flows and diffuses in the environment. This energy takes DNA as the three-dimensional blueprint, protein as the basic material unit, and fractal network structure as the framework, so as to solidify from energy and form a semi-solid structure. DNA base pairs simultaneously have dual properties as protein pointers and spatial coordinates, and the multi-level self-similar fractal helix structure ultimately guides the formation of different levels of the fractal structure of organisms. This theory organically links the life phenomenon from microscopic to macroscopic levels, from gene, cell and organ to organism, and it provides a new perspective on life, which may inspire biologists to better reveal the mystery of life. Full article
Show Figures

Figure 1

18 pages, 9075 KB  
Article
Study on Facies Modeling of Tight Sandstone Reservoir Using Multi-Point Geostatistics Method Based on 2D Training Image—Case Study of Longdong Area, Ordos Basin, China
by Naidan Zhang, Shaohua Li, Lunjie Chang, Chao Wang, Jun Li and Bo Liang
Minerals 2022, 12(10), 1335; https://doi.org/10.3390/min12101335 - 21 Oct 2022
Cited by 6 | Viewed by 3470
Abstract
The Longdong area in the Ordos basin is a typical fluvial reservoir with strong heterogeneity. In order to clarify the distribution law of underground reservoirs in the Longdong area, it is necessary to establish and optimize a 3D geological model to characterize the [...] Read more.
The Longdong area in the Ordos basin is a typical fluvial reservoir with strong heterogeneity. In order to clarify the distribution law of underground reservoirs in the Longdong area, it is necessary to establish and optimize a 3D geological model to characterize the heterogeneity of reservoirs. This is of great significance for accelerating the exploitation of tight sandstone gas in the southwest of the Ordos basin. This study takes the P2h8 member of the Ct3 research area in the Longdong area as an example, analyzes the core and logging curve shape to divide the sedimentary microfacies, and establishes the facies model. In particular, in view of the difficulty in obtaining 3D training images under the existing conditions in the study area, we use the multi-point geostatistics method combining sequential two-dimensional condition simulation and the direct sampling method to establish the facies model. This method can simulate the 3D geological model by using the 2D training images composed of the digital plane facies diagrams and the well-connection facies diagrams. In addition, we choose the object-based method and sequential indicator method for comparative experiments to verify the feasibility of this method (sequential two-dimensional condition simulation combined with the direct sampling method) from many aspects. The results show that the multi-point geostatistics method based on 2D training images can not only match the well data, but also show the geometric characteristics and contact relationship of the simulation object. The distribution characteristics of sandbody thickness and modeling results are consistent with the actual geological conditions in the study area. This study explores the feasibility of this method in the 3D geological simulation of large-scale fluvial facies tight sandstone reservoirs. Additionally, it also provides a new idea and scheme for the modeling method of geologists in similar geological environments. Full article
(This article belongs to the Special Issue Reservoir Geology and Oil & Gas Reservoir Characterization)
Show Figures

Figure 1

21 pages, 372 KB  
Article
Symmetry Groups, Quantum Mechanics and Generalized Hermite Functions
by Enrico Celeghini, Manuel Gadella and Mariano A. del Olmo
Mathematics 2022, 10(9), 1448; https://doi.org/10.3390/math10091448 - 26 Apr 2022
Cited by 5 | Viewed by 2976
Abstract
This is a review paper on the generalization of Euclidean as well as pseudo-Euclidean groups of interest in quantum mechanics. The Weyl–Heisenberg groups, Hn, together with the Euclidean, En, and pseudo-Euclidean Ep,q, groups are two [...] Read more.
This is a review paper on the generalization of Euclidean as well as pseudo-Euclidean groups of interest in quantum mechanics. The Weyl–Heisenberg groups, Hn, together with the Euclidean, En, and pseudo-Euclidean Ep,q, groups are two families of groups with a particular interest due to their applications in quantum physics. In the present manuscript, we show that, together, they give rise to a more general family of groups, Kp,q, that contain Hp,q and Ep,q as subgroups. It is noteworthy that properties such as self-similarity and invariance with respect to the orientation of the axes are properly included in the structure of Kp,q. We construct generalized Hermite functions on multidimensional spaces, which serve as orthogonal bases of Hilbert spaces supporting unitary irreducible representations of groups of the type Kp,q. By extending these Hilbert spaces, we obtain representations of Kp,q on rigged Hilbert spaces (Gelfand triplets). We study the transformation laws of these generalized Hermite functions under Fourier transform. Full article
(This article belongs to the Special Issue Applications of Functional Analysis in Quantum Physics)
18 pages, 4397 KB  
Article
An Analysis on Hydraulic Loss in a Co-Rotating Bladed Disc Pump
by Yaguang Heng, Kunjian He, Qifeng Jiang, Weibin Zhang, Gérard Bois and Xiaobing Liu
J. Mar. Sci. Eng. 2022, 10(2), 214; https://doi.org/10.3390/jmse10020214 - 6 Feb 2022
Cited by 7 | Viewed by 2970
Abstract
Disc pumps rely on the shear force generated by a co-rotating disc to transport the fluid, the interaction between the fluid and impeller is weak, providing such pumps advantages when handling multi-phase flow. In the present study, a loss analysis is presented on [...] Read more.
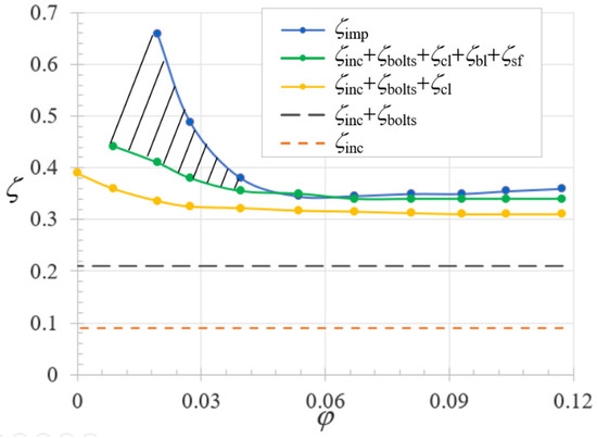
Disc pumps rely on the shear force generated by a co-rotating disc to transport the fluid, the interaction between the fluid and impeller is weak, providing such pumps advantages when handling multi-phase flow. In the present study, a loss analysis is presented on a different kind of disc pump that combines both shear and pressure forces using a co-rotating disc pump and radial blades and that is often applied in marine petroleum engineering for mud-lifting. Experimental measurements on the overall pump performance were performed, and the subsequent hydraulic efficiency analysis shows that similarity laws can be applied for this pump. A particular analysis was specifically performed on the impeller and shows that the resulting loss analysis indicates that the increase in the static pressure is small and that the total pressure increase is mainly contributed to by the dynamic pressure change from the inlet to the outlet impeller sections. In addition, an evaluation of the individual loss levels is proposed in the impeller that is based on one-dimensional assumptions. This type of evaluation has never been proposed for present specific TBD pump designs in the available literature. The obtained results showed that the most important loss levels are roughly equally distributed between the incidence effects, inter-blade leakage, and bolts losses in the impeller, and that all together, they can reach 80% of the total impeller losses, while the blade-loading and friction losses are relatively small. The losses downstream of the impeller are significant; thus, a specific volute design that has been adapted for a disc impeller outlet flow pattern must be considered in order to achieve better performance. The present loss analysis was able to predict the corresponding disc pump performance well, achieving a maximum error rate of ±5% for a rather wide flow coefficient range. The proposed method can be considered to be a useful approach for research or for industrial teams who are working on the same kind of geometry by adopting the same data reduction analysis, allowing them to compare their own results with the present ones. Full article
(This article belongs to the Section Ocean Engineering)
Show Figures

Figure 1

18 pages, 1363 KB  
Article
An Analysis of the Impact of the Emissions Trading System on the Green Total Factor Productivity Based on the Spatial Difference-in-Differences Approach: The Case of China
by Susheng Wang, Gang Chen and Xue Han
Int. J. Environ. Res. Public Health 2021, 18(17), 9040; https://doi.org/10.3390/ijerph18179040 - 27 Aug 2021
Cited by 35 | Viewed by 6824
Abstract
How to effectively identify the spatial effect of the emissions trading system(ETS) on urban green total factor productivity(GTFP) generated through the linkage of economic factors between cities is a necessary part of scientifically evaluating the effect of ETS policy in emerging- market countries. [...] Read more.
How to effectively identify the spatial effect of the emissions trading system(ETS) on urban green total factor productivity(GTFP) generated through the linkage of economic factors between cities is a necessary part of scientifically evaluating the effect of ETS policy in emerging- market countries. This study aims to examine the spatial effect, mechanism, and heterogeneity of the ETS on urban GTFP based on the panel data of 281 cities from 2004 to 2017 in China, applying spatial difference-in-differences(DID) Durbin model (SDID-SDM) with multidimensional fixed effect (FE). The results show that ETS significantly improves the GTFP of the pilot cities, produces a spatial spillover effect and the results are robust to the placebo test, propensity score matching SDID (PSM-SDID) test, and Carbon-ETS interference test. Further analysis shows that the policy effect is mainly driven by improving energy efficiency, promoting green innovation, and optimizing the industrial structure. In addition, we found that ETS performs better in regions with a high degree of marketization, strong environmental law enforcement, and a low proportion of coal consumption. In general, the identification method of this study can be used as a scientific reference for conducting similar research in other emerging countries. Full article
(This article belongs to the Special Issue Environmental Impact Assessment by Green Processes)
Show Figures

Figure 1

15 pages, 4291 KB  
Article
Fourier Spectral High-Order Time-Stepping Method for Numerical Simulation of the Multi-Dimensional Allen–Cahn Equations
by Harish Bhatt, Janak Joshi and Ioannis Argyros
Symmetry 2021, 13(2), 245; https://doi.org/10.3390/sym13020245 - 1 Feb 2021
Cited by 7 | Viewed by 3608
Abstract
This paper introduces the Fourier spectral method combined with the strongly stable exponential time difference method as an attractive and easy-to-implement alternative for the integration of the multi-dimensional Allen–Cahn equation with no-flux boundary conditions. The main advantages of the proposed method are that [...] Read more.
This paper introduces the Fourier spectral method combined with the strongly stable exponential time difference method as an attractive and easy-to-implement alternative for the integration of the multi-dimensional Allen–Cahn equation with no-flux boundary conditions. The main advantages of the proposed method are that it utilizes the discrete fast Fourier transform, which ensures efficiency, allows an extension to two and three spatial dimensions in a similar fashion as one-dimensional problems, and deals with various boundary conditions. Several numerical experiments are carried out on multi-dimensional Allen–Cahn equations including a two-dimensional Allen–Cahn equation with a radially symmetric circular interface initial condition to demonstrate the fourth-order temporal accuracy and stability of the method. The numerical results show that the proposed method is fourth-order accurate in the time direction and is able to satisfy the discrete energy law. Full article
(This article belongs to the Section Mathematics)
Show Figures

Figure 1

24 pages, 3011 KB  
Article
Computer Analysis of Human Belligerency
by José A. Tenreiro Machado, António M. Lopes and Maria Eugénia Mata
Mathematics 2020, 8(8), 1201; https://doi.org/10.3390/math8081201 - 22 Jul 2020
Cited by 3 | Viewed by 2616
Abstract
War is a cause of gains and losses. Economic historians have long stressed the extreme importance of considering the economic potential of society for belligerency, the role of management of chaos to bear the costs of battle and casualties, and ingenious and improvisation [...] Read more.
War is a cause of gains and losses. Economic historians have long stressed the extreme importance of considering the economic potential of society for belligerency, the role of management of chaos to bear the costs of battle and casualties, and ingenious and improvisation methodologies for emergency management. However, global and inter-temporal studies on warring are missing. The adoption of computational tools for data processing is a key modeling option with present day resources. In this paper, hierarchical clustering techniques and multidimensional scaling are used as efficient instruments for visualizing and describing military conflicts by electing different metrics to assess their characterizing features: time, time span, number of belligerents, and number of casualties. Moreover, entropy is adopted for measuring war complexity over time. Although wars have been an important topic of analysis in all ages, they have been ignored as a subject of nonlinear dynamics and complex system analysis. This paper seeks to fill these gaps in the literature by proposing a quantitative perspective based on algorithmic strategies. We verify the growing number of events and an explosion in their characteristics. The results have similarities to those exhibited by systems with increasing volatility, or evolving toward chaotic-like behavior. We can question also whether such dynamics follow the second law of thermodynamics since the adopted techniques reflect a system expanding the entropy. Full article
(This article belongs to the Special Issue Nonlinear Dynamics)
Show Figures

Figure 1

14 pages, 7413 KB  
Article
Elastic Turbulence of Aqueous Polymer Solution in Multi-Stream Micro-Channel Flow
by Jiayan Tai and Yee Cheong Lam
Micromachines 2019, 10(2), 110; https://doi.org/10.3390/mi10020110 - 7 Feb 2019
Cited by 2 | Viewed by 3816
Abstract
Viscous liquid flow in micro-channels is typically laminar because of the low Reynolds number constraint. However, by introducing elasticity into the fluids, the flow behavior could change drastically to become turbulent; this elasticity can be realized by dissolving small quantities of polymer molecules [...] Read more.
Viscous liquid flow in micro-channels is typically laminar because of the low Reynolds number constraint. However, by introducing elasticity into the fluids, the flow behavior could change drastically to become turbulent; this elasticity can be realized by dissolving small quantities of polymer molecules into an aqueous solvent. Our recent investigation has directly visualized the extension and relaxation of these polymer molecules in an aqueous solution. This elastic-driven phenomenon is known as ‘elastic turbulence’. Hitherto, existing studies on elastic flow instability are mostly limited to single-stream flows, and a comprehensive statistical analysis of a multi-stream elastic turbulent micro-channel flow is needed to provide additional physical understanding. Here, we investigate the flow field characteristics of elastic turbulence in a 3-stream contraction-expansion micro-channel flow. By applying statistical analyses and flow visualization tools, we show that the flow field bares many similarities to that of inertia-driven turbulence. More interestingly, we observed regions with two different types of power-law dependence in the velocity power spectra at high frequencies. This is a typical characteristic of two-dimensional turbulence and has hitherto not been reported for elastic turbulent micro-channel flows. Full article
(This article belongs to the Special Issue Nanoparticles on Microfluidic Platforms)
Show Figures

Figure 1

Back to TopTop