Enhancing Flow Separation Control Using Hybrid Passive and Active Actuators in a Matrix Configuration
Abstract
1. Introduction
2. Methodology
2.1. Separation Control on a Smooth Ramp Using Hybrid Passive and Active Actuators in a Matrix Configuration
2.2. Flow Control Problem Formulation
2.3. Experimental Setup and Instrumentation
3. Results and Discussion
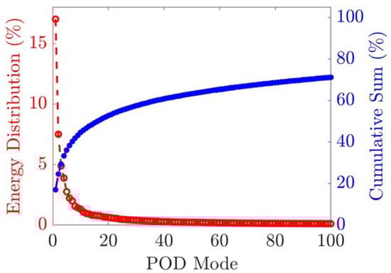
3.1. Characterization of the Unforced Flow
3.2. Parametric Study on Hybrid Passive–Active Actuators for Ramp Separation Control
4. Conclusions
Author Contributions
Funding
Data Availability Statement
Conflicts of Interest
References
- Baker, C.J. A review of train aerodynamics Part 2—Applications. Aeronaut. J. 2014, 118, 345–382. [Google Scholar] [CrossRef]
- Raina, A.; Harmain, G.; Haq, M.U. Numerical investigation of flow around a 3D bluff body using deflector plate. Int. J. Mech. Sci. 2017, 131–132, 701–711. [Google Scholar] [CrossRef]
- Zhang, J.; Wang, J.; Wang, Q.; Xiong, X.; Gao, G. A study of the influence of bogie cut outs’ angles on the aerodynamic performance of a high-speed train. J. Wind. Eng. Ind. Aerodyn. 2018, 175, 153–168. [Google Scholar] [CrossRef]
- Yang, G.; Guo, D.; Yao, S.; Liu, C. Aerodynamic design for China new high-speed trains. Sci. China Technol. Sci. 2012, 55, 1923–1928. [Google Scholar] [CrossRef]
- Yu, Y.; Liu, T.; Xia, Y.; Yang, M.; Liu, H. Development and prospect of aerodynamic drag-reduction technologies for trains at higher speed (400+ km/h). Acta Aerodyn. Sin. 2021, 39, 83–94. [Google Scholar]
- Sudin, M.; Abdullah, M.; Shamsuddin, S.; Ramli, F.; Tahir, M. Review of research on vehicles aerodynamic drag reduction methods. Int. J. Mech. Mechatron. Eng. 2014, 14, 37–47. [Google Scholar]
- Altaf, A.; Omar, A.; Asrar, W. Passive drag reduction of square back road vehicles. J. Wind. Eng. Ind. Aerodyn. 2014, 134, 30–43. [Google Scholar] [CrossRef]
- Geropp, D.; Odenthal, H.J. Drag reduction of motor vehicles by active flow control using the Coanda effect. Exp. Fluids 2000, 28, 74–85. [Google Scholar] [CrossRef]
- Kourta, A.; Gilliéron, P. Impact of the automotive aerodynamic control on the economic issues. J. Appl. Fluid Mech. 2012, 2, 69–75. [Google Scholar]
- Hucho, W.; Sovran, G. Aerodynamics of Road Vehicles. Annu. Rev. Fluid Mech. 1993, 25, 485–537. [Google Scholar] [CrossRef]
- Gad-el Hak, M. Modern Developments in Flow Control. Appl. Mech. Rev. 1996, 49, 365–379. [Google Scholar] [CrossRef]
- Selby, G.; Lin, J.; Howard, F. Control of low-speed turbulent separated flow using jet vortex generators. Exp. Fluids 1992, 12, 394–400. [Google Scholar] [CrossRef]
- Lin, J.; Robinson, S.; McGhee, R.; Valarezo, W. Separation control on high-lift airfoils via micro-vortex generators. J. Aircr. 1994, 31, 1317–1323. [Google Scholar] [CrossRef]
- Lake, J.; King, P.; Rivir, R. Low Reynolds number loss reduction on turbine blades with dimples and V-grooves. In Proceedings of the 38th Aerospace Sciences Meeting and Exhibit. American Institute of Aeronautics and Astronautics, Reno, NV, USA, 10–13 January 2000. [Google Scholar] [CrossRef]
- Ballerstein, N.; Horst, P. Manipulation of the aerodynamic behavior of the DrivAer model using dimple patterns. J. Wind. Eng. Ind. Aerodyn. 2023, 233, 105216. [Google Scholar] [CrossRef]
- Camacho-Sánchez, J.M.; Lorite-Díez, M.; Jiménez-González, J.I.; Cadot, O.; Martínez-Bazán, C. Experimental study on the effect of adaptive flaps on the aerodynamics of an Ahmed body. Phys. Rev. Fluids 2023, 8, 044605. [Google Scholar] [CrossRef]
- Mariotti, A.; Buresti, G.; Gaggini, G.; Salvetti, M.V. Separation control and drag reduction for boat-tailed axisymmetric bodies through contoured transverse grooves. J. Fluid Mech. 2017, 832, 514–549. [Google Scholar] [CrossRef]
- Viswanathan, H. Aerodynamic performance of several passive vortex generator configurations on an Ahmed body subjected to yaw angles. J. Braz. Soc. Mech. Sci. Eng. 2021, 43, 131. [Google Scholar] [CrossRef]
- Cattafesta, L.N.; Sheplak, M. Actuators for Active Flow Control. Annu. Rev. Fluid Mech. 2011, 43, 247–272. [Google Scholar] [CrossRef]
- Raghu, S. Fluidic oscillators for flow control. Exp. Fluids 2013, 54, 1455. [Google Scholar] [CrossRef]
- Metka, M.; Gregory, J. Drag Reduction on the 25-deg Ahmed Model Using Fluidic Oscillators. J. Fluids Eng. 2015, 137, 051108. [Google Scholar] [CrossRef]
- Gilarranz, J.L.; Traub, L.W.; Rediniotis, O.K. A New Class of Synthetic Jet Actuators—Part II: Application to Flow Separation Control. J. Fluids Eng. 2005, 127, 377–387. [Google Scholar] [CrossRef]
- Kim, S.; Kim, C. Separation control on NACA23012 using synthetic jet. Aerosp. Sci. Technol. 2009, 13, 172–182. [Google Scholar] [CrossRef]
- Post, M.; Corke, T. Separation Control Using Plasma Actuators: Dynamic Stall Vortex Control on Oscillating Airfoil. AIAA J. 2006, 44, 3125–3135. [Google Scholar] [CrossRef]
- Roupassov, D.V.; Nikipelov, A.A.; Nudnova, M.M.; Starikovskii, A.Y. Flow Separation Control by Plasma Actuator with Nanosecond Pulsed-Periodic Discharge. AIAA J. 2009, 47, 168–185. [Google Scholar] [CrossRef]
- Zigunov, F.; Sellappan, P.; Alvi, F. A bluff body flow control experiment with distributed actuation and genetic algorithm-based optimization. Exp. Fluids 2022, 63, 23. [Google Scholar] [CrossRef]
- Collis, S.; Joslin, R.; Seifert, A.; Theofilis, V. Issues in active flow control: Theory, control, simulation, and experiment. Prog. Aerosp. Sci. 2004, 40, 237–289. [Google Scholar] [CrossRef]
- Yagiz, B.; Kandil, O.; Pehlivanoglu, Y. Drag minimization using active and passive flow control techniques. Aerosp. Sci. Technol. 2012, 17, 21–31. [Google Scholar] [CrossRef]
- Liesner, K.; Meyer, R. Combination of Active and Passive Flow Control in a High Speed Compressor Cascade. In Proceedings of the Volume 2A: Turbomachinery, Düsseldorf, Germany, 16–20 June 2014; American Society of Mechanical Engineers: NewYork, NY, USA, 2014. [Google Scholar] [CrossRef]
- Sipp, D.; Marquet, O.; Meliga, P.; Barbagallo, A. Dynamics and Control of Global Instabilities in Open-Flows: A Linearized Approach. Appl. Mech. Rev. 2010, 63, 030801. [Google Scholar] [CrossRef]
- Nair, A.; Taira, K.; Brunton, B.; Brunton, S. Phase-based control of periodic flows. J. Fluid Mech. 2021, 927. [Google Scholar] [CrossRef]
- Samimy, M.; Debiasi, M.; Caraballo, E.; Serrani, A.; Yuan, X.; Little, J.; Myatt, J.H. Feedback control of subsonic cavity flows using reduced-order models. J. Fluid Mech. 2007, 579, 315–346. [Google Scholar] [CrossRef]
- Sasaki, K.; Cavalieri, A.; Jordan, P.; Schmidt, O.; Colonius, T.; Brès, G. High-frequency wavepackets in turbulent jets. J. Fluid Mech. 2017, 830. [Google Scholar] [CrossRef]
- Toedtli, S.; Luhar, M.; McKeon, B. Predicting the response of turbulent channel flow to varying-phase opposition control: Resolvent analysis as a tool for flow control design. Phys. Rev. Fluids 2019, 4, 073905. [Google Scholar] [CrossRef]
- Becker, R.; King, R.; Petz, R.; Nitsche, W. Adaptive Closed-Loop Separation Control on a High-Lift Configuration Using Extremum Seeking. AIAA J. 2007, 45, 1382–1392. [Google Scholar] [CrossRef]
- Mueller-Vahl, H.; Pechlivanoglou, G.; Nayeri, C.N.; Paschereit, C.O. Vortex Generators for Wind Turbine Blades: A Combined Wind Tunnel and Wind Turbine Parametric Study. In Proceedings of the Volume 6: Oil and Gas Applications; Concentrating Solar Power Plants; Steam Turbines; Wind Energy, Copenhagen, Denmark, 11–15 June 2012; American Society of Mechanical Engineers: New York, NY, USA, 2012. [Google Scholar] [CrossRef]
- Jukes, T.; Choi, K.S. Dielectric-barrier-discharge vortex generators: Characterisation and optimisation for flow separation control. Exp. Fluids 2011, 52, 329–345. [Google Scholar] [CrossRef]
- Lardeau, S.; Leschziner, M.A. The interaction of round synthetic jets with a turbulent boundary layer separating from a rounded ramp. J. Fluid Mech. 2011, 683, 172–211. [Google Scholar] [CrossRef]
- Kourta, A.; Thacker, A.; Joussot, R. Analysis and characterization of ramp flow separation. Exp. Fluids 2015, 56, 104. [Google Scholar] [CrossRef]
- Dandois, J.; Garnier, E.; Sagaut, P. Numerical simulation of active separation control by a synthetic jet. J. Fluid Mech. 2007, 574, 25–58. [Google Scholar] [CrossRef]
- Cheawchan, A.u.; Mohamed, M.A.; Ng, B.F.; New, T.H. A numerical investigation on flow past skewed vortex generators ahead of a backward facing ramp. Aerosp. Sci. Technol. 2022, 123, 107435. [Google Scholar] [CrossRef]
- Cheawchan, A.u.; Wen, Y.; Teo, Z.W.; Ng, B.F.; New, T.H. Flow behavior of skewed vortex generators on a backward-facing ramp. Proc. Inst. Mech. Eng. Part G J. Aerosp. Eng. 2021, 235, 2299–2314. [Google Scholar] [CrossRef]
- Priyanka, K.S.; Vihar, R.S.; Jeyan, M.L. Delaying the flow separation by using passage and vortex generator techniques. In AIP Conference Proceedings; AIP Publishing: Melville, NY, USA, 2024; Volume 3037. [Google Scholar]
- Asgari, E.; Tadjfar, M. Active control of flow over a rounded ramp by means of single and double adjacent rectangular synthetic jet actuators. Comput. Fluids 2019, 190, 98–113. [Google Scholar] [CrossRef]
- Asgari, E.; Tadjfar, M. Role of phase-difference between two adjacent rectangular synthetic jet actuators in active control of flow over a rounded ramp. Phys. Fluids 2022, 34, 025101. [Google Scholar] [CrossRef]
- Ramaswamy, D.P.; Hinke, R.; Schreyer, A.M. Influence of jet spacing and injection pressure on separation control with air-jet vortex generators. In Proceedings of the New Results in Numerical and Experimental Fluid Mechanics XII: Contributions to the 21st STAB/DGLR Symposium, Darmstadt, Germany, 2018; Springer: Berlin/Heidelberg, Germany, 2020; pp. 234–243. [Google Scholar]
- Ramaswamy, D.P.; Schreyer, A.M. Separation control with elliptical air-jet vortex generators. Exp. Fluids 2023, 64, 105. [Google Scholar] [CrossRef]
- Pour Razzaghi, M.J.; Masoumi, Y.; Rezaei Sani, S.M.; Huang, G. Controlling flow separation over a curved ramp using vortex generator microjets. Phys. Fluids 2022, 34, 115114. [Google Scholar] [CrossRef]
- He, S.; Zhang, K.; Song, Y.; Zhou, Y. Control of flow separation from a curved ramp using a steady-blowing jet. Phys. Fluids 2023, 35, 045139. [Google Scholar] [CrossRef]
- Tian, M.W.; Khorasani, S.; Moria, H.; Pourhedayat, S.; Dizaji, H. Profit and efficiency boost of triangular vortex-generators by novel techniques. Int. J. Heat Mass Transf. 2020, 156, 119842. [Google Scholar] [CrossRef]
- ASME PTC 19.1-2005; Test Uncertainty. American Society of Mechanical Engineers: New York, NY, USA, 2005.
- Wieneke, B. PIV uncertainty quantification from correlation statistics. Meas. Sci. Technol. 2015, 26, 074002. [Google Scholar] [CrossRef]
- Hildebrand, N.; Choudhari, M.; Paredes, P. Predicting Boundary-Layer Transition over Backward-Facing Steps via Linear Stability Analysis. AIAA J. 2020, 58, 3728–3734. [Google Scholar] [CrossRef]
- Spalding, D. A Single Formula for the “Law of the Wall”. J. Appl. Mech. 1961, 28, 455–458. [Google Scholar] [CrossRef]
- Schlatter, P.; Örlü, R. Assessment of direct numerical simulation data of turbulent boundary layers. J. Fluid Mech. 2010, 659, 116–126. [Google Scholar] [CrossRef]
- Graftieaux, L.; Michard, M.; Grosjean, N. Combining PIV, POD and vortex identification algorithms for the study of unsteady turbulent swirling flows. Meas. Sci. Technol. 2001, 12, 1422–1429. [Google Scholar] [CrossRef]
- Lumley, J. The structure of inhomogeneous turbulent flows. Atmos. Turbul. Radio Wave Propag. 1967, 7, 166–178. [Google Scholar]
- Sirovich, L. Turbulence and the dynamics of coherent structures. I. Coherent structures. Q. Appl. Math. 1987, 45, 561–571. [Google Scholar] [CrossRef]
- Thacker, A.; Aubrun, S.; Leroy, A.; Devinant, P. Experimental characterization of flow unsteadiness in the centerline plane of an Ahmed body rear slant. Exp. Fluids 2013, 54, 1479. [Google Scholar] [CrossRef]
- Cherry, N.J.; Hillier, R.; Latour, M.E.M.P. Unsteady measurements in a separated and reattaching flow. J. Fluid Mech. 1984, 144, 13–46. [Google Scholar] [CrossRef]
- Kiya, M.; Sasaki, K. Structure of large-scale vortices and unsteady reverse flow in the reattaching zone of a turbulent separation bubble. J. Fluid Mech. 1985, 154, 463–491. [Google Scholar] [CrossRef]
- Largeau, J.; Moriniere, V. Wall pressure fluctuations and topology in separated flows over a forward-facing step. Exp. Fluids 2006, 42, 21–40. [Google Scholar] [CrossRef]
- Squires, K.D. Detached-eddy simulation: Current status and perspectives. In Proceedings of the Direct and Large-Eddy Simulation V: Proceedings of the Fifth International ERCOFTAC Workshop on Direct and Large-Eddy Simulation Held at the Munich University of Technology, August 27–29, 2003; Springer: Berlin/Heidelberg, Germany, 2004; pp. 465–480. [Google Scholar]
- Amico, E.; Di Bari, D.; Cafiero, G.; Iuso, G. Genetic algorithm-based control of the wake of a bluff body. J. Phys. Conf. Ser. 2022, 2293, 012016. [Google Scholar] [CrossRef]
- Ren, F.; Hu, H.b.; Tang, H. Active flow control using machine learning: A brief review. J. Hydrodyn. 2020, 32, 247–253. [Google Scholar] [CrossRef]
- Ren, F.; Rabault, J.; Tang, H. Applying deep reinforcement learning to active flow control in weakly turbulent conditions. Phys. Fluids 2021, 33, 037121. [Google Scholar] [CrossRef]
- Vignon, C.; Rabault, J.; Vinuesa, R. Recent advances in applying deep reinforcement learning for flow control: Perspectives and future directions. Phys. Fluids 2023, 35, 031301. [Google Scholar] [CrossRef]













| Parameter | Value |
|---|---|
| HWA measurement uncertainty | ⩽1.5% |
| PIV seeding particle & density | DEHS, 0.91 g cm−3 |
| PIV field of view | , |
| PIV CCD camera resolution | 2752 pixel × 2200 pixel |
| PIV measurement uncertainty | <0.1 m s−1 |
Disclaimer/Publisher’s Note: The statements, opinions and data contained in all publications are solely those of the individual author(s) and contributor(s) and not of MDPI and/or the editor(s). MDPI and/or the editor(s) disclaim responsibility for any injury to people or property resulting from any ideas, methods, instructions or products referred to in the content. |
© 2024 by the authors. Licensee MDPI, Basel, Switzerland. This article is an open access article distributed under the terms and conditions of the Creative Commons Attribution (CC BY) license (https://creativecommons.org/licenses/by/4.0/).
Share and Cite
Li, S.; Zhang, P. Enhancing Flow Separation Control Using Hybrid Passive and Active Actuators in a Matrix Configuration. Aerospace 2024, 11, 422. https://doi.org/10.3390/aerospace11060422
Li S, Zhang P. Enhancing Flow Separation Control Using Hybrid Passive and Active Actuators in a Matrix Configuration. Aerospace. 2024; 11(6):422. https://doi.org/10.3390/aerospace11060422
Chicago/Turabian StyleLi, Songqi, and Ping Zhang. 2024. "Enhancing Flow Separation Control Using Hybrid Passive and Active Actuators in a Matrix Configuration" Aerospace 11, no. 6: 422. https://doi.org/10.3390/aerospace11060422
APA StyleLi, S., & Zhang, P. (2024). Enhancing Flow Separation Control Using Hybrid Passive and Active Actuators in a Matrix Configuration. Aerospace, 11(6), 422. https://doi.org/10.3390/aerospace11060422
