Abstract
This paper presents a fast trajectory optimization method combining the hp-Legendre pseudospectral method and convex optimization for the 6-Degree-of-Freedom rocket-powered landing problem. To accelerate calculations, this paper combines the Legendre pseudospectral method with a linearization method for convexification, and an hp method that can divide the mesh is introduced to reduce the computational workload. In terms of accuracy, a trust region update strategy that can control the solution process is presented to approximate the original problem iteratively. Convergence analysis is provided as evidence, substantiating that any solution produced by the hp-Legendre pseudospectral convex method is not only feasible but potentially optimal for the original problem. The effectiveness of the proposed method is demonstrated by numerical experiments. When compared, the proposed method achieves higher calculation accuracy in solving the 6-Degree-of-Freedom rocket-powered landing trajectory problem, while taking into account rocket attitude control.
1. Introduction
Trajectory optimization plays a particularly important role in the design of space aircraft and high-altitude, high-speed, high-maneuverability aircraft. It runs through the entire aircraft design process, affecting the overall aerodynamic layout, guidance and control, power, and the structure of multiple subsystems.
Trajectory optimization of aircraft in the aerospace field is fundamentally an optimal control problem. The methods for solving the optimal control problem are mainly divided into indirect methods and direct methods. Indirect methods require extensive mathematical derivation and are sensitive to initial values, making them unsuitable for solving complex large-scale optimal control problems. Direct methods transcribe an optimal control problem into a nonlinear programming problem (NLP) using a parameterization technique [1]. Due to the development of computers, direct methods have been further developed and applied in many fields. In direct methods, the most commonly applied techniques are pseudospectral methods [1,2] and the convex optimization method [3], which are considered to have the potential to be developed into online optimization methods.
Many references have proven the Karush–Kuhn–Tucker (KKT) conditions of the pseudospectral methods [4]. However, in practice, the pseudospectral method, which is merely a method that discretizes the optimal control problem into nonlinear programming, does not have a direct solution. It needs to be combined with sequential quadratic programming (SQP) to be solved. Although the pseudospectral method can guarantee the KKT of the discretized optimal control problem, it does not prove that there is a solution in a certain amount of time. This factor greatly limits the online application of the pseudospectral method. The solution of nonlinear programming cannot always converge to an optimal result in all cases. The global convergence of the convex optimization method is considered an important factor in accelerating the solution efficiency.
A natural idea is to combine the pseudospectral method (PM) [5] and convex optimization to break through the traditional PM. This can be called the pseudospectral convex method (PCM). The challenge of rocket-powered landing is a prominent area of research within the field of trajectory optimization, and the application of PCM to achieve faster and more precise landing trajectory solutions has emerged as a focal point of research. Sagliano [6] combined the flipped Radau pseudospectral method with the convex optimization method to tackle the Mars powered descent problem, The problem involves a 3-Degree-of-Freedom (3-DOF) model that considers both position and velocity in three-dimensional space. Wang [7] introduced the pseudospectral improved successive convexification (P-iSC) algorithm for 3-DOF rocket landing problems, assuming ideal rocket attitude control. In various trajectory optimization problems, PCMs are widely employed. Li [8] proposed the successive Chebyshev pseudospectral convex optimization method and successfully addressed spacecraft orbit transfer problems. Yu [9] developed an innovative convex optimization algorithm based on the Chebyshev pseudospectral method, effectively solving reentry trajectory optimization problems. Zhang [10] introduced a novel method that combines convex techniques with Birkhoff pseudospectral methods to address rendezvous and proximity operation problems while considering merely nonlinear inequality constraints.
The characteristic of the pseudospectral method is that increasing the number of collocations will increase the accuracy of the solution. However, the increase in the number of points will also increase the calculation burden for optimization. There is a contradiction between the number of discrete allocation points and the computing speed. The idea of using hp mesh division for sparse algebraic equations in the pseudospectral method is borrowed in PCM to alleviate conflicts. In hp mesh division, h represents the total number of meshes, and p represents the number of collocations in a mesh [11]. Sagliano [12] introduced a generalized hp pseudospectral method to solve a 3-DOF landing problem. Lei [13] proposed a convex optimization method based on an hp-adaptive pseudospectral method for planning the trajectory of a 3-DOF powered landing.
In summary, the integration of the pseudospectral method and convex optimization has emerged as an innovative approach [14] for addressing numerous optimal control problems. In the context of rocket landing trajectory problems, extensive research has been conducted on the 3-DOF optimal control problem. However, it is worth noting that the 3-DOF model assumes ideal attitude control, which introduces a disparity between the idealized model and the real-world scenario.
In this paper, we focus on addressing the 6-Degree-of-Freedom rocket landing problem, considering attitude variation as a research objective. We introduce a novel hp-Legendre pseudospectral convex method to tackle the nonlinear optimal control problem associated with 6-Degree-of-Freedom powered landing. The method is built upon a foundation of the Legendre pseudospectral method and convex optimization techniques. We employ hp mesh division technology to reduce the computational burden of algebraic equations. Recognizing the complexity of achieving an exact solution in a single calculation, we incorporate a trust region update strategy to control the iterative approximation solution process.
The remaining paper is structured as follows: Section 2 presents the 6-Degree-of-Freedom powered landing problem with relevant constraints. In Section 3, we propose the hp-Legendre pseudospectral convex method (LPCM). Section 4 introduces the hp-Legendre pseudospectral convex method with trust region strategy (hp-LPCM-TRS) along with the accompanying convergence analysis. In Section 5, we showcase numerical simulation of the 6-Degree-of-Freedom rocket-powered landing problem to illustrate the effectiveness and performance of the proposed method. Section 6 serves as the conclusion of the article.
2. Six-DOF Rocket-Powered Landing Problem
To provide a clear understanding of the problem, we will elaborate on the 6-Degree-of-Freedom powered landing problem [15]. The dynamic equations, boundary constraints, and path constraints are presented below.
The mass depletion dynamics are described as follows:
where the vacuum-specific-impulse and Earth’s standard gravity constant are defined. The thrust vector is denoted as . The position vector and velocity vector are denoted as and , respectively. The differential equations for position and velocity are as follows:
where , and the matrix C, which encodes the attitude transformation, is denoted as:
It consists of an attitude quaternion . Quaternions do not have singularities, and, in contrast to other representations such as Euler angles, they do not suffer from issues like Gimbal lock. In addition, quaternions are suitable for computer computation. More details about can be found in reference. The attitude quaternion differential equation is as follows:
where the skew-symmetric matrix is denoted as follows:
where , and denote the angular velocity of the rocket rotating around the three axes in the arrow body coordinate system, respectively. Finally, the three differential equations for the angular velocity of the rotation are as follows:
where is a torque matrix and is a skew-symmetric matrix, as denoted by
where represents the inertial tensor of the vehicle, and represents the constant position vector, as denoted by
where represents the gimbal-point position vector and represents the inertial vector of the vehicle.
The state variable vector is defined, and the control variable vector is also defined. They are functions of time. The 6-Degree-of-Freedom powered landing problem must satisfy boundary conditions and path constraints.
The initial and terminal boundary variables are
The given initial and terminal conditions values are provided by
The boundary conditions are as follows:
where the subscripts and indicate the state variables at the initial time and at the terminal time, respectively.
The path constraints are given as follows. The mass of the rocket is restricted by the following constraint:
where is the structural mass and is plus fuel mass. The trajectory is restricted within an upward-facing glide-slope cone with an angle in the range of .
To avoid excessive tilt angles in the trajectory, it is limited by a maximum value of . The path constraint for is denoted as follows:
Furthermore, a maximum angular rate of is used to limit by
For convenience, is a vector of angular rate functions. The commanded thrust vector is constrained within the magnitude interval and the gimbal angle interval , where .
where the thrust magnitude lower bound constraint is non-convex, it needs to be linearized using a first-order Taylor series approximation. The linearized lower bound constraint is obtained by
is a guessed value. The maximum mass at the terminal time is set as the performance index. In summary, we have the following continuous 6-Degree-of-Freedom powered landing optimal control problem, denoted as :
All path constraints of problem have been converted to convex constraints. However, due to the nonlinear nature of the dynamic equations, the entire problem remains non-convex. The next section will demonstrate how to employ the pseudospectral convex method to linearize the nonlinear dynamic equations within the problem step by step. The transformation will ultimately render problem as a convex problem.
3. hp-Legendre Pseudospectral Convex Method
3.1. Combining Legendre Pseudospectral Method and Convex Optimization
The Legendre pseudospectral convex method (LPCM) principle involves discretizing the state at Legendre–Gauss–Lobatto (LGL) collocation points, multiplying it with a differential matrix to obtain the corresponding differential values, and subsequently completing the algebraic substitution of the differential components. This process can be broken down into the following steps:
In accordance with the principle of the Legendre pseudospectral method, it is essential to map the real time interval to . During this mapping, the state variable function and the control variable function are approximated using Lagrange interpolating polynomials.
is the Lagrange interpolation basis function and can be calculated by
The derivation of and with respect to time is as follows:
where is a differential matrix. The differential value, which is of the Lagrange basis function at each , has a clear mathematical expression as follows:
In the above expression, is the Legendre orthogonal polynomial. For detailed information, please refer to reference [15]. Integral terms in need to be converted to matrix multiplication using a quasi-Gaussian quadrature formula.
Here, is the Legendre integral weight, which is mathematically expressed as follows:
The discretized problem, denoted as , is established based on the aforementioned steps:
Now, and represent the discretization formula of continuous path constraints. represents the discretization formula of the continuous performance index. Continuous dynamics have been replaced by algebraic matrix multiplication. According to problem , the pseudospectral discretized powered landing problem is given by
The subscript denotes the -th discretization value. For example, represents -th variable derived from a series of discrete mass variables. The above rocket landing trajectory problem is a nonlinear programming problem, especially because the path constraint is convex, but the equality constraint is nonlinear.
The optimal control problem is converted into a nonlinear programming problem using the Legendre pseudospectral method; while it can be solved with SQP, the solution speed cannot be guaranteed. In this section, we transform the nonlinear programming problem into a second-order cone problem (SOCP) in convex optimization, which can be efficiently solved. The basic form of the SOCP is as follows:
The symbol represents the 2-norm. In the SOCP, some linear equality constraints are required, and the feasible region for inequality constraints is second-order conical. The Legendre pseudospectral convex optimization method is employed to convert a nonlinear optimal control problem into the SOCP. However, the transformed problem may not be solved initially, and the solvability of the problem needs to be improved by relaxation and trust region methods. The process is as follows:
Linearizing the nonlinear terms. In problem , the dynamics, which often contain nonlinear terms, need to be linearized. Here the nonlinear dynamics are linearized using the first-order Taylor formula.
where is a nonlinear function, is a known quantity, is the first derivative, and represents an infinitesimal of higher order.
In dynamics, the first-order differential equation is written as follows:
The right-hand side is a nonlinear function, and the left-hand side is a derivative of the state variable. Taylor expansion can be used to linearize the right-hand side. The linearization equation is as follows:
In the above equation, and represent the last generation state variable and control variable, respectively. and are unknown variables that need to be solved. represents the partial derivative of with respect to state variable , and represents the partial derivative of with respect to control variable . They can be written as follows:
can be represented as follows:
represents a linear system:
represents the difference between the actual dynamic value of last generation solution and the linearized system value.
For , the algebraic equation can be written as follows:
Involving relaxation and trust regions. A relaxation variable, denoted as , is introduced to manage the feasibility of relaxations [7]. Additionally, we have and , representing trust regions for state and control variables, respectively. These trust regions are crucial in ensuring that the solution remains in proximity to the linearization point, thereby enhancing numerical stability throughout the solution process [14].
The Legendre pseudospectral convex problem, denoted by , is generally represented in the following form:
Solving problem. Based on , the problem is simplified and denoted as follows:
where , and represent the derivatives of each dynamic with respect to state variable , respectively, and , and represent the derivatives of dynamics with respect to control variable . Further details can be found in Appendix A.
The problem is an SOCP that can be solved using convex optimization algorithms. The solution obtained from represents the global convergence solution of the problem, but it should be noted that this solution is a relaxation of the original problem. A real solution to the original problem is achieved only when the relaxation equals zero.
Equations (26) to (50) represent the mathematical formulation of the Legendre pseudospectral convex method for solving the 6-Degree-of-Freedom powered landing problem.
3.2. Mesh Division Using hp Method
After obtaining the relaxed SOCP form of the optimal control problem in the previous section, the solution scope of the problem is significantly expanded. However, the solution speed is related to the scale of the established SOCP [3]. Using hp mesh division, the large SOCP can be divided into multiple sub-SOCPs connected by boundary conditions. The solution of the established relaxed SOCP is constrained by a trust region to remain close to the linearization point, which may not always yield the optimal solution. By adjusting the size of the trust region, the solution space of the SOCP can be gradually changed, allowing it to converge towards the solution of the original problem.
The hp-Legendre pseudospectral convex method (hp-LPCM) is proposed in this section. We will explain how this method further subdivides the relaxed SOCP and updates the trust region to bring the relaxed solution closer to the solution of the original problem during the iterative solution process. The specific steps are as follows:
Determine the total number of collocations that can be assigned to the problem , and the total number of meshes, denoted as H. Different numbers of collocations can be assigned to different meshes, denoted by . These numbers must satisfy the following constraint:
is calculated according to . The total time interval in each segment is represented by .
where and represent the state vector and control vector of j-th mesh, respectively. The time in T must satisfy the following constraints, for relating the sub-mesh all together.
It is obvious that control variables are not correlated because control variables might appear as jump points in many cases.
Linearizing each mesh using the linearization method in LPCM. The specific equations for this process are as follows:
where and represent the state vector and control vector of j-th mesh in the last generation.
Relaxing each mesh using the relaxation technique in LPCM and adding trust regions and to limit the variation of the state and control quantities around the linear point.
The hp-LPCM formulas for problem are summarized as follows:
The relaxed SOCP problem for rocket landing is processed through a series of steps to obtain the mesh division relaxed SOCP problem, denoted as .
The problems and can be addressed using convex optimization algorithms, such as the interior point method. However, these problems may remain unsolved if the trust region size is set too small and the accuracy of the initial guess is low. Conversely, a larger trust region may result in reduced solution accuracy. So, it is necessary to update the trust region size to obtain an optimal solution according to the quality of the initial guess.
4. Trust Region Update Strategy
4.1. Controlled Solution Process through Trust Region
Begin by setting initial guess , and then solve to obtain solution and objective value . Then, update the trust region according to the system nonlinear cost and the system linear cost . The system linear error is equal to the linearized dynamic error plus the linearized constraint error, while the system nonlinear error is equal to the nonlinear dynamic error plus the nonlinear constraint error. The calculation error ratio is denoted as follows:
If and are nonlinear, they are linearized using a first-order Taylor series approximation. and are calculated as follows:
If are linear, they are calculated as follows:
The trust region is updated based on the value of . We set Here is how the trust region is updated depending on the value of . If , the current solutions are rejected. If , and will be scaled down. , and . If , the trust region remains unchanged, and . If , it indicates that the trust region should be enlarged. , where , and .
By incorporating the proposed trust region update method with the PCMs, we introduce the following two algorithms for solving the optimal control problem, specifically for the 6-Degree-of-Freedom powered landing.
We incorporate the method from Section 3.2 into Algorithm 1 to propose Algorithm 2 as follows.
| Algorithm 1: Legendre Pseudospectral Convex Method with Trust Region Strategy (LPCM-TRS) |
| Input: a optimal control problem , a number of collocation of points , trust region size and , initial guessed solution and , tolerance , Maximum number of iterations , other parameters , , , , Output: X and U |
|
| Algorithm 2: hp-Legendre Pseudospectral Convex Method with Trust Region Strategy (hp-LPCM-TRS) |
| Input: a optimal control convex problem , a total number of mesh H, a list of the number of points , a list of the interval time , other parameters , , , , , , , , , Output: X and U |
|
The convergence of the LPCM-TRS and hp-LPCM-TRS algorithms will be theoretically discussed in the next subsection.
4.2. Convergence Analysis
In reference [5], it has been demonstrated that the NLP , obtained using the Legendre pseudospectral method, satisfies the KKT conditions. Building upon this foundation, we can analyze the KKT conditions for the relaxed SOCP and the relaxed SOCP of mesh division . The KKT conditions for problem are as follows:
where , and represent Lagrange multipliers and . Assuming that and are linear, we will discuss the linearized dynamical equations. The KKT conditions for problem are as follows:
It can be seen that when , the KKT conditions of problem are equivalent to the KKT conditions of problem . The KKT conditions for problem are as follows:
where . Here, the superscript s indicates that it is in the s-th mesh interval, and it is evident that the KKT conditions of problem consist of multiple mesh KKT conditions. Each mesh can be viewed as a scaled-down problem .
To ensure that the KKT conditions of these problems are as equal as possible, the trust region updating based on the nonlinear error and linear error of the system is proposed. Then, its convergence is analyzed as follows:
When , is larger than the error. It is necessary to scale down the trust region size to confine and to the vicinity of and . In general, a solution is considered invalid if is less than 0.25. When , it means that is smaller than . In this case, the problem might be unsolvable, and there is a need to scale up the trust region size to search for a credible solution. When , it indicates that is equivalent to . Only when and , the solution of SOCP is the globally convergent solution of NLP.
The practical solution capability of the proposed method, although theoretically analyzed for optimality, will be verified through numerical experiments in the next section. P-iSc [7] is a pseudospectral convexification method based on the Radau pseudospectral approach, without mesh division. To facilitate a more meaningful comparison, we introduce mesh division to the original P-iSC algorithm, resulting in a new method called hp-P-iSc. We then proceed to compare it with LPCM-TRS and hp-LPCM-TRS.
5. Numerical Simulation
In this section, numerical experiments on 6-Degree-of-Freedom rocket landing were conducted to validate the effectiveness of the proposed method. The method’s performance is compared with hp-P-iSC for solving the rocket-powered landing. The simulations were implemented using Python, and the simulation parameters and boundary conditions are presented in Table 1. The method’s parameters are provided in Table 2.
Table 1.
Simulation parameters.
Table 2.
Algorithm parameters.
The methods compared with hp-P-iSC include LPCM-TRS and hp-LPCM-TR. The total number of collocation points is 50, with each mesh containing 10 points, and a maximum of 20 iterations are allowed.
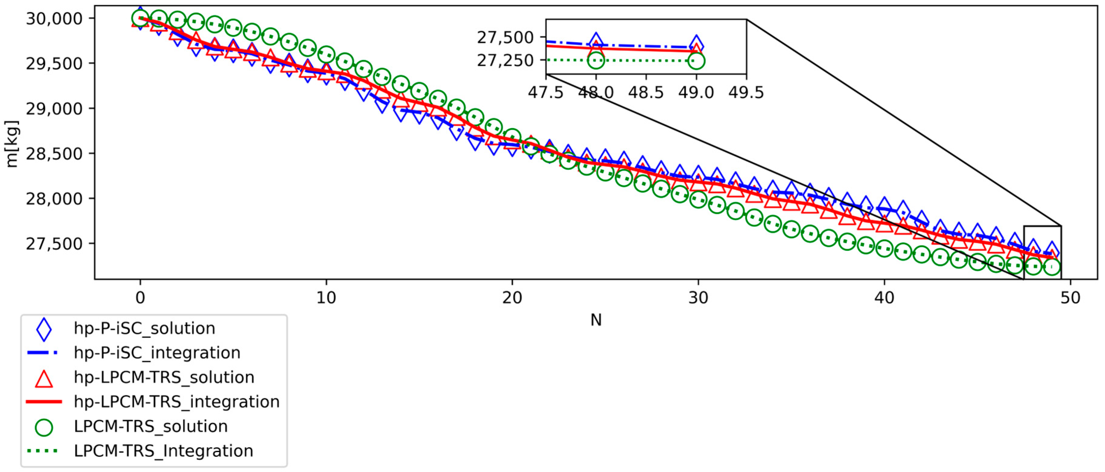
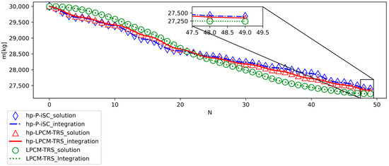
To facilitate a comprehensive comparison of the optimization results’ accuracy, the discrete control and state quantities obtained from the optimization are utilized in the nonlinear dynamic equation. This yields discrete differential values, which are then integrated through time-stepping to produce continuous state quantity curves. To maintain consistency in the subsequent legends, the discrete numerical solutions in the figures are denoted by red triangles and green circles corresponding to hp-LPGM-TR and LPCM, respectively. The integrated continuous solutions are represented by red lines and green lines for hp-LPCM-TRS and LPCM-TRS, respectively. Additionally, the blue diamonds and lines represent the discrete numerical solutions and integrated continuous solutions of the hp-P-iSC method.
Observing the discrete points and continuous curves of the same-colored mass in Figure 1, it is evident that they generally align well. The difference between hp-P-iSC and hp-LPCM-TRS is minimal, with LPCM-TRS having the lowest performance index.
Figure 1.
The mass curve of 6-Degree-of-Freedom powered landing.
Figure 2 illustrates the changes in the position coordinates of the rocket in three-dimensional space. In each of the three subgraphs, the discrete points and continuous curves exhibit a good fit. When examining their respective terminal positions, it is evident that LPCM-TRS gradually approaches the target point several time points in advance, displaying a smoother trajectory. On the other hand, hp-LPCM-TRS and hp-P-iSC reach the target point with steeper changes in their trajectories.

Figure 2.
The changes in the position coordinates of the rocket in three dimensions are described as follows: (a) The position component represents the changes along the x-axis. (b) The position component represents the changes along the y-axis. (c) The position component represents the changes along the z-axis.
In Figure 3, the quaternion change curve for the rocket’s control attitude change is depicted. The discrete points and continuous curves of , , and exhibit a good fit. However, in the case of , there is a significant deviation in the middle part between the discrete points and the continuous curves for hp-P-iSC.

Figure 3.
The quaternion change curve for rocket control attitude change is depicted in Figure 3, highlighting the changes in each component of the quaternion. The subgraphs are organized as follows: (a) Comparison of the solutions for the first component of quaternion . (b) Comparison of the solutions for the second component of quaternion . (c) Comparison of the solutions for the third component of quaternion . (d) Comparison of the solutions for the last component of quaternion .
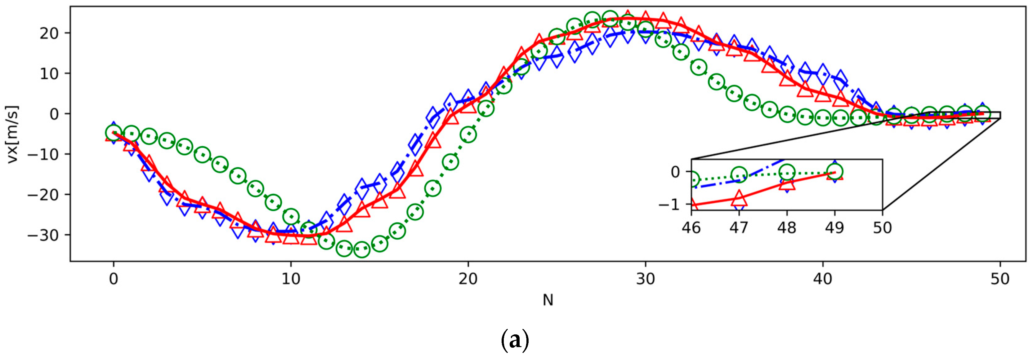
In Figure 4, we observe the fundamental alignment between discrete points and continuous curves in Figure 4a. However, it is noticeable that as we approach the end, there are deviations and discrepancies in the discrete points and continuous curves of hp-P-iSC. Interestingly, the positions of the discrete points in hp-P-iSC closely resemble those of hp-LPCM-TRS. In Figure 4b, the fitting between discrete points and continuous curves is excellent, and the trend remains consistent as we approach the end. Meanwhile, in Figure 4c, the changes in discrete points and continuous curves of hp-LPCM-TRS closely resemble those of LPCM-TRS, particularly near the end positions. However, hp-P-iSC exhibits a relatively steep change in trend as it approaches the end condition.

Figure 4.
The speed of the rocket moving in three dimensions is illustrated. The three subgraphs represent (a) the speed of movement along the x-axis, (b) the speed of movement along the y-axis, and (c) the speed of movement along the z-axis.
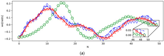
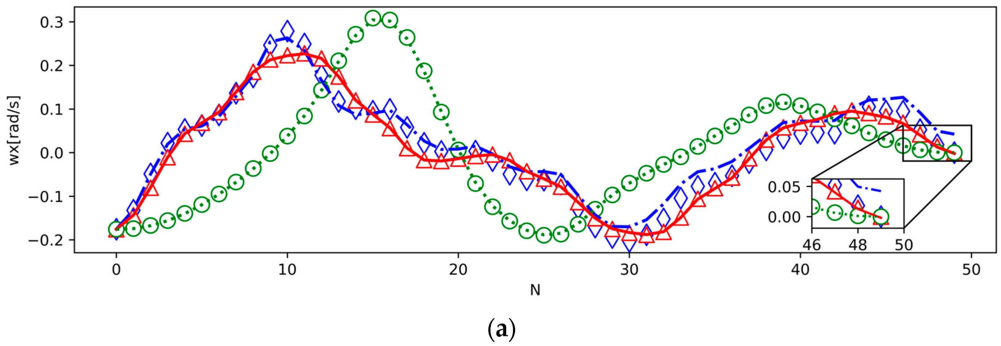
In Figure 5, there is a deviation in the fitting of discrete points and continuous curves for hp-P-iSC in Figure 5a, leading to a significant deviation of continuous curves at the end, despite the discrete points being consistent with hp-LPCM-TRS. Figure 5b shows a good fit between the discrete points and continuous curves. In Figure 5c, the value is small enough to be considered as zero.

Figure 5.
The figures depict the variation in the rocket’s angular velocity as it spins around its axis: (a) the angular velocity around the x-axis; (b) the angular velocity around the y-axis; (c) the angular velocity around the z-axis.
Table 3 presents various indicators, including the average error, objective function value, objective function error, relaxation value , and CPU time. In this study, we have introduced two novel methods, namely LPCM-TRS and hp-LPCM-TRS, and conducted a comparative analysis with hp-P-iSC, which incorporates existing methodologies. As elucidated in the convergence analysis within Section 4.2, the proximity of the relaxation value to zero signifies a closer alignment between the solved problem and the original problem, ultimately resulting in a more dependable solution. In Table 3, it becomes evident that both LPCM-TRS and hp-LPCM-TRS exhibit relaxation values of , while hp-P-iSC demonstrates a relaxation value of . Despite hp-P-iSC boasting a shorter computing time, it regrettably fails to converge, as discerned from the algorithm’s convergence analysis.
Table 3.
The comparison of objective value, average error, and CPU time.
Another pivotal metric to consider is the average error. It is noteworthy that both LPCM-TRS and hp-LPCM-TRS showcase remarkable precision in optimizing both spatial positioning and attitude control during rocket landing. Conversely, hp-P-iSC manifests a larger average error. This discrepancy can be attributed to the relatively significant attitude control errors in hp-P-iSC, while spatial position state accuracy remains consistently high, aligning with the findings presented in the original paper. Upon a comprehensive evaluation of the average error and objective function error indices, hp-LPCM-TRS and LPCM-TRS display comparable levels of accuracy, and . Nevertheless, when evaluating CPU computing time, hp-LPCM-TRS remarkably expends only 45.9% of the time required by LPCM-TRS. Consequently, hp-LPCM-TRS emerges as the optimal choice, excelling in terms of accuracy, computational efficiency, and problem-solving optimality.
In summary, the optimal control problem of 6-Degree-of-Freedom rocket-powered landing was solved under the same iteration step and the same termination condition.
Based on the data from the Figure 1, Figure 2, Figure 3, Figure 4 and Figure 5 and Table 3, it is apparent that hp-P-iSc has a relatively short calculation time. However, when examining the relaxation amount, it becomes evident that hp-P-iSC has a larger relaxation value compared to the other two algorithms. This larger relaxation value leads to relatively large average errors and objective function errors, ultimately resulting in a lack of solution accuracy. An analysis of the figures suggests that the poor calculation performance of hp-P-iSC is primarily due to the inadequate calculation of attitude control state variables.
The calculation results of hp-P-iSC in the spatial position state do not significantly differ from the other two algorithms. The average error and objective function error of LPCM-TRS and hp-LPCM-TRS are within the same order of magnitude, with very minimal actual differences between them. Moreover, the problem solved by the proposed algorithm closely approximates the original problem, given a relaxation value of . Interestingly, the computational time of hp-LPCM-TRS is only 45.9% of the computational time required by LPCM-TRS.
6. Conclusions
The hp-LPCM-TRS method is introduced as an extension of the Legendre pseudospectral method for optimal control problems. In theory, it offers a general approach for solving linear optimal control problems, with the ability to address nonlinear optimal control problems by utilizing first-order Taylor series approximation for linearization. Specifically, the study focuses on solving the 6-Degree-of-Freedom rocket dynamic landing problem, creating and solving linear optimal control problems and using LPCM-TRS, hp-LPCM-TRS, and hp-P-iSC.
The simulation results highlight that hp-LPCM-TRS emerges as an optimal choice for tackling the powered landing trajectory problem of a 6-Degree-of-Freedom rocket. It not only demands less computational time but also maintains a high level of accuracy in its solutions. The process of mesh division exhibits the potential to significantly enhance computational efficiency while upholding a commendable level of precision with an equivalent number of collocation points. The utilization of a trust region update strategy enables an iterative approach to closely approximate the original problem, thereby ensuring the robustness and fidelity of the solution. Within the framework of the Legendre pseudospectral method, PCM effectively preserves the coherence among multiple mesh partitions.
Author Contributions
Conceptualization, J.H.; Methodology, Y.Z.; Software, Y.Z.; Supervision, J.H.; Writing—Original Draft, Y.Z.; Writing—Review and Editing, J.H. All authors have read and agreed to the published version of the manuscript.
Funding
This work was supported in part by the Natural Science Foundation of SiChuan under Grant 2022NSFSC0940, 2022NSFSC0446 and 2022NSFSC0894, and in part by Doctor Foundation of Southwest University of Science and Technology under Grant 20zx7137.
Data Availability Statement
The data used to support the findings of this study are available from the corresponding author upon request.
Conflicts of Interest
The authors declare no conflict of interest.
Appendix A
References
- Fahroo, F.; Ross, I.M. Direct Trajectory Optimization by a Chebyshev Pseudospectral Method. J. Guid. Control Dyn. 2002, 25, 160–166. [Google Scholar] [CrossRef]
- Fahroo, F.; Ross, I.M. Advances in Pseudospectral Methods for Optimal Control. In Proceedings of the AIAA Guidance, Navigation and Control Conference and Exhibit; Guidance, Navigation, and Control and Co-located Conferences, Honolulu, HI, USA, 18–21 August 2008; American Institute of Aeronautics and Astronautics: Reston, VA, USA, 2008. [Google Scholar]
- Boyd, S.; Vandenberghe, L. Convex Optimization; Cambridge University Press: Cambridge, UK, 2004; ISBN 978-0-521-83378-3. [Google Scholar]
- Kang, W.; Ross, I.M.; Gong, Q. Pseudospectral Optimal Control and Its Convergence Theorems. In Analysis and Design of Nonlinear Control Systems: In Honor of Alberto Isidori; Astolfi, A., Marconi, L., Eds.; Springer: Berlin/Heidelberg, Germany, 2008; pp. 109–124. ISBN 978-3-540-74358-3. [Google Scholar]
- Ross, I.M.; Fahroo, F. Legendre Pseudospectral Approximations of Optimal Control Problems. In New Trends in Nonlinear Dynamics and Control and Their Applications; Kang, W., Borges, C., Xiao, M., Eds.; Springer: Berlin/Heidelberg, Germany, 2003; pp. 327–342. [Google Scholar]
- Sagliano, M. Pseudospectral Convex Optimization for Powered Descent and Landing. J. Guid. Control Dyn. 2018, 41, 320–334. [Google Scholar] [CrossRef]
- Wang, J.; Cui, N. A Pseudospectral-Convex Optimization Algorithm for Rocket Landing Guidance. In Proceedings of the 2018 AIAA Guidance, Navigation, and Control Conference, Kissimmee, FL, USA, 8–12 January 2018; AIAA SciTech Forum. American Institute of Aeronautics and Astronautics: Reston, VA, USA, 2018. [Google Scholar]
- Li, Y.; Chen, W.; Yang, L. Successive Chebyshev Pseudospectral Convex Optimization Method for Nonlinear Optimal Control Problems. Int. J. Robust Nonlinear Control 2022, 32, 326–343. [Google Scholar] [CrossRef]
- Yu, C.-M.; Zhao, D.-J.; Yang, Y. Efficient Convex Optimization of Reentry Trajectory via the Chebyshev Pseudospectral Method. Int. J. Aerosp. Eng. 2019, 2019, 1414279. [Google Scholar] [CrossRef]
- Zhang, Z.; Zhao, D.; Li, X.; Kong, C.; Su, M. Convex Optimization for Rendezvous and Proximity Operation via Birkhoff Pseudospectral Method. Aerospace 2022, 9, 505. [Google Scholar] [CrossRef]
- Ross, I.M.; Fahroo, F. Pseudospectral Knotting Methods for Solving Nonsmooth Optimal Control Problems. J. Guid. Control Dyn. 2004, 27, 397–405. [Google Scholar] [CrossRef]
- Sagliano, M. Generalized Hp Pseudospectral-Convex Programming for Powered Descent and Landing. J. Guid. Control Dyn. 2019, 42, 1562–1570. [Google Scholar] [CrossRef]
- Lei, X.; Hongbo, Z.; Xiang, Z.; Guojian, T. Hp-Adaptive Pseudospectral Convex Optimization for Rocket Powered Landing Trajectory Planning. In Proceedings of the 2019 Chinese Automation Congress (CAC), Hangzhou, China, 22 November 2019; pp. 895–900. [Google Scholar]
- Zhang, D.; Z–Hang, Y. PySCP: A Multiple-Phase Optimal Control Software Using Sequential Convex Programming. Int. J. Aerosp. Eng. 2022, 2022, 2969809. [Google Scholar] [CrossRef]
- Szmuk, M.; Reynolds, T.; Acikmese, B.; Mesbahi, M.; Carson, J.M. Successive Convexification for 6-DoF Powered Descent Guidance with Compound State-Triggered Constraints. In Proceedings of the AIAA Scitech 2019 Forum, San Diego, CA, USA, 7–11 January 2019; American Institute of Aeronautics and Astronautics: Reston, VA, USA, 2019. [Google Scholar]
Disclaimer/Publisher’s Note: The statements, opinions and data contained in all publications are solely those of the individual author(s) and contributor(s) and not of MDPI and/or the editor(s). MDPI and/or the editor(s) disclaim responsibility for any injury to people or property resulting from any ideas, methods, instructions or products referred to in the content. |
© 2023 by the authors. Licensee MDPI, Basel, Switzerland. This article is an open access article distributed under the terms and conditions of the Creative Commons Attribution (CC BY) license (https://creativecommons.org/licenses/by/4.0/).








