Regionalization of Updated Intensity-Duration-Frequency Curves for Romania and the Consequences of Climate Change on Sub-Daily Rainfall
Abstract
1. Introduction
1.1. Theoretical Review of IDF Curves
- Annual Maxima Series (AMS), also known as Block Maxima (BM);
1.2. Practical Applications of IDF Curves
- Defining design storms to estimate design or verification flows for the rehabilitation and expansion of sewerage systems or the development of new drainage networks;
- Establishing flood risk management measures, particularly in urban drainage basins and small catchments;
- Providing meteorological input for spatial planning decisions involving land-use changes.
1.3. Frequency Standards
1.4. Objective and Organization of the Paper
- Section 1 introduces the background, theoretical framework, and objectives of the study.
- Section 2 describes the study area and the methodological framework.
- Section 3 presents the results obtained from the applied approaches and their comparative evaluation.
- Section 4 discusses the coefficients a, b, and c, which characterize each region and vary depending on the Annual Frequency of Exceedance (AFE). This section also addresses the main constraints, analyzes variability within homogeneous zones, the uncertainty of representative IDF curves, and the potential influence of climate change.
- Section 5 summarizes the main conclusions and outlines directions for future research.
2. Materials and Methods
2.1. Study Area
2.2. Research Framework
- First approach: Annual maximum daily rainfall values were analyzed, and the stations were grouped according to their coefficient of variation, applying different clustering methods: k-means, DBSCAN, and Hierarchical Clustering.
- Second approach: For the same annual maximum daily rainfall values, contour maps were generated for each statistical parameter (mean, standard deviation, coefficient of variation) and analyzed for their spatial plausibility.
- Third approach: Pairwise similarity analysis was performed between stations, where similarity was accepted when both the correlation coefficient and the Nash–Sutcliffe Efficiency (NSE) exceeded 0.99.
- Fourth approach: Regionalization based on the 1 h rainfall depth corresponding to a 1:10 Annual Frequency of Exceedance (AFE) for each station.
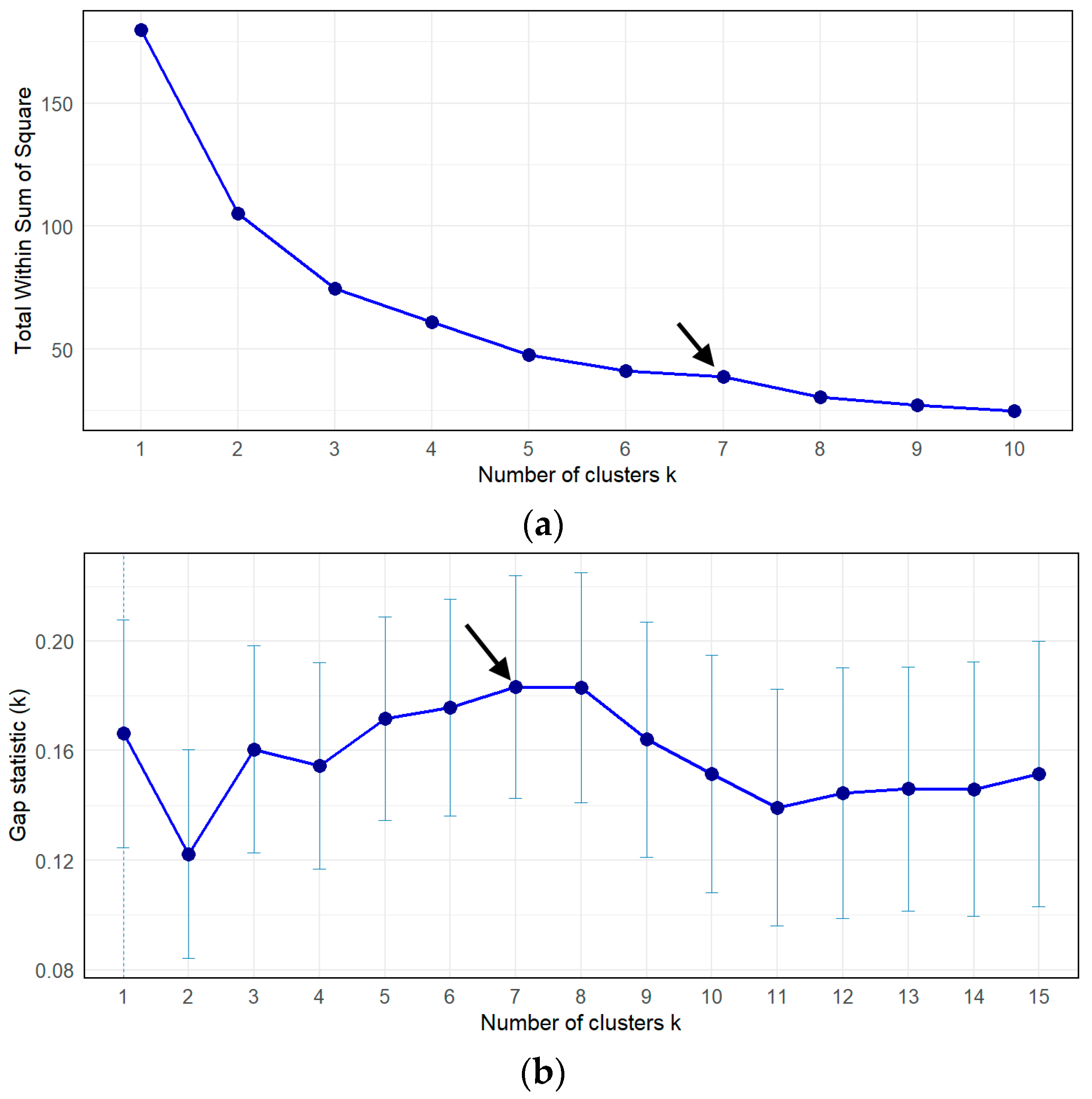
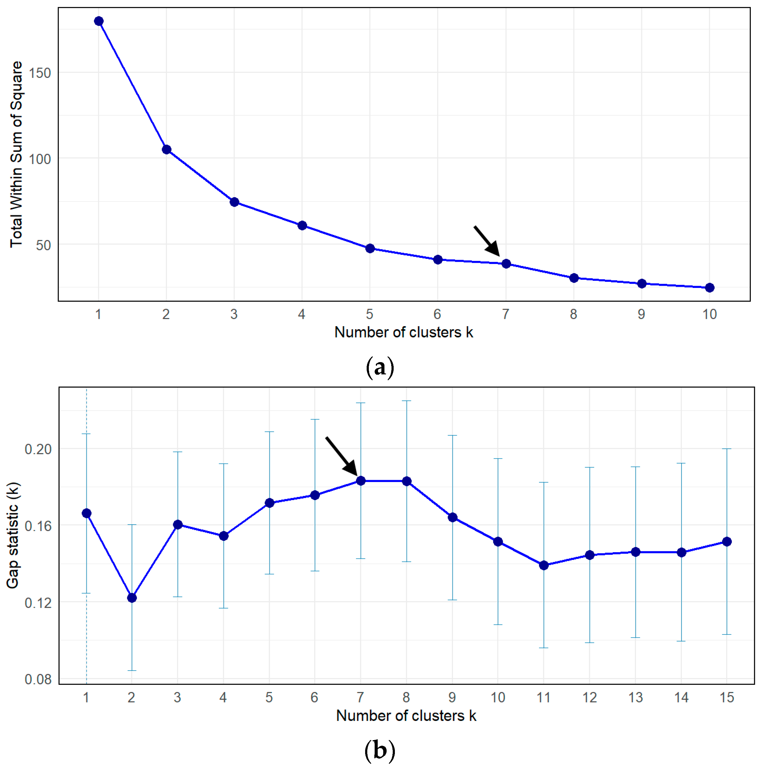
2.2.1. Clustering—Overview
- k-means
2.2.2. Isolines of Statistical Parameters of the Annual Series of Maximum Daily Rainfall
2.2.3. Similarities Between Meteorological Stations—Overview
- The Coefficient of Determination
- The Nash–Sutcliffe Efficiency () coefficient is computed as one minus the ratio of the error variance between time series i and j to the variance of series j:
2.2.4. Isolines of the 1 h Accumulated Rainfall Depth Corresponding to a 1:10 AFE
2.2.5. Investigating Climate Change
2.2.6. Using the Sherman Relation for IDF Curves
3. Results
3.1. Clustering—Commented Results
- It simplifies complex spatial data by aggregating stations into coherent units;
- It highlights regions with potentially different risk profiles related to rainfall extremes;
- It provides a spatial framework for validating the interpolation of climatic indices and supporting future Regional Frequency Analysis;
- k-means Clustering
- DBSCAN Clustering
- Hierarchical Clustering
3.2. Isolines of the Main Parameters for the Annual Maximum Daily Rainfall
3.3. Similarities Between Meteorological Stations Commented Results
3.4. Regionalization Based on 1 h Accumulated Rainfall Depth
3.5. Summary Remarks on Regionalization Approaches
- Clustering techniques—Provided valuable insights but failed to ensure complete national coverage, leaving unclassified spatial areas.
- Daily rainfall-based maps—Useful for general climatic characterization, but inadequate for modeling short-duration, high-intensity events relevant to urban hydrology.
- Station similarity (, NSE)—Demonstrates high pairwise similarity even across distant stations, which undermines its effectiveness for spatial delineation.
- One-hour rainfall depth at 1:10 AFE—Offers the best national coverage and practical applicability. It aligns with typical urban concentration times and with European design standards, making it the most suitable basis for updated regionalization.
4. Discussion
4.1. Considerations Regarding the Coefficients a, b, and c
- They may increase or decrease monotonically with frequency;
- Their variation is not always synchronized;
- They generally show limited variability.
4.2. Variability Within Homogeneous Zones
4.3. Uncertainty of Representative IDF Curves
- Epistemic uncertainty, resulting from incomplete knowledge about the true statistical distribution of extreme rainfall;
- Aleatory uncertainty, reflecting natural variability and the limitations of available data series.
4.4. Climate Change Investigation
- For the 5 min duration, increases between 10% and 71% were recorded (Figure 21a);
- The 10 min duration showed increases ranging from 10% to 46.8% (Figure 21b);
- For intermediate durations (30–60 min), the spatial distribution of changes was more heterogeneous, with relatively balanced areas experiencing either increases or decreases in rainfall depth (Figure 21c,d);
- In contrast, longer durations (180–360 min) exhibited a predominance of negative changes, suggesting a trend toward reduced precipitation accumulation during extended rainfall events (Figure 21e,f);
- Finally, for durations of 720 and 1440 min, clearly dominant decreasing trends were observed (Figure 21g,h), indicating a general decline in total rainfall volume for events of daily or near-daily scale.
5. Conclusions
Author Contributions
Funding
Data Availability Statement
Conflicts of Interest
Abbreviations
| IDF | Intensity–Duration–Frequency curves |
| AFA | At-site frequency analysis |
| AFE | Annual Frequency of Exceedance |
| RFA | Regional frequency analysis |
| STAS | State standard (or state norms in Romania) |
| ANM | National Administration of Meteorology, Bucharest, Romania |
References
- Chow, V.T.; Maidment, D.R.; Mays, L.W. Applied Hydrology; McGraw-Hill: New York, NY, USA, 1988; pp. 383–384, 446–451, 454–459. [Google Scholar]
- Maidment, D.R. Handbook of Hydrology; McGraw-Hill: New York, NY, USA, 1993; pp. 50–52. [Google Scholar]
- Koutsoyiannis, D.; Kozonis, D.; Manetas, A. A mathematical framework for studying rainfall intensity-duration-frequency relationships. J. Hydrol. 1998, 206, 118–135. [Google Scholar] [CrossRef]
- Takeleb, A.M.; Fajriani, Q.R.; Ximenes, M.A. Determination of Rainfall Intensity Formula and Itensity-Duration-Frequency (IDF) Curve at the Quelicai Administrative Post, Timor-Leste. Timor-Leste J. Eng. Sci. 2022, 3, 1–11. [Google Scholar]
- Nhat, L.M.; Tachikawa, Y.; Takara, K. Establishment of Intensity-Duration-Frequency Curves for Precipitation in the Monsoon Area of Vietnam. Annu. Disas. Prev. Rest. Inst. Kyoto Univ. 2006, 49B, 93–103. [Google Scholar]
- Kite, G.W. Frequency and Risk Analysis in Hydrology; Fourth Printing; Water Resources Publications: Fort Collins, CO, USA, 1988; pp. 4–26. [Google Scholar]
- Stedinger, J.R.; Vogel, R.M.; Foufoula-Georgiou, E. Frequency Analysis of Extreme Events. In Handbook of Hydrology; Maidment, D.R., Ed.; McGraw-Hill: New York, NY, USA, 1993; pp. 37–42. [Google Scholar]
- Meylan, P.; Favre, A.C.; Musy, A. Hydrologie Fréquentielle—Une Science Predictive; Presses Polytechniques et Universitaires Romandes, EPFL: Lausanne, Switzerland, 2008; pp. 119–131. [Google Scholar]
- Ben-Zvi, A. Rainfall intensity–duration–frequency relationships derived from large partial duration series. J. Hydrol. 2009, 367, 104–114. [Google Scholar] [CrossRef]
- Chow, V.T. Handbook of Applied Hydrology; McGraw-Hill: New York, NY, USA, 1964; pp. 51–56. [Google Scholar]
- Yevjevich, V. Probability and Statistics in Hydrology; Water Resources Publications: Littleton, CO, USA, 1972; pp. 68–82. [Google Scholar]
- Cunnane, C. A particular comparison of annual maxima and partial duration series methods of flood frequency prediction. J. Hydrol. 1973, 18, 257–271. [Google Scholar] [CrossRef]
- Cunnane, C. Unbiased and biased estimators of the distribution of maximum daily precipitation. Water Resour. Res. 1978, 14, 799–804. [Google Scholar]
- Cunnane, C. One-dimensional and multi-dimensional frequency analysis of floods. Hydrol. Sci. J. 1989, 34, 541–557. [Google Scholar]
- Cunnane, C. Statistical Distributions for Flood Frequency Analysis; Secretariat of the World Meteorological Organization: Geneva, Switzerland, 1989; pp. 1–61. Available online: https://library.wmo.int/viewer/33760/download?file=wmo_718.pdf&type=pdf&navigator=1 (accessed on 25 September 2025).
- Koutsoyiannis, D. Statistics of extremes and estimation of extreme rainfall: I. Theoretical investigation. Hydrol. Sci.—J. Des Sci. Hydrol. 2004, 49, 575–590. [Google Scholar]
- Drobot, R.; Draghia, A.F.; Ciuiu, D.; Trandafir, R. Design Floods Considering the Epistemic Uncertainty (Appendix A). Water 2021, 13, 1601. [Google Scholar] [CrossRef]
- Madsen, H.; Rasmussen, P.F.; Rosbjerg, D. Comparison of annual maximum series and partial duration series methods for modeling extreme hydrologic events. 1. At-site modeling. Water Resour. Res. 1997, 33, 747–757. [Google Scholar] [CrossRef]
- Madsen, H.; Pearson, C.P.; Rosbjerg, D. Comparison of annual maximum series and partial duration series methods for modeling extreme hydrologic events. 2. Regional modeling. Water Resour. Res. 1997, 33, 759–769. [Google Scholar] [CrossRef]
- Martins, E.S.; Stedinger, J.R. Historical information in a generalized maximum likelihood framework with partial duration and annual maximum series. Water Resour. Res. 2001, 37, 2559–2567. [Google Scholar] [CrossRef]
- Reis, D.S., Jr.; Stedinger, J.R. Bayesian MCMC flood frequency analysis with historical information. J. Hydrol. 2005, 313, 97–116. [Google Scholar] [CrossRef]
- England, J.F., Jr.; Cohn, T.; Faber, B.; Stedinger, J.R.; Thomas, W.O., Jr.; Veilleux, A.G.; Kiang, J.E.; Mason, R.R., Jr. Guidelines for Determining Flood Flow Frequency Bulletin 17 C. Chapter 5 of Section B, Surface Water. In Book 4, Hydrologic Analysis and Interpretation; Techniques and Methods 4–B5, Version 1.1; U.S. Geological Survey: Reston, VI, USA, 2019; pp. 5–18. [Google Scholar]
- Madsen, H.; Mikkelsen, P.S.; Rosbjerg, D.; Harremoës, P. Regional estimation of rainfall intensity-duration-frequency curves using generalized least squares regression of partial duration series statistics. Water Resour. Res. 2002, 38, 21.1–21.11. [Google Scholar] [CrossRef]
- Koutsoyiannis, D. Statistics of extremes and estimation of extreme rainfall: II. Empirical investigation of long rainfall records. Hydrol. Sci.—J. Des Sci. Hydrol. 2004, 49, 591–610. [Google Scholar]
- Koutsoyiannis, D. On the appropriateness of the Gumbel distribution in modelling extreme rainfall. In Proceedings of the ESF LESC Exploratory Workshop, Bologna, Italy, 24–25 October 2003. [Google Scholar]
- Chang, K.B.; Lai, S.H.; Faridah, O. RainIDF: Automated derivation of rainfall intensity–duration–frequency relationship from annual maxima and partial duration series. J. Hydroinform. 2013, 15, 1224–1233. [Google Scholar] [CrossRef][Green Version]
- Goyal, M.K.; Gupta, V. Identification of Homogeneous Rainfall Regimes in Northeast Region of India using Fuzzy Cluster Analysis. Water Resour. Manag. 2014, 28, 4491–4511. [Google Scholar] [CrossRef]
- Kim, S.; Sung, K.; Shin, J.-Y.; Heo, J.-H. At-Site Versus Regional Frequency Analysis of Sub-Hourly Rainfall for Urban Hydrology Applications During Recent Extreme Events. Water 2025, 17, 2213. [Google Scholar] [CrossRef]
- Deidda, R.; Hellies, M.; Langousis, A. A critical analysis of the shortcomings in spatial frequency analysis of rainfall extremes based on homogeneous regions and a comparison with a hierarchical boundaryless approach. Stoch. Environ. Res. Risk Assess. 2021, 35, 2605–2628. [Google Scholar] [CrossRef]
- Minguez, R.; Herrera, S. Spatial extreme model for rainfall depth: Application to the estimation of IDF curves in the Basque country. Stoch. Environ. Res. Risk Assess. 2023, 37, 3117–3148. [Google Scholar] [CrossRef]
- Nhat, L.M.; Tachikawa, Y.; Sayama, T.; Takara, K. Derivation of Rainfall Intensity-Duration-Frequency Relationships for Short-Duration Rainfall from Daily Data. In Proceedings of the International Symposium of Managing Water Supply for Growing Demand, Bangkok, Thailand, 16–20 October 2006; IHP Technical Document in Hydrology. No. 6. pp. 89–96. [Google Scholar]
- EN 752:2017/pr.A1; Drain and Sewer Systems Outside Buildings—Sewer System Management. European Standard; CEN-CENELEC Management Centre: Brussels, Belgium, 2017.
- Schmitt, T.G.; Schilling, W.; Sasgrov, S.; Nieschulz, K.P. Flood risk management for urban drainage systems by simulation and optimization. In Proceedings of the 9th International Conference on Urban Drainage, Portland, OR, USA, 8–13 September 2002. [Google Scholar]
- Schmitt, T.G.; Thomas, M.; Ettrich, N. Analysis and modeling of flooding in urban drainage systems. J. Hydrol. 2004, 299, 300–311. [Google Scholar] [CrossRef]
- Ministry of Development, Public Works and Administration. NP 133-2022 Regulation on the Design, Execution and Operation of Water Supply and Sewerage Systems of Localities, Volume II, Sewerage Systems; Ministry of Development, Public Works and Administration: Bucharest, Romania, 2022. (In Romanian) [Google Scholar]
- Available online: https://en.wikipedia.org/wiki/Romania (accessed on 28 September 2025).
- Stănescu, V.A.; Drobot, R. Non-Structural Measures for Flood Management; HGA: Bucharest, Romania, 2002; pp. 80–86. (In Romanian) [Google Scholar]
- STAS 9470-73; Maximum Rainfall. Intensity-Duration-Frequency. Romanian Institute of Standardization: Bucharest, Romania, 1973. (In Romanian)
- Yang, S.; Wang, X.; Guo, J.; Chang, X.; Liu, Z.; Zhang, J.; Ju, S. Trend Analysis of Extreme Precipitation and Its Compound Events with Extreme Temperature Across China. Water 2025, 17, 2713. [Google Scholar] [CrossRef]
- Koutsoyiannis, D.; Baloutsos, G. Analysis of a long record of annual maximum rainfall in Athens, Greece, and design rainfall inferences. Nat. Hazards 2000, 22, 29–48. [Google Scholar] [CrossRef]
- Kuo, Y.-M.; Chu, H.-J.; Pan, T.-Y.; Yu, H.-L. Investigating common trends of annual maximum rainfall during heavy rainfall events in southern Taiwan. J. Hydrol. 2011, 409, 749–758. [Google Scholar] [CrossRef]
- Rugină, A.M. Alternative Hydraulic Modeling Method Based on Recurrent Neural Networks: From HEC-RAS to AI. Hydrology 2025, 12, 207. [Google Scholar] [CrossRef]
- Van de Vyver, H. Bayesian estimation of rainfall intensity–duration–frequency relationships. J. Hydrol. 2015, 529, 1451–1463. [Google Scholar] [CrossRef]
- Everitt, B.S.; Landau, S.; Leese, M.; Stahl, D. Cluster Analysis, 5th ed.; Wiley: Chichester, UK, 2011; pp. 1–330. [Google Scholar]
- Jain, A.K. Data Clustering—50 Years Beyond K-Means. Pattern Recognit. Lett. 2010, 31, 651–666. [Google Scholar] [CrossRef]
- Legendre, P.; Legendre, L. Numerical Ecology, 3rd ed.; Elsevier: Amsterdam, The Netherlands, 2012; Volume 24, pp. 1–1006. [Google Scholar]
- Ester, M.; Kriegel, H.P.; Sander, J.; Xu, X.A. Density-Based Algorithm for Discovering Clusters in Large Spatial Databases with Noise. In Proceedings of the Second International Conference on Knowledge Discovery and Data Mining (KDD-96), Portland, OR, USA, 2–4 August 1996; AAAI Press: Menlo Park, CA, USA; pp. 226–231. [Google Scholar]
- Daszykowski, M.; Walczak, B. Clustering of Multivariate Data—A Survey. Chemom. Intell. Lab. Syst. 2009, 96, 29–38. [Google Scholar]
- Charrad, M.; Ghazzali, N.; Boiteau, V.; Niknafs, A. NbClust—An R Package for Determining the Relevant Number of Clusters in a Data Set. J. Stat. Softw. 2014, 61, 1–36. [Google Scholar] [CrossRef]
- Hennig, C.; Meila, M.; Murtagh, F.; Rocci, R. (Eds.) Handbook of Cluster Analysis; CRC Press: Boca Raton, FL, USA, 2016; pp. 1–754. [Google Scholar]
- Saxena, A.; Mittal, M.; Goyal, L.M. Comparative Analysis of Clustering Methods. Int. J. Comput. Appl. 2015, 118, 30–35. [Google Scholar] [CrossRef]
- Fletcher, T.D.; Andrieu, H.; Hamel, P. Understanding, management and modelling of urban hydrology and its consequences for receiving waters: A state of the art. Adv. Water Resour. 2013, 51, 261–279. [Google Scholar] [CrossRef]
- Bell, F.C. Generalized rainfall-duration-frequency relationships. J. Hydraul. Div. Am. Soc. Civ. Eng. 1969, 95, 311–327. [Google Scholar] [CrossRef]
- Lakatos, M.; Szentes, O.; Cindric Kalin, K.; Nimac, I.; Kozjek, K.; Cheval, S.; Dumitrescu, A.; Irașoc, A.; Stepanek, P.; Farda, A.; et al. Analysis of Sub-Daily Precipitation for the PannEx Region. Atmosphere 2021, 12, 838. [Google Scholar] [CrossRef]
- Neyman, J. Outline of a Theory of Statistical Estimation Based on the Classical Theory of Probability. Philos. Trans. R. Soc. A Math. Phys. Eng. Sci. 1937, 236, 333–380. [Google Scholar] [CrossRef]
- STAS 9470-2005; Maximum Rainfall. Intensity-Duration-Frequency. National Romanian Standardization Organism: Bucharest, Romania, 2025. (In Romanian)
- REGULATION of November 21, 1997 on the Classification of Building Importance (Annex No. 3). Available online: https://legislatie.just.ro/Public/DetaliiDocumentAfis/194015 (accessed on 20 December 2025). (in Romanian).
- Lakatos, M.; Izsák, B.; Szentes, O.; Hoffmann, L.; Kircsi, A.; Bihari, Z. Return values of 60-minute extreme rainfall for Hungary. Időjárás 2020, 124, 143–156. [Google Scholar] [CrossRef]
- Púčik, T.; Groenemeijer, P.; Rýva, D.; Kolář, M. Proximity soundings of severe and nonsevere thunderstorms in Central Europe. Mon. Weather. Rev. 2017, 143, 4805–4821. [Google Scholar] [CrossRef]
- Prein, A.F.; Langhans, W.; Fosser, G.; Ferrone, A.; Ban, N.; Goergen, K.; Keller, M.; Tölle, M.; Gutjahr, O.; Feser, F.; et al. A review on regional convection-permitting climate modeling: Demonstrations, prospects, and challenges. Rev. Geophys. 2016, 53, 323–361. [Google Scholar] [CrossRef] [PubMed]
- Bartholy, J.; Pongrácz, R.; Kis, A. Projected changes of extreme precipitation using a multi-model approach. Időjárás 2015, 119, 129–142. [Google Scholar]


























| Design Storm Frequency 1 (1 in “n” Years) | Location | Design Flooding Frequency (1 in “n” Years) |
|---|---|---|
| 1:1 | Rural areas | 1:10 |
| 1:2 | Residential areas | 1:20 |
| City centers, industrial/commercial areas | ||
| 1:2 | − with flooding check | 1:30 |
| 1:5 | −without flooding check | − |
| 1:10 | Underground railway/underpasses | 1:50 |
| Cluster 1 | Cluster 2 | Cluster 3 | Cluster 4 | Cluster 5 | Cluster 6 | Cluster 7 |
|---|---|---|---|---|---|---|
| −0.715 | −0.851 | −0.987 | NA | −1.312 | −1.479 | −1.238 |
| NSE | Distance (km) | ||
|---|---|---|---|
| Arad | Turnu Măgurele 1 | 0.998964 | 387.3 |
| Lugoj | 0.997717 | 69.62 | |
| Timișoara | 0.997184 | 49.48 | |
| Fetești 1 | 0.996895 | 546.98 | |
| Bârlad 1 | 0.996293 | 488.40 | |
| Călărași 1 | 0.996179 | 517.82 | |
| Bârlad | Timișoara 1 | 0.997894 | 501.07 |
| Deva 1 | 0.99780 | 368.00 | |
| Fetești 1 | 0.997723 | 206.34 | |
| Lugoj 1 | 0.996971 | 450.42 | |
| Roman | 0.996583 | 93.51 | |
| Sibiu 1 | 0.996486 | 273.08 | |
| Blaj | Reșița | 0.996858 | 184.99 |
| Cernavoda 1 | 0.996398 | 382.33 | |
| Roman 1 | 0.996066 | 245.34 | |
| Moldova Veche | 0.995229 | 238.97 | |
| Călărași | 0.995084 | 346.32 | |
| Lugoj | Turnu Măgurele 1 | 0.998139 | 319.84 |
| Timișoara | 0.998116 | 51.61 | |
| Vaslui 1 | 0.993912 | 371,58 | |
| Târgu Mureș | 0.993226 | 225.84 | |
| Piatra Neamț 1 | 0.992969 | 370.17 | |
| Sibiu | 0.992005 | 176.41 |
| AFE (1 in “n” Years) | Mean (mm) | Std. Dev (mm) | (-) |
|---|---|---|---|
| 1:5 | 30.49 | 2.32 | 0.0761 |
| 1:10 | 36.02 | 2.93 | 0.0814 |
| 1:20 | 41.52 | 3.67 | 0.0883 |
| 1:50 | 48.53 | 4.56 | 0.0939 |
| 1:100 | 53.76 | 5.23 | 0.0973 |
| Coefficient | Zone I | Zone II | Zone III | Zone IV | Zone V | Zone VI | Zone VII | Zone VIII | Zone IX | Zone X |
|---|---|---|---|---|---|---|---|---|---|---|
| 21.182 | 16.975 | 16.239 | 16.350 | 14.865 | 16.368 | 18.144 | 16.017 | 24.502 | 19.942 | |
| 9.337 | 5.594 | 5.526 | 6.304 | 4.679 | 3.933 | 7.444 | 5.701 | 8.442 | 9.394 | |
| 0.944 | 0.878 | 0.854 | 0.843 | 0.817 | 0.829 | 0.8254 | 0.799 | 0.876 | 0.827 |
| Coefficient | Zone I | Zone II | Zone III | Zone IV | Zone V | Zone VI | Zone VII | Zone VIII | Zone IX | Zone X |
|---|---|---|---|---|---|---|---|---|---|---|
| 29.873 | 18.400 | 20.543 | 20.224 | 19.170 | 20.601 | 21.645 | 18.181 | 31.405 | 24.184 | |
| 10.228 | 5.298 | 5.906 | 6.371 | 4.950 | 3.918 | 7.431 | 5.494 | 8.824 | 9.468 | |
| 0.983 | 0.865 | 0.874 | 0.850 | 0.833 | 0.835 | 0.8258 | 0.786 | 0.888 | 0.821 |
| Coefficients | Zone I | Zone II | Zone III | Zone IV | Zone V | Zone VI | Zone VII | Zone VIII | Zone IX | Zone X |
|---|---|---|---|---|---|---|---|---|---|---|
| 39.095 | 19.837 | 24.824 | 23.947 | 23.368 | 24.683 | 24.999 | 20.325 | 38.174 | 28.306 | |
| 10.897 | 5.085 | 6.193 | 6.418 | 5.136 | 3.912 | 7.421 | 5.359 | 9.100 | 9.532 | |
| 1.012 | 0.855 | 0.888 | 0.854 | 0.844 | 0.840 | 0.8260 | 0.778 | 0.896 | 0.817 |
| Coefficient | Zone I | Zone II | Zone III | Zone IV | Zone V | Zone VI | Zone VII | Zone VIII | Zone IX | Zone X |
|---|---|---|---|---|---|---|---|---|---|---|
| 51.953 | 21.747 | 30.553 | 28.812 | 28.904 | 29.969 | 29.349 | 23.158 | 47.065 | 33.607 | |
| 11.555 | 4.872 | 6.491 | 6.470 | 5.320 | 3.906 | 7.418 | 5.240 | 9.368 | 9.584 | |
| 1.040 | 0.845 | 0.903 | 0.859 | 0.855 | 0.844 | 0.8263 | 0.771 | 0.905 | 0.814 |
| Coefficient | Zone I | Zone II | Zone III | Zone IV | Zone V | Zone VI | Zone VII | Zone VIII | Zone IX | Zone X |
|---|---|---|---|---|---|---|---|---|---|---|
| 62.371 | 23.198 | 34.910 | 32.444 | 33.112 | 33.938 | 32.605 | 25.289 | 53.766 | 37.645 | |
| 11.974 | 4.744 | 6.664 | 6.495 | 5.430 | 3.903 | 7.410 | 5.170 | 9.519 | 9.624 | |
| 1.058 | 0.839 | 0.912 | 0.862 | 0.862 | 0.847 | 0.8265 | 0.767 | 0.909 | 0.812 |
| No. | Building Importance Category 1 | Safety Coefficient |
|---|---|---|
| 1 | Exceptional | 1.20 |
| 2 | Special | 1.10 |
| 3 | Common | 1.05 |
| 4 | Reduced importance | 1.00 |
| Rainfall Duration (Minutes) | Bucharest | Buzău | Cluj-Napoca | Iași | Timișoara | Craiova | ||||||
|---|---|---|---|---|---|---|---|---|---|---|---|---|
| 1:05 | 1:10 | 1:05 | 1:10 | 1:05 | 1:10 | 1:05 | 1:10 | 1:05 | 1:10 | 1:05 | 1:10 | |
| 10 | 2.46% | 4.28% | 12.30% | 25.37% | 4.49% | 8.81% | 26.95% | 34.97% | 3.27% | −0.01% | 9.86% | 17.72% |
| 20 | 0.55% | −3.10% | 12.94% | 22.46% | 7.99% | 12.43% | 15.65% | 14.15% | 9.62% | 7.88% | 8.42% | 11.64% |
| 40 | 11.35% | 14.54% | 1.21% | 10.67% | 12.87% | 19.11% | 7.03% | −0.75% | 10.32% | 2.16% | 7.20% | 11.48% |
| 60 | 8.74% | 12.08% | 0.72% | 8.69% | 12.57% | 15.59% | 0.44% | −10.97% | 14.91% | 2.97% | 5.19% | 6.01% |
| 75 | 7.91% | 8.13% | 0.42% | 7.55% | 13.70% | 16.57% | −4.41% | −14.68% | 13.81% | 2.17% | 1.78% | 3.70% |
| 100 | 8.39% | 11.11% | 1.58% | 8.97% | 15.98% | 18.03% | −4.00% | −17.29% | 16.70% | 8.97% | 4.11% | 4.39% |
| 120 | 3.24% | 7.50% | −0.31% | 7.20% | 15.59% | 14.62% | −9.00% | −18.62% | 19.63% | 9.27% | −1.17% | −0.96% |
| 140 | 1.52% | 5.73% | −0.66% | 7.77% | 25.51% | 17.15% | −9.59% | −18.36% | 22.05% | 10.11% | 0.25% | −0.15% |
| 160 | 1.22% | 3.47% | 3.95% | 11.23% | 19.46% | 18.88% | −13.51% | −19.33% | 23.44% | 13.95% | −0.85% | 1.37% |
| 180 | 1.13% | 1.40% | 3.95% | 12.94% | 20.00% | 17.16% | −14.05% | −21.55% | 25.46% | 15.99% | 1.71% | −0.03% |
Disclaimer/Publisher’s Note: The statements, opinions and data contained in all publications are solely those of the individual author(s) and contributor(s) and not of MDPI and/or the editor(s). MDPI and/or the editor(s) disclaim responsibility for any injury to people or property resulting from any ideas, methods, instructions or products referred to in the content. |
© 2025 by the authors. Licensee MDPI, Basel, Switzerland. This article is an open access article distributed under the terms and conditions of the Creative Commons Attribution (CC BY) license.
Share and Cite
Sîrbu, N.; Racovițeanu, G.; Drobot, R. Regionalization of Updated Intensity-Duration-Frequency Curves for Romania and the Consequences of Climate Change on Sub-Daily Rainfall. Climate 2026, 14, 7. https://doi.org/10.3390/cli14010007
Sîrbu N, Racovițeanu G, Drobot R. Regionalization of Updated Intensity-Duration-Frequency Curves for Romania and the Consequences of Climate Change on Sub-Daily Rainfall. Climate. 2026; 14(1):7. https://doi.org/10.3390/cli14010007
Chicago/Turabian StyleSîrbu, Nicolai, Gabriel Racovițeanu, and Radu Drobot. 2026. "Regionalization of Updated Intensity-Duration-Frequency Curves for Romania and the Consequences of Climate Change on Sub-Daily Rainfall" Climate 14, no. 1: 7. https://doi.org/10.3390/cli14010007
APA StyleSîrbu, N., Racovițeanu, G., & Drobot, R. (2026). Regionalization of Updated Intensity-Duration-Frequency Curves for Romania and the Consequences of Climate Change on Sub-Daily Rainfall. Climate, 14(1), 7. https://doi.org/10.3390/cli14010007

