- Article
Development of Optical and Electrical Sensors for Non-Invasive Monitoring of Plant Water Status
- Nasreddine Makni,
- Riccardo Collu and
- Massimo Barbaro
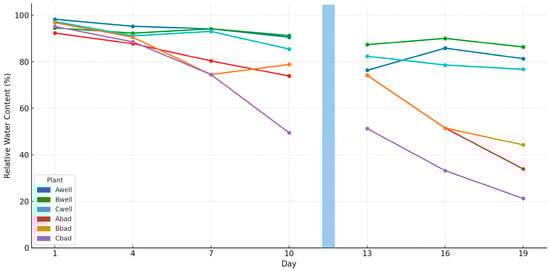
Monitoring plant water status is vital for optimizing irrigation in precision agriculture. This study explores the use of two simple, affordable, and non-invasive sensor systems, electrical impedance spectroscopy (EIS) and infrared (IR) spectroscopy,...

