Enabling Adaptive Food Monitoring Through Sampling Rate Adaptation for Efficient, Reliable Critical Event Detection
Abstract
1. Introduction
- Investigation of 11 different approaches, consisting of 33 implementations, to adapt the sensor sampling rate.
- Analysis of data reduction potential and capability to detect critical events.
- Determination of the approaches’ responsiveness to environmental changes.
- Estimation of adaptation efficiency using Shannon’s entropy and oscillation behavior.
2. Materials and Methods
2.1. Definition of Research Questions
- RQ1: How can adaptive monitoring be applied to adapt the sensor sampling rate?
- RQ2: What is the performance of the investigated approaches?
- –
- RQ2.1: To what extent do the approaches reduce the sampled data?
- –
- RQ2.2: How reliable are the approaches in monitoring critical events?
- –
- RQ2.3: How responsive are the approaches to signal changes?
- –
- RQ2.4: What is the adaptation efficiency of the approaches?
- RQ3: Is adaptive monitoring applicable in dynamic and unpredictable environments?
2.2. Dataset and Preprocessing
2.3. Simulations
| Algorithm 1 Simulation logic. |
Require: sensor instances, simulation start time t, simulation end time
|
2.4. Design of Approaches to Adapt the Sensor Sampling Rate
2.4.1. Analysis and Optimization Techniques
2.4.2. Implementation of Approaches
| Algorithm 2 General Adaptation Logic. |
Require: simulation time t, sensor’s current sampling rate f, sensor value v, buffer
|
3. Results
3.1. Reduction of Gathered Data (RQ2.1)
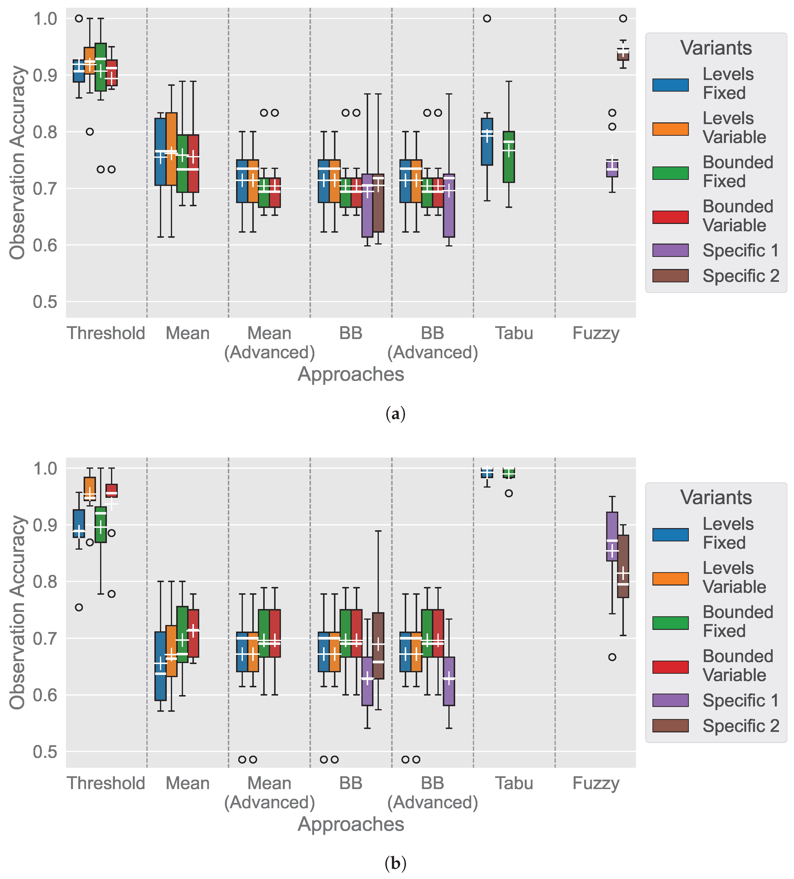
3.2. Observation Accuracy (RQ2.2)
3.3. Number of Adaptations (RQ2.3)
3.4. Adaptation Efficiency (RQ2.4)
4. Discussion
4.1. Architecture of Adaptation Approaches
- RQ1: How can adaptive monitoring be applied to adapt the sensor sampling rate?
4.2. Performance Analysis
- RQ2: What is the performance of the investigated approaches?
4.3. Applicability Discussion
- RQ3: Is adaptive monitoring applicable in dynamic and unpredictable environments?
4.4. Threats to Validity
5. Conclusions
Author Contributions
Funding
Institutional Review Board Statement
Informed Consent Statement
Data Availability Statement
Acknowledgments
Conflicts of Interest
Abbreviations
| IoT | Internet of Things |
| MLOC | Multi-Level Observer/Controller architecture |
| NaN | Not-a-Number value |
| OC | Organic Computing |
| RQ | research question |
| WSN | Wireless Sensor Network |
| degree of signal change | |
| r | reference value |
| f | sensor sampling rate |
| maximal sensor sampling rate | |
| t | simulation time |
| v | sensor measurement value |
| smoothing factor | |
| degree of signal change | |
| confidence level | |
| maximum iterations for tabu search | |
| k | scale factor |
| sensor’s internal buffer length | |
| tabu list length | |
| aspiration factor | |
| penalty for PELT prediction | |
| deviation factor | |
| absolute threshold | |
| threshold for matrix profiles | |
| tolerance |
| aspiration criterion | |
| C | reduction of gathered data |
| cost function | |
| dynamic change intervals | |
| Shannon’s Entropy | |
| Kalman gain | |
| I | interval |
| identity matrix | |
| n | data length of adaptive approach |
| non-adaptive data length | |
| number of oscillation phases | |
| segmentation | |
| error covariance matrix | |
| observation accuracy | |
| measurement noise covariance matrix | |
| set of change points | |
| X | system states |
| V | measurement matrix |
| Kalman innovation |
References
- United Nations Environment Programme. Food Waste Index Report 2024. Think Eat Save: Tracking Progress to Halve Global Food Waste. 2024. Available online: https://wedocs.unep.org/20.500.11822/45230 (accessed on 25 April 2025).
- Herzberg, R.; Schmidt, T.G.; Schneider, F. Characteristics and Determinants of Domestic Food Waste: A Representative Diary Study across Germany. Sustainability 2020, 12, 4702. [Google Scholar] [CrossRef]
- Müller, P.; Schmid, M. Intelligent Packaging in the Food Sector: A Brief Overview. Foods 2019, 8, 16. [Google Scholar] [CrossRef] [PubMed]
- Henrichs, E.; Krupitzer, C. Towards a Self-Adaptive, Real-Time Monitoring System for Food Quality Assessment. In Proceedings of the 2024 IEEE International Conference on Autonomic Computing and Self-Organizing Systems Companion (ACSOS-C), Aarhus, Denmark, 16–20 September 2024; pp. 178–179. [Google Scholar] [CrossRef]
- Henrichs, E.; Stoll, F.; Krupitzer, C. Towards Self-Adaptive Monitoring of Storage Environments with Distributed Sensor Systems. In Proceedings of the 2025 IEEE International Conference on Autonomic Computing and Self-Organizing Systems Companion (ACSOS-C), Tokyo, Japan, 29 September–3 October 2025; pp. 85–90. [Google Scholar]
- Trihinas, D.; Pallis, G.; Dikaiakos, M.D. AdaM: An adaptive monitoring framework for sampling and filtering on IoT devices. In Proceedings of the 2015 IEEE International Conference on Big Data (Big Data), Tokyo, Japan, 29 October–1 November 2015; pp. 717–726. [Google Scholar] [CrossRef]
- Albrecht, A.; Ibald, R.; Raab, V.; Reichstein, W.; Haarer, D.; Kreyenschmidt, J. Implementation of Time Temperature Indicators to Improve Temperature Monitoring and Support Dynamic Shelf Life in Meat Supply Chains. J. Packag. Technol. Res. 2020, 4, 23–32. [Google Scholar] [CrossRef] [PubMed]
- Zavala, E.; Franch, X.; Marco, J. Adaptive monitoring: A systematic mapping. Inf. Softw. Technol. 2019, 105, 161–189. [Google Scholar] [CrossRef]
- Moui, A.; Desprats, T.; Lavinal, E.; Sibilla, M. Information Models for Managing Monitoring Adaptation Enforcement. In Proceedings of the ADAPTIVE 2012: The Fourth International Conference on Adaptive and Self-Adaptive Systems and Applications, Nice, France, 22–27 July 2012; pp. 44–50. [Google Scholar]
- Alippi, C.; Anastasi, G.; Di Francesco, M.; Roveri, M. An Adaptive Sampling Algorithm for Effective Energy Management in Wireless Sensor Networks with Energy-Hungry Sensors. IEEE Trans. Instrum. Meas. 2010, 59, 335–344. [Google Scholar] [CrossRef]
- Bhuiyan, M.Z.A.; Wu, J.; Wang, G.; Wang, T.; Hassan, M.M. E-Sampling: Event-Sensitive Autonomous Adaptive Sensing and Low-Cost Monitoring in Networked Sensing Systems. ACM Trans. Auton. Adapt. Syst. 2017, 12, 1–29. [Google Scholar] [CrossRef]
- Pal, A.; Kant, K. On the Feasibility of Distributed Sampling Rate Adaptation in Heterogeneous and Collaborative Wireless Sensor Networks. In Proceedings of the 2016 25th International Conference on Computer Communication and Networks (ICCCN), Waikoloa, HI, USA, 1–4 August 2016; pp. 1–9. [Google Scholar] [CrossRef]
- Habib, C.; Makhoul, A.; Darazi, R.; Couturier, R. Real-time Sampling Rate Adaptation based on Continuous Risk Level Evaluation in Wireless Body Sensor Networks. In Proceedings of the 2017 IEEE 13th International Conference on Wireless and Mobile Computing, Networking and Communications (WiMob), Rome, Italy, 9–11 October 2017; pp. 1–8. [Google Scholar] [CrossRef]
- Qi, X.; Keally, M.; Zhou, G.; Li, Y.; Ren, Z. AdaSense: Adapting sampling rates for activity recognition in Body Sensor Networks. In Proceedings of the 2013 IEEE 19th Real-Time and Embedded Technology and Applications Symposium (RTAS), Philadelphia, PA, USA, 9–11 April 2013; pp. 163–172. [Google Scholar] [CrossRef]
- Islam, M.N.A.; Cleland-Huang, J.; Vierhauser, M. ADAM: Adaptive Monitoring of Runtime Anomalies in Small Uncrewed Aerial Systems. In Proceedings of the 19th International Symposium on Software Engineering for Adaptive and Self-Managing Systems (SEAMS), Lisbon, Portugal, 15–16 April 2024; pp. 44–55. [Google Scholar] [CrossRef]
- Stadler, M.; Vierhauser, M.; Cleland-Huang, J. Towards flexible runtime monitoring support for ROS-based applications. In Proceedings of the 4th International Workshop on Robotics Software Engineering (RoSE), Pittsburgh, PA, USA, 9 May 2022; pp. 43–46. [Google Scholar] [CrossRef]
- Vierhauser, M.; Wohlrab, R.; Stadler, M.; Cleland-Huang, J. AMon: A domain-specific language and framework for adaptive monitoring of Cyber—Physical Systems. J. Syst. Softw. 2023, 195, 111507. [Google Scholar] [CrossRef]
- Kulau, U.; van Balen, J.; Schildt, S.; Büsching, F.; Wolf, L. Dynamic sample rate adaptation for long-term IoT sensing applications. In Proceedings of the 2016 IEEE 3rd World Forum on Internet of Things (WF-IoT), Reston, VA, USA, 12–14 December 2016; pp. 271–276. [Google Scholar] [CrossRef]
- Wang, X.; Jabbari, A.; Jedermann, R.; Laur, R.; Lang, W. Adaptive Data Sensing Rate in Ad-hoc Sensor Networks for Autonomous Transport Application. In Proceedings of the 2010 13th International Conference on Information Fusion, Edinburgh, UK, 26–29 July 2010; pp. 1–8. [Google Scholar] [CrossRef]
- Law, S.M. STUMPY: A Powerful and Scalable Python Library for Time Series Data Mining. J. Open Source Softw. 2019, 4, 1504. [Google Scholar] [CrossRef]
- Truong, C.; Oudre, L.; Vayatis, N. Selective review of offline change point detection methods. Signal Process. 2020, 167, 107299. [Google Scholar] [CrossRef]
- Jain, A.; Chang, E.Y. Adaptive Sampling for Sensor Networks. In Proceedings of the 1st International Workshop on Data Management for Sensor Networks: In Conjunction with VLDB 2004, Toronto, ON, Canada, 30 August 2004; pp. 10–16. [Google Scholar] [CrossRef]
- Henrichs, E.; Lesch, V.; Straesser, M.; Kounev, S.; Krupitzer, C. A literature review on optimization techniques for adaptation planning in adaptive systems: State of the art and research directions. Inf. Softw. Technol. 2022, 149, 106940. [Google Scholar] [CrossRef]
- Ennigrou, M.; Ghédira, K. New local diversification techniques for flexible job shop scheduling problem with a multi-agent approach. Auton. Agents Multi-Agent Syst. 2008, 17, 270–287. [Google Scholar] [CrossRef]
- Hernandez, E.A.; Chidester, M.C.; George, A.D. Adaptive Sampling for Network Management. J. Netw. Syst. Manag. 2001, 9, 409–434. [Google Scholar] [CrossRef]
- Angarita-Zapata, J.S.; Alonso-Vicario, A.; Masegosa, A.D.; Legarda, J. A Taxonomy of Food Supply Chain Problems from a Computational Intelligence Perspective. Sensors 2021, 21, 6910. [Google Scholar] [CrossRef]
- Lee, G.J.; Fortes, J.A.B. Improving Data-Analytics Performance via Autonomic Control of Concurrency and Resource Units. ACM Trans. Auton. Adapt. Syst. 2019, 13, 1–25. [Google Scholar] [CrossRef]
- Chuang, S.N.; Chan, A.T. Dynamic QoS Adaptation for Mobile Middleware. IEEE Trans. Softw. Eng. 2008, 34, 738–752. [Google Scholar] [CrossRef]
- Padhy, P.; Dash, R.K.; Martinez, K.; Jennings, N.R. A utility-based sensing and communication model for a glacial sensor network. In Proceedings of the Fifth International Joint Conference on Autonomous Agents and Multiagent Systems, Hakodate, Japan, 8–12 May 2006; pp. 1353–1360. [Google Scholar] [CrossRef]
- Lange, J.; Schweizer, P.; Henrichs, E.; Kaendler, L.; Tomforde, S.; Krupitzer, C. A Measurement Framework at Global and Local Levels for Hybrid Organic Computing Systems. In Proceedings of the Architecture of Computing Systems, Kiel, Germany, 22–24 April 2025; Tomforde, S., Krupitzer, C., Vialle, S., Suarez, E., Pionteck, T., Eds.; Springer: Cham, Switzerland, 2025; pp. 283–297. [Google Scholar]
- Zhang, Y.; He, S.; Chen, J.; Sun, Y.; Shen, X.S. Distributed Sampling Rate Control for Rechargeable Sensor Nodes with Limited Battery Capacity. IEEE Trans. Wirel. Commun. 2013, 12, 3096–3106. [Google Scholar] [CrossRef]
- Bandyopadhyay, S.; Tian, Q.; Coyle, E. Spatio-temporal sampling rates and energy efficiency in wireless sensor networks. IEEE/ACM Trans. Netw. 2005, 13, 1339–1352. [Google Scholar] [CrossRef]
- Krupitzer, C.; Stein, A. Unleashing the Potential of Digitalization in the Agri-Food Chain for Integrated Food Systems. Annu. Rev. Food Sci. Technol. 2024, 15, 307–328. [Google Scholar] [CrossRef]
- Wolpert, D.; Macready, W. No free lunch theorems for optimization. IEEE Trans. Evol. Comput. 1997, 1, 67–82. [Google Scholar] [CrossRef]
- Schweizer, P. A System Model for Flexible Multi-Objective Adaptation Planning in Hybrid Self-Adaptive and Self-Organizing Systems. In Proceedings of the Architecture of Computing Systems, Kiel, Germany, 22–24 April 2025; Tomforde, S., Krupitzer, C., Vialle, S., Suarez, E., Pionteck, T., Eds.; Springer: Cham, Switzerland, 2025; pp. 357–366. [Google Scholar]
- Fan, L.; Xiong, L. Real-Time Aggregate Monitoring with Differential Privacy. In Proceedings of the 21st ACM International Conference on Information and Knowledge Management, Maui, HI, USA, 29 October–2 November 2012; pp. 2169–2173. [Google Scholar] [CrossRef]
- Ezeora, O.S.; Heckenbergerova, J.; Musilek, P. A new adaptive sampling method for energy-efficient measurement of environmental parameters. In Proceedings of the 2016 IEEE 16th International Conference on Environment and Electrical Engineering (EEEIC), Florence, Italy, 7–10 June 2016; pp. 1–6. [Google Scholar] [CrossRef]
- Kho, J.; Rogers, A.; Jennings, N.R. Decentralized Control of Adaptive Sampling in Wireless Sensor Networks. ACM Trans. Sens. Netw. 2009, 5, 1–35. [Google Scholar] [CrossRef]
- Jox, D.; Borsum, C.; Hummel, D.; Hinrichs, J.; Krupitzer, C. Enhancing dairy processing with machine learning and domain knowledge: A combined analysis of offline and time series data. J. Food Eng. 2025, 391, 112423. [Google Scholar] [CrossRef]










| Sensors | 1 | 2 | 3 | 4 | 5 | 6 | 7 | 8 | 9 | ||
|---|---|---|---|---|---|---|---|---|---|---|---|
| Metadata | Length w/o NaN | 155,869 | 156,835 | 84,444 | 151,168 | 31,101 | 156,835 | 156,835 | 156,835 | 32,700 | |
| NaN Start | 09.09.24 07:04:15 | – | 02.09.24 09:35:25 | 11.09.24 03:32:45 | 02.09.24 09:35:25 | – | – | – | 02.09.24 09:35:25 | ||
| NaN End | 09.09.24 08:24:40 | – | 06.09.24 14:07:55 | 11.09.24 11:24:55 | 09.09.24 16:13:10 | – | – | – | 09.09.24 13:59:55 | ||
| Temperature [°C] | Values | min | 5.3 | 5.8 | 4.8 | 5.6 | 6.9 | 5.1 | 6.0 | 9.0 | 5.4 |
| max | 42.2 | 38.7 | 12.3 | 21.9 | 13.3 | 22.1 | 22.8 | 22.3 | 12.7 | ||
| mean | 11.3 | 11.9 | 6.5 | 8.4 | 8.2 | 7.8 | 8.5 | 11.7 | 7.3 | ||
| median | 9.4 | 9.3 | 6.0 | 7.4 | 7.7 | 6.7 | 7.5 | 10.8 | 6.6 | ||
| Peaks Height | mean | 6.5 | 10.4 | 2.9 | 2.2 | 1.4 | 2.7 | 2.7 | 2.7 | 2.4 | |
| median | 2.8 | 14.1 | 2.1 | 1.5 | 0.9 | 2.2 | 2.1 | 2.0 | 1.9 | ||
| Matrix Profiles | mean | 3.2 | 2.4 | 1.9 | 2.9 | 3.2 | 2.9 | 3.0 | 3.1 | 2.1 | |
| median | 3.0 | 2.0 | 1.6 | 2.9 | 3.2 | 2.8 | 2.8 | 3.0 | 1.8 | ||
| Humidity [%] | Values | min | 26.1 | 28.0 | 67.0 | 53.9 | 52.4 | 53.7 | 53.5 | 41.2 | 55.6 |
| max | 99.9 | 99.9 | 99.9 | 99.9 | 91.9 | 99.9 | 99.9 | 89.4 | 99.9 | ||
| mean | 75.2 | 74.4 | 87.3 | 79.1 | 70.3 | 79.6 | 80.1 | 63.8 | 78.2 | ||
| median | 77.0 | 76.0 | 87.8 | 78.9 | 70.3 | 79.2 | 83.5 | 63.4 | 78.4 | ||
| Peaks Height | mean | 32.9 | 39.1 | 26.2 | 27.5 | 29.4 | 32.2 | 32.2 | 33.1 | 32.7 | |
| median | 28.9 | 32.9 | 25.7 | 26.7 | 28.1 | 27.6 | 29.1 | 31.8 | 30.7 | ||
| Matrix Profiles | mean | 1.1 | 1.2 | 0.5 | 0.5 | 0.5 | 0.5 | 0.4 | 0.5 | 0.5 | |
| median | 0.4 | 0.5 | 0.3 | 0.3 | 0.4 | 0.3 | 0.3 | 0.3 | 0.3 |
| Approaches | Variants | Parameters | Ref. |
|---|---|---|---|
| Simple Thresholds | Levels fixed, Levels variable, Bounded fixed, Bounded variable | , | |
| Mean | Levels fixed, Levels variable, Bounded fixed, Bounded variable | , , , | |
| Mean (Advanced) | Levels fixed, Levels variable, Bounded fixed, Bounded variable | , , , | |
| Bollinger Bands | Levels fixed, Levels variable, Bounded fixed, Bounded variable, Bounded Band, Bounded Distance | , , | [18] |
| Bollinger Bands (Advanced) | Levels fixed, Levels variable, Bounded fixed, Bounded variable, Bounded Band | , , | [18] |
| Matrix Profiles | Levels fixed, Bounded fixed | , | |
| PELT | Levels fixed, Bounded fixed | ||
| Tabu Search | Levels fixed, Bounded fixed | , , , k | [23] |
| Fuzzy Logic | Levels, Bounded | [25] | |
| Confidence Intervals | Bounded | , , | [29] |
| Kalman Filter | Bounded | , , | [22] |
| Approach | Strengths | Weaknesses |
|---|---|---|
| Simple Thresholds | High observation accuracy | Low stability |
| Mean | High reduction and efficiency | Low observation accuracy |
| Mean (Advanced) | High stability | Low observation accuracy |
| Bollinger Bands | High reduction and high stability | Low observation accuracy |
| Bollinger Bands (Advanced) | High stability | Low observation accuracy |
| Tabu Search | High observation accuracy for noisy data | Low reduction for noisy data and medium to low stability |
| Fuzzy Logic | High observation accuracy | Low stability and efficiency |
Disclaimer/Publisher’s Note: The statements, opinions and data contained in all publications are solely those of the individual author(s) and contributor(s) and not of MDPI and/or the editor(s). MDPI and/or the editor(s) disclaim responsibility for any injury to people or property resulting from any ideas, methods, instructions or products referred to in the content. |
© 2025 by the authors. Licensee MDPI, Basel, Switzerland. This article is an open access article distributed under the terms and conditions of the Creative Commons Attribution (CC BY) license (https://creativecommons.org/licenses/by/4.0/).
Share and Cite
Henrichs, E.; Jox, D.; Schweizer, P.; Krupitzer, C. Enabling Adaptive Food Monitoring Through Sampling Rate Adaptation for Efficient, Reliable Critical Event Detection. J. Sens. Actuator Netw. 2025, 14, 102. https://doi.org/10.3390/jsan14050102
Henrichs E, Jox D, Schweizer P, Krupitzer C. Enabling Adaptive Food Monitoring Through Sampling Rate Adaptation for Efficient, Reliable Critical Event Detection. Journal of Sensor and Actuator Networks. 2025; 14(5):102. https://doi.org/10.3390/jsan14050102
Chicago/Turabian StyleHenrichs, Elia, Dana Jox, Pia Schweizer, and Christian Krupitzer. 2025. "Enabling Adaptive Food Monitoring Through Sampling Rate Adaptation for Efficient, Reliable Critical Event Detection" Journal of Sensor and Actuator Networks 14, no. 5: 102. https://doi.org/10.3390/jsan14050102
APA StyleHenrichs, E., Jox, D., Schweizer, P., & Krupitzer, C. (2025). Enabling Adaptive Food Monitoring Through Sampling Rate Adaptation for Efficient, Reliable Critical Event Detection. Journal of Sensor and Actuator Networks, 14(5), 102. https://doi.org/10.3390/jsan14050102

