Analysis of Cultivar-Specific Variability in Size-Related Leaf Traits and Modeling of Single Leaf Area in Three Medicinal and Aromatic Plants: Ocimum basilicum L., Mentha Spp., and Salvia Spp.
Abstract
1. Introduction
2. Results
2.1. Phenotypic Traits
2.2. Principal Component Analysis
2.3. Model Calibration
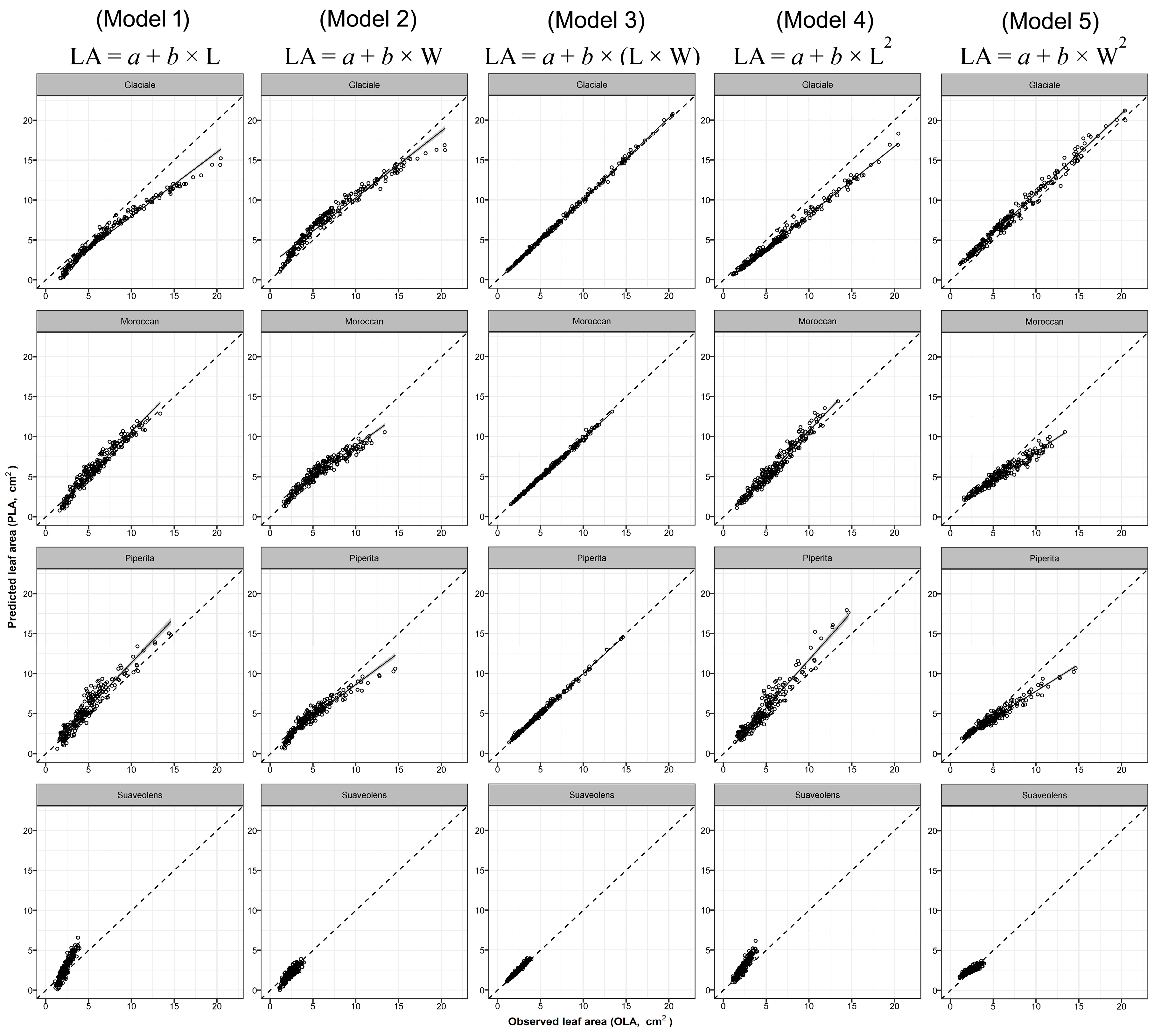
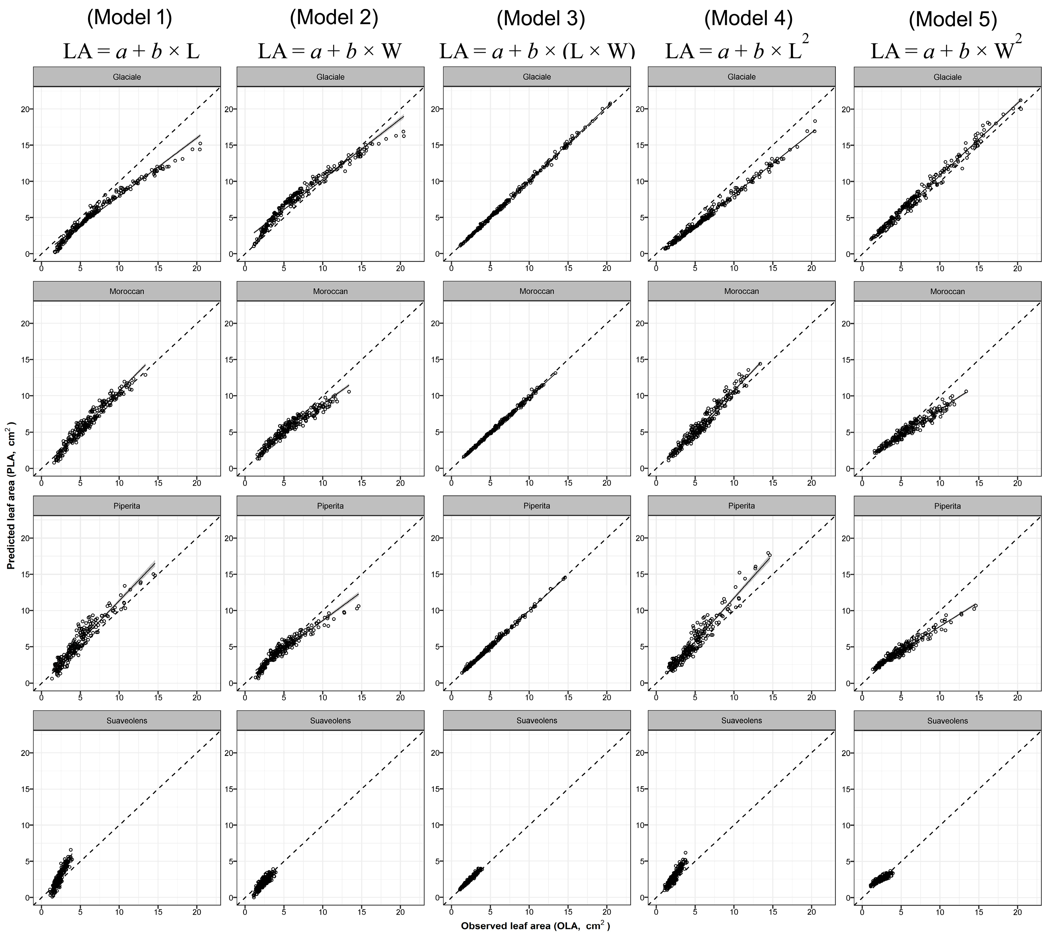
2.4. Model Validation
3. Discussion
4. Materials and Methods
4.1. Growth Conditions, Plant Material, and Data Collection
4.2. Statistical Analysis
4.2.1. Principal Component Analysis
4.2.2. Model Calibration
4.2.3. Model Validation
- Cultivar ‘Lettuce Leaf’ (n = 487) for basil;
- Cultivar ‘Comune’ (n = 441) for mint;
- Cultivar ‘Comune’ (n = 418) for sage.
5. Conclusions
Supplementary Materials
Author Contributions
Funding
Conflicts of Interest
References
- Sharma, D.K. Horticultural, Medicinal and Aromatic Plants; Book Enclave: Jaipur, India, 2008. [Google Scholar]
- Osei, M.K.; Asante, M.D.; Agyeman, A.; Adebayo, M.A.; Adu-Dapaah, H. Plant breeding: A tool for achieving food sufficiency. In Sustainable Horticultural Systems; Nandwani, D., Ed.; Springer International Publishing: Cham, Switzerland, 2014; Volume 2, pp. 253–274. [Google Scholar] [CrossRef]
- Acharya, S.K.; Pradhan, K.; Choudhuri, P.; Sharangi, A.B. Introduction. In Value Addition of Horticultural Crops: Recent Trends and Future Directions; Sharangi, A.B., Datta, S., Eds.; Springer: New Delhi, India; Heidelberg, Germany; York, UK; Dordrecht, The Netherlands; London, UK, 2015. [Google Scholar]
- Bird, C. The Fundamentals of Horticulture; Cambridge University Press: Cambridge, UK, 2014; ISBN 13 978-0521707398. [Google Scholar] [CrossRef]
- Srinivasa Rao, N.K.; Laxman, R.H.; Shivashankara, K.S. Physiological and morphological responses of horticultural crops to abiotic stresses. In Abiotic Stress Physiology of Horticultural Crops; Srinivasa, N.K., Shivashankara, K.S., Laxman, R.H., Eds.; Springer India: New Delhi, India, 2016; pp. 3–17. [Google Scholar] [CrossRef]
- Brown, L.V. Applied Principles of Horticultural Science, 2nd ed.; Butterworth-Heinemann, Elsevier Science: Oxford, UK, 2002. [Google Scholar] [CrossRef]
- Weraduwage, S.M.; Campos, M.L.; Yoshida, Y.; Major, I.T.; Kim, Y.S.; Kim, S.J.; Renna, L.; Anozie, F.C.; Brandizzi, F.; Thomashow, M.F.; et al. Molecular mechanisms affecting cell wall properties and leaf architecture. In The Leaf: A Platform for Performing Photosynthesis; Adams, W.W., Terashima, I., Eds.; Springer International Publishing: Berlin, Germany, 2018; Volume 44, pp. 209–253. [Google Scholar] [CrossRef]
- Makanza, R.; Allah, M.Z.; Cairns, J.; Magorokosho, C.; Tarekegne, A.; Olsen, M.; Prasanna, B.M. High throughput phenotyping of canopy cover and senescence in maize field trials using aerial digital canopy imaging. Remote Sens. 2018, 10, 330. [Google Scholar] [CrossRef]
- Gao, M.; Heijden, G.W.A.M.; Vos, J.; Eveleens, B.; Marcelis, L. Estimation of leaf area for large scale phenotyping and modeling of rose genotypes. Sci. Hortic. 2012, 138, 227–234. [Google Scholar] [CrossRef]
- Ma, X.; Zhu, K.; Guan, H.; Feng, J.; Yu, S.; Liu, G. High-throughput phenotyping analysis of potted soybean plants using colorized depth images based on a proximal platform. Remote Sens. 2019, 11, 1085. [Google Scholar] [CrossRef]
- Coppens, F.; Wuyts, N.; Inzé, D.; Dhondt, S. Unlocking the potential of plant phenotyping data through integration and data-driven approaches. Curr. Opin. Syst. Biol. 2017, 4, 58–63. [Google Scholar] [CrossRef]
- Tardieu, F.; Cabrera-Bosquet, L.; Pridmore, T.; Bennett, M. Plant phenomics, from sensors to knowledge. Curr. Biol. 2017, 27, R770–R783. [Google Scholar] [CrossRef] [PubMed]
- Scharr, H.; Minervini, M.; French, A.P.; Klukas, C.; Kramer, D.M.; Liu, X.; Luengo, I.; Pape, J.-M.; Polder, G.; Vukadinovic, D.; et al. Leaf segmentation in plant phenotyping: A collation study. Mach. Vis. Appl. 2016, 27, 585–606. [Google Scholar] [CrossRef]
- An, N.; Welch, S.M.; Markelz, R.C.; Baker, R.L.; Palmer, C.M.; Ta, J.; Maloof, J.N.; Weinig, C. Quantifying time-series of leaf morphology using 2D and 3D photogrammetry methods for high-throughput plant phenotyping. Comput. Electron. Agric. 2017, 135, 222–232. [Google Scholar] [CrossRef]
- Kamilaris, A.; Prenafeta-Boldú, F.X. Deep learning in agriculture: A survey. Comput. Electron. Agric. 2018, 147, 70–90. [Google Scholar] [CrossRef]
- Uzun, S.; Çelik, H. Leaf area prediction models (uzçelik-1) for different horticultural plants. Turk. J. Agric. For. 1999, 23, 645–650. [Google Scholar]
- Rouphael, Y.; Rivera, C.M.; Cardarelli, M.; Fanasca, S.; Colla, G. Leaf area estimation from linear measurements in zucchini plants of different ages. J. Hortic. Sci. Biotechnol. 2006, 81, 238–241. [Google Scholar] [CrossRef]
- Fallovo, C.; Cristofori, V.; Mendoza de-Gyves, E.; Rivera, C.M.; Fanasca, S.; Bignami, C.; Sassine, Y.; Rouphael, Y. Leaf area estimation model for small fruits from linear measurements. HortScience 2008, 43, 2263–2267. [Google Scholar] [CrossRef]
- Torri, S.; Descalzi, C.; Frusso, E. Estimation of leaf area in pecan cultivars (Carya illinoinensis). Cienc. Investig. Agrar. 2009, 36, 53–58. [Google Scholar] [CrossRef]
- Buttaro, D.; Rouphael, Y.; Rivera, C.M.; Colla, G.; Gonnella, M. Simple and accurate allometric model for leaf area estimation in Vitis vinifera L. genotypes. Photosynthetica 2015, 53, 342–348. [Google Scholar] [CrossRef]
- Keramatlou, I.; Sharifani, M.; Sabouri, H.; Alizadeh, M.; Kamkar, B. A simple linear model for leaf area estimation in Persian walnut (Juglans regia L.). Sci. Hortic. 2015, 184, 36–39. [Google Scholar] [CrossRef]
- Unigarro-Muñoz, C.A.; Hernández-Arredondo, J.D.; Montoya-Restrepo, E.C.; Medina-Rivera, R.D.; Ibarra-Ruales, L.N.; Carmona-Gonz6lez, C.Y.; Flyrez-Ramos, C.P. Estimation of leaf area in coffee leaves (Coffea arabica L.) of the Castillo® variety. Bragantia 2015, 74, 412–416. [Google Scholar] [CrossRef]
- Cirillo, C.; Pannico, A.; Basile, B.; Rivera, C.M.; Giaccone, M.; Colla, G.; de Pascale, S.; Rouphael, Y. A simple and accurate allometric model to predict single leaf area of twenty-one European apricot cultivars. Eur. J. Hortic. Sci. 2017, 82, 65–71. [Google Scholar] [CrossRef]
- Koubouris, G.; Bouranis, D.; Vogiatzis, E.; Nejad, A.; Giday, H.; Tsaniklidis, G.; Ligoxigakis, E.; Blazakis, K.; Kalaitzis, P.; Fanourakis, D. Leaf area estimation by considering leaf dimensions in olive tree. Sci. Hortic. 2018, 240, 440–445. [Google Scholar] [CrossRef]
- Suárez Salazar, J.; Melgarejo, L.; Durán Bautista, E.; Di Rienzo, J.; Casanoves, F. Non-destructive estimation of the leaf weight and leaf area in cacao (Theobroma cacao L.). Sci. Hortic. 2018, 229, 19–24. [Google Scholar] [CrossRef]
- Tsukaya, H. Mechanism of leaf-shape determination. Annu. Rev. Plant Biol. 2006, 57, 477–496. [Google Scholar] [CrossRef]
- Sharkey, T.D.; Eaton-Rye, J.J. Advances in photosynthesis and respiration including bioenergy and related processes. In The Leaf: A Platform for Performing Photosynthesis; Adams, W.W., Terashima, I., Eds.; Springer International Publishing: Berlin, Germany, 2018; Volume 44, pp. 209–253. [Google Scholar] [CrossRef][Green Version]
- Tsukaya, H. A Consideration of leaf shape evolution in the context of the primary function of the leaf as a photosynthetic organ. In The Leaf: A Platform for Performing Photosynthesis; Adams, W.W., Terashima, I., Eds.; Springer International Publishing: Cham, Germany, 2018; Volume 44, pp. 1–26. [Google Scholar] [CrossRef]
- Nicotra, A.B.; Leigh, A.; Boyce, C.K.; Jones, C.S.; Niklas, K.J.; Royer, D.L.; Tsukaya, H. The evolution and functional significance of leaf shape in the angiosperms. Plant Biol. 2011, 38, 535–552. [Google Scholar] [CrossRef]
- Rouphael, Y.; Mouneimne, A.H.; Ismail, A.; Mendoza-De Gyves, E.; Rivera, C.; Colla, G. Modeling individual leaf area of rose (Rosa hybrida L.) based on leaf length and width measurement. Photosynthetica 2010, 48, 9–15. [Google Scholar] [CrossRef]
- Teobaldelli, M.; Rouphael, Y.; Fascella, G.; Cristofori, V.; Rivera, C.M.; Basile, B. Developing an accurate and fast non-destructive single leaf area model for Loquat (Eriobotrya japonica Lindl) cultivars. Plants 2019, 8, 230. [Google Scholar] [CrossRef] [PubMed]
- Montero, F.J.; Juan, J.A.; Cuesta, A.; Brasa, A. Nondestructive methods to estimate leaf area in Vitis vinifera L. HortScience 2000, 35, 696–698. [Google Scholar] [CrossRef]
- Williams, L.; Martinson, T.E. Non-destructive leaf area estimation of ‘Niagara’ and ‘De Chaunac’ grapevines. Sci. Hortic. 2003, 98, 493–498. [Google Scholar] [CrossRef]
- Lopes, M.A.; Pinto, P. Easy and accurate estimation of grapevine leaf area with simple mathematical models. VITIS 2005, 2, 55–61. [Google Scholar]
- Guisard, Y.; Birch, C.J. Towards developing reliable models of leaf area on grapevines (Vitis yin ([era L.). In Proceedings of the Information and Technology for Sustainable Fruit and Vegetable Production FRUTIC 05, Montpellier, France, 12–16 September 2005; pp. 305–314. [Google Scholar]
- Cristofori, V.; Rouphael, Y.; Gyves, E.M.; Bignami, C. A simple model for estimating leaf area of hazelnut from linear measurements. Sci. Hortic. 2007, 113, 221–225. [Google Scholar] [CrossRef]
- Blom, P.E.; Tarara, J.M. Rapid and nondestructive estimation of leaf area on fieldgrown Concord (Vitis labruscana) grapevines. Am. J. Enol. Vitic. 2007, 58, 393–397. [Google Scholar]
- Tsialtas, J.T.; Koundouras, S.; Zioziou, E. Leaf area estimation by simple measurements and evaluation of leaf area prediction models in Cabernet-Sauvignon grapevine leaves. Photosynthetica 2008, 46, 452–456. [Google Scholar] [CrossRef]
- Beslic, Z.; Todic, S.; Tesic, D. Validation of non-destructive methodology of grapevine leaf area estimation on cv. Blaufränkisch (Vitis vinifera L.). S. Afr. J. Enol. Vitic. 2010, 31, 22–25. [Google Scholar] [CrossRef][Green Version]
- Spann, T.M.; Heerema, R.J. A simple method for non-destructive estimation of total shoot leaf area in tree fruit crops. Sci. Hortic. 2010, 125, 528–533. [Google Scholar] [CrossRef]
- Sanchez-de-Miguel, P.; Junquera, P.; de la Fuente, M.; Jimenez, L.; Linares, R.; Baeza, P.; Lissarrague, J.R. Estimation of vineyard leaf area by linear regression. Span. J. Agric. Res. 2011, 9, 202–212. [Google Scholar] [CrossRef]
- Khan, F.; Banday, F.; Narayan, S.; Khan, F.; Bhat, S. Use of models as non-destructive method for leaf area estimation in horticultural crops. IRA Int. J. Appl. Sci. 2016, 4. [Google Scholar] [CrossRef][Green Version]
- Walia, S.; Kumar, R. Development of the non-destructive leaf area estimation model for Valeriana (Valeriana jatamansi Jones). Commun. Soil Sci. Plant Anal. 2017, 48, 83–91. [Google Scholar] [CrossRef]
- Téllez, O.F.; Muñoz, E.M.; García, A.T.; García, J.L.C.; Ardisana, E.F.H.; Aguilar, R.L.; Obregón, E.F. Estimation of the foliar area by non-destructive methods in two stages of growth of pepper plants (Capsicum annuum L.) hybrid salvador. Am. J. Plant Sci. 2018, 9, 325–338. [Google Scholar] [CrossRef]
- Skaria, B.P.; Joy, P.P.; Mathew, S.; Athewm, G.; Joseph, A.; Joseph, R. Aromatic plants. In Horticultural Sciences; Peter, K.V., Ed.; New India Publishing Agency: Pitam Pura, India; New Delhi, India, 2007; Volume 7. [Google Scholar]
- Teobaldelli, M.; Rouphael, Y.; Gonnella, M.; Buttaro, D.; Rivera, C.M.; Muganu, M.; Colla, G.; Basile, B. Developing a fast and accurate model to estimate allometrically the total shoot leaf area in grapevines. Sci. Hortic. 2020, 259, 108794. [Google Scholar] [CrossRef]
- Blanco, F.F.; Folegatti, M.V. A new method for estimating the leaf area index of cucumber and tomato plants. Hortic. Brasil. 2003, 21, 666–669. [Google Scholar] [CrossRef]
- De Swart, E.A.M.; Groenwold, R.; Kanne, H.J.; Stam, P.; Marcelis, L.F.M.; Voorrips, R.E. Non-destructive estimation of leaf area for different plant ages and accessions of Capsicum annuum L. J. Hortic. Sci. Biot. 2004, 79, 764–770. [Google Scholar] [CrossRef]
- Mendoza-De Gyves, E.; Rouphael, Y.; Cristofori, V.; Mira, F.R. A non-destructive, simple and accurate model for estimating the individual leaf area of kiwi (Actinidia deliciosa). Fruits 2007, 62, 171–176. [Google Scholar] [CrossRef]
- Rivera, C.M.; Rouphael, Y.; Cardarelli, M.; Colla, G. A simple and accurate equation for estimating individual leaf area of eggplant from linear measurements. Eur. J. Hort. Sci. 2007, 72, 228. [Google Scholar]
- R Core Team. A Language and Environment for Statistical Computing; R Foundation for Statistical Computing: Vienna, Austria, 2018; Available online: https://www.R-project.org (accessed on 20 December 2018).
- Anton, H. Elementary Linear Algebra, 11th ed.; Wiley: New York, NY, USA, 2013. [Google Scholar]
- Manly, B.F.; Alberto, J.A.N. Multivariate Statistical Methods: A Primer, 4th ed.; Taylor & Francis Group, LLC/CRC Press: Boca Raton, FL, USA, 2017. [Google Scholar]
- Sakamoto, Y.; Ishiguro, M.; Kitagawa, G. Akaike Information Criterion Statistics; Reidel, D., Ed.; Springer: Tokyo, Japan; Dordrecht, The Netherlands, 1986. [Google Scholar]
- Ripley, B. Bootstrap Functions (Originally by Angelo Canty for S). R Package Version 1.3–18. Available online: https://cran.r-project.org/web/packages/boot/boot.pdf (accessed on 10 June 2016).








| Species and Cultivar | Leaf Length (L; cm) | Leaf Width (W; cm) | Leaf Shape Ratio (L:W) | ||||||||||
|---|---|---|---|---|---|---|---|---|---|---|---|---|---|
| No. of Leaves Sampled | Min | Median | Mean | Max | Min | Median | Mean | Max | Min | Median | Mean | Max | |
| Basil (Ocimum basilicum L.) | |||||||||||||
| Aroma | 214 | 1.92 | 3.90 | 3.85 | 5.77 | 1.26 | 2.49 | 2.47 | 3.95 | 1.22 | 1.56 | 1.57 | 2.06 |
| Cinnamon | 222 | 1.81 | 3.76 | 3.80 | 7.23 | 1.06 | 2.35 | 2.38 | 4.37 | 1.17 | 1.60 | 1.60 | 2.16 |
| Lettuce Leaf | 487 | 1.65 | 3.90 | 3.85 | 5.87 | 1.09 | 2.82 | 2.83 | 4.81 | 1.03 | 1.24 | 1.27 | 1.76 |
| Mammoth | 217 | 1.95 | 5.07 | 4.98 | 7.66 | 1.41 | 4.08 | 3.98 | 7.05 | 1.24 | 1.53 | 1.53 | 2.16 |
| Purple Petra | 235 | 1.73 | 3.24 | 3.18 | 4.37 | 1.09 | 2.15 | 2.09 | 3.18 | 1.22 | 1.64 | 1.66 | 2.41 |
| Super Sweet Chen | 206 | 1.87 | 4.10 | 4.10 | 5.93 | 1.12 | 2.57 | 2.52 | 4.14 | 1.04 | 1.37 | 1.39 | 2.17 |
| Mint (Mentha spp.) | |||||||||||||
| Comune | 441 | 1.40 | 3.47 | 3.57 | 7.47 | 0.96 | 2.35 | 2.36 | 4.95 | 1.00 | 1.09 | 1.11 | 1.37 |
| Glaciale | 230 | 1.32 | 2.95 | 3.06 | 5.70 | 1.11 | 2.70 | 2.79 | 5.08 | 1.10 | 1.44 | 1.44 | 1.83 |
| Moroccan | 229 | 1.59 | 3.21 | 3.26 | 5.07 | 1.19 | 2.32 | 2.28 | 3.50 | 1.12 | 1.57 | 1.58 | 2.25 |
| Piperita | 222 | 1.76 | 2.93 | 3.06 | 5.64 | 1.02 | 1.93 | 1.96 | 3.51 | 1.26 | 1.79 | 1.76 | 2.42 |
| Suaveolens | 220 | 1.53 | 2.32 | 2.37 | 3.37 | 0.78 | 1.36 | 1.35 | 1.84 | 1.02 | 1.53 | 1.52 | 2.04 |
| Sage (Salvia spp.) | |||||||||||||
| Fariancea | 231 | 2.10 | 4.29 | 4.58 | 7.81 | 0.58 | 1.26 | 1.51 | 3.21 | 2.05 | 3.41 | 3.23 | 4.16 |
| Jcterina | 216 | 1.98 | 3.84 | 4.00 | 7.97 | 0.85 | 1.54 | 1.62 | 3.06 | 1.68 | 2.48 | 2.47 | 3.22 |
| Maxima | 223 | 1.59 | 3.86 | 4.40 | 12.61 | 0.86 | 2.38 | 2.62 | 7.11 | 1.24 | 1.67 | 1.68 | 2.30 |
| Comune | 418 | 1.52 | 4.05 | 4.22 | 7.80 | 0.78 | 2.13 | 2.11 | 3.55 | 1.96 | 2.43 | 2.43 | 3.08 |
| Purpurea | 222 | 1.97 | 4.93 | 5.05 | 8.60 | 0.89 | 1.96 | 2.08 | 3.78 | 1.63 | 2.26 | 2.26 | 2.90 |
| Tricolor | 211 | 1.84 | 3.54 | 3.93 | 6.53 | 0.87 | 1.61 | 1.73 | 3.01 | 1.22 | 2.03 | 2.00 | 2.54 |
| Cultivar | LA vs. W | LA vs. L |
|---|---|---|
| Basil (Ocimum basilicum L.) | ||
| Aroma | 0.974 | 0.955 |
| Cinnamon | 0.956 | 0.963 |
| Mammoth | 0.975 | 0.947 |
| Purple Petra | 0.977 | 0.965 |
| Super Sweet Chen | 0.973 | 0.936 |
| Mean | 0.971 | 0.953 |
| Mint (Mentha spp.) | ||
| Glaciale | 0.979 | 0.985 |
| Moroccan | 0.959 | 0.975 |
| Piperita | 0.959 | 0.957 |
| Suaveolens | 0.877 | 0.930 |
| Mean | 0.944 | 0.962 |
| Sage (Salvia spp.) | ||
| Fariancea | 0.987 | 0.955 |
| Jcterina | 0.973 | 0.973 |
| Maxima | 0.958 | 0.961 |
| Purpurea | 0.983 | 0.982 |
| Tricolor | 0.981 | 0.979 |
| Mean | 0.976 | 0.970 |
| Parameter | PC1 | PC2 | PC3 | PC1 | PC2 | PC3 | PC1 | PC2 | PC3 |
|---|---|---|---|---|---|---|---|---|---|
| Basil | Mint | Sage | |||||||
| Eigenvalue | 2.864 | 0.115 | 0.021 | 2.819 | 0.164 | 0.017 | 2.778 | 0.175 | 0.047 |
| Standard deviation | 1.692 | 0.339 | 0.145 | 1.679 | 0.405 | 0.132 | 1.667 | 0.418 | 0.216 |
| Proportion of Variance | 0.955 | 0.038 | 0.007 | 0.940 | 0.055 | 0.006 | 0.926 | 0.058 | 0.016 |
| Cumulative Proportion of Variance | 0.955 | 0.993 | 1.000 | 0.940 | 0.994 | 1.000 | 0.926 | 0.984 | 1.000 |
| Loading | |||||||||
| LA | −0.585 | 0.286 | −0.759 | 0.592 | −0.099 | −0.800 | 0.589 | −0.199 | −0.783 |
| L | −0.568 | −0.813 | 0.132 | 0.566 | 0.757 | 0.326 | 0.565 | 0.794 | 0.223 |
| W | −0.579 | 0.508 | 0.637 | 0.574 | −0.646 | 0.504 | 0.577 | −0.574 | 0.580 |
| Model No. | Form of the Model Tested | Constant and Fitted Coefficient | R2 | RMSE | BIC | |
|---|---|---|---|---|---|---|
| a (SE/p-Value) | b (SE/p-Value) | |||||
| Basil (Ocimum basilicum L.) | ||||||
| 1 | LA = a + b × L | −10.20 (0.24/ ***) | 4.62 (0.06/ ***) | 0.850 | 2.10 | 4751.4 |
| 2 | LA = a + b × W | −6.47 (0.10/ ***) | 5.45 (0.04/ ***) | 0.954 | 1.17 | 3459.0 |
| 3 | LA = a + b × (L × W) | −0.12 (0.02/ ***) | 0.71 (0.01/ ***) | 0.995 | 0.40 | 1122.6 |
| 4 | LA = a + b × L2 | −1.28 (0.10/ ***) | 0.56 (0.01/ ***) | 0.909 | 1.64 | 4201.1 |
| 5 | LA = a + b × W2 | 1.61 (0.05/ ***) | 0.80 (0.01/ ***) | 0.956 | 1.14 | 3413.3 |
| Mint (Mentha spp.) | ||||||
| 1 | LA = a + b × L | −5.92 (0.15/ ***) | 3.71 (0.05/ ***) | 0.861 | 1.22 | 2928.7 |
| 2 | LA = a + b × W | −3.39 (0.09/ ***) | 3.99 (0.04/ ***) | 0.922 | 0.91 | 2410.1 |
| 3 | LA = a + b × (L × W) | 0.03 (0.01/ **) | 0.74 (0.00/ ***) | 0.997 | 0.17 | −620.9 |
| 4 | LA = a + b × L2 | −0.36 (0.07/ ***) | 0.58 (0.01/ ***) | 0.888 | 1.09 | 2733.3 |
| 5 | LA = a + b × W2 | 1.06 (0.05/ ***) | 0.78 (0.01/ ***) | 0.925 | 0.89 | 2374.6 |
| Sage (Salvia spp.) | ||||||
| 1 | LA = a + b × L | −8.00 (0.24/ ***) | 3.37 (0.05/ ***) | 0.791 | 2.69 | 5333.5 |
| 2 | LA = a + b × W | −5.94 (0.15/ ***) | 6.67 (0.07/ ***) | 0.891 | 1.94 | 4610.9 |
| 3 | LA = a + b × (L × W) | −0.04 (0.02/ns) | 0.72 (0.00/ ***) | 0.994 | 0.45 | 1373.2 |
| 4 | LA = a + b × L2 | −0.62 (0.10/ ***) | 0.34 (0.00/ ***) | 0.888 | 1.96 | 4639.2 |
| 5 | LA = a + b × W2 | 1.30 (0.06/ ***) | 1.27 (0.01/ ***) | 0.937 | 1.48 | 4011.7 |
| Model No. | Dependent Variable | Number of Regressors | Parameter † | Original | Boot | Percent Confidence Interval | |||||
|---|---|---|---|---|---|---|---|---|---|---|---|
| Value | (p-Value) | Value | Bias | SE | Median | 2.5% | 97.5% | ||||
| Basil (Ocimum basilicum L.) | |||||||||||
| 3 | LA | 2 | R2 | 0.995 | - | 0.995 | 0.000 | 0.000 | - | - | - |
| RMSE | 0.401 | - | 0.370 | −0.030 | 0.114 | - | - | - | |||
| (intercept) | −0.125 | (***) | −0.125 | 0.000 | 0.022 | −0.127 | −0.184 | −0.068 | |||
| L × W | 0.713 | (***) | 0.713 | 0.000 | 0.002 | 0.713 | 0.707 | 0.719 | |||
| 5 | LA | 1 | R2 | 0.956 | - | 0.956 | 0.000 | 0.003 | - | - | - |
| RMSE | 1.142 | - | 1.104 | −0.038 | 0.265 | - | - | - | |||
| (intercept) | 1.612 | (***) | 1.603 | −0.008 | 0.055 | 1.614 | 1.477 | 1.735 | |||
| W2 | 0.802 | (***) | 0.803 | 0.001 | 0.005 | 0.802 | 0.786 | 0.822 | |||
| Mint (Mentha spp.) | |||||||||||
| 3 | LA | 2 | R2 | 0.997 | - | 0.997 | 0.000 | 0.000 | - | - | - |
| RMSE | 0.170 | - | 0.156 | −0.013 | 0.044 | - | - | - | |||
| (intercept) | 0.030 | (**) | 0.030 | 0.000 | 0.010 | 0.029 | 0.006 | 0.053 | |||
| L × W | 0.739 | (***) | 0.739 | 0.000 | 0.001 | 0.739 | 0.735 | 0.743 | |||
| 5 | LA | 1 | R2 | 0.925 | - | 0.925 | 0.000 | 0.006 | - | - | - |
| RMSE | 0.895 | - | 0.840 | −0.055 | 0.231 | - | - | - | |||
| (intercept) | 1.060 | (***) | 1.058 | −0.002 | 0.048 | 1.061 | 0.978 | 1.136 | |||
| W2 | 0.781 | (***) | 0.782 | 0.000 | 0.007 | 0.781 | 0.763 | 0.803 | |||
| Sage (Salvia spp.) | |||||||||||
| 3 | LA | 2 | R2 | 0.994 | - | 0.994 | 0.000 | 0.001 | - | - | - |
| RMSE | 0.447 | - | 0.414 | −0.033 | 0.142 | - | - | - | |||
| (intercept) | −0.036 | (ns) | −0.035 | 0.002 | 0.021 | −0.036 | −0.078 | 0.009 | |||
| L × W | 0.723 | (***) | 0.723 | 0.000 | 0.002 | 0.723 | 0.717 | 0.729 | |||
| 5 | LA | 1 | R2 | 0.937 | - | 0.936 | −0.001 | 0.010 | - | - | - |
| RMSE | 1.478 | - | 1.352 | −0.126 | 0.435 | - | - | - | |||
| (intercept) | 1.304 | (***) | 1.308 | 0.004 | 0.062 | 1.293 | 1.147 | 1.487 | |||
| W2 | 1.270 | (***) | 1.269 | −0.001 | 0.010 | 1.273 | 1.219 | 1.317 | |||
| Group | No. of Cultivars | No. of Leaves Sampled | L (cm) | W (cm) | L × W (cm2) | L:W | LA (cm2) | ||||||||||
|---|---|---|---|---|---|---|---|---|---|---|---|---|---|---|---|---|---|
| Min | Max | Mean | Min | Max | Mean | Min | Max | Mean | Min | Max | Mean | Min | Max | Mean | |||
| Basil (Ocimum basilicum L.) | |||||||||||||||||
| Calibration set | 5 | 1094 | 1.73 | 7.66 | 3.97 | 1.06 | 7.05 | 2.68 | 1.92 | 54.00 | 11.57 | 1.03 | 2.41 | 1.53 | 1.40 | 37.39 | 8.12 |
| Validation set | 1 | 487 | 1.65 | 5.87 | 3.85 | 1.09 | 4.81 | 2.83 | 1.90 | 26.92 | 11.46 | 1.04 | 2.17 | 1.39 | 1.30 | 18.90 | 8.06 |
| Mint (Mentha spp.) | |||||||||||||||||
| Calibration set | 4 | 901 | 1.32 | 5.70 | 2.94 | 0.78 | 5.08 | 2.10 | 1.42 | 28.05 | 6.73 | 1.00 | 2.42 | 1.47 | 1.07 | 20.45 | 5.00 |
| Validation set | 1 | 441 | 1.40 | 7.47 | 3.57 | 0.96 | 4.95 | 2.36 | 1.50 | 37.01 | 9.16 | 1.02 | 2.04 | 1.52 | 1.08 | 27.27 | 6.81 |
| Sage (Salvia spp.) | |||||||||||||||||
| Calibration set | 5 | 1103 | 1.59 | 12.61 | 4.40 | 0.58 | 7.11 | 1.91 | 1.41 | 89.64 | 9.49 | 1.24 | 4.16 | 2.42 | 1.01 | 64.55 | 6.83 |
| Validation set | 1 | 418 | 1.52 | 7.80 | 4.22 | 0.78 | 3.55 | 2.11 | 1.19 | 26.14 | 9.83 | 1.22 | 2.54 | 2.00 | 0.94 | 19.70 | 7.39 |
© 2019 by the authors. Licensee MDPI, Basel, Switzerland. This article is an open access article distributed under the terms and conditions of the Creative Commons Attribution (CC BY) license (http://creativecommons.org/licenses/by/4.0/).
Share and Cite
Teobaldelli, M.; Basile, B.; Giuffrida, F.; Romano, D.; Toscano, S.; Leonardi, C.; Rivera, C.M.; Colla, G.; Rouphael, Y. Analysis of Cultivar-Specific Variability in Size-Related Leaf Traits and Modeling of Single Leaf Area in Three Medicinal and Aromatic Plants: Ocimum basilicum L., Mentha Spp., and Salvia Spp. Plants 2020, 9, 13. https://doi.org/10.3390/plants9010013
Teobaldelli M, Basile B, Giuffrida F, Romano D, Toscano S, Leonardi C, Rivera CM, Colla G, Rouphael Y. Analysis of Cultivar-Specific Variability in Size-Related Leaf Traits and Modeling of Single Leaf Area in Three Medicinal and Aromatic Plants: Ocimum basilicum L., Mentha Spp., and Salvia Spp. Plants. 2020; 9(1):13. https://doi.org/10.3390/plants9010013
Chicago/Turabian StyleTeobaldelli, Maurizio, Boris Basile, Francesco Giuffrida, Daniela Romano, Stefania Toscano, Cherubino Leonardi, Carlos Mario Rivera, Giuseppe Colla, and Youssef Rouphael. 2020. "Analysis of Cultivar-Specific Variability in Size-Related Leaf Traits and Modeling of Single Leaf Area in Three Medicinal and Aromatic Plants: Ocimum basilicum L., Mentha Spp., and Salvia Spp." Plants 9, no. 1: 13. https://doi.org/10.3390/plants9010013
APA StyleTeobaldelli, M., Basile, B., Giuffrida, F., Romano, D., Toscano, S., Leonardi, C., Rivera, C. M., Colla, G., & Rouphael, Y. (2020). Analysis of Cultivar-Specific Variability in Size-Related Leaf Traits and Modeling of Single Leaf Area in Three Medicinal and Aromatic Plants: Ocimum basilicum L., Mentha Spp., and Salvia Spp. Plants, 9(1), 13. https://doi.org/10.3390/plants9010013

