Effects of Mixing Ratios on Branch Development in Young Mixed Plantations of Betula alnoides and Castanopsis hystrix
Abstract
1. Introduction
2. Results
2.1. Branch Quantity
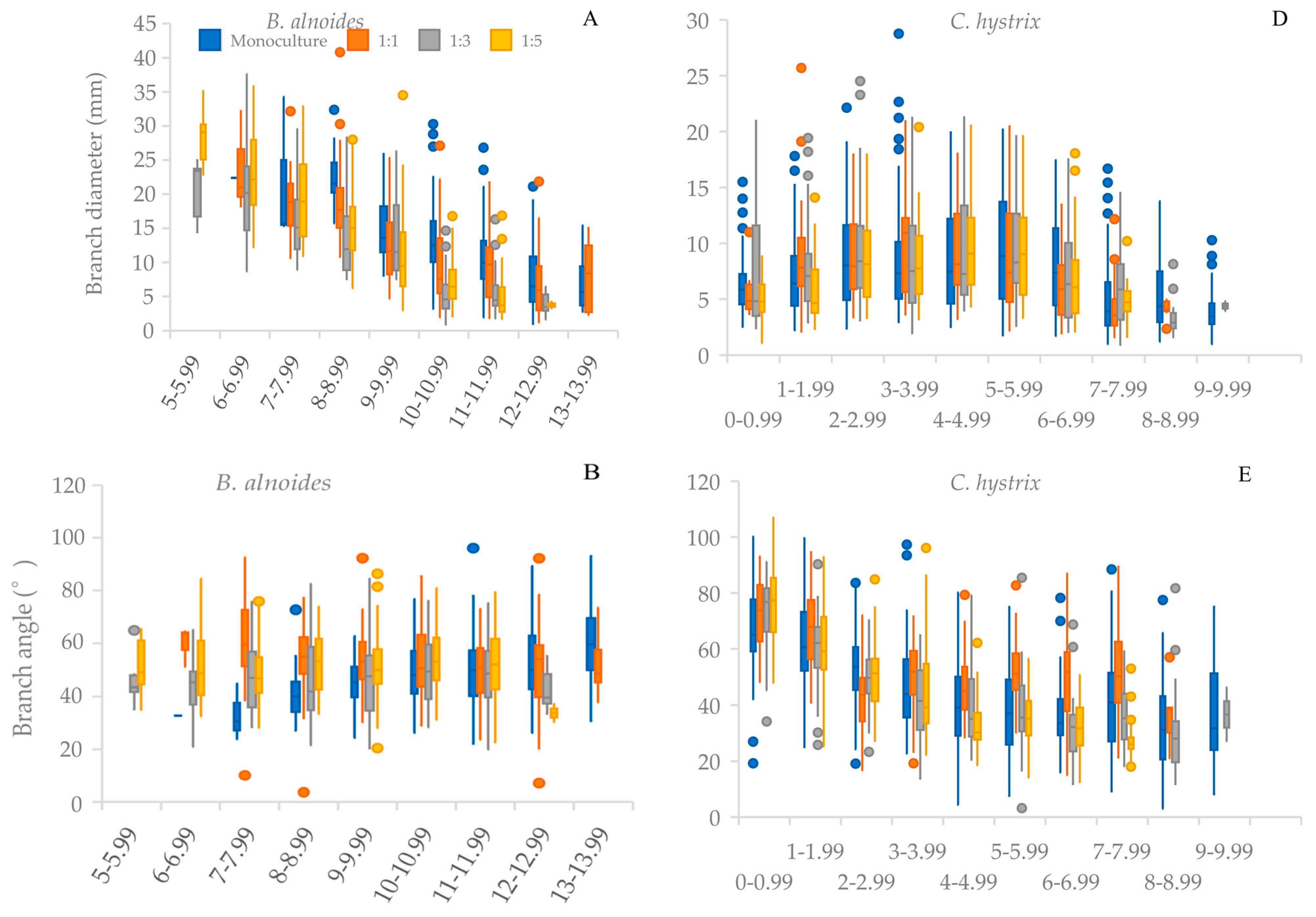
2.2. Branch Morphology
2.3. Branch Spatial Distribution
3. Discussion
3.1. Branch Quantity
3.2. Branch Morphology
3.3. Branch Spatial Distribution
4. Materials and Methods
4.1. Study Site
4.2. Experimental Design
4.3. Branch Measurement
4.4. Data Analysis
5. Conclusions
Author Contributions
Funding
Data Availability Statement
Acknowledgments
Conflicts of Interest
References
- Ishii, H.T.; Tanabe, S.I.; Hiura, T. Exploring the Relationships Among Canopy Structure, Stand Productivity, and Biodiversity of Temperate Forest Ecosystems. For. Sci. 2004, 50, 342–355. [Google Scholar] [CrossRef]
- Weiskittel, A.R.; Seymour, R.S.; Hofmeyer, P.V.; Kershaw, J.A. Modelling primary branch frequency and size for five conifer species in Maine, USA. For. Ecol. Manag. 2010, 259, 1912–1921. [Google Scholar] [CrossRef]
- Wang, C.S.; Zhao, Z.G.; Hein, S.; Zeng, J.; Schuler, J.; Guo, J.J.; Guo, W.F.; Zeng, J. Effect of Planting Density on Knot Attributes and Branch Occlusion of Betula alnoides under Natural Pruning in Southern China. Forests 2015, 6, 1343–1361. [Google Scholar] [CrossRef]
- Höwler, K.; Vor, T.; Seidel, D.; Annighöfer, P.; Ammer, C. Analyzing effects of intra- and interspecific competition on timber quality attributes of Fagus sylvatica L.—From quality assessments on standing trees to sawn boards. Eur. J. For. Res. 2019, 138, 327–343. [Google Scholar] [CrossRef]
- Stapel, P.; Kuilen, J.W.G.V.D. Influence of cross-section and knot assessment on the strength of visually graded Norway spruce. Eur. J. Wood Wood Prod. 2014, 72, 213–227. [Google Scholar] [CrossRef]
- Collins, S.; Fink, G. Modeling the tensile mechanical properties of silver birch timber boards. Constr. Build. Mater. 2022, 344, 128147. [Google Scholar] [CrossRef]
- Alcorn, P.J.; Pyttel, P.; Bauhus, J.; Smith, R.G.B.; Thomas, D.; James, R.; Nicotra, A. Effects of initial planting density on branch development in 4-year-old plantation grown Eucalyptus pilularis and Eucalyptus cloeziana trees. For. Ecol. Manag. 2007, 252, 41–51. [Google Scholar] [CrossRef]
- Wang, C.S.; Tang, C.; Hein, S.; Guo, J.J.; Zhao, Z.G.; Zeng, J. Branch development of five-year-old Betula alnoides plantations in response to planting density. Forests 2018, 9, 42. [Google Scholar] [CrossRef]
- Zhang, Y.; Chen, H.Y.H.; Reich, P.B. Forest productivity increases with evenness, species richness and trait variation: A global meta-analysis. J. Ecol. 2012, 100, 742–749. [Google Scholar] [CrossRef]
- Jucker, T.; Bouriaud, O.; Avacaritei, D.; Coomes, D.A. Stabilizing effects of diversity on aboveground wood production in forest ecosystems: Linking patterns and processes. Ecol. Lett. 2014, 17, 1560–1569. [Google Scholar] [CrossRef]
- Lowell, E.C.; Maguire, D.A.; Briggs, D.G.; Turnblom, E.C.; Jayawickrama, K.J.; Bryce, J. Effects of Silviculture and Genetics on Branch/Knot Attributes of Coastal Pacific Northwest Douglas-Fir and Implications for Wood Quality—A Synthesis. Forests 2014, 5, 1717–1736. [Google Scholar] [CrossRef]
- Santos, F.M.; Chaer, G.M.; Diniz, A.R.; Balieiro, F.D.C. Nutrient cycling over five years of mixed-species plantations of Eucalyptus and Acacia on a sandy tropical soil. For. Ecol. Manag. 2017, 384, 110–121. [Google Scholar] [CrossRef]
- Lisella, C.; Bottero, A.; Antonucci, S.; Santopuoli, G.; Tognetti, R. Resilience to late frost and drought of mixed forests with Turkey oak and silver fir in southern Italy. For. Ecol. Manag. 2025, 580, 122539. [Google Scholar] [CrossRef]
- Cao, J.; Liu, H.; Zhao, B.; Peng, R.; Liang, B.; Anenkhonov, O.A.; Korolyuk, A.Y.; Sandanov, D.V. Mixed forest suffered less drought stress than pure forest in southern Siberia. Agric. For. Meteorol. 2022, 325, 109137. [Google Scholar] [CrossRef]
- Höwler, K.; Vor, T.; Schall, P.; Annighöfer, P.; Seidel, D.; Ammer, C. Distribution of the timber quality attribute ‘knot surface’ in logs of Fagus sylvatica L. from pure and mixed forest stands. Eur. J. For. Res. 2021, 140, 969–981. [Google Scholar] [CrossRef]
- Liu, K.L.; Wang, C.S.; Chen, B.Y.; Wang, R.H.; Zeng, J. Branch development in monoculture and mixed-species plantations of Betula alnoides, Erythrophleum fordii and Pinus kesiya var. langbianensis in southwestern China. For. Ecol. Manag. 2023, 528, 120643. [Google Scholar] [CrossRef]
- Pretzsch, H. Canopy space filling and tree crown morphology in mixed-species stands compared with monocultures. For. Ecol. Manag. 2014, 327, 251–264. [Google Scholar] [CrossRef]
- Bayer, D.; Seifert, S.; Pretzsch, H. Structural crown properties of Norway spruce (Picea abies [L.] Karst.) and European beech (Fagus sylvatica [L.]) in mixed versus pure stands revealed by terrestrial laser scanning. Trees 2013, 27, 1035–1047. [Google Scholar] [CrossRef]
- Jucker, T.; Bouriaud, O.; Coomes, D.A.; Baltzer, J. Crown plasticity enables trees to optimize canopy packing in mixed-species forests. Funct. Ecol. 2015, 29, 1078–1086. [Google Scholar] [CrossRef]
- Bauhus, J.; Forrester, D.I.; Pretzsch, H.; Felton, A.; Pyttel, P.; Benneter, A. Silvicultural Options for Mixed-Species Stands in Mixed-Species Forests: Ecology Management; Pretzsch, H., Forrester, D.I., Bauhus, J., Eds.; Springer: Berlin/Heidelberg, Germany, 2017; pp. 433–501. [Google Scholar]
- Jie, Z.; Wen-Fu, G.; Zhi-Gang, Z.; Qi-Jie, W.; Guang-Tian, Y.; Hai-Shui, Z. Domestication of Betula alnoides in China: Current Status and Perspectives. For. Res. 2006, 19, 379–384. [Google Scholar] [CrossRef]
- Wang, C.S.; Hein, S.; Zhao, Z.G.; Guo, J.J.; Zeng, J. Branch occlusion and discoloration of Betula alnoides under artificial and natural pruning. For. Ecol. Manag. 2016, 375, 200–210. [Google Scholar] [CrossRef]
- Wang, C.S.; Guo, J.J.; Hein, S.; Wang, H.; Zhao, Z.G.; Zeng, J. Foliar morphology and spatial distribution in five-year-old plantations of Betula alnoides. For. Ecol. Manag. 2019, 432, 514–521. [Google Scholar] [CrossRef]
- Li, X.; Wu, G.; Lie, Z.; Aguila, L.C.R.; Khan, M.S.; Luo, H.; Wu, T.; Liu, X.; Liu, J. Microbial community variation in rhizosphere and non-rhizosphere soils of Castanopsis hystrix plantations across stand ages. J. For. Res. 2025, 36, 82. [Google Scholar] [CrossRef]
- Pretzsch, H.; Schütze, G. Effect of tree species mixing on the size structure, density, and yield of forest stands. Eur. J. For. Res. 2016, 135, 1–22. [Google Scholar] [CrossRef]
- Williams, L.J.; Paquette, A.; Cavender-Bares, J.; Messier, C.; Reich, P.B. Spatial complementarity in tree crowns explains overyielding in species mixtures. Nat. Ecol. Evol. 2017, 1, 63. [Google Scholar] [CrossRef] [PubMed]
- Cahill, J.F.; Kembel, S.W.; Lamb, E.G.; Keddy, P.A. Does phylogenetic relatedness influence the strength of competition among vascular plants? Perspect. Plant Ecol. Evol. Syst. 2008, 10, 41–50. [Google Scholar] [CrossRef]
- Hildebrand, M.; Perles-Garcia, M.D.; Kunz, M.; Härdtle, W.; von Oheimb, G.; Fichtner, A. Tree-tree interactions and crown complementarity: The role of functional diversity and branch traits for canopy packing. Basic Appl. Ecol. 2021, 50, 217–227. [Google Scholar] [CrossRef]
- Chen, L.; Sumida, A. Effects of light on branch growth and death vary at different organization levels of branching units in Sakhalin spruce. Trees 2018, 32, 1123–1134. [Google Scholar] [CrossRef]
- Muth Christine, C.; Bazzaz, F. A Tree canopy displacement and neighborhood interactions. Can. J. For. Res. 2003, 33, 1323–1330. [Google Scholar] [CrossRef]
- Lines Emily, R.; Zavala Miguel, A.; Purves Drew, W.; Coomes David, A. Predictable changes in aboveground allometry of trees along gradients of temperature, aridity and competition. Glob. Ecol. Biogeogr. 2012, 21, 1017–1028. [Google Scholar] [CrossRef]
- Mäkinen, H.; Hein, S. Effect of wide spacing on increment and branch properties of young Norway spruce. Eur. J. For. Res. 2006, 125, 239–248. [Google Scholar] [CrossRef]
- Kint, V.; Hein, S.; Campioli, M.; Muys, B. Modelling self-pruning and branch attributes for young Quercus robur L. and Fagus sylvatica L. trees. For. Ecol. Manag. 2010, 260, 2023–2034. [Google Scholar] [CrossRef]
- Comeau, P.G. Effects of Aspen and Spruce Density on Size and Number of Lower Branches 20 Years after Thinning of Two Boreal Mixedwood Stands. Forests 2021, 12, 211. [Google Scholar] [CrossRef]
- Juchheim, J.; Annighöfer, P.; Ammer, C.; Calders, K.; Raumonen, P.; Seidel, D. How management intensity and neighborhood composition affect the structure of beech (Fagus sylvatica L.) trees. Trees 2017, 31, 1723–1735. [Google Scholar] [CrossRef]
- Vieilledent, G.; Courbaud, B.T.; Kunstler, G.; Clark, J.F.O.D.T.S. Individual variability in tree allometry determines light resource allocation in forest ecosystems: A hierarchical Bayesian approach. Oecologia 2010, 163, 759–773. [Google Scholar] [CrossRef]
- Pretzsch, H.; Dieler, J. Evidence of variant intra- and interspecific scaling of tree crown structure and relevance for allometric theory. Springer Open Choice 2012, 169, 637–649. [Google Scholar] [CrossRef]
- Longuetaud, F.; Piboule, A.; Wernsdörfer, H.; Collet, C. Crown plasticity reduces inter-tree competition in a mixed broadleaved forest. Eur. J. For. Res. 2013, 132, 621–634. [Google Scholar] [CrossRef]
- West, P.W.; Smith, R.G.B. Effects of tree spacing on branch-size development during early growth of an experimental plantation of Eucalyptus pilularis in subtropical Australia. Aust. For. 2020, 83, 39–45. [Google Scholar] [CrossRef]
- Wang, C.S.; Zeng, J.; Hein, S.; Zhao, Z.G.; Guo, J.J.; Zeng, J. Crown and branch attributes of mid-aged Betula alnoides plantations in response to planting density. Scand. J. For. Res. 2017, 32, 679–687. [Google Scholar] [CrossRef]
- Akers, M.K.; Kane, M.; Zhao, D.; Teskey, R.O.; Daniels, R.F. Effects of planting density and cultural intensity on stand and crown attributes of mid-rotation loblolly pine plantations. For. Ecol. Manag. 2013, 310, 468–475. [Google Scholar] [CrossRef]
- Hajek, P.; Seidel, D.; Leuschner, C. Mechanical abrasion, and not competition for light, is the dominant canopy interaction in a temperate mixed forest. For. Ecol. Manag. 2015, 348, 108–116. [Google Scholar] [CrossRef]




| Tree Species | Mixing Ratio | BN | BP | BY | |||||
|---|---|---|---|---|---|---|---|---|---|
| Live | Dead | Total | Live | Dead | Live | Dead | Total | ||
| B. alnoides (<10 m) | Mono. | 8.40 (1.47) c | 0 (0) | 8.40 (1.47) c | 1 (0) | 0 (0) | 3.72 (0.84) c | 0 (0) | 3.72 (0.84) c |
| Mix. (1:1) | 18.83 (3.23) bc | 0 (0) | 18.83 (3.23) bc | 1 (0) | 0 (0) | 6.03 (0.56) ab | 0 (0) | 6.03 (0.56) ab | |
| Mix. (1:3) | 35.83 (4.28) a | 0 (0) | 35.83 (4.28) a | 1 (0) | 0 (0) | 7.80 (0.51) a | 0 (0) | 7.80 (0.51) a | |
| Mix. (1:5) | 28.67 (4.39) ab | 0 (0) | 28.67 (4.39) ab | 1 (0) | 0 (0) | 5.70 (0.66) b | 0 (0) | 5.70 (0.66) b | |
| B. alnoides (≥10 m) | Mono. | 46.22 (6.34) a | 0 (0) | 46.22 (6.34) a | 1 (0) | 0 (0) | 13.73 (1.56) a | 0 (0) | 13.73 (1.56) a |
| Mix. (1:1) | 35.67 (4.96) ab | 0 (0) | 35.67 (4.96) ab | 1 (0) | 0 (0) | 15.11 (1.85) a | 0 (0) | 15.11 (1.85) a | |
| Mix. (1:3) | 30.83 (6.48) b | 0 (0) | 30.83 (6.48) b | 1 (0) | 0 (0) | 17.17 (0.67) a | 0 (0) | 17.17 (0.67) a | |
| Mix. (1:5) | 32.16 (3.12) ab | 0 (0) | 32.16 (3.12) ab | 1 (0) | 0 (0) | 18.04 (1.47) a | 0 (0) | 18.04 (1.47) a | |
| C. hystrix | Mono. | 78.60 (7.19) a | 49.40 (5.85) a | 128.00 (7.56) a | 0.63 (1.22) a | 0.37 (0.45) a | 8.28 (1.18) a | 4.83 (0.73) a | 13.12 (1.22) a |
| Mix. (1:1) | 65.33 (6.93) a | 26.00 (3.51) a | 91.33 (10.08) b | 0.72 (1.48) a | 0.28 (0.15) a | 8.65 (1.07) a | 3.43 (0.46) a | 12.09 (1.49) a | |
| Mix. (1:3) | 62.00 (1.00) a | 38.00 (4.00) a | 100.00 (3.00) b | 0.69 (1.21) a | 0.31 (0.69) a | 8.81 (0.89) a | 4.11 (1.14) a | 12.92 (1.21) a | |
| Mix. (1:5) | 55.33 (3.48) a | 34.33 (8.65) a | 89.67 (11.06) b | 0.63 (1.13) a | 0.37 (0.63) a | 7.11 (0.06) a | 4.34 (1.19) a | 11.45 (1.33) a | |
| Factors | B. alnoides | C. hystrix | ||||
|---|---|---|---|---|---|---|
| BA | BL | BD | BA | BL | BD | |
| MR | 1.087 | 1.794 | 2.613 | 1.073 | 0.307 | 0.181 |
| CL | 3.060 ** | 31.502 ** | 21.149 ** | 52.059 ** | 21.380 ** | 17.419 ** |
| BO | 2.151 | 2.997 * | 3.423 * | 2.504 | 1.856 | 1.098 |
| MR × CL | 2.253 ** | 2.171 ** | 1.319 | 4.002 ** | 3.377 ** | 1.464 |
| MR × BO | 0.839 | 3.138 ** | 1.700 | 2.129 * | 1.864 | 1.778 |
| CL × BO | 1.285 | 1.617 * | 1.211 | 1.137 | 0.967 | 0.888 |
| MR × CL × BO | 1.326 | 1.806 ** | 1.407 * | 1.159 * | 0.943 | 0.965 |
| Tree Species | Mixing Ratio | BA (°) | BD (mm) | BL (m) | DLB (mm) | HLB (m) |
|---|---|---|---|---|---|---|
| B. alnoides (<10 m) | Mono. | 41.02 (4.16) b | 19.12 (1.88) a | 2.32 (0.29) a | 25.39 (3.11) b | 8.66 (0.69) a |
| Mix. (1:1) | 52.28 (3.32) a | 18.91 (1.49) a | 2.24 (0.23) a | 31.93 (2.84) ab | 7.55 (0.79) a | |
| Mix. (1:3) | 46.28 (3.14) ab | 15.76 (1.40) a | 1.89 (0.21) a | 32.40 (2.31) ab | 6.73 (0.43) a | |
| Mix. (1:5) | 49.00 (3.20) ab | 20.36 (1.43) a | 2.65 (0.22) a | 32.80 (0.91) a | 7.15 (0.59) a | |
| B. alnoides (≥10 m) | Mono. | 52.69 (1.99) a | 9.53 (1.49) a | 1.02 (0.21) a | / | / |
| Mix. (1:1) | 50.51 (2.01) a | 8.10 (1.43) ab | 0.81 (0.20) ab | / | / | |
| Mix. (1:3) | 47.43 (2.28) a | 4.20 (1.53) b | 0.38 (0.21) b | / | / | |
| Mix. (1:5) | 52.19 (2.24) a | 6.19 (1.46) ab | 0.67 (0.20) ab | / | / | |
| C. hystrix | Mono. | 43.40 (2.67) a | 7.01 (0.54) a | 0.85 (0.07) a | 26.67 (3.73) a | 4.54 (1.47) a |
| Mix. (1:1) | 51.12 (3.68) a | 7.76 (0.78) a | 0.96 (0.10) a | 22.37 (1.67) a | 3.49 (2.42) a | |
| Mix. (1:3) | 42.73 (3.64) a | 7.58 (0.76) a | 0.97 (0.10) a | 23.04 (0.94) a | 2.96 (1.02) a | |
| Mix. (1:5) | 43.83 (3.67) a | 7.16 (0.77) a | 0.89 (0.10) a | 19.23 (1.24) a | 3.18 (1.05) a |
| Tree Species | Mixing Ratio | Branch I | Branch II | Total | |||||||||
|---|---|---|---|---|---|---|---|---|---|---|---|---|---|
| North | South | East | West | North | South | East | West | North | South | East | West | ||
| B. alnoides | Mono. | 2.00 (1.41) Ba | 3.00 (1.41) Ba | 1.80 (0.84) Ba | 1.60 (1.14) Ba | 13.00 (1.30) Aa | 13.40 (2.50) Aa | 8.60 (1.89) Aa | 13.40 (2.50) Aa | 15.00 (1.05) Aa | 16.40 (2.94) Aa | 10.40 (2.04) Aa | 12.80 (2.13) Aa |
| Mix. (1:1) | 6.00 (1.06) Aa | 5.83 (1.51) Ba | 4.20 (0.80) Ba | 3.50 (0.56) Ba | 10.67 (1.41) ABa | 10.50 (1.23) ABa | 7.67 (1.02) ABa | 6.83 (1.49) ABa | 16.67 (1.86) Aa | 16.33 (1.37) Aa | 11.17 (1.83) Ab | 10.33 (3.89) Ab | |
| Mix. (1:3) | 9.16 (0.91) Aa | 9.67 (1.48) Aa | 9.00 (1.65) Aa | 8.00 (1.15) Aa | 6.67 (2.70) Ba | 6.00 (2.11) Ba | 4.33 (1.15) Ba | 4.37 (1.25) Ba | 15.83 (2.18) Aa | 15.67 (2.73) Aa | 13.33 (1.38) Aa | 12.83 (1.62) Aa | |
| Mix. (1:5) | 8.17 (1.47) Aa | 9.50 (1.59) Aa | 6.00 (1.63) Aa | 5.00 (0.97) Aa | 9.00 (0.73) ABa | 8.33 (1.28) ABa | 6.67 (0.61) ABa | 8.17 (1.22) ABa | 17.17 (1.33) Aa | 17.83 (2.09) Aa | 12.67 (1.78) Aa | 12.17 (1.35) Aa | |
| C. hystrix | Mono. | 22.67 (3.25) Aa | 21.33 (3.11) Aa | 15.33 (2.44) Aa | 14.17 (3.40) Aa | 10.00 (2.96) Aa | 9.83 (2.30) Aa | 15.67 (1.20) Aa | 10.17 (1.78) Aa | 32.67 (5.68) Aa | 31.17 (4.58) Aa | 31.00 (2.66) Aa | 24.33 (3.86) Aa |
| Mix. (1:1) | 20.67 (2.91) Aa | 18.33 (3.28) Aa | 13.00 (2.66) Aa | 13.33 (1.86) Aa | 7.00 (0.58) Aa | 7.00 (1.00) Aa | 5.67 (1.76) Ba | 6.33 (0.88) Aa | 27.67 (3.48) Aa | 25.33 (4.26) Aa | 18.67 (3.84) Ba | 19.67 (1.20) Aa | |
| Mix. (1:3) | 17.67 (3.48) Aa | 21.00 (5.29) Aa | 15.33 (3.84) Aa | 19.00 (3.06) Aa | 7.67 (0.67) Aa | 10.33 (2.91) Aa | 6.33 (1.45) ABa | 8.00 (1.73) Aa | 25.33 (3.48) Aa | 31.33 (2.40) Aa | 21.67 (2.73) ABa | 27.00 (4.51) Aa | |
| Mix. (1:5) | 13.00 (2.08) Aa | 16.33 (1.86) Aa | 12.33 (0.88) Aa | 13.67 (1.20) Aa | 7.67 (2.60) Aa | 10.33 (2.40) Aa | 10.33 (2.02) ABa | 6.00 (2.08) Aa | 20.67 (3.28) Aa | 26.67 (2.07) Aa | 22.67 (1.67) ABa | 19.67 (1.20) Aa | |
| Tree Species | Mixing Ratio | DBH (cm) | H (m) | HCB (m) | CL(m) | CW (m) |
|---|---|---|---|---|---|---|
| B. alnoides | Mono. | 11.32 (0.89) a | 13.90 (0.52) a | 8.18 (0.45) a | 5.72 (0.82) a | 4.86 (0.39) b |
| Mix. (1:1) | 9.73 (0.43) a | 12.36 (0.38) b | 6.31 (0.63) b | 6.04 (0.40) a | 5.55 (0.27) ab | |
| Mix. (1:3) | 10.41 (0.58) a | 11.30 (0.45) b | 4.59 (0.55) c | 6.71 (0.53) a | 5.90 (0.49) ab | |
| Mix. (1:5) | 11.16 (0.43) a | 11.85 (0.16) b | 4.79 (0.32) c | 7.06 (0.28) a | 6.45 (0.36) a | |
| C. hystrix | Mono. | 7.34 (0.49) a | 9.64 (0.49) a | 0.26 (0.04) b | 2.30 (0.33) a | 4.69 (0.14) a |
| Mix. (1:1) | 6.27 (0.20) a | 8.50 (0.20) a | 0.37 (0.09) a | 2.23 (0.40) a | 4.58 (0.32) a | |
| Mix. (1:3) | 6.87 (0.13) a | 8.48 (0.13) a | 0.24 (0.03) b | 1.61 (0.63) a | 4.84 (0.12) a | |
| Mix. (1:5) | 6.77 (0.23) a | 8.14 (0.23) a | 0.27 (0.07) b | 1.91 (0.10) a | 4.19 (0.25) a |
Disclaimer/Publisher’s Note: The statements, opinions and data contained in all publications are solely those of the individual author(s) and contributor(s) and not of MDPI and/or the editor(s). MDPI and/or the editor(s) disclaim responsibility for any injury to people or property resulting from any ideas, methods, instructions or products referred to in the content. |
© 2025 by the authors. Licensee MDPI, Basel, Switzerland. This article is an open access article distributed under the terms and conditions of the Creative Commons Attribution (CC BY) license (https://creativecommons.org/licenses/by/4.0/).
Share and Cite
Zou, Y.; Wang, C.; Chang, Y.; Yin, H.; Dong, Q.; Zeng, J. Effects of Mixing Ratios on Branch Development in Young Mixed Plantations of Betula alnoides and Castanopsis hystrix. Plants 2025, 14, 3730. https://doi.org/10.3390/plants14243730
Zou Y, Wang C, Chang Y, Yin H, Dong Q, Zeng J. Effects of Mixing Ratios on Branch Development in Young Mixed Plantations of Betula alnoides and Castanopsis hystrix. Plants. 2025; 14(24):3730. https://doi.org/10.3390/plants14243730
Chicago/Turabian StyleZou, Yangdong, Chunsheng Wang, Yuhan Chang, Haifeng Yin, Qiong Dong, and Jie Zeng. 2025. "Effects of Mixing Ratios on Branch Development in Young Mixed Plantations of Betula alnoides and Castanopsis hystrix" Plants 14, no. 24: 3730. https://doi.org/10.3390/plants14243730
APA StyleZou, Y., Wang, C., Chang, Y., Yin, H., Dong, Q., & Zeng, J. (2025). Effects of Mixing Ratios on Branch Development in Young Mixed Plantations of Betula alnoides and Castanopsis hystrix. Plants, 14(24), 3730. https://doi.org/10.3390/plants14243730

