Light Regulation Under Equivalent Cumulative Light Integral: Impacts on Growth, Quality, and Energy Efficiency of Lettuce (Lactuca sativa L.) in Plant Factories
Abstract
1. Introduction
2. Results
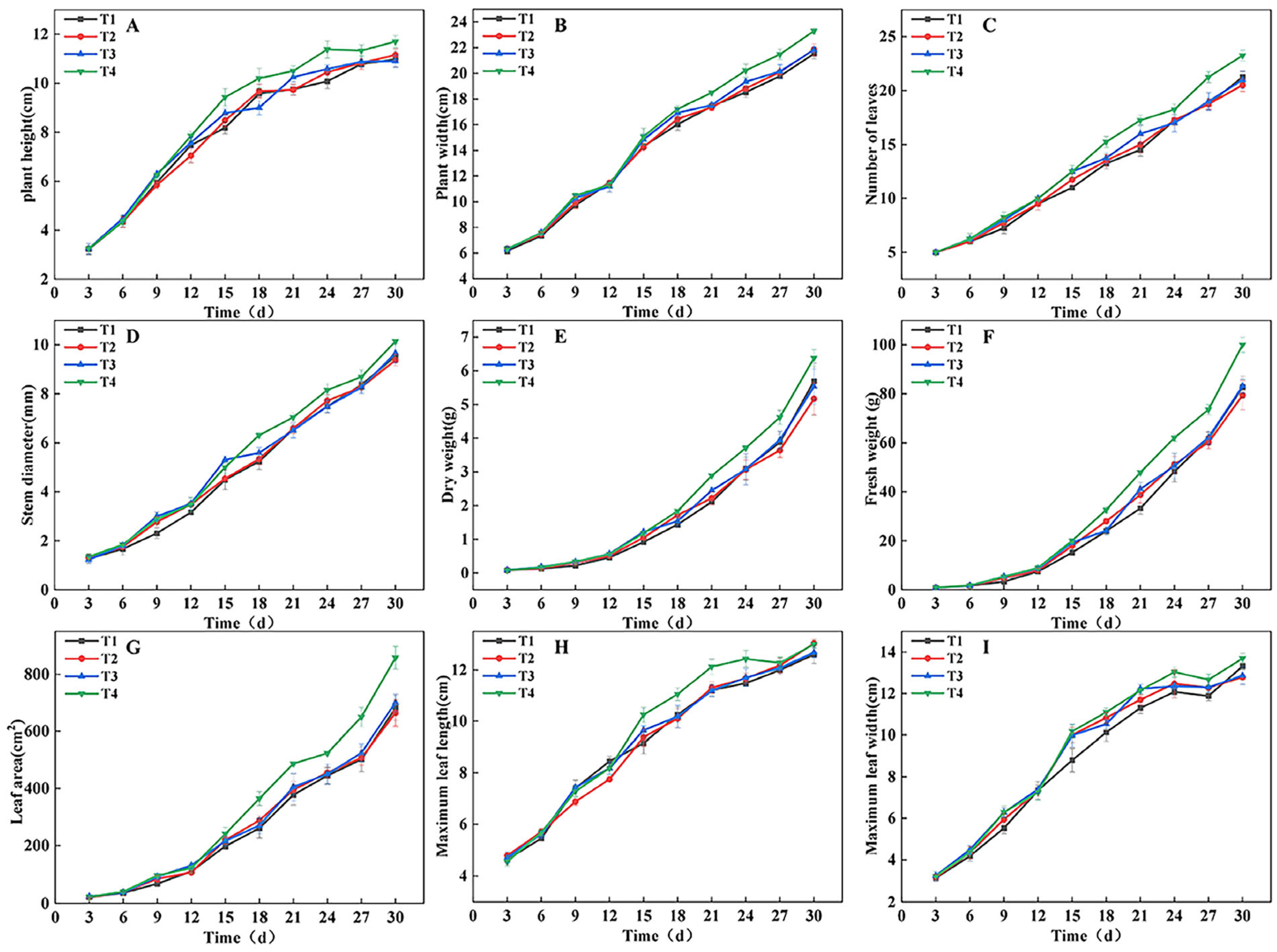
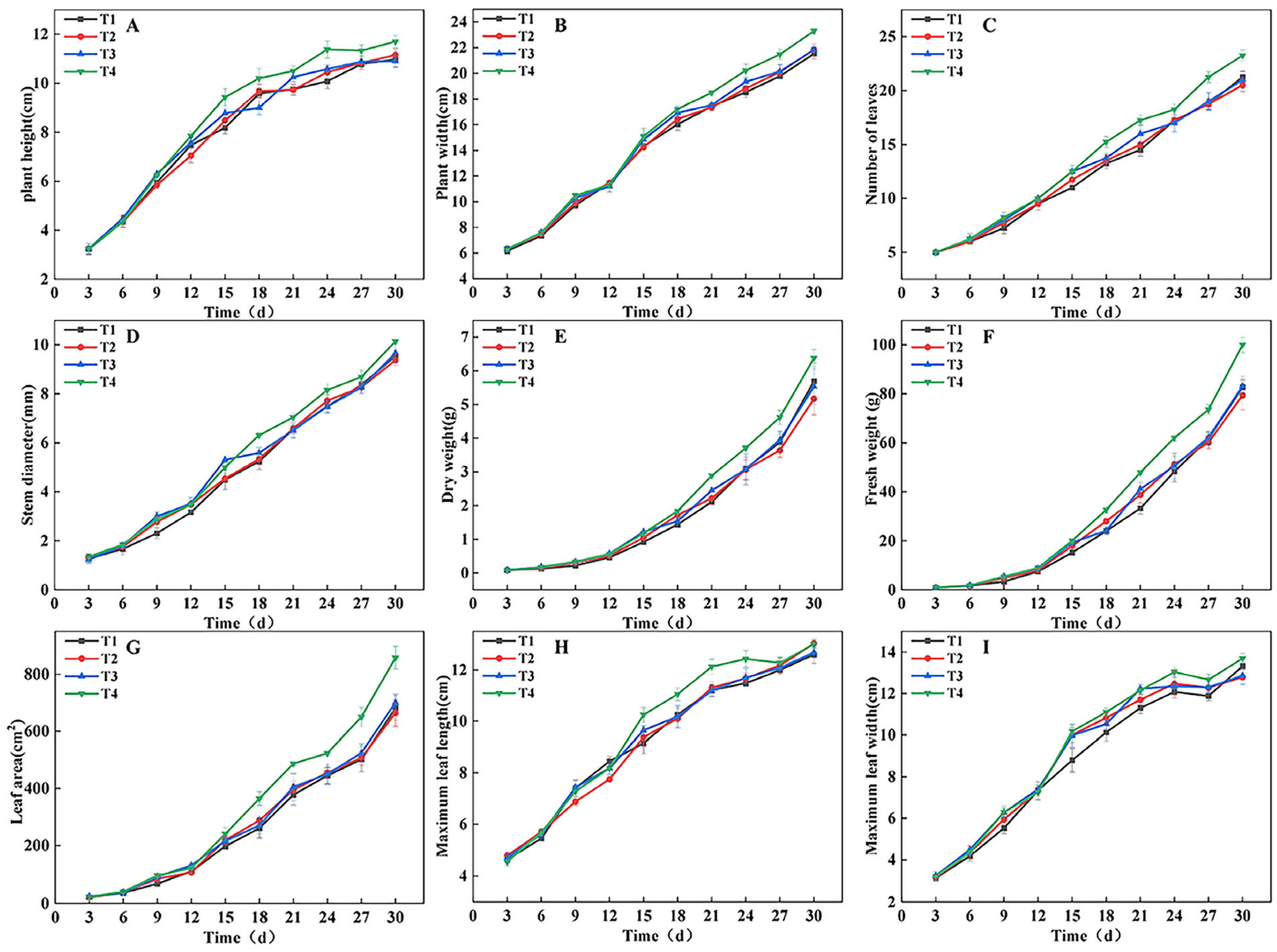
2.1. Effects of Different Treatments on Lettuce Growth and Development Under the Same CLI
2.2. Effects of Different Treatments on Lettuce SPAD, Photosynthetic Parameters, and Fluorescence Parameters Under the Same CLI
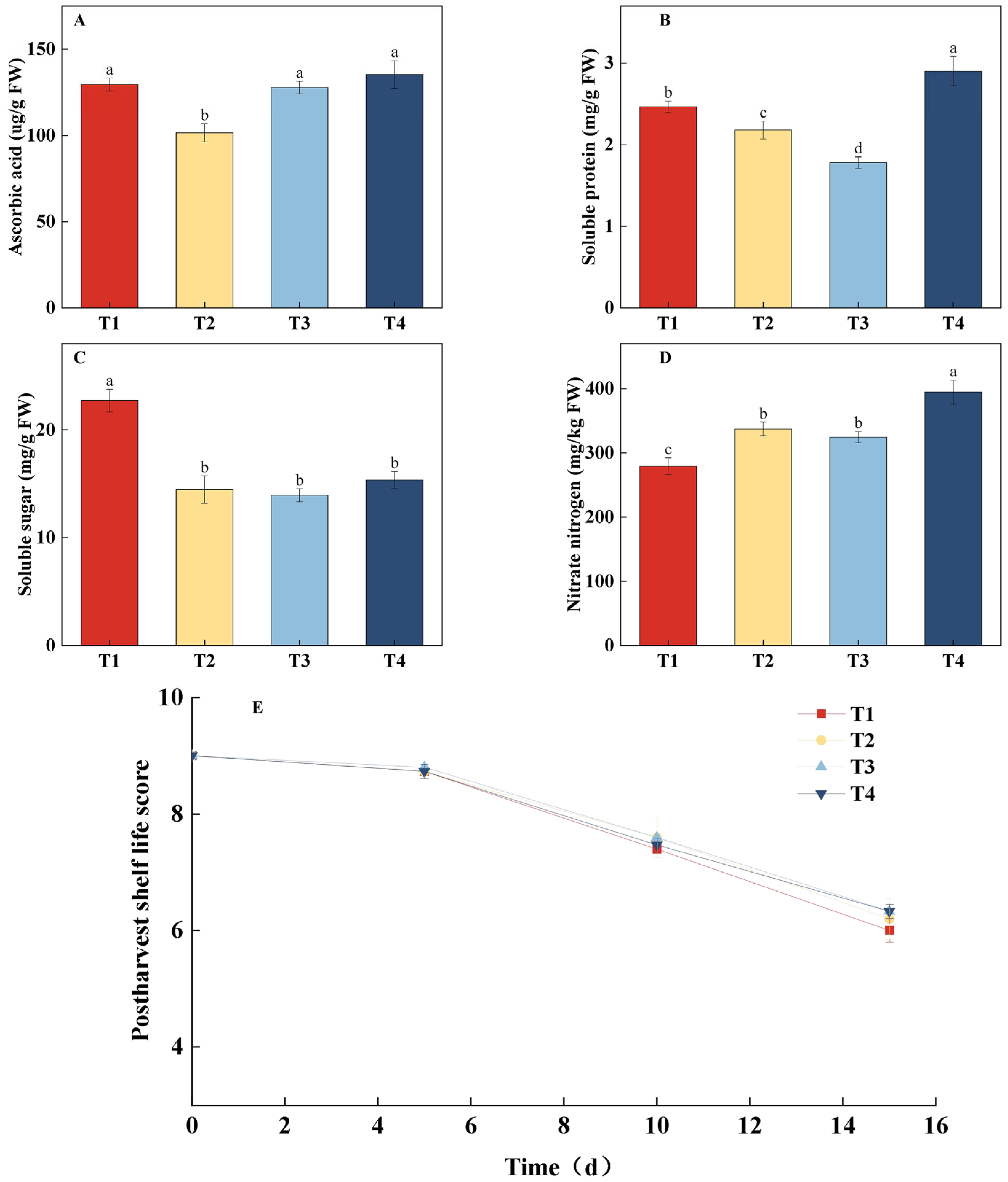
2.3. Effects of Different Treatments on Lettuce Quality and Postharvest Shelf Life Under the Same CLI
2.4. Effects of Different Treatments on Lettuce Energy Use Efficiency and Energy Consumption per Unit Yield Under the Same CLI
2.5. Correlation Analysis of Plant Morphology, Light Environment, and LUE/EUE
3. Discussion
4. Materials and Methods
4.1. Experimental Materials and Cultivation Environment
4.2. Measurement of Growth Parameters
4.3. Measurement of Chlorophyll and Carotenoid Content, Leaf Photosynthetic Rate, and Chlorophyll Fluorescence
4.4. Measurement of Soluble Sugars, Soluble Proteins, Ascorbic Acid and Nitrite Nitrogen
4.5. Calculation of Energy Use Efficiency and Light Integral
4.6. Shelf Life Evaluation of Postharvest
4.7. Statistical Analysis
5. Conclusions
Supplementary Materials
Author Contributions
Funding
Data Availability Statement
Conflicts of Interest
References
- Zhang, L.; Yang, X.; Li, T.; Gan, R.Y.; Wang, Z.; Peng, J.; Hu, J.-T.; Guo, J.; Zhang, Y.; Li, Q. Plant factory technology lights up urban horticulture in the post-coronavirus world. Hortic. Res. 2022, 9, uhac018. [Google Scholar] [CrossRef] [PubMed]
- He, W.; Min, P.; Li, J.; Xu, Z.; Gan, L. Potato Tuber Growth and Yield Under Red and Blue LEDs in Plant Factories. J. Plant Growth Regul. 2021, 41, 40–51. [Google Scholar] [CrossRef]
- Kozai, T.; Niu, G. Plant factory as a resource-efficient closed plant production system. In Plant Factory: An Indoor Vertical Farming System for Efficient Quality Food Production; Kozai, T., Niu, G., Takagaki, M., Eds.; Academic Press: Cambridge, MA, USA, 2016; pp. 77–78. [Google Scholar]
- Jaeger, S.R. Vertical farming (plant factory with artificial lighting) and its produce: Consumer insights. Curr. Opin. Food Sci. 2024, 150 Pt B, 110811. [Google Scholar] [CrossRef]
- Fu, Y.; Li, H.; Yu, J.; Liu, H.; Cao, Z.; Manukovsky, N.; Liu, H. Interaction effects of light intensity and nitrogen concentration on growth, photosynthetic characteristics and quality of lettuce (Lactuca sativa L. Var. youmaicai). Sci. Hortic. 2017, 214, 51–57. [Google Scholar] [CrossRef]
- Chu, Q.; Qin, Y.; Li, C.; Cheng, S.; Su, L.; He, Z.; Zhou, X.; Shao, D.; Guo, X. Effects of Different Photoperiods on the Growth and Nutritional Characteristics of Two Celery Cultivars in Plant Factory. Agronomy 2023, 13, 3039. [Google Scholar] [CrossRef]
- Fayezizadeh, M.R.; Ansari, N.A.; Sourestani, M.M.; Hasanuzzaman, M. Variations in photoperiods and their impact on yield, photosynthesis and secondary metabolite production in basil microgreens. BMC Plant Biol. 2024, 24, 712. [Google Scholar] [CrossRef]
- Miao, C.; Yang, S.; Xu, J.; Wang, H.; Zhang, Y.; Cui, J.; Zhang, H.; Jin, H.; Lu, P.; He, L.; et al. Effects of Light Intensity on Growth and Quality of Lettuce and Spinach Cultivars in a Plant Factory. Plants 2023, 12, 3337. [Google Scholar] [CrossRef]
- Kelly, N.; Choe, D.; Meng, Q.; Runkle, E.S. Promotion of lettuce growth under an increasing daily light integral depends on the combination of the photosynthetic photon flux density and photoperiod. Sci. Hortic. 2020, 272, 109565. [Google Scholar] [CrossRef]
- Faust, J.E.; Logan, J. Daily Light Integral: A Research Review and High-resolution Maps of the United States. Hortscience 2018, 53, 1250–1257. [Google Scholar] [CrossRef]
- Eghbal, E.; Aliniaeifard, S.; Mehrjerdi, M.Z.; Abdi, S.; Hassani, S.B.; Rassaie, T.; Gruda, N. Growth, phytochemical, and phytohormonal responses of basil to different light durations and intensities under constant daily light integral. BMC Plant Biol. 2024, 24, 935. [Google Scholar] [CrossRef]
- Chen, S.; Wang, D.; Lin, J.; Xu, Z. The Comprehensive Regulation of Light Intensity and Photoperiod on Growth and Yield of Virus-Free Potato Under the Same Daily Light Integral. Agronomy 2025, 15, 898. [Google Scholar] [CrossRef]
- Li, P.; Cheng, J.; Chen, N.; Yang, Y.; Li, D.; Yan, Z. Effects of Light Intensity and Photoperiod on the Seedling Quality of Different Pumpkin Varieties Under the Same Daily Light Integral. China Cucurbits Veg. 2023, 36, 42–48. [Google Scholar]
- Mao, H.; Hang, T.; Zhang, X.; Lu, N. Both Multi-Segment Light Intensity and Extended Photoperiod Lighting Strategies, with the Same Daily Light Integral, Promoted Lactuca sativa L. Growth and Photosynthesis. Agronomy 2019, 9, 857. [Google Scholar] [CrossRef]
- Yang, R.; Yang, H.; Ji, F.; He, D. Enhancing the Photon Yield of Hydroponic Lettuce Through Stage-Wise Optimization of the Daily Light Integral in an LED Plant Factory. Agronomy 2024, 14, 2949. [Google Scholar] [CrossRef]
- Jin, W.; Ji, Y.; Larsen, D.H.; Huang, Y.; Heuvelink, E.; Marcelis, L.F.M. Gradually increasing light intensity during the growth period increases dry weight production compared to constant or gradually decreasing light intensity in lettuce. Sci. Hortic. 2023, 311, 111807. [Google Scholar] [CrossRef]
- Xu, D.; Ahmed, H.A.M.; Tong, Y.; Yang, Q.; van Willigenburg, L.G. Optimal control as a tool to investigate the profitability of a Chinese plant factory—Lettuce production system. Biosyst. Eng. 2021, 208, 319–332. [Google Scholar] [CrossRef]
- Boros, I.F.; Székely, G.; Balázs, L.; Csambalik, L.; Sípos, L. Effects of LED lighting environments on lettuce (Lactuca sativa L.) in PFAL systems—A review. Sci. Hortic. 2023, 321, 112351. [Google Scholar] [CrossRef]
- Chutimanukul, P.; Wanichananan, P.; Janta, S.; Toojinda, T.; Darwell, C.T.; Mosaleeyanon, K. The influence of different light spectra on physiological responses, antioxidant capacity and chemical compositions in two holy basil cultivars. Sci. Rep. 2022, 12, 588. [Google Scholar] [CrossRef]
- Ji, F.; Wei, S.; Liu, N.; Xu, L.; Yang, P. Growth of cucumber seedlings in different varieties as affected by light environment. Int. J. Agric. Biol. Eng. 2020, 13, 73–78. [Google Scholar] [CrossRef]
- Zhang, X.; He, D.; Niu, G.; Yan, Z.; Song, J. Effects of environment lighting on the growth, photosynthesis, and quality of hydroponic lettuce in a plant factory. Int. J. Agric. Biol. Eng. 2018, 11, 33–40. [Google Scholar] [CrossRef]
- Erickson, E.; Wakao, S.; Niyogi, K.K. Light stress and photoprotection in Chlamydomonas reinhardtii. Plant J. 2015, 82, 449–465. [Google Scholar] [CrossRef]
- Ruban, A.V. Evolution under the sun: Optimizing light harvesting in photosynthesis. J. Exp. Bot. 2014, 66, 7–23. [Google Scholar] [CrossRef] [PubMed]
- Ling, Q.; Huang, W.; Jarvis, P. Use of a SPAD-502 meter to measure leaf chlorophyll concentration in Arabidopsis thaliana. Photosynth. Res. 2011, 107, 209–214. [Google Scholar] [CrossRef] [PubMed]
- Dodd, A.N.; Kusakina, J.; Hall, A.; Gould, P.D.; Hanaoka, M. The circadian regulation of photosynthesis. Photosynth. Res. 2014, 119, 181–190. [Google Scholar] [CrossRef] [PubMed]
- Magney, T.S.; Barnes, M.L.; Yang, X. On the covariation of chlorophyll fluorescence and photosynthesis across scales. Geophys. Res. Lett. 2020, 47, e2020GL091098. [Google Scholar] [CrossRef]
- Khuong, T.T.H.; Robaglia, C.; Caffarri, S. Photoprotection and growth under different lights of Arabidopsis single and double mutants for energy dissipation (npq4) and state transitions (pph1). Plant Cell Rep. 2019, 38, 741–753. [Google Scholar] [CrossRef]
- Yang, R.; Qiu, C.; Zheng, J.; Ji, F.; He, D.; Yang, P. LED supplementary strategy based on hourly light integral for improving the yield and quality of greenhouse strawberries. Int. J. Agric. Biol. Eng. 2024, 17, 96–104. [Google Scholar] [CrossRef]
- Chen, J.-m.; Yu, X.-p.; Cheng, J. The application of chlorophyll fluorescence kinetics in the study of physiological responses of plants to environmental stresses. Acta Agric. Zhejiangensis 2006, 18, 51. [Google Scholar]
- Maxwell, K.; Johnson, G.N. Chlorophyll fluorescence—A practical guide. J. Exp. Bot. 2000, 51, 659–668. [Google Scholar] [CrossRef]
- Fu, W.; Li, P.; Wu, Y. Effects of different light intensities on chlorophyll fluorescence characteristics and yield in lettuce. Sci. Hortic. 2012, 135, 45–51. [Google Scholar] [CrossRef]
- Demmig-Adams, B.; Garab, G.; Adams, W., III; Govindjee, U. Non-Photochemical Quenching and Energy Dissipation in Plants, Algae and Cyanobacteria; Springer: Berlin/Heidelberg, Germany, 2014; Volume 40. [Google Scholar]
- Agarwal, A.; Gupta, S.D.; Barman, M.; Mitra, A. Photosynthetic apparatus plays a central role in photosensitive physiological acclimations affecting spinach (Spinacia oleracea L.) growth in response to blue and red photon flux ratios. Environ. Exp. Bot. 2018, 156, 170–182. [Google Scholar] [CrossRef]
- Loewus, F.A. Biosynthesis and metabolism of ascorbic acid in plants and of analogs of ascorbic acid in fungi. Phytochemistry 1999, 52, 193–210. [Google Scholar] [CrossRef]
- Yan, Z.; He, D.; Niu, G.; Zhou, Q.; Qu, Y. Growth, nutritional quality, and energy use efficiency of hydroponic lettuce as influenced by daily light integrals exposed to white versus white plus red light-emitting diodes. HortScience 2019, 54, 1737–1744. [Google Scholar] [CrossRef]
- Gao, W.; He, D.; Ji, F.; Zhang, S.; Zheng, J. Effects of daily light integral and LED spectrum on growth and nutritional quality of hydroponic spinach. Agronomy 2020, 10, 1082. [Google Scholar] [CrossRef]
- Vadiee, A.; Yaghoubi, M.; Sardella, M.; Farjam, P. Energy analysis of fuel cell system for commercial greenhouse application–A feasibility study. Energy Convers. Manag. 2015, 89, 925–932. [Google Scholar] [CrossRef]
- Gent, M.P.N. Effect of temperature on composition of hydroponic lettuce. Acta Hortic. 2016, 1123, 95–100. [Google Scholar] [CrossRef]
- Susilo, K.R.; Eu, A.; Besemer, B.; Heuvelink, E.; de Vos, R.C.H.; Marcelis, L.F.M. Extended photoperiod improves growth and nutritional quality of pak choi under constant daily light integral. Front. Plant Sci. 2025, 16, 1621513. [Google Scholar] [CrossRef] [PubMed]
- Min, Q.; Marcelis, L.F.M.; Nicole, C.C.S.; Woltering, E.J. High Light Intensity Applied Shortly Before Harvest Improves Lettuce Nutritional Quality and Extends the Shelf Life. Front. Plant Sci. 2021, 12, 615355. [Google Scholar] [CrossRef]
- Skarżyński, K.; Wiśniewski, A. The reflections on energy costs and efficacy problems of modern LED lamps. Energy Rep. 2024, 12, 4926–4937. [Google Scholar] [CrossRef]
- Rahman, A.; Lee, S.-H.; Park, H.S.; Min, C.-W.; Woo, J.H.; Choi, B.R.; Rahman, M.; Lee, K.-W. Light Quality Plays a Crucial Role in Regulating Germination, Photosynthetic Efficiency, Plant Development, Reactive Oxygen Species Production, Antioxidant Enzyme Activity, and Nutrient Acquisition in Alfalfa. Int. J. Mol. Sci. 2025, 26, 360. [Google Scholar] [CrossRef]
- Chen, R.; Wang, Z.; Liu, W.; Ding, Y.; Zhang, Q.; Wang, S. Side Lighting of Red, Blue and Green Spectral Combinations Altered the Growth, Yield and Quality of Lettuce (Lactuca sativa L. cv. “Yidali”) in Plant Factory. Plants 2023, 12, 4147. [Google Scholar] [CrossRef] [PubMed]
- Kohyama, K.; Nishinari, K. Effect of soluble sugars on gelatinization and retrogradation of sweet potato starch. J. Agric. Food Chem. 1991, 39, 1406–1410. [Google Scholar] [CrossRef]
- Blakesley, R.W.; Boezi, J.A. A new staining technique for proteins in polyacrylamide gels using Coomassie brilliant blue G250. Anal. Biochem. 1977, 82, 580–582. [Google Scholar] [CrossRef]
- Sharaa, I.E.; Mussa, S.B. Determination of vitamin C (ascorbic acid) contents in vegetable samples by UV-spectrophotometry and redox titration methods and estimation the effect of time, cooking and frozen on ascorbic acid contents. Int. J. Progress. Sci. Technol. 2019, 15, 281–293. [Google Scholar]
- Cataldo, D.A.; Maroon, M.; Schrader, L.E.; Youngs, V.L. Rapid colorimetric determination of nitrate in plant tissue by nitration of salicylic acid. Commun. Soil Sci. Plant Anal. 1975, 6, 71–80. [Google Scholar] [CrossRef]
- Kozai, T. Resource use efficiency of closed plant production system with artificial light: Concept, estimation and application to plant factory. Proc. Jpn. Acad. Ser. B 2013, 89, 447–461. [Google Scholar] [CrossRef]
- Thimijan, R. A review of conversion constants and procedures for photometric, radiometric, and quantum light units of measure. Hort. Sci. 1983, 18, 818–822. [Google Scholar]







| Growth Stage | PPFD (μmol m−2 s−1) | Photoperiod (h) | Phase Objective & Expected Outcome |
|---|---|---|---|
| Stage I: Canopy Establishment (Days 1–10 after transplanting) | 200 ± 5 | 17.5 | Objective: To promote rapid leaf expansion and canopy formation. Outcome: Establishes sufficient photosynthetic area, laying the foundation for high yield. |
| Stage II: Biomass Accumulation (Days 11–20) | 250 ± 5 | 16 | Objective: To balance photosynthesis and respiration for efficient biomass accumulation. Outcome: Maintains vigorous growth momentum and optimizes the conversion efficiency of light to biomass. |
| Stage III: Yield Maximization (Days 21–30 until harvest) | 300 ± 5 | 15 | Objective: To maximize the synthesis and accumulation of photosynthetic assimilates. Outcome: Achieves the highest fresh weight yield, while the reduced photoperiod partially offsets the increased energy consumption from higher PPFD. |
| Fertilizer Name | Units (mg/L) | Fertilizer Name | Units (mg/L) |
|---|---|---|---|
| 5Ca(NO3)2·NH4NO3·10H2O | 1188.78 | MnSO4·H2O | 2.13 |
| NH4H2PO4 | 132.284 | Na2B4O7·10H2O | 4.41 |
| MgSO4·7H2O | 246.47 | ZnSO4·7H2O | 0.22 |
| KNO3 | 369 | CuSO4·5H2O | 0.08 |
| K2SO4 | 121.968 | (NH4)6Mo7O24·4H2O | 0.02 |
| EDTA-Fe | 40 |
Disclaimer/Publisher’s Note: The statements, opinions and data contained in all publications are solely those of the individual author(s) and contributor(s) and not of MDPI and/or the editor(s). MDPI and/or the editor(s) disclaim responsibility for any injury to people or property resulting from any ideas, methods, instructions or products referred to in the content. |
© 2025 by the authors. Licensee MDPI, Basel, Switzerland. This article is an open access article distributed under the terms and conditions of the Creative Commons Attribution (CC BY) license (https://creativecommons.org/licenses/by/4.0/).
Share and Cite
Chen, J.; Zhu, C.; Li, R.; Zhou, Z.; Miao, C.; Wang, H.; Li, R.; Wu, S.; Zhang, Y.; Cui, J.; et al. Light Regulation Under Equivalent Cumulative Light Integral: Impacts on Growth, Quality, and Energy Efficiency of Lettuce (Lactuca sativa L.) in Plant Factories. Plants 2025, 14, 3469. https://doi.org/10.3390/plants14223469
Chen J, Zhu C, Li R, Zhou Z, Miao C, Wang H, Li R, Wu S, Zhang Y, Cui J, et al. Light Regulation Under Equivalent Cumulative Light Integral: Impacts on Growth, Quality, and Energy Efficiency of Lettuce (Lactuca sativa L.) in Plant Factories. Plants. 2025; 14(22):3469. https://doi.org/10.3390/plants14223469
Chicago/Turabian StyleChen, Jianwen, Cuifang Zhu, Ruifang Li, Zihan Zhou, Chen Miao, Hong Wang, Rongguang Li, Shaofang Wu, Yongxue Zhang, Jiawei Cui, and et al. 2025. "Light Regulation Under Equivalent Cumulative Light Integral: Impacts on Growth, Quality, and Energy Efficiency of Lettuce (Lactuca sativa L.) in Plant Factories" Plants 14, no. 22: 3469. https://doi.org/10.3390/plants14223469
APA StyleChen, J., Zhu, C., Li, R., Zhou, Z., Miao, C., Wang, H., Li, R., Wu, S., Zhang, Y., Cui, J., Ding, X., & Jiang, Y. (2025). Light Regulation Under Equivalent Cumulative Light Integral: Impacts on Growth, Quality, and Energy Efficiency of Lettuce (Lactuca sativa L.) in Plant Factories. Plants, 14(22), 3469. https://doi.org/10.3390/plants14223469

