Mapping and Chemical Diversity of Baccharis dracunculifolia De Candole (1836) Essential Oil Accessed in Rio de Janeiro, Brazil
Abstract
1. Introduction
2. Results
2.1. Collection, Yield, and Physicochemical Analysis of Essential Oils
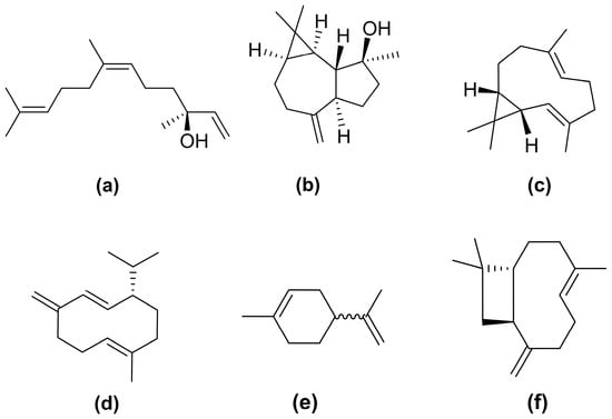
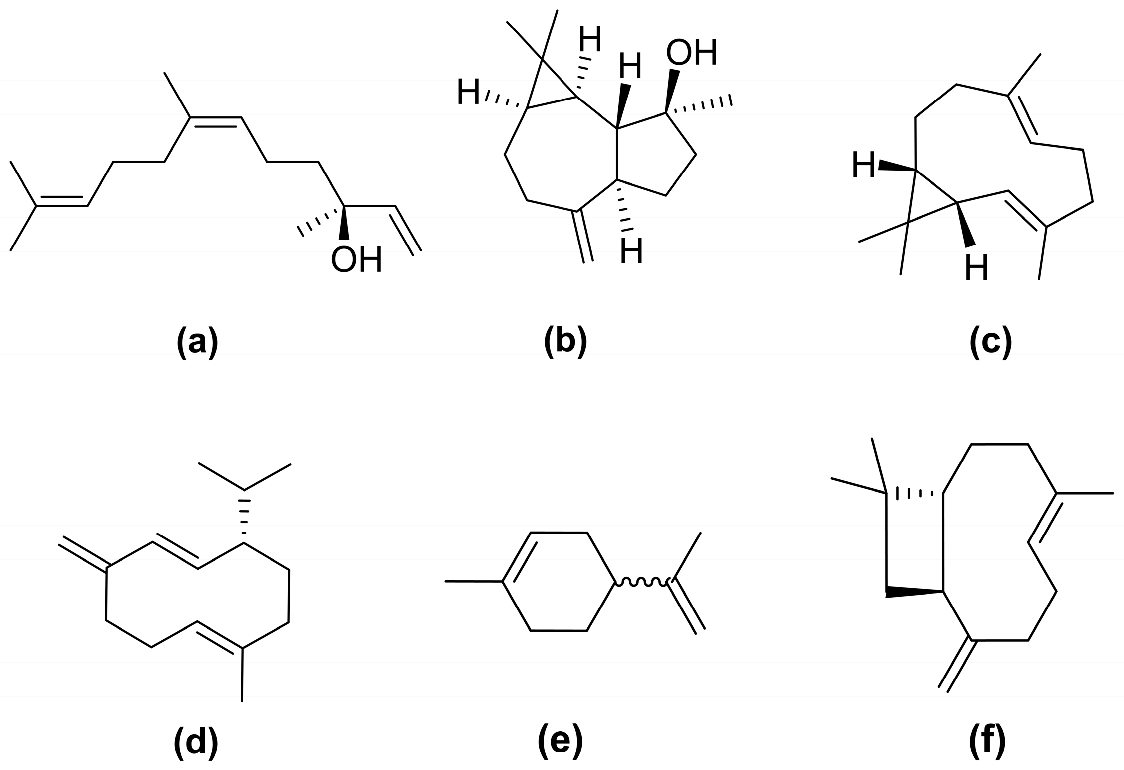
2.2. Chemical Composition of Essential Oils
2.3. Chemodiversity of Essential Oils
3. Discussion
4. Materials and Methods
4.1. Research Authorization
4.2. Plant Prospecting and Collection
4.3. Essential Oil Distillation
4.4. Physicochemical Analyses
4.5. GC-FID and GC–MS Analyses
4.6. Chemotype Characterization
4.7. Calculation of Diversity Indices
4.8. Statistical Analyses
4.8.1. Descriptive and Inferential Statistics
4.8.2. Multivariate Analysis
5. Conclusions
Supplementary Materials
Author Contributions
Funding
Data Availability Statement
Conflicts of Interest
Abbreviations
| ANOVA | Analysis of Variance |
| CAM | Multiuser Analytical Center |
| CT | Chemotype |
| FID | Flame Ionization Detector |
| GC-FID | Gas Chromatography with Flame Ionization Detection |
| GC-MS | Gas Chromatography–Mass Spectrometry |
| ICMBio | Chico Mendes Institute for Biodiversity Conservation |
| INEA | State Institute for the Environment (Rio de Janeiro, Brazil) |
| ISO | International Organization for Standardization |
| LRI | Linear Retention Index |
| MH | Monoterpene Hydrocarbons |
| OM | Oxygenated Monoterpenes |
| OS | Oxygenated Sesquiterpenes |
| PCA | Principal Component Analysis |
| SciPy | Scientific Python Library |
| SH | Sesquiterpene Hydrocarbons |
| SisGen | National System for the Management of Genetic Heritage and Associated Traditional Knowledge, Brazil |
| UPGMA | Unweighted Pair Group Method with Arithmetic Mean |
References
- Ministério do Meio Ambiente Brasil. Convenção Sobre Diversidade Biológica (CDB); Série Biodiversidade no. 1; Ministério do Meio Ambiente: Brasília, Brazil, 1992; ISBN 0103-9801. [Google Scholar]
- Gomes-da-Silva, J.; Filardi, F.L.R.; Barbosa, M.R.V.; Baumgratz, J.F.A.; Bicudo, C.E.M.; Cavalcanti, T.B.; Coelho, M.A.N.; Costa, A.F.; Costa, D.P.; Dalcin, E.C.; et al. Brazilian Flora 2020: Leveraging the Power of a Collaborative Scientific Network. Taxon 2022, 71, 178–198. [Google Scholar] [CrossRef]
- Minteguiaga, M.; González, H.A.; Ferreira, F.; Dellacassa, E. Baccharis dracunculifolia DC. In Medicinal and Aromatic Plants of South America; Springer: Cham, Switzerland, 2021; pp. 85–105. [Google Scholar]
- Armstrong, L.; Raeski, P.A.; de Almeida, V.P.; Minteguiaga, M.; Novatski, A.; Raman, V.; Gasparotto Junior, A.; Naman, C.B.; Manfron, J. Baccharis dracunculifolia DC. A Review of Research Advances from 2004 to 2024, with New Micromorphology and Essential Oil Investigations. J. Herb. Med. 2024, 48, 100952. [Google Scholar] [CrossRef]
- Brandenburg, M.M.; Rocha, F.G.; Pawloski, P.L.; Soley, B.d.S.; Rockenbach, A.; Scharf, D.R.; Heiden, G.; Ascari, J.; Cabrini, D.A.; Otuki, M.F. Baccharis dracunculifolia (Asteraceae) Essential Oil Displays Anti-Inflammatory Activity in Models of Skin Inflammation. J. Ethnopharmacol. 2020, 259, 112840. [Google Scholar] [CrossRef]
- dos Reis Lívero, F.A.; da Silva, L.M.; Ferreira, D.M.; Galuppo, L.F.; Borato, D.G.; Prando, T.B.L.; Lourenço, E.L.B.; Strapasson, R.L.B.; Stefanello, M.É.A.; de Paula Werner, M.F.; et al. Hydroethanolic Extract of Baccharis Trimera Promotes Gastroprotection and Healing of Acute and Chronic Gastric Ulcers Induced by Ethanol and Acetic Acid. Naunyn. Schmiedebergs. Arch. Pharmacol. 2016, 389, 985–998. [Google Scholar] [CrossRef]
- Pádua, B.C.; Rossoni Júnior, J.V.; de Brito Magalhães, C.L.; Chaves, M.M.; Silva, M.E.; Pedrosa, M.L.; de Souza, G.H.B.; Brandão, G.C.; Rodrigues, I.V.; Lima, W.G.; et al. Protective Effect of Baccharis trimera Extract on Acute Hepatic Injury in a Model of Inflammation Induced by Acetaminophen. Mediators Inflamm. 2014, 2014, 196598. [Google Scholar] [CrossRef]
- Gazim, Z.C.; Valle, J.S.; Carvalho dos Santos, I.; Rahal, I.L.; Silva, G.C.C.; Lopes, A.D.; Ruiz, S.P.; Faria, M.G.I.; Piau Junior, R.; Gonçalves, D.D. Ethnomedicinal, Phytochemical and Pharmacological Investigations of Baccharis dracunculifolia DC. (ASTERACEAE). Front. Pharmacol. 2022, 13, 1048688. [Google Scholar] [CrossRef]
- da Silva, L.A.; Malfatti, C.R.M.; Penteado, R.; Brasil, M.R.; Soares, K.C.N. Immunomodulation and Anti-Inflammatory Effects of Baccharis dracunculifolia and Brazilian Green Propolis: A Integrative Literature Review. Res. Soc. Dev. 2022, 11, e183111133358. [Google Scholar] [CrossRef]
- Corrêa, A.N.R.; Clerici, N.J.; de Paula, N.O.; Brandelli, A. Antifungal and Antioxidant Protection of Baccharis dracunculifolia Essential Oil and Nerolidol Nanoparticles Against Fusarium-Induced Spoilage in Corn Grains. Food Bioprocess Technol. 2025, 18, 9691–9705. [Google Scholar] [CrossRef]
- Amancio, M.B.; Oki, Y.; Fernandes, G.W.; Rago, C.; Góes-Neto, A.; de Carvalho Azevedo, V.A. Innovation and Knowledge of Prospective Studies on the Genus Baccharis. In Baccharis: From Evolutionary and Ecological Aspects to Social Uses and Medicinal Applications; Springer International Publishing: Cham, Switzerland, 2021; pp. 475–503. [Google Scholar]
- Ramos Campos, F.; Bressan, J.; Godoy Jasinski, V.C.; Zuccolotto, T.; da Silva, L.E.; Bonancio Cerqueira, L. Baccharis (Asteraceae): Chemical Constituents and Biological Activities. Chem. Biodivers. 2016, 13, 1–17. [Google Scholar] [CrossRef]
- ISO 9235:2021; Aromatic Natural Raw Materials—Vocabulary. ISO: Geneva, Switzerland, 2021.
- Baser, K.H.C.; Buchbauer, G. Handbook of Essential Oils: Science, Technology, and Applications; Baser, K.H.C., Buchbauer, G., Eds.; CRC Press: Boca Raton, FL, USA, 2010; ISBN 9781420063158. [Google Scholar]
- Bizzo, H.; Rezende, C. O mercado de óleos essenciais no Brasil e no mundo na última década. Quim. Nova 2022, 45, 949–958. [Google Scholar] [CrossRef]
- ISO 279:1998; Essential Oils—Determination of Relative Density at 20 Degrees C—Reference Method. ISO: Geneva, Switzerland, 1998.
- ISO 280:1998; Essential Oils—Determination of Refractive Index. ISO: Geneva, Switzerland, 1998.
- ISO 592:1998; Essential Oils—Determination of Optical Rotation. ISO: Geneva, Switzerland, 1998.
- ISO 7609:1985; Essential Oils-Analysis by Gas Chromatography on Capillary Columns-General Method. International Organization for Standardization: Geneva, Switzerland, 1985.
- Furlan, P.H.; Silva, J.C.R.L.; Facanali, R.; Soares, D.M.; Cabral, M.N.F.; Rodrigues, T.M.; Martins, A.R.; da Gloria, E.M.; Marques, M.O.M. Baccharis dracunculifolia DC: Climate-Driven Metabolomic Variability in Essential Oils, Trichomes, and Antifungal Activity. ACS Agric. Sci. Technol. 2025, 5, 2003–2020. [Google Scholar] [CrossRef]
- Fabiane, K.C.; Ferronatto, R.; dos Santos, A.C.; Onofre, S.B. Physicochemical Characteristics of the Essential Oils of Baccharis dracunculifolia and Baccharis uncinella D.C. (Asteraceae). Rev. Bras. Farmacogn. 2008, 18, 197–203. [Google Scholar] [CrossRef]
- Cazella, L.N.; Glamoclija, J.; Soković, M.; Gonçalves, J.E.; Linde, G.A.; Colauto, N.B.; Gazim, Z.C. Antimicrobial Activity of Essential Oil of Baccharis dracunculifolia DC (Asteraceae) Aerial Parts at Flowering Period. Front. Plant Sci. 2019, 10, 27. [Google Scholar] [CrossRef]
- Massignani, J.J.; Lemos, M.; Maistro, E.L.; Schaphauser, H.P.; Jorge, R.F.; Sousa, J.P.B.; Bastos, J.K.; de Andrade, S.F. Antiulcerogenic Activity of the Essential Oil of Baccharis dracunculifolia on Different Experimental Models in Rats. Phyther. Res. 2009, 23, 1355–1360. [Google Scholar] [CrossRef]
- Parreira, N.A.; Magalhães, L.G.; Morais, D.R.; Caixeta, S.C.; de Sousa, J.P.B.; Bastos, J.K.; Cunha, W.R.; Silva, M.L.A.; Nanayakkara, N.P.D.; Rodrigues, V.; et al. Antiprotozoal, Schistosomicidal, and Antimicrobial Activities of the Essential Oil from the Leaves of Baccharis dracunculifolia. Chem. Biodivers. 2010, 7, 993–1001. [Google Scholar] [CrossRef]
- Pedrotti, C.; da Silva Ribeiro, R.T.; Schwambach, J. Control of Postharvest Fungal Rots in Grapes through the Use of Baccharis trimera and Baccharis dracunculifolia Essential Oils. Crop Prot. 2019, 125, 104912. [Google Scholar] [CrossRef]
- Alves, K.F.; Caetano, F.H.; Pereira Garcia, I.J.; Santos, H.L.; Silva, D.B.; Siqueira, J.M.; Tanaka, A.S.; Alves, S.N. Baccharis dracunculifolia (Asteraceae) Essential Oil Toxicity to Culex quinquefasciatus (Culicidae). Environ. Sci. Pollut. Res. 2018, 25, 31718–31726. [Google Scholar] [CrossRef]
- Salazar, G.J.T.; de Sousa, J.P.; Lima, C.N.F.; Lemos, I.C.S.; da Silva, A.R.P.; de Freitas, T.S.; Coutinho, H.D.M.; da Silva, L.E.; do Amaral, W.; Deschamps, C. Phytochemical Characterization of the Baccharis dracunculifolia DC (Asteraceae) Essential Oil and Antibacterial Activity Evaluation. Ind. Crops Prod. 2018, 122, 591–595. [Google Scholar] [CrossRef]
- de Assis Lage, T.C.; Montanari, R.M.; Fernandes, S.A.; de Oliveira Monteiro, C.M.; de Oliveira Souza Senra, T.; Zeringota, V.; da Silva Matos, R.; Daemon, E. Chemical Composition and Acaricidal Activity of the Essential Oil of Baccharis dracunculifolia De Candole (1836) and Its Constituents Nerolidol and Limonene on Larvae and Engorged Females of Rhipicephalus microplus (Acari: Ixodidae). Exp. Parasitol. 2015, 148, 24–29. [Google Scholar] [CrossRef]
- Luchesi, L.A.; Paulus, D.; Busso, C.; Frata, M.T.; Oliveira, J.B. Chemical Composition, Antifungal and Antioxidant Activity of Essential Oils from Baccharis dracunculifolia and Pogostemon Cablin against Fusarium graminearum. Nat. Prod. Res. 2022, 36, 849–852. [Google Scholar] [CrossRef] [PubMed]
- Queiroga, C.L.; Cavalcante, M.Q.; Ferraz, P.C.; Coser, R.N.; Sartoratto, A.; de Magalhães, P.M. High-Speed Countercurrent Chromatography as a Tool to Isolate Nerolidol from the Baccharis dracunculifolia Volatile Oil. J. Essent. Oil Res. 2014, 26, 334–337. [Google Scholar] [CrossRef]
- Miranda, C.A.S.F.; Cardoso, M.d.G.; Batista, L.R.; Rodrigues, L.M.A.; Figueiredo, A.C.d.S. Essential Oils from Leaves of Various Species: Antioxidant and Antibacterial Properties on Growth in Pathogenic Species. Rev. Ciência Agronômica 2016, 47, 213–220. [Google Scholar] [CrossRef][Green Version]
- Hu, H.; Li, D.; Bai, R.; Zhang, W.; Luo, H.; Yu, E. Chemodiversity and Bioactivity of the Essential Oils of Juniperus and Implication for Taxonomy. Int. J. Mol. Sci. 2023, 24, 15203. [Google Scholar] [CrossRef] [PubMed]
- de Brito Machado, D.; Felisberto, J.S.; de Queiroz, G.A.; Guimarães, E.F.; Ramos, Y.J.; Moreira, D.d.L. From Leaves to Reproductive Organs: Chemodiversity and Chemophenetics of Essential Oils as Important Tools to Evaluate Piper mollicomum Kunth Chemical Ecology Relevance in the Neotropics. Plants 2024, 13, 2497. [Google Scholar] [CrossRef]
- Toledo-González, K.A.; Riley-Saldaña, C.A.; Salas-Lizana, R.; De-la-Cruz-Chacón, I.; González-Esquinca, A.R. Alkaloid Induction by the Interaction between Annona purpurea Moc. & Sessé Ex Dunal Curvularia lunata (Wakker) Boedijn and Rhizopus stolonifer Ehrenb. (Ex Fr.) Lind. Phytochem. Lett. 2025, 67, 102958. [Google Scholar] [CrossRef]
- Frizzo, C.D.; Atti-Serafini, L.; Laguna, S.E.; Cassel, E.; Lorenzo, D.; Dellacassa, E. Essential Oil Variability in Baccharis uncinella DC and Baccharis dracunculifolia DC Growing Wild in Southern Brazil, Bolivia and Uruguay. Flavour Fragr. J. 2008, 23, 99–106. [Google Scholar] [CrossRef]
- da Silva Monteiro, E.; de Sousa Monteiro, K.; da Silva Montes, P.; da Camara, C.A.G.; Moraes, M.M.; Fagg, C.W.; Oliveira Freire, D.; Fortes Gris, E.; Rodrigues da Silva, I.C.; Sá-Barreto, L.C.; et al. Chemical and Antibacterial Properties of Baccharis dracunculifolia DC Essential Oils from Different Regions of Brazil. J. Essent. Oil Res. 2022, 34, 524–532. [Google Scholar] [CrossRef]
- Tomazzoli, M.M.; Do Amaral, W.; Raupp Cipriano, R.; Cerioni Belniaki, A.; de Cássia Tomasi, J.; Maia, B.H.L.N.S.; Deschamps, C. Chemical Analyses and Antioxidant Activity of the Essential Oils from Baccharis dracunculifolia DC. In Southern Brazil. J. Essent. Oil Res. 2024, 36, 342–352. [Google Scholar] [CrossRef]
- Rigotti, M.; Facanali, R.; Haber, L.L.; Vieira, M.A.R.; Isobe, M.T.C.; Cavallari, M.M.; Bajay, M.M.; Zucchi, M.I.; Pinheiro, J.B.; Marques, M.O.M. Chemical and Genetic Diversity of Baccharis dracunculifolia DC. (Asteraceae) from the Cerrado Biome. Biochem. Syst. Ecol. 2023, 111, 104735. [Google Scholar] [CrossRef]
- de Sousa, J.P.B.; Jorge, R.F.; Leite, M.F.; Furtado, N.A.J.C.; Bastos, J.K.; da Silva Filho, A.A.; Queiroga, C.L.; de Magalhães, P.M.; Soares, A.E.E. Seasonal Variation of the (E)-Nerolidol and Other Volatile Compounds Within Ten Different Cultivated Populations of Baccharis dracunculifolia D.C. (Asteraceae). J. Essent. Oil Res. 2009, 21, 308–314. [Google Scholar] [CrossRef]
- Chan, W.-K.; Tan, L.; Chan, K.-G.; Lee, L.-H.; Goh, B.-H. Nerolidol: A Sesquiterpene Alcohol with Multi-Faceted Pharmacological and Biological Activities. Molecules 2016, 21, 529. [Google Scholar] [CrossRef]
- Ayhan, İ.; Turkmen, N.B.; Taslidere, A.; Aydin, M.; Ciftci, O. Protective Effect of Nerolidol on Paclitaxel-Induced Reproductive Toxicity in Rats: Oxidative Stress and Inflammation. Basic Clin. Pharmacol. Toxicol. 2025, 136, e14126. [Google Scholar] [CrossRef] [PubMed]
- De Carvalho, R.B.F.; De Almeida, A.A.C.; Campelo, N.B.; Lellis, D.R.O.D.; Nunes, L.C.C. Nerolidol and Its Pharmacological Application in Treating Neurodegenerative Diseases: A Review. Recent Pat. Biotechnol. 2018, 12, 158–168. [Google Scholar] [CrossRef]
- Dzul-Beh, A.d.J.; García-Sosa, K.; Uc-Cachón, A.H.; Bórquez, J.; Loyola, L.A.; Barrios-García, H.B.; Peña-Rodríguez, L.M.; Molina-Salinas, G.M. In Vitro Growth Inhibition and Bactericidal Activity of Spathulenol against Drug-Resistant Clinical Isolates of Mycobacterium tuberculosis. Rev. Bras. Farmacogn. 2019, 29, 798–800. [Google Scholar] [CrossRef]
- do Nascimento, K.F.; Moreira, F.M.F.; Alencar Santos, J.; Kassuya, C.A.L.; Croda, J.H.R.; Cardoso, C.A.L.; Vieira, M.d.C.; Góis Ruiz, A.L.T.; Ann Foglio, M.; de Carvalho, J.E.; et al. Antioxidant, Anti-Inflammatory, Antiproliferative and Antimycobacterial Activities of the Essential Oil of Psidium Guineense Sw. and Spathulenol. J. Ethnopharmacol. 2018, 210, 351–358. [Google Scholar] [CrossRef] [PubMed]
- Soares, K.D.; Bordignon, S.A.L.; Apel, M.A. Chemical Composition and Anti-Inflammatory Activity of the Essential Oils of Piper gaudichaudianum and Piper mikanianum. J. Ethnopharmacol. 2022, 297, 115533. [Google Scholar] [CrossRef]
- Mozuraitis, R.; Stranden, M.; Ramirez, M.I.; Borg-Karlson, A.K.; Mustaparta, H. (-)-Germacrene D Increases Attraction and Oviposition by the Tobacco Budworm Moth Heliothis virescens. Chem. Senses 2002, 27, 505–509. [Google Scholar] [CrossRef]
- Liu, J.; Chen, C.; Wan, X.; Yao, G.; Bao, S.; Wang, F.; Wang, K.; Song, T.; Han, P.; Jiang, H. Identification of the Sesquiterpene Synthase AcTPS1 and High Production of (–)-Germacrene D in Metabolically Engineered Saccharomyces cerevisiae. Microb. Cell Fact. 2022, 21, 89. [Google Scholar] [CrossRef]
- Šveistytė, L.; Gelvonauskis, B. Medicinal and Aromatic Plants Genetic Resources Conservation System in Lithuania. Acta Hortic. 2010, 860, 27–31. [Google Scholar] [CrossRef]
- Chen, S.-L.; Yu, H.; Luo, H.-M.; Wu, Q.; Li, C.-F.; Steinmetz, A. Conservation and Sustainable Use of Medicinal Plants: Problems, Progress, and Prospects. Chin. Med. 2016, 11, 37. [Google Scholar] [CrossRef]
- Rocha, F.; Serra, O.; Vaz, M.; Silva, I.; Gaspar, C.; Lopes, V.; Barata, A.M. Portugal Gene Bank. In Plant Gene Banks; Springer Nature: Singapore, 2025; pp. 1–36. [Google Scholar]
- Latorre, E.C.; Canavero, A.; Correspondence, R.V.; Vidal, R. Conservation of Medicinal Germplasm: A Proposal to Establish Priorities Based on Conservation Biology and Ethnobotanical Criteria. Ethnobot. Res. Appl. 2023, 26, 1–24. [Google Scholar] [CrossRef]
- Torre, R.; Medeiros, E.A.D.P.d.; Pereira, C.d.S.B.; Menezes, A.C.R.; Fontes, I.S.; Pereira, L.V.R.; Paiva, D.H.F.; Santos, A.M.d.; Damasceno Junior, P.C.; Souza, M.A.A. de Protection of Cowpea Seeds and Toxicity against Cowpea Weevils by the Essential Oils from Lippia alba (Verbenaceae) and Schinus terebinthifolius (Anacardiaceae). Crop Prot. 2024, 180, 106670. [Google Scholar] [CrossRef]
- de Medeiros, E.A.D.P.; Nascimento, R.V.; Junior, E.B.D.; Pereira, C.d.S.B.; Moreira, Y.N.; Torre, R.; Velez, A.S.M.M.; Decote-Ricardo, D.; de Lima, M.E.F.; dos Santos, A.M.; et al. Chemodiversity and Trypanocidal Activity of the Essential Oils of Tropical Black Sage. Brazilian J. Pharmacogn. 2024, 34, 1101–1115. [Google Scholar]
- Németh-Zámbori, E. Natural Variability of Essential Oil Components. In Handbook of Essential Oil—Science, Technology and Applications; Baser, K.H.C., Buchbauer, G., Eds.; CRC Press: Boca Raton, FL, USA, 2020; pp. 85–124. [Google Scholar]
- Barros, D.J.E.; Nunes, M.Y.; da Silva Barbosa, P.C.; Mariano, J.D.R.; Santos, C.R.; da Paixao, A.D.; Reis, P.D.F.D.; da Silva, B.K.; Sampaio, F.I.; Emerick, S.M.; et al. Chemodiversity of Essential Oils from Eugenia uniflora L. Collected in Different Phytophysiognomies of the Coastal Region of Rio de Janeiro. Chem. Biodivers. 2025, early view, e01390. [Google Scholar] [CrossRef]
- Google Earth, Pro 2025; Google LLC: Mountain View, CA, USA, 2025.
- van Den Dool, H.; Kratz, P.D. A Generalization of the Retention Index System Including Linear Temperature Programmed Gas—Liquid Partition Chromatography. J. Chromatogr. A 1963, 11, 463–471. [Google Scholar] [CrossRef]
- Adams, R.P. Identification of Essential Oil Components by Gas Chromatography/Mass Spectroscopy, 4th ed.; Allured Publishing Corporation: Carol Stream, IL, USA, 2007; ISBN 978-1-932633-21-4. [Google Scholar]
- Magurran, A.E. Measuring Biological Diversity; John Wiley & Sons: Hoboken, NJ, USA, 2013; ISBN 1118687922. [Google Scholar]
- Hurlbert, S.H. The Nonconcept of Species Diversity: A Critique and Alternative Parameters. Ecology 1971, 52, 577–586. [Google Scholar] [CrossRef] [PubMed]
- Harris, C.R.; Millman, K.J.; van der Walt, S.J.; Gommers, R.; Virtanen, P.; Cournapeau, D.; Wieser, E.; Taylor, J.; Berg, S.; Smith, N.J.; et al. Array Programming with NumPy. Nature 2020, 585, 357–362. [Google Scholar] [CrossRef] [PubMed]
- McKinney, W. Data Structures for Statistical Computing in Python. In Proceedings of the 9th Python in Science Conference, Austin, TX, USA, 28 June–3 July 2010; pp. 56–61. [Google Scholar]
- Hunter, J.D. Matplotlib: A 2D Graphics Environment. Comput. Sci. Eng. 2007, 9, 90–95. [Google Scholar] [CrossRef]
- Waskom, M. Seaborn: Statistical Data Visualization. J. Open Source Softw. 2021, 6, 3021. [Google Scholar] [CrossRef]
- Virtanen, P.; Gommers, R.; Oliphant, T.E.; Haberland, M.; Reddy, T.; Cournapeau, D.; Burovski, E.; Peterson, P.; Weckesser, W.; Bright, J.; et al. SciPy 1.0: Fundamental Algorithms for Scientific Computing in Python. Nat. Methods 2020, 17, 261–272. [Google Scholar] [CrossRef] [PubMed]
- Shepard, D. A Two-Dimensional Interpolation Function for Irregularly-Spaced Data. In Proceedings of the 1968 23rd ACM National Conference, New York, NY, USA, 27–29 August 1968; ACM Press: New York, NY, USA, 1968; pp. 517–524. [Google Scholar]
- Franke, R. Scattered Data Interpolation: Tests of Some Methods. Math. Comput. 1982, 38, 181–200. [Google Scholar] [CrossRef]
- OpenAI. ChatGPT: OpenAI’s Language Model; OpenAI: San Francisco, CA, USA, 2025. [Google Scholar]
- Sokal, R.R.; Rohlf, F.J. The Comparison of Dendrograms by Objective Methods. Taxon 1962, 11, 33–40. [Google Scholar] [CrossRef]









| Accession 1 | Region | City | Longitude (W) | Latitude (S) | Altitude (m) | Herbarium 2 |
|---|---|---|---|---|---|---|
| BD-P01 | Metropolitana | Seropédica | 43°41′26.65″ | 22°42′50.9″ | 26 | RBR 59764 |
| BD-P02 | Metropolitana | Japeri | 43°36′33.05″ | 22°39′12.2″ | 60 | RBR 59765 |
| BD-P03 | Metropolitana | Japeri | 43°34′5.87″ | 22°39′48.47″ | 29 | RBR 59766 |
| BD-P04 | Metropolitana | Nova Iguaçu | 43°25′48.38″ | 22°40′58.72″ | 38 | RBR 59767 |
| BD-P05 | Metropolitana | Duque de Caxias | 43°22′38.74″ | 22°40′10.22″ | 0 | RBR 59768 |
| BD-P06 | Metropolitana | Magé | 43°9′53.74″ | 22°39′7.08″ | 19 | RBR 59769 |
| BD-P07 | Metropolitana | Magé | 43°4′49.33″ | 22°39′28.6″ | 14 | RBR 59770 |
| BD-P08 | Metropolitana | Guapimirim | 42°57′55.05″ | 22°40′54.88″ | 0 | RBR 59771 |
| BD-P09 | Metropolitana | Rio Bonito | 42°39′33.95″ | 22°42′24.3″ | 52 | RBR 59772 |
| BD-P10 | Metropolitana | Rio Bonito | 42°37′31.71″ | 22°43′8.25″ | 79 | RBR 59773 |
| BD-P11 | Metropolitana | Rio Bonito | 42°34′29.57″ | 22°46′21.65″ | 97 | RBR 59774 |
| BD-P12 | Metropolitana | Rio Bonito | 42°29′35.31″ | 22°48′5.2″ | 67 | RBR 59775 |
| BD-P13 | Baixadas Litorâneas | Araruama | 42°20′12.17″ | 22°48′42.72″ | 35 | RBR 59776 |
| BD-P14 | Baixadas Litorâneas | Iguaba Grande | 42°11′44.61″ | 22°49′6.83″ | 41 | RBR 59777 |
| BD-P15 | Baixadas Litorâneas | Cabo Frio | 41°59′52.23″ | 22°43′16.55″ | 21 | RBR 59778 |
| BD-P16 | Baixadas Litorâneas | Búzios | 41°53′36.32″ | 22°46′1.12″ | 25 | RBR 59779 |
| BD-P17 | Metropolitana | Itaguaí | 43°51′30.0″ | 22°53′51.94″ | 17 | n/a 3 |
| BD-P18 | Costa Verde | Mangaratiba | 43°54′15.84″ | 22°55′7.98″ | 43 | RBR 59780 |
| BD-P19 | Costa Verde | Mangaratiba | 43°59′53.62″ | 22°56′9.08″ | 3 | RBR 59781 |
| BD-P20 | Costa Verde | Mangaratiba | 44°6′36.77″ | 23°1′3.22″ | 49 | n/a |
| BD-P21 | Costa Verde | Angra dos Reis | 44°12′51.84″ | 23°0′33.55″ | 80 | RBR 59782 |
| BD-P22 | Costa Verde | Angra dos Reis | 44°18′6.57″ | 22°59′36.95″ | 60 | RBR 59783 |
| BD-P23 | Costa Verde | Angra dos Reis | 44°26′9.21″ | 22°57′4.12″ | 16 | RBR 59784 |
| BD-P24 | Costa Verde | Angra dos Reis | 44°26′29.38″ | 22°59′52.96″ | 100 | n/a |
| BD-P25 | Costa Verde | Paraty | 44°39′8.21″ | 23°2′43.12″ | 12 | RBR 59785 |
| BD-P26 | Costa Verde | Paraty | 44°40′42.45″ | 23°3′21.97″ | 4 | RBR 59786 |
| BD-P27 | Costa Verde | Paraty | 44°43′25.68″ | 23°21′9.16″ | 3 | n/a |
| BD-P28 | Metropolitana | Petrópolis | 43°07′40″ | 22°21′54″ | 693 | RBR 62254 |
| BD-P29 | Centro-Sul Fluminense | Três Rios | 43°09′47″ | 22°11′23″ | 310 | RBR 62255 |
| BD-P30 | Centro-Sul Fluminense | Três Rios | 43°06′27″ | 22°06′34″ | 342 | RBR 62256 |
| BD-P31 | Centro-Sul Fluminense | Três Rios | 43°01′56″ | 22°04′5″ | 258 | RBR 62257 |
| BD-P32 | Centro-Sul Fluminense | Sapucaia | 42°49′24″ | 21°56′29″ | 174 | RBR 62258 |
| BD-P33 | Serrana | Carmo | 42°32′59″ | 21°52′0″ | 360 | RBR 62259 |
| BD-P34 | Serrana | Cantagalo | 42°25′33″ | 21°52′10″ | 481 | RBR 62260 |
| BD-P35 | Serrana | Cantagalo | 42°21′32″ | 21°56′21″ | 456 | RBR 62261 |
| BD-P36 | Serrana | Cantagalo | 42°12′17″ | 21°47′47″ | 118 | RBR 62262 |
| BD-P37 | Metropolitana | Japeri | 43°39′33″ | 22°37′23″ | 39 | RBR 62263 |
| BD-P38 | Centro-Sul Fluminense | Miguel Pereira | 43°31′4″ | 22°28′29″ | 674 | RBR 62264 |
| BD-P39 | Centro-Sul Fluminense | Engo. P. Frontin | 43°36′40″ | 22°29′15″ | 549 | RBR 62265 |
| BD-P40 | Médio Paraíba | Valença | 43°41′9″ | 22°20′12″ | 404 | RBR 62266 |
| BD-P41 | Médio Paraíba | Valença | 43°42′34″ | 22°17′45″ | 509 | RBR 62267 |
| BD-P42 | Médio Paraíba | Valença | 43°43′49″ | 22°15′43″ | 538 | RBR 62268 |
| BD-P43 | Médio Paraíba | Valença | 43°47′38″ | 22°17′57″ | 636 | RBR 62269 |
| BD-P44 | Médio Paraíba | Valença | 43°53′45″ | 22°16′55″ | 521 | RBR 62270 |
| BD-P45 | Médio Paraíba | Valença | 43°55′36″ | 22°18′22″ | 530 | RBR 62271 |
| BD-P46 | Médio Paraíba | Barra do Piraí | 43°52′17″ | 22°23′58″ | 691 | RBR 62272 |
| BD-P47 | Médio Paraíba | Barra do Piraí | 43°55′38″ | 22°28′35″ | 407 | RBR 62273 |
| BD-P48 | Médio Paraíba | Volta Redonda | 44°03′1″ | 22°32′3″ | 457 | RBR 62274 |
| BD-P49 | Médio Paraíba | Piraí | 43°54′18″ | 22°38′1″ | 373 | RBR 62275 |
| BD-P50 | Metropolitana | Paracambi | 43°47′14″ | 22°41′30″ | 47 | RBR 62276 |
| COMPOUNDS | Type | RT | LRIE | LRIL | Min. | Max. | Mean | Med. | F (%) |
|---|---|---|---|---|---|---|---|---|---|
| α-Pinene | MH | 8.631 | 934 | 932 | 0.4 | 2.7 | 1.3 | 1.1 | 74 |
| β-Pinene | MH | 10.490 | 975 | 974 | 0.5 | 7.5 | 1.8 | 1.3 | 98 |
| Limonene | MH | 12.966 | 1028 | 1024 | 0.9 | 10.5 | 4.4 | 4.2 | 98 |
| β-Elemene | SH | 30.218 | 1393 | 1389 | 0.4 | 1.4 | 0.8 | 0.8 | 90 |
| E-Caryophyllene | SH | 31.274 | 1421 | 1417 | 1.3 | 10.1 | 4.6 | 4.2 | 100 |
| Aromadendrene | OS | 31.992 | 1442 | 1439 | 0.4 | 3.6 | 1.5 | 1.5 | 100 |
| α-Humulene | SH | 32.517 | 1457 | 1452 | 0.7 | 2.0 | 1.4 | 1.5 | 100 |
| Cabreuva oxide B | OS | 32.780 | 1464 | 1462 | 0.7 | 3.4 | 2.0 | 2.0 | 96 |
| γ-Muurolene + Cabreuva oxide D | OC | 33.349 | 1480 | 1478(79) | 0.6 | 2.3 | 1.5 | 1.5 | 82 |
| Germacrene D | SH | 33.485 | 1484 | 1480 | 2.5 | 15.2 | 6.6 | 6.4 | 100 |
| Bicyclogermacrene | SH | 34.015 | 1499 | 1500 | 3.0 | 14.5 | 8.9 | 8.8 | 100 |
| α-Muurolene | SH | 34.136 | 1503 | 1500 | 0.4 | 1.5 | 0.7 | 0.7 | 86 |
| Unidentified Compounds-1510 | UC | 34.360 | 1511 | - | 0.4 | 1.2 | 0.8 | 0.8 | 92 |
| γ-Cadinene | SH | 34.562 | 1518 | 1513 | 0.5 | 1.5 | 0.9 | 1.0 | 94 |
| δ-Cadinene | SH | 34.867 | 1528 | 1522 | 1.6 | 5.3 | 3.4 | 3.4 | 100 |
| Unidentified Compounds-1539 | UC | 35.203 | 1539 | - | 1.2 | 4.1 | 2.3 | 2.3 | 94 |
| Unidentified Compounds-1558 | UC | 35.771 | 1559 | - | 0.6 | 2.6 | 1.2 | 1.1 | 94 |
| E-Nerolidol | OS | 36.080 | 1569 | 1561 | 16.8 | 51.0 | 29.7 | 28.3 | 100 |
| Spathulenol | OS | 36.513 | 1584 | 1577 | 3.3 | 19.5 | 8.9 | 8.3 | 100 |
| Globulol | OS | 36.683 | 1589 | 1590 | 1.4 | 7.0 | 4.0 | 4.1 | 100 |
| Viridiflorol + Cubeban-11-ol | OS | 36.914 | 1597 | 1592(95) | 0.9 | 3.9 | 2.1 | 2.0 | 74 |
| α-Cadinol | OS | 38.587 | 1662 | 1652 | 1.4 | 5.1 | 2.8 | 2.8 | 100 |
| Germacra-4(15),5,10(14)-trien-1-α-ol | OS | 39.402 | 1693 | 1685 | 0.6 | 2.9 | 1.3 | 1.2 | 90 |
| Chemotypes | Type | ID 1 (% Compound) |
|---|---|---|
| E-Nerolidol | A | BD-P01 (31%), BD-P03 (26%), BD-P04 (48%), BD-P07 (28%), BD-P09 (31%), BD-P10 (26%), BD-P13 (41%), BD-P14 (27%), BD-P15 (27%), BD-P17 (28%), BD-P18 (41%), BD-P19 (33%), BD-P22 (25%), BD-P24 (27%), BD-P25 (27%), BD-P26 (30%), BD-P28 (30%), BD-P30 (25%), BD-P31 (32%), BD-P32 (51%), BD-P36 (30%), BD-P37 (28%), BD-P38 (46%), BD-P40 (38%), BD-P42 (40%), BD-P43 (36%), BD-P44 (32%), BD-P45 (35%), BD-P46 (29%), BD-P47 (30%), BD-P48 (29%), BD-P49 (36%), BD-P50 (39%) |
| E-Nerolidol/Spathulenol | A/B | BD-P33 (25%/14%), BD-P34 (32%/19%) |
| E-Nerolidol/Spathulenol/Bicyclogermacrene | A/B/C | BD-P20 (17%/14%/13%) |
| Mixed | M | BD-P02, BD-P05, BD-P06, BD-P08, BD-P12, BD-P16, BD-P21, BD-P23, BD-P27, BD-P29, BD-P35, BD-P39, BD-P41 |
| Analysis (Factor/Levels) | N | df (n, d) | SS | MS | F | R2 | p-Value |
|---|---|---|---|---|---|---|---|
| Altitude 2 (0–100, 100–400, and 400–700 m) | 50 | 2, 47 | 0.0941 | 0.0470 | 2.296 | 0.092 | 0.016 |
| Year 1 (2023 × 2025) | 50 | 1, 48 | 0.0713 | 0.0713 | 3.531 | 0.068 | 0.005 |
| Sex 3 (F × M × NR) | 50 | 2, 47 | 0.0750 | 0.0375 | 1.826 | 0.059 | 0.065 |
| Sex (F × M) | 26 | 1, 24 | 0.0316 | 0.0316 | 1.516 | 0.072 | 0.199 |
| Compound 1 | Source of Variation | df | SS | MS | F | p-Value |
|---|---|---|---|---|---|---|
| E-Nerolidol | Treatment (F × M) 2 | 1 | 0.085 | 0.085 | 0.002 | 0.969 |
| Residual | 24 | 1.332.026 | 55.501 | |||
| Spathulenol | Treatment (F × M) | 1 | 10.778 | 10.778 | 0.944 | 0.341 |
| Residual | 24 | 273.973 | 11.416 | |||
| Germacrene D | Treatment (F × M) | 1 | 27.153 | 27.153 | 2.505 | 0.126 |
| Residual | 24 | 260.122 | 10.838 | |||
| Bicyclogermacrene | Treatment (F × M) | 1 | 31.314 | 31.314 | 3.003 | 0.096 |
| Residual | 24 | 250.262 | 10.428 | |||
| E-Caryophyllene | Treatment (F × M) | 1 | 1.556 | 1.556 | 0.471 | 0.499 |
| Residual | 24 | 79.241 | 3.302 | |||
| Globulol | Treatment (F × M) | 1 | 0.973 | 0.973 | 0.871 | 0.360 |
| Residual | 24 | 26.812 | 1.117 |
Disclaimer/Publisher’s Note: The statements, opinions and data contained in all publications are solely those of the individual author(s) and contributor(s) and not of MDPI and/or the editor(s). MDPI and/or the editor(s) disclaim responsibility for any injury to people or property resulting from any ideas, methods, instructions or products referred to in the content. |
© 2025 by the authors. Licensee MDPI, Basel, Switzerland. This article is an open access article distributed under the terms and conditions of the Creative Commons Attribution (CC BY) license (https://creativecommons.org/licenses/by/4.0/).
Share and Cite
Mariano-Junior, D.R.; Alves, D.d.P.; Pereira, C.d.S.B.; Cavalcante, R.S.; Reichenbach, L.B.; Ribeiro, M.E.P.; Fontes, I.S.; Pinheiro, D.F.d.R.; Silva, M.E.; Pedro, L.B.; et al. Mapping and Chemical Diversity of Baccharis dracunculifolia De Candole (1836) Essential Oil Accessed in Rio de Janeiro, Brazil. Plants 2025, 14, 3443. https://doi.org/10.3390/plants14223443
Mariano-Junior DR, Alves DdP, Pereira CdSB, Cavalcante RS, Reichenbach LB, Ribeiro MEP, Fontes IS, Pinheiro DFdR, Silva ME, Pedro LB, et al. Mapping and Chemical Diversity of Baccharis dracunculifolia De Candole (1836) Essential Oil Accessed in Rio de Janeiro, Brazil. Plants. 2025; 14(22):3443. https://doi.org/10.3390/plants14223443
Chicago/Turabian StyleMariano-Junior, Durval Reis, Diego da Paixão Alves, Camila da Silva Barbosa Pereira, Rosana Santos Cavalcante, Luisa Bule Reichenbach, Maria Eduarda Pereira Ribeiro, Igor Sampaio Fontes, Douglas Figueredo dos Reis Pinheiro, Mariana Emerick Silva, Lidiane Barbosa Pedro, and et al. 2025. "Mapping and Chemical Diversity of Baccharis dracunculifolia De Candole (1836) Essential Oil Accessed in Rio de Janeiro, Brazil" Plants 14, no. 22: 3443. https://doi.org/10.3390/plants14223443
APA StyleMariano-Junior, D. R., Alves, D. d. P., Pereira, C. d. S. B., Cavalcante, R. S., Reichenbach, L. B., Ribeiro, M. E. P., Fontes, I. S., Pinheiro, D. F. d. R., Silva, M. E., Pedro, L. B., Santos, A. M. d., Damasceno Junior, P. C., & Souza, M. A. A. d. (2025). Mapping and Chemical Diversity of Baccharis dracunculifolia De Candole (1836) Essential Oil Accessed in Rio de Janeiro, Brazil. Plants, 14(22), 3443. https://doi.org/10.3390/plants14223443

