Unveiling the Antioxidant, Cytotoxic, and Anti-Inflammatory Activities and Chemical Compositional Information of an Invasive Plant: Lycium ferocissimum Miers
Abstract
1. Introduction
2. Results and Discussion
2.1. Chemical Analysis
2.2. Antioxidant Activity
2.3. Cytotoxic Activity
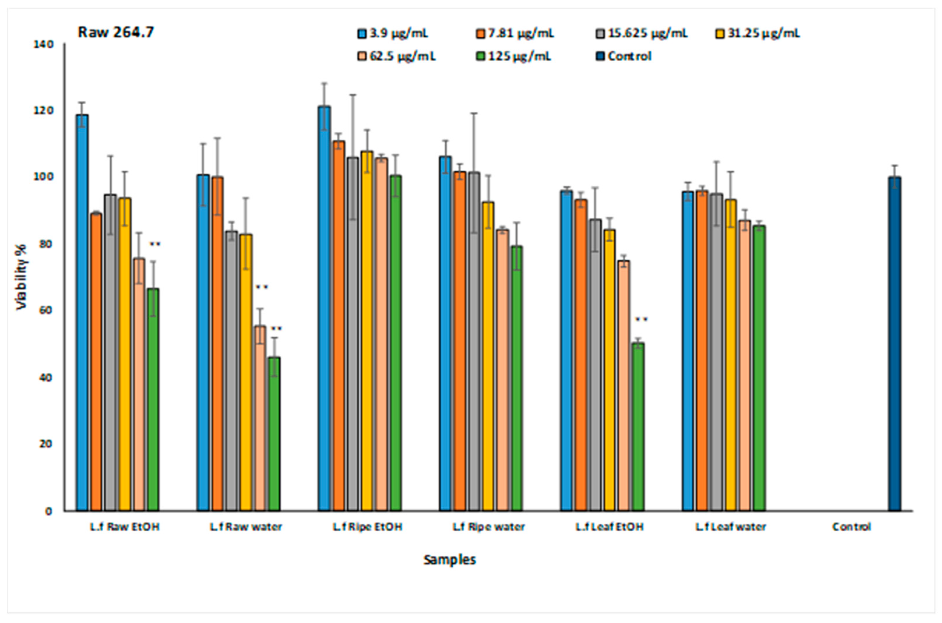
2.4. Determination of Anti-Inflammatory Effect
3. Materials and Methods
3.1. Plant Material and Extraction Process
3.2. Chemical Analysis
3.2.1. Total Phenolic Content
3.2.2. HPLC Analysis
3.3. Antioxidant Activity
3.3.1. DPPH●-Scavenging Activity
3.3.2. ABTS+●-Scavenging Activity
3.3.3. Ferric-Reducing Activity (FRAP)
3.3.4. Iron (II) Chelating
3.4. Cytotoxic Activity
3.5. Determination of Anti-Inflammatory Effect
3.6. Statistical Analysis
4. Conclusions
Author Contributions
Funding
Data Availability Statement
Conflicts of Interest
References
- Dias, D.A.; Urban, S.; Roessner, U. A historical overview of natural products in drug discovery. Metabolites 2012, 2, 303–336. [Google Scholar] [CrossRef]
- Yang, Y.; An, Y.; Wang, W.; Du, N.; Zhang, J.; Feng, Z.; Jiang, J.; Zhang, P. Nine compounds from the root bark of Lycium chinense and their anti-inflammatory activitieslammatory activitiesretain. Acta Pharm. Sin. B 2017, 7, 491–495. [Google Scholar] [CrossRef]
- Zhang, N.; He, Z.; He, S.; Jing, P. Insights into the importance of dietary chrysanthemum flower (Chrysanthemum morifolium cv. Hangju)-wolfberry (Lycium barbarum fruit) combination in antioxidant and anti-inflammatory properties. Food Res. Int. 2019, 116, 810–818. [Google Scholar] [CrossRef]
- Jiang, Y.; Fang, Z.; Leonard, W.; Zhang, P. Phenolic compounds in Lycium berry: Composition, health benefits and industrial applications. J. Funct. Foods 2021, 77, 104340. [Google Scholar] [CrossRef]
- Qian, D.; Zhao, Y.; Yang, G.; Huang, L. Systematic review of chemical constituents in the genus Lycium (Solanaceae). Molecules 2017, 22, 911. [Google Scholar] [CrossRef] [PubMed]
- Wu, W.; Bin Hung, D.K.; Chang, F.W.; Ong, E.T.; Chen, B.H. Anti-inflammatory and anti-angiogenic effects of flavonoids isolated from Lycium barbarum L. on human umbilical vein endothelial cells. Food Funct. 2012, 3, 1068–1081. [Google Scholar] [CrossRef] [PubMed]
- Wang, S.; Suh, J.H.; Hung, W.L.; Zheng, X.; Wang, Y.; Ho, C.T. Use of UHPLC-TripleQ with synthetic standards to profile anti-inflammatory hydroxycinnamic acid amides in root barks and leaves of Lycium barbarum. J. Food Drug Anal. 2018, 26, 572–582. [Google Scholar] [CrossRef]
- Lee, S.R.; Hwang, H.J.; Yoon, J.G.; Bae, E.Y.; Goo, K.S.; Cho, S.J.; Cho, J.A. Anti-inflammatory effect of Lycium barbarum on polarized human intestinal epithelial cells. Nutr. Res. Pract. 2019, 13, 95–104. [Google Scholar] [CrossRef]
- Chen, H.; Olatunji, O.J.; Zhou, Y. Anti-oxidative, anti-secretory and anti-inflammatory activities of the extract from the root bark of Lycium chinense (Cortex Lycii) against gastric ulcer in mice. J. Nat. Med. 2016, 70, 610–619. [Google Scholar] [CrossRef]
- Rjeibi, I.; Feriani, A.; Saad, A.B.; Ncib, S.; Sdayria, J.; Hfaiedh, N.; Allagui, M.S. Lycium europaeum Linn. as a source of polysaccharide with in vitro antioxidant activities and in vivo anti-inflammatory and hepato-nephroprotective potentials. J. Ethnopharmacol. 2018, 225, 116–127. [Google Scholar] [CrossRef]
- Oh, Y.C.; Cho, W.K.; Im, G.Y.; Jeong, Y.H.; Hwang, Y.H.; Liang, C.; Ma, J.Y. Anti-inflammatory effect of Lycium Fruit water extract in lipopolysaccharide-stimulated RAW 264.7 macrophage cells. Int. Immunopharmacol. 2012, 13, 181–189. [Google Scholar] [CrossRef] [PubMed]
- Peng, Y.; Yan, Y.; Wan, P.; Chen, D.; Ding, Y.; Ran, L.; Mi, J.; Lu, L.; Zhang, Z.; Li, X.; et al. Gut microbiota modulation and anti-inflammatory properties of anthocyanins from the fruits of Lycium ruthenicum Murray in dextran sodium sulfate-induced colitis in mice. Free Radic. Biol. Med. 2019, 136, 96–108. [Google Scholar] [CrossRef] [PubMed]
- Mcculloch, G.A.; Mauda, E.V.; Chari, L.D.; Martin, G.D.; Gurdasani, K.; Morin, L.; Walter, G.H.; Raghu, S. Genetic diversity and morphological variation in African boxthorn (Lycium ferocissimum)—Characterising the target weed for biological control. Biol. Control 2020, 143, 104206. [Google Scholar] [CrossRef]
- Noble, M.R.; Adair, R.J.; Ireland, K.B. Biologyof Invasive Plants 2. Lycium ferocissimum Miers. Invasive Plant Sci. Manag. 2021, 14, 41–56. [Google Scholar] [CrossRef]
- Arnold, T.; De Wet, B. Plants of Southern Africa: Names and Distribution; Memoirs of the Botanical Survey of South Africa No. 62; National Botanical Institute: Pretoria, South Africa, 1993. [Google Scholar]
- Noble, M.; Adair, R. African boxthorn (Lycium ferocissimum) and its vertebrate relationships in Australia. Plant Prot. Q. 2014, 29, 80–84. [Google Scholar]
- Olckers, T.; Coetzee, J.A.; Egli, D.; Martin, G.D.; Paterson, I.D.; Sutton, G.F.; Wood, A.R. Biological control of South African plants that are invasive elsewhere in the world: A review of earlier and current programmes. Afr. Entomol. 2021, 29, 1005–1029. [Google Scholar] [CrossRef]
- Jancova, P.; Anzenbacher, P.; Anzenbacherova, E. Phase II drug metabolizing enzymes. Biomed. Pap. Med. Fac. Univ. Palacky Olomouc Czech Repub. 2010, 154, 103–116. [Google Scholar] [CrossRef]
- Dahech, I.; Farah, W.; Trigui, M.; Ben Hssouna, A.; Belghith, H.; Belghith, K.S.; Ben Abdallah, F. Antioxidant and antimicrobial activities of Lycium shawii fruits extract. Int. J. Biol. Macromol. 2013, 60, 328–333. [Google Scholar] [CrossRef]
- Yao, R.; Heinrich, M.; Weckerle, C.S. The genus Lycium as food and medicine: A botanical, ethnobotanical and historical review. J. Ethnopharmacol. 2018, 212, 50–66. [Google Scholar] [CrossRef]
- Belinda, I.; Nzeuwa, Y.; Guo, B.; Zhang, T.; Wang, L.; Ji, Q.; Xia, H.; Sun, G. Comparative metabolic profiling of Lycium Fruits (Lycium barbarum and Lycium chinense) from different areas in China and from Nepal. J. Food Qual. 2019, 2019, 4396027. [Google Scholar] [CrossRef]
- Liu, S.C.; Lin, J.T.; Hu, C.C.; Shen, B.Y.; Chen, T.Y.; Chang, Y.L.; Shih, C.H.; Yang, D.J. Phenolic compositions and antioxidant attributes of leaves and stems from three inbred varieties of Lycium chinense Miller harvested at various times. Food Chem. 2017, 215, 284–291. [Google Scholar] [CrossRef] [PubMed]
- Faidi, K.; Baaka, N.; Hammami, S.; Mighri, Z.; Mhenni, M.F. Extraction of carotenoids from Lycium ferocissimum fruits for cotton dyeing: Optimization survey based on a central composite design method. Fibers Polym. 2016, 17, 36–43. [Google Scholar] [CrossRef]
- Zhang, L.; Gu, J.; Chen, Y.; Zhang, L. A study on four antioxidation effects of Lycium barbarum polysaccharides in vitro. Afr. J. Tradit. Complement. Altern. Med. 2013, 10, 494–498. [Google Scholar] [CrossRef] [PubMed]
- Ran, L.; Chen, F.; Zhang, J.; Mi, J.; Lu, L.; Yan, Y.; Cao, Y. Antitumor effects of pollen polysaccharides from Chinese wolfberry on DU145 cells via the PI3K/AKT pathway in vitro and in vivo. Int. J. Biol. Macromol. 2020, 152, 1164–1173. [Google Scholar] [CrossRef] [PubMed]
- Mottaghipisheh, J.; Doustimotlagh, A.H.; Irajie, C.; Tanideh, N.; Barzegar, A.; Iraji, A. The promising therapeutic and preventive properties of anthocyanidins/anthocyanins on prostate cancer. Cells 2022, 11, 1070. [Google Scholar] [CrossRef] [PubMed]
- Luo, Q.; Li, Z.; Yan, J.; Zhu, F.; Xu, R.J.; Cai, Y.Z. Lycium barbarum polysaccharides induce apoptosis in human prostate cancer cells and inhibits prostate cancer growth in a xenograft mouse model of human prostate cancer. J. Med. Food 2009, 12, 695–703. [Google Scholar] [CrossRef] [PubMed]
- Ghali, W.; Vaudry, D.; Jouenne, T.; Marzouki, M.N. Lycium europaeum fruit extract: Antiproliferative activity on A549 human lung carcinoma cells and PC12 rat adrenal medulla cancer cells and assessment of its cytotoxicity on cerebellum granule cells. Nutr. Cancer 2015, 67, 637–646. [Google Scholar] [CrossRef]
- Ma, R.H.; Zhang, X.X.; Ni, Z.J.; Thakur, K.; Wang, W.; Yan, Y.M.; Cao, Y.L.; Zhang, J.G.; Rengasamy, K.R.R.; Wei, Z.J. Lycium barbarum (Goji) as functional food: A review of its nutrition, phytochemical structure, biological features, and food industry prospects. Crit. Rev. Food Sci. Nutr. 2022, 63, 10621–10635. [Google Scholar] [CrossRef]
- Ávila, C.N.; Ribeiro Trindade, F.M.; Penteado, J.O.; Janke, F.; Schneider, J.P.; Uecker, J.N.; Rincon, J.A.A.; De Barros, C.C.; Andreazza, R.; Pieniz, S. Anti-inflammatory effect of a goji berry extract (Lycium barbarum) in rats subjected to inflammation by lipopolysaccharides (LPS). Braz. Arch. Biol. Technol. 2020, 63, e20180612. [Google Scholar] [CrossRef]
- Magalhães, V.; Silva, A.R.; Silva, B.; Zhang, X.; Dias, A.C.P. Comparative studies on the anti-neuroinflammatory and antioxidant activities of black and red goji berries. J. Funct. Foods 2022, 92, 105038. [Google Scholar] [CrossRef]
- Singleton, V.L.; Orthofer, R.; Lamuela-Raventos, R.M. Analysis of total phenols and other oxidation substrates and antioxidants by means of Folin-ciocalteu reagent. Methods Enzymol. 1999, 299, 152–178. [Google Scholar]
- Gyamfi, M.A.; Yonamine, M.; Aniya, Y. Free-radical scavenging action of medicinal herbs from Ghana: Thonningia sanguinea on experimentally induced liver injuries. Gen. Pharmacol. 1999, 32, 661–666. [Google Scholar] [CrossRef]
- Re, R.; Pellegrini, N.; Proteggente, A.; Pannala, A.; Yang, M.; Rice-Evans, C. Antioxidant activity applying an improved ABTS radical cation decolorisation assay. Free Radic. Biol. Med. 1999, 26, 1231–1237. [Google Scholar] [CrossRef]
- Şeker Karatoprak, G.; Göger, F.; Yerer, M.B.; Kosar, M. Chemical composition and biological investigation of Pelargonium endlicherianum root extracts. Pharm. Biol. 2017, 55, 1608–1618. [Google Scholar] [CrossRef]
- Karatoprak, G.Ş.; Yücel, Ç.; Göger, F.; Sobarzo-Sánchez, E.; Küpeli Akkol, E. Potential antioxidant and enzyme inhibitory effects of nanoliposomal formulation prepared from Salvia aramiensis Rech. f. extract. Antioxidants 2020, 9, 293. [Google Scholar] [CrossRef]


| Extracts * | Total Phenols (mgGAE/gextract) | p-OH Benzoic Acid *** | Rutin *** | Hydroxycinnamic Acid Derivatives *** | Flavonoid Derivatives *** |
|---|---|---|---|---|---|
| URFEtOH | 49.85 ± 2.13 | NI ** | NI | 15.26 ± 3.23 | 6.21 ± 0.074 |
| URFW | 24.94 ± 0.17 | NI | NI | NI | NI |
| RFEtOH | 15.59 ± 3.21 | NI | NI | NI | NI |
| RFW | 12.79 ± 1.95 | NI | NI | NI | NI |
| LEtOH | 24.14 ± 3.61 | 0.23 ± 0.15 | 2.94 ± 0.91 | 2.23 ± 0.64 | 9.12 ± 0.33 |
| LW | 23.37 ± 4.17 | 0.10 ± 0.51 | 5.39 ± 1.12 | NI | 10.02 ± 3.41 |
| Retention **** Time (Min) | 9.64 | 14.76 | 6.87, 7.03, 8.99, 10.19, 14.24 | 15.38, 15.90, 31.91, 34.42, 35.75 |
| DPPH● IC50 (mg/mL) | ABTS+● % Inhibition (3 mg/mL) | FRAP mmol Ascorbic Acid/g Sample | Iron (II) Chelating IC50 (mg/mL) | |
|---|---|---|---|---|
| URFEtOH | 0.57 ± 0.05 d | 88.73 ± 5.17 a,b | 1.85 ± 0.004 b,c | 3.09 ± 0.12 c |
| URFW | 6.27 ± 0.42 a | 45.55 ± 4.78 c | 0.82 ± 0.005 a | ND * |
| RFEtOH | 6.12 ± 0.90 a | 36.37 ± 2.21 d | 0.76 ± 0.016 a | 12.19 ± 1.21 b |
| RFW | 8.00 ± 1.20 b,c | 32.88 ± 1.13 d | 0.76 ± 0.002 a | 14.71 ± 2.52 b |
| LEtOH | 3.03 ± 0.13 b | 54.95 ± 5.62 e | 0.77 ± 0.005 a | 11.95 ± 1.73 b,d |
| LW | 3.86 ± 0.30 b | 58.27 ± 3.25 e | 0.76 ± 0.003 a | 2.05 ± 0.36 c |
| BHT Na2EDTA | 0.008 ± 0.001 e | 92.15 ± 2.14 a | 2.27 ± 0.01 c | 10.44 ± 0.01 µg/mL a |
| Du145 Cell Line (% Viability) | Concentrations (µg/mL) | ||||||
| Extracts | 15.625 | 31.25 | 62.5 | 125 | 250 | 500 | 1000 |
| URFEtOH | 92.88 ± 1.54 | 87.83 ± 3.99 | 63.20 ± 3.96 *** | 63.95 ± 5.21 *** | 58.71 ± 4.87 *** | 54.31 ± 0.70 ** | 25.75 ± 0.32 * |
| URFW | 94.42 ± 0.57 | 98.99 ± 3.56 | 95.34 ± 3.08 | 96.62 ± 4.91 | 93.60 ± 1.51 | 93.88 ± 1.98 | 91.13 ± 0.41 |
| RFEtOH | 94.79 ± 2.01 | 94.22 ± 1.34 | 87.49 ± 2.84 | 85.97 ± 0.59 | 81.71 ± 0.65 | 77.06 ± 3.98 | 77.73 ± 2.58 |
| RFW | 90.31 ± 2.59 | 90.31 ± 2.19 | 89.24 ± 2.07 | 88.27 ± 2.91 | 91.28 ± 2.46 | 89.56 ± 3.67 | 85.90 ± 3.08 |
| LEtOH | 88.23 ± 0.59 | 88.80 ± 2.01 | 87.56 ± 1.14 | 87.56 ± 1.31 | 81.91 ± 4.06 | 67.75 ± 2.73 *** | 55.22 ± 0.87 ** |
| LW | 82.31 ± 5.84 | 85.38 ± 2.75 | 81.35 ± 5.34 | 81.92 ± 9.5 | 84.62 ± 6.4 | 73.56 ± 3.82 | 73.65 ± 4.69 |
| A549 Cell Line (% Viability) | Concentrations (µg/mL) | ||||||
| Extracts | 15.625 | 31.25 | 62.5 | 125 | 250 | 500 | 1000 |
| URFEtOH | 95.13 ± 3.81 | 96.30 ± 1.51 | 94.45 ± 4.52 | 91.76 ± 7.32 | 92.27 ± 2.66 | 93.28 ± 2.19 | 81.34 ± 4.10 |
| URFW | 90.92 ± 5.87 | 84.04 ± 10.10 | 81.53 ± 8.93 | 77.62 ± 9.86 | 73.71 ± 7.28 | 70.58 ± 7.58 *** | 63.54 ± 3.39 *** |
| RFEtOH | 99.58 ± 6.60 | 96.95 ± 1.24 | 93.76 ± 1.27 | 90.43 ± 2.77 | 84.47 ± 4.09 | 77.67 ± 3.63 | 59.78 ± 0.63 *** |
| RFW | 91.54 ± 5.59 | 92.65 ± 2.70 | 94.45 ± 3.14 | 98.75 ± 6.03 | 87.52 ± 2.29 | 78.92 ± 7.67 | 72.54 ± 6.03 |
| LEtOH | 83.87 ± 4.76 | 83.36 ± 1.04 | 83.87 ± 5.55 | 81.34 ± 6.58 | 79.50 ± 6.71 | 76.47 ± 7.34 | 66.05 ± 3.15 *** |
| LW | 92.96 ± 1.24 | 90.77 ± 1.77 | 88.89 ± 0.27 | 86.23 ± 1.64 | 84.04 ± 3.38 | 78.72 ± 0.97 | 73.08 ± 3.39 |
| TNF-α (pg/mL) | PGE2 (pg/mL) | IFNƔ (pg/mL) | NO (µM) | |||||
|---|---|---|---|---|---|---|---|---|
| Extract | 15.625 µg/mL | 31.25 µg/mL | 15.625 µg/mL | 31.25 µg/mL | 15.625 µg/mL | 31.25 µg/mL | 15.625 µg/mL | 31.25 µg/mL |
| URFEtOH | 2018.65 ± 13.61 *** | 1856 ± 19.40 ** | 2056.79 ± 9.85 *** | 1952.27 ± 15.80 ** | 105.19 ± 9.5 *** | 96.72 ± 2.83 ** | 38.17 ± 4.12 ** | 31.75 ± 7.17 ** |
| URFW | 2700.12 ± 10.73 | 2548.78 ± 19.43 *** | 2234.55 ± 15.42 | 2202.94 ± 18.77 *** | 114.03 ± 8.10 *** | 99.42 ± 12.56 ** | 50.19 ± 2.17 *** | 45.16 ± 2.79 *** |
| RFEtOH | 2801.25 ± 15.71 | 2710.56 ± 20.98 | 2125.58 ± 11.43 *** | 2107.64 ± 19.43 *** | 109.68 ± 7.14 *** | 100.15 ± 6.48 ** | 52.43 ± 6.42 *** | 47.78 ± 3.75 *** |
| RFW | 2805.99 ± 12.13 | 2698.49 ± 13.62 | 2392 ± 7.38 | 2305.45 ± 19.13 | 121.23 ± 7.78 | 109.13 ± 9.15 *** | 60.76 ± 1.58 | 54.15 ± 5.41 *** |
| LEtOH | 2144.53 ± 5.66 *** | 1978.14 ± 17.14 ** | 1974.16 ± 10.34 ** | 1884.64 ± 9.45 ** | 107.81 ± 13.04 *** | 99.15 ± 5.00 ** | 48.44 ± 3.14 *** | 38.12 ± 5.18 ** |
| LW | 2244.48 ± 28.25 *** | 2151.45 ± 5.89 *** | 2249.83 ± 14.41 *** | 2056.87 ± 11.45 *** | 113.05 ± 9.52 *** | 101.45 ± 7.34 *** | 57.79 ± 6.19 *** | 51.53 ± 8.46 *** |
| Control | 1053.62 ± 9.18 * | 1472.46 ± 11.89 * | 62.26 ± 3.24 * | 7.36 ± 0.01 * | ||||
| LPS group | 2852.82 ± 7.94 | 2518.54 ± 7.49 | 140.78 ± 5.25 | 75.17 ± 0.01 |
Disclaimer/Publisher’s Note: The statements, opinions and data contained in all publications are solely those of the individual author(s) and contributor(s) and not of MDPI and/or the editor(s). MDPI and/or the editor(s) disclaim responsibility for any injury to people or property resulting from any ideas, methods, instructions or products referred to in the content. |
© 2024 by the authors. Licensee MDPI, Basel, Switzerland. This article is an open access article distributed under the terms and conditions of the Creative Commons Attribution (CC BY) license (https://creativecommons.org/licenses/by/4.0/).
Share and Cite
Koşar, M.; Karatoprak, G.Ş.; Atlı, B.; İlgün, S.; Köngül Şafak, E.; Öztinen, N.; Akçakaya Mutlu, S.; Ak Sakallı, E. Unveiling the Antioxidant, Cytotoxic, and Anti-Inflammatory Activities and Chemical Compositional Information of an Invasive Plant: Lycium ferocissimum Miers. Plants 2024, 13, 1035. https://doi.org/10.3390/plants13071035
Koşar M, Karatoprak GŞ, Atlı B, İlgün S, Köngül Şafak E, Öztinen N, Akçakaya Mutlu S, Ak Sakallı E. Unveiling the Antioxidant, Cytotoxic, and Anti-Inflammatory Activities and Chemical Compositional Information of an Invasive Plant: Lycium ferocissimum Miers. Plants. 2024; 13(7):1035. https://doi.org/10.3390/plants13071035
Chicago/Turabian StyleKoşar, Müberra, Gökçe Şeker Karatoprak, Beste Atlı, Selen İlgün, Esra Köngül Şafak, Nesrin Öztinen, Sena Akçakaya Mutlu, and Ezgi Ak Sakallı. 2024. "Unveiling the Antioxidant, Cytotoxic, and Anti-Inflammatory Activities and Chemical Compositional Information of an Invasive Plant: Lycium ferocissimum Miers" Plants 13, no. 7: 1035. https://doi.org/10.3390/plants13071035
APA StyleKoşar, M., Karatoprak, G. Ş., Atlı, B., İlgün, S., Köngül Şafak, E., Öztinen, N., Akçakaya Mutlu, S., & Ak Sakallı, E. (2024). Unveiling the Antioxidant, Cytotoxic, and Anti-Inflammatory Activities and Chemical Compositional Information of an Invasive Plant: Lycium ferocissimum Miers. Plants, 13(7), 1035. https://doi.org/10.3390/plants13071035

