Next Article in Journal
Nematicidal Activity of Volatiles against the Rice Root-Knot Nematode and Environmental Safety in Comparison to Traditional Nematicides
Next Article in Special Issue
Herbicidal Formulations with Plant-Based Compounds to Control Amaranthus hybridus, Lolium multiflorum, and Brassica rapa Weeds
Previous Article in Journal
Nitrate Inhibits Nodule Nitrogen Fixation by Accumulating Ureide in Soybean Plants
Previous Article in Special Issue
Effects of Submerged Macrophytes on Demography and Filtration Rates of Daphnia and Simocephalus (Crustacea: Cladocera)
 
 
Font Type:
Arial Georgia Verdana
Font Size:
Aa Aa Aa
Line Spacing:
Column Width:
Background:
Review

Functional, Chemical, and Phytotoxic Characteristics of Cestrum parqui L’Herit: An Overview

by
Maria Chiara Di Meo
1,
Cinzia Di Marino
2,
Pasquale Napoletano
3,*,
Anna De Marco
4,
Anna Rita Bianchi
5,
Silvana Pedatella
2 and
Domenico Palatucci
5,*
1
Department of Sciences and Technologies, University of Sannio, 82100 Benevento, Italy
2
Department of Chemical Sciences, University of Naples Federico II, 80126 Naples, Italy
3
Department of Agriculture, Food, Environment and Forestry (DAGRI), University of Florence, 50144 Florence, Italy
4
Department of Pharmacy, University of Naples Federico II, 80131 Naples, Italy
5
Department of Biology, University of Naples Federico II, 80126 Naples, Italy
*
Authors to whom correspondence should be addressed.
Plants 2024, 13(15), 2044; https://doi.org/10.3390/plants13152044
Submission received: 11 June 2024 / Revised: 19 July 2024 / Accepted: 23 July 2024 / Published: 25 July 2024

Abstract

Cestrum parqui L’Herit. (Solanaceae family) is a species of forest shrub, self-incompatible and specialized in pollination, widespread in the subtropical area of the planet, and now widely distributed also in the Mediterranean area. The constituents of its leaves have antimicrobial, anticancer, insecticidal, antifeedant, molluscicidal, and herbicidal properties. The spread of this species represents a valuable source of compounds with high biological value. Various research groups are engaged in defining the chemical composition of the different parts of the plant and in defining its properties in view of important and promising commercial applications. To date, there are only a few incomplete reports on the potential applications of C. parqui extracts as selective natural pesticides and on their potential phytotoxic role. Scientific knowledge and the use of extraction techniques for these components are essential for commercial applications. This article summarizes the research and recent studies available on the botany, phytochemistry, functional properties, and commercial applications of C. parqui.

1. Introduction

Plants synthesize numerous secondary metabolites through specific metabolic pathways [1]. These molecules are interesting for plant ecology, reproduction, and physiology. The classes and types of secondary metabolites produced are a useful tool in phylogenetic and taxonomic studies [2]. Humans have exploited natural substances for a long time in medicinals, agriculture, arts, food, feed, and religion. Specifically, the application of natural products in agriculture is nowadays leveraged in order to reduce human’s cultures impact on ecosystems and on public health [3]. This review is focused on Cestrum parqui L’Herit’s (green cestrum, Figure 1) secondary metabolites content and the effects of plant extracts and purified chemicals in pest and weeds controlling. This plant belongs to the Solanaceae family and has been cultivated throughout the world in gardens as an ornamental species. Cestrum parqui is also known as Chilean cestrum, Chilean flowering jessamine, Chilean jessamine, green cestrum, green poison berry, green poison-berry, green poisonberry, iodine bush, willow jasmine, willow leaved jessamine, willow-leaf jessamine, willow-leaved jasmine, and willow-leaved jessamine [4]. It was been first described by Carolus Ludovicus L’Heritier in 1785 [5], and its origins trace back to South America [6]. Nowadays, it is widely diffused all over the world, and classified according to the new systematic [7,8].
Taxonomy, Morphology, and Distribution
C. parqui belongs to the Solanaceae family, a family of dicotyledonous angiosperms largely cultivated by humans as horticultural—Solanum tuberosum, Solanum melongena, Solanum lycopersicum, and Capsicum annuum, medicinal—Atropa belladonna, and recreational crops—Nicotiana tabacum. The family comprises 100 genera with about 2500 species. The genus that hosts the largest number of plants is Solanum, with about 1400 species; conversely, Licianthes includes 200 species, and Cestrum has 175 species [9,10]. Solanaceae are represented in the wild on all continents, with a greater number of species in the American continent, and they adapt well to almost all ecosystems, although most of them prefer warmth rather than intense cold. C. parqui is native to Brazil, Bolivia, northern and central Chile, Peru, Paraguay, Uruguay, and northern and central Argentina, but, today, it is widely spread in southeastern and eastern parts of Australia, New Zealand, in some parts of the southern United States of America like California and Texas, and in much of Europe (Figure 2) [11].
This plant is one of the main weeds of the Mediterranean area [12]. Its spread began as an ornamental plant, but it soon became invasive in many warm temperate and subtropical regions because it adapts well to the edges of watercourses and is also found in parks, old gardens, uncultivated areas, open woods, forest edges, pastures, and along roadsides. In Australia, C. parqui is considered an environmental weed, meaning it has no agricultural function, damaging and competing with existing plants, especially in New South Wales and Queensland [13]. For this reason, it is currently listed as a priority environmental weed in three regions and a sleeper weed in other parts of the country [14]. The invasiveness of this plant is particularly evident when it forms dense stands along forest edges and watercourses, replacing native plants in these habitats and preventing their regeneration [13]. It is an erect, highly branched shrub that usually grows 1–3 m tall, but occasionally reaches up to 5 m in height. It has tubular flowers in clusters, yellow or greenish-yellow in color, and stems and leaves that have an unpleasant odor when crushed. The taxonomy of the plant is described in Table 1.

2. Traditional Use and Properties

In Chilean folk medicine, it was used as an antipyretic and for the treatment of fever and inflammation [15,16]. Extracts of the plant obtained with solvents of different polarity have shown moderate antimicrobial activity against the fungi Penicillium expansum and Candida albicans and the bacteria Bacillus subtilis, Pseudomonas aeruginosa, Staphylococcus aureus, Escherichia coli, and Streptococcus pneumoniae [17]. The methanolic extract of the leaves has exhibited possible anticancer activity on the human myeloid leukemia cell line (HL-60) and an antiproliferative effect on another two cell lines (HT-29 and Molt-3 cells); this may be due to the presence of ursolic and oleanolic acids, two pentacyclic triterpenes [18,19], as well as the ability to inhibit platelet aggregation induced by ADP and/or collagen, both in sheep and human blood [20]. Furthermore, the methanolic extract of C. parqui leaves has a strong effect on sperm motility in vitro. Electron microscopy studies on human sperm, incubated with concentrations ranging from 40 to 250 µg/mL of C. parqui leaf extract and at time intervals ranging from 5 to 240 min, have shown damage to the head and acrosomal membranes, with a maximum spermicidal effect at the highest tested concentration, generally dose- and time-dependent [21]. A screening among Cestrum spp. reveals Aspergillus terreus as an endophytic fungus of C. parqui leaves. This microbe biosynthesizes camptothecin, a modified monoterpene indole alkaloid used in cancer chemotherapy [22,23].

3. Potential Effects of C. parqui

3.1. Insecticidal and Antifeedant Activity

The genus Cestrum is rich in saponins, and most species exhibit toxicity that supports their use as potential insecticides, herbicides, molluscicides, antimicrobial agents, and antitumor agents. In fact, as far back as the early 1950s, the discovery of gitogenin and digitogenin in the green berries of C. parqui [24], or tigogenin and digallogenin in dried leaves, has been documented [25].
The leaves of C. parqui are the most studied organ of the plant. This is likely related to the observation that many animals that had eaten its leaves were severely intoxicated. For example, several cases of cattle poisoning occurred in Chile between 1992 and 1998 and in Brazil starting from the late 1960s [26]. Necropsies of the animals showed pulmonary edema, congestion, hemorrhages in various organs, and hepatic dysfunction [27]. A few years later, Babouche et al. [28] demonstrated that the saponin-rich fraction obtained from the hydroalcoholic extract of the plant could interfere with insect metabolism by lowering the amount of cholesterol needed for ecdysone production, a molting hormone [29].
C. parqui’s insecticidal activity has been tested on different species. Specifically, aqueous extracts of C. parqui have been evaluated on Ceratitis capitata, commonly known as the Mediterranean fruit fly, at different concentrations [30]. C. capitata, widespread in Africa, the Mediterranean basin, and South America, is a highly polyphagous species whose larvae develop in a wide range of fruits and are responsible for significant economic damage to the agricultural sector [31]. Water and organic solvent plant extracts have been tested. The aqueous extract at 0.6% (w/w) of the plant completely inhibited the pupation process of the neonate larvae, while extracts obtained with organic solvents were almost harmless. In another experiment, ethanolic and water extracts obtained from young and old leaves were tested on Xanthogaleruca luteola adult insects. In this case, higher mortality has been obtained for ethanolic extract of young leaves [32]. The leaves are likewise active against desert locust Schistocerca gregaria. Some of the contained chemicals interfere with the exuviation process, causing insect death at different evolutionary stages [33].
These results were confirmed a few years later by Chaieb et al. [34,35]. The authors evaluated the entomotoxic activity on Schistocerca gregaria, a polyphagous and voracious grasshopper that feeds on leaves, flowers, shoots, fruits, and seeds of various plant species, including numerous species of primary importance to humans such as rice, barley, corn, sorghum, sugarcane, cotton, date palm, and banana; Spodoptera littoralis, an insect that can attack numerous economically important crops such as turnips, tomatoes, hemp, hibiscus, purslane, mint, clover, tobacco, mallow, apple, grapevine, and many others; Tribolium confusum, an insect that mainly feeds on natural products such as cereals and flour, rice, dried fruit, powdered milk, mouse baits, spices, and corn; and Culex pipiens, the most common mosquito in the Northern Hemisphere, hematophagous and harmful to health. Chaieb and colleagues [34,35] performed toxicity tests based on the species, through simple contact, injection, forced ingestion, or addition to the food substrate. In the case of contact tests, the results were modest, probably because the saponins were unable to penetrate the waxy cuticle of the target organisms, evidently due to their hydrophilicity; while in ingestion tests, the food substrate was probably unpalatable to the target animal. The best results were obtained with injection, which is obviously impractical in daily practice. However, the results show greater activity on S. littoralis followed by C. pipiens, and slightly less on S. gregaria and T. confusum. In any case, the chances of using the crude material as it is, to be added to the diet of the target organism, seem slim. Apparently, the added product had lost its palatability, suggesting the need to isolate the saponins present in the crude material for individual use. It is not disregarded that the problem can be overcome by delivering the saponins through softer and more palatable foods preferred by the target insects.
The antifeedant effect of the aqueous extract of C. parqui has also been measured on Pieris brassicae, a butterfly that mainly feeds on cultivated varieties of Brassicaceae, especially Brassica oleracea (cabbage), and plants of the genus Tropaeolum [36]. The effect of increasing amounts of extract, added in percentages of 2, 4, 8, 16, and 32% to the lepidopteran’s diet, was measured, showing a delay in larval growth at lower concentrations, abnormal metamorphosis at intermediate concentrations, and death at the highest concentration.
It is interesting to note that it has been proven that the activity significantly decreases with the loss of the sugar bound to the steroid nucleus [37], much like what happens in the case of α-chaconine and α-solanine. Thus, it is not surprising that the saponins of C. parqui are completely ineffective against the phytopathogenic fungi Fusarium solani and Botrytis cinerea, which probably can secrete detoxifying enzymes capable of hydrolyzing the sugar chains [38].
For economic and especially environmental reasons (reassuring an increasingly reluctant civil society to the use of chemical products), many research groups are committed to identifying specific natural insecticides. For example, pine wood is particularly susceptible to colonization by organisms of the genus Leptographium spp. Ophiostoma and Ceratocystis, which, by invading the vessels, block the passage of sap and cause deterioration phenomena, including the death of plants. The activity of these pathogens, which is only visible by stripping the trunks of dead or suffering plants, is preceded by that of their vectors, mostly coleopteran insects like Hylurgus ligniperda, which, by invading plants weakened by various stresses, let the fungus penetrate the sapwood, following their galleries. The symptoms of the infection consist of a wilting of the canopy, with needles quickly turning from pale green to brown and drying up. Wood assortments undergo considerable depreciation due to aesthetic defect. To date, H. ligniperda is controlled using methyl iodide, a chemical product dangerous for users and the environment. Huanquilef et al. [39] tested various fractions of the ethanolic extract of C. parqui leaves on H. ligniperda. Thus, the fractions soluble in chloroform, ethyl acetate, and butanol, which were then added to the insect’s diet, were considered. Over the course of seven days, it was demonstrated that the considered extracts influenced the feeding behavior of the target organism in both adult organisms and larvae, with a dose-dependent effect. In particular, the chloroform extract was the most active, even at low concentrations (0.4% w/v), indicating that it can be considered for an economical and relatively simple commercial application.

3.2. Molluscicidal Activity

In the past twenty years, several authors who have tested the insecticidal and antifeeding activity of hydroalcoholic extracts from leaves have also tested their molluscicidal activity, using the snail Theba pisana as a target organism [34,35,40], a gastropod mollusk introduced into numerous areas including northern Europe, North America, parts of Africa, Asia, and Australia, where it has often become an invasive species, posing a serious problem for agriculture. These extracts are mostly produced from leaves dried at 40 °C for four days and then finely powdered. They are first extracted with petroleum ether to remove fats and then with methanol. The methanolic extract is then washed with diethyl ether, causing the precipitation of the saponin-containing fraction, which is used for various types of experiments. In some experiments, the reaction mixture was deposited at the bottom of containers where the snails were free to move, or the mixture was applied directly to the bodies of the target organisms. These snails responded to the presence of the saponin-containing mixture with a strong production of mucus, which caused their dehydration and, ultimately, death. In other experiments, the saponin-containing mixture was added to corn bran or deposited on cabbage leaves, which the snails normally feed on, or was dissolved in water in varying amounts from 2 to 8 mg/mL. In these latter three cases, the effects were minimal and mostly reduced to a slight weight loss in the animals, which stopped eating or drinking, evidently recognizing the presence of the toxic substance [40]. However, it is likely that administering the saponin mixture in different and more palatable foods could yield better results than simple contact. Considering the good results obtained, experimentation on T. pisana continued with the aim of understanding if there were differences in the toxicity of the saponin-rich crude material on the juvenile or adult form of the mollusk [41]. Two tests lasting 24 h each were used, and each was repeated three times. In the first test, the saponin-containing fraction was deposited on the surface where the snails moved at concentrations of 10, 100, 500, 1000, and 2000 ppm, respectively. A mortality rate of 100% was found with a concentration of the analyzed fraction equal to 315 µg/cm2 for adults and 157 µg/cm2 for juveniles, with LD50 values of 36 and 6 ppm, respectively. In the second test, the saponin-containing fraction was placed in direct contact with the back of the target organism in quantities of 1, 5, and 10 mg, respectively. A mortality rate of 100% was found with a crude quantity of 10 mg for adults and 5 mg for juveniles, with LD50 values of 2.6 and 1.0 mg/animal, respectively.

3.3. Phytochemical Composition

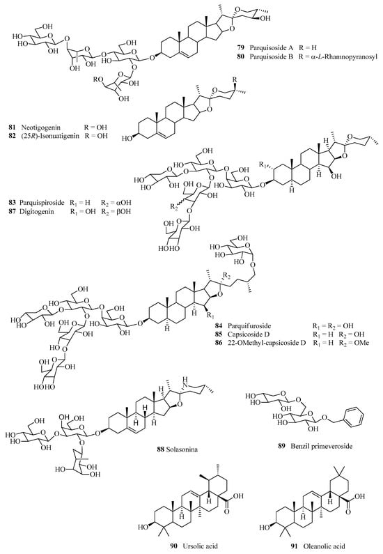
The bark and, especially, the leaves of this shrub contain a large number of secondary metabolites, generally of low molecular weight. These metabolites have been isolated from polar infusions obtained via extraction with methanol and/or ethanol/water (Scheme 1), purified using direct and reverse-phase chromatographic techniques (on column or HPLC), and identified using spectroscopic techniques (NMR, both one-dimensional and two-dimensional) and mass spectrometry. Specifically, from the organic infusions, C13-nor-isoprenoids (118, Figure 3), sesquiterpenes (1920, Figure 4), a spirostane (21, Figure 4), a pseudosapogenin (22, Figure 4), lignans (2342, Figure 5), aromatic compounds (4347 and 89, Figure 6), oxylipins (6376, Figure 8), kaurenic glycosides (7778, Figure 9), steroid saponins (7986, Figure 10), an aromatic glycoside (89, Figure 10), and pentacyclic triterpenes (9091, Figure 10) have been isolated. Conversely, from the aqueous infusion, aromatic compounds (4858, Figure 6), flavones (6062, Figure 7), a steroid saponin (87, Figure 10), and a glycoalkaloid (88, Figure 10) have been isolated.

3.4. Herbicidal Activity

From the fresh leaves of C. parqui, a total of 76 compounds were isolated (Table 2), which after purification and structural determination were tested to evaluate their phytotoxic activity. In particular, the fresh leaves were finely chopped and then infused with methanol, methanol/water: 9/1 (v/v), water/ethanol: 1/1 (v/v) + 1% NH4OH, and water, respectively. The last three infusions were dried and then extracted with solvents of increasing polarity as indicated in Scheme 1. Thus, after numerous chromatographic steps, the following compounds were isolated: the C13-nor-isoprenoids [42,43]; the sesquiterpenes [43]; the spirostan [43]; the pseudosapogenin [43]; the lignans [44,45]; the aromatic compounds 43–59 [46,47]; the flavones [46]; and the oxylipins [48].
The compounds 176 were subjected to phytotoxicity assays to evaluate their effects on seed germination and the growth of roots and seedlings of various target organisms, including Lactuca sativa, Solanum lycopersicum, Amaranthus retroflexus, Chenopodium album, Potamogeton oleracea, and Allium cepa (Table 3). The assays were performed at different concentrations ranging from 10−4 to 10−9 M, following the protocol developed by Macias et al. [54], using the well-known herbicide Pendimethalin as a reference.

3.4.1. Assay with C13-nor-Isoprenoids (118), Sesquiterpenes (1920), Spirostane (21), and Pseudosapogenin (22)

Except for nor-terpenes 3, 21, and 22, the tested compounds had no effect on germination but showed moderate inhibitory activity on root and shoot growth. The activity of the glycosylated compound 22 is intriguing, considering that glycosylation is the main detoxification mechanism adopted by plants to defend themselves against phytotoxic substances which they produce and store [55]. Among all the compounds tested, spirostane 21 was the most active, with root and shoot elongations reduced by up to 60% and germination by up to 30% at a concentration of 10−4 M. In general, the more polar compounds that are more soluble in water appear to be more active.

3.4.2. Assay with Lignans (2335, 4042)

Compounds 2335 and 4042 were tested on A. retroflexus, P. oleracea, and C. album, in a concentration range varying from 10−4 to 10−8 M. Lignans 2326 were the most active on A. retroflexus, inhibiting its germination even at the lowest concentration, while compounds 2930 showed anti-germination activity on P. oleracea and anti-radical activity on A. retroflexus. All compounds were slightly stimulating for shoot elongation of C. album and P. oleracea.

3.4.3. Assay with Lignans (3639)

These compounds were tested on L. sativa and S. lycopersicum, showing low phytotoxic activity on both. Of the four compounds in question, only compound 39 was able to inhibit the shoot length of S. lycopersicum by about 50% at a concentration of 10−4 M.

3.4.4. Assay with Aromatic Compounds (4359) and Flavones (6062)

The aqueous infusion of C. parqui leaves was tested on the germination, root length, and shoot length of L. sativa, S. lycopersicum, and A. cepa [39]. The interesting results obtained suggested dividing the entire extract into three fractions, two obtained via extraction with methylene chloride and ethyl acetate, while the third was the remaining aqueous part (Scheme 1). From the first organic fraction, compounds 4850, 5253, 5556, 60, and 62 were isolated, while from the second fraction, compounds 4347, 51, 54, 5758, and 61 were isolated. Compounds 4362 were tested on the same target organisms used for the phytotoxic evaluation of the aqueous extract, and some of them were far more active than the herbicides used as reference standards.
Only aromatic compounds 55 and 56 on L. sativa and chalcone 60 on A. cepa showed weak inhibitory effects on germination, while all others were practically inactive. Results on root elongation showed that some compounds, such as product 45, could have a phytotoxic effect on S. lycopersicum but have a stimulating effect on A. cepa, or compound 44, stimulating for A. cepa but inhibiting for L. sativa. Compounds 45 and 48 were able to inhibit the shoot length of S. lycopersicum and A. cepa by 66% and 60%, respectively, at a concentration of 1 nM [46].

3.4.5. Assay with Oxylipins (6376)

The oxylipins were also tested on L. sativa seeds but in a narrower concentration range, specifically between 10−4 and 10−8 M [48]. It is not easy to rationalize the results of the phytotoxicity of these compounds. For example, at a concentration of 10−4 M, compounds 6368 showed weak inhibitory action on germination, with values around 10%, and action on the elongation of the hypocotyl and root with inhibition values around 20%. However, at a concentration 100 times lower, only compounds 65 and 66 maintained weak inhibitory activity on root growth, while the corresponding alcohols 63 and 64, or the corresponding methyl esters 67 and 68, were even slightly stimulatory. Alternatively, compounds 69 and 71 stimulate germination and inhibit radical elongation, while compounds 70 and 72 inhibit germination and stimulate radical elongation. In general, it seems that the compounds present phytotoxicity values closely related to their degree of unsaturation, as for compounds 6368, 73, and 74, or phytotoxicity values dependent on the number of hydroxyl functions, as for compounds 75 and 76.
It is interesting to note that oxylipins seem to play a crucial role in intra- and extracellular communication in vertebrates, fungi, and plants. In microorganisms, these metabolites are involved in the regulation of cell growth and differentiation, while in plants, their role in defense mechanisms based on apoptosis processes in response to infections caused by pathogens seems to be proven.

3.5. Other Isolated Metabolites

3.5.1. Kaurenic Glycosides (7778) with Strychnine-Like Action

Two kaurenic glycosides named carbossiparquin (77) and parquin (78) have been isolated from the leaves of C. parqui, whose structures have been determined using NMR techniques and mass spectrometry [56] (Figure 9 and Table 4).
These compounds are structurally very similar, differing only in the presence of a second carboxylic function at carbon C-4 of the first compound. It is noteworthy that compounds 77 and 78 are quite like two toxins with strychnine-like action, namely carboxyatractyloside (A) and atractyloside (B), isolated from Atractylis gummifera [57]. In mice, carboxiparquin (77) has an LD50 value of 4.3 mg kg−1 and is over 50-times more toxic than crude extracts of C. parqui leaves. It is interesting to note that this toxin causes lesions in both the kidneys and the liver, like those observed in animals intoxicated after consuming C. parqui. The second compound (78) is relatively non-toxic and considered essentially a co-metabolite.

3.5.2. Cytotoxic Secondary Metabolites

Four new steroid saponins have also been isolated, three of which are monodesmosidic, called parquisoside A (79) and B (80) [58] and parquispiroside (83) [59], along with compound 84, named parquifuroside [59]; together with the known steroid saponins: neotigogenin (81) [60] and (25R)-isonuatigenin (82) [61], capsicoside D (85) [62], 22-O-methyl-capsicoside D (86) [61], and digitogenin (87) [25,61]; the glycoalkaloid solasoninee (88) [62]; and the aromatic glycoside benzyl primeveroside (89) [59] (Figure 10 and Table 4). If compounds 79 and 80 are likely capable of inhibiting carrageenan-induced edema, there is no definitive evidence to support this. However, compounds 8183 and 8689 were tested for their cytotoxicity on four human cell lines: HeLa, HepG2, U87, and MCF7. Of these latter five compounds, only compound 81 showed moderate activity, with IC50 values of 7.7, 7.2, 14.1, and 3.3 μM, respectively. These values are quite promising considering that cisplatin, an antineoplastic chemotherapeutic agent used in the treatment of numerous tumors but with significant side effects, has much higher LC50 values of 39.2, 14.6, 7.3, and 23.0 μM, respectively [58].
Table 4. Other metabolites isolated from the leaves of C. parqui.
Table 4. Other metabolites isolated from the leaves of C. parqui.
No.Common Name/IUPAC NameRef.
77Carboxiparquin[56]
78Parquin
79Parquisoside A/(3β,24S,25S)-spirost-5-ene-3,24-diol 3-O-{[α-L-rhamnopyranosyl-(1→2)]-β-D-glucopyranosyl-(1→4)-α-L-rhamnopyranosyl-(1→4)]-β-D-glucopyranoside[58]
80Parquisoside B/(3β,24S,25S)-spirost-5-ene-3,24-diol 3-O-{[α -L-rhamnopyranosyl-(1→4)-α-L-rhamnopyranosyl-(1→2)]-β-D-glucopyranosyl-(1→4)-α-L-rhamnopyranosyl-(1→4)}-β-D-glucopyranoside[58]
81Neotigogenin[59]
82(25R)-Isonuatigenin[59]
83Parquispiroside/25(R)-3β-[(O-β-D-glucopyranosyl-(1→3)-β-D-glucopyranosyl-(1→2)-O-[β-D-xylopyranosyl-(1→3)-O-β-D-glucopyranosyl-(1→4)-β-D-galactopyranosyl)oxy]-5α,15β,22R,25R-spirostan-3,15-diol[58]
84Parquifuroside/25(R)-26-[(β-D-Glucopyranosyl)oxy]-(3β[(O-β-D-glucopyranosyl-(1→3)-β-D-glucopyranosyl-(1→2)-O-[β-D-xylopyranosyl-(1→3)-O-β-D-glucopyranosyl-(1→4)-β-D-galactopyranosyl)oxy],5α,15β,22R,25R)-furostane-3,15,22-triol[58]
85Capsicoside D[62]
8622-O-Methylcapsicoside D[58]
87Digitogenin[25,62]
88Solasonine[62]
89Benzyl primeveroside[58]
90Ursolic acid[58]
91Oleanolic acid[19,62]

4. Conclusions

Many Solanaceae are edible plants and are essential for human nutrition, but there are some which are extremely toxic, such as Cestrum parqui L’Herit, to the point that exposure to its leaves can cause respiratory difficulty, nausea, headache, and other unpleasant symptoms.
In the traditional medicine of some countries, C. parqui is used as an antipyretic and for the treatment of fever and inflammation. Its extracts showed moderate antimicrobial activity and possible anticancer and antiproliferative action on specific cell lines. Numerous studies have allowed for the isolation and the structural determination of just under one hundred secondary metabolites, such as C13-nor-isoprenoids, sesquiterpenes, lignans, aromatic compounds, flavones, kaurenic glycosides, saponins, and alkaloids. Many of these compounds, but not all, have been studied to evaluate their insecticidal, antifeedant, and herbicidal activities both on weedy plants such as A. retroflexus, P. oleracea, and C. album, and on cultivated plants such as A. cepa, L. sativa, and S. lycopersicum.
In several cases, the activities measured proved to be higher. However, to date, the results are not definitive because it is not yet clear whether it is preferable to use an alcoholic or hydroalcoholic extract of the plant leaves or the individual metabolites. All of this suggests and justifies the significant interest in this plant, with possible and concrete commercial application.

Author Contributions

Conceptualization, M.C.D.M. and C.D.M.; resources, A.R.B. and S.P.; writing, P.N. and D.P.; supervision, A.D.M. All authors have read and agreed to the published version of the manuscript.

Funding

This research received no external funding.

Data Availability Statement

Not applicable.

Acknowledgments

This study was supported by AIPRAS Onlus (Associazione Italiana per la Promozione delle Ricerche sull’Ambiente e la Salute umana).

Conflicts of Interest

The authors declare no conflicts of interest.

References

  1. Dewick, P.M. Medicinal Natural Products: A Biosynthetic Approach; John Wiley & Sons: Hoboken, NJ, USA, 2002. [Google Scholar]
  2. Zhan, C.; Shen, S.; Yang, C.; Liu, Z.; Fernie, A.R.; Graham, I.A.; Luo, J. Plant metabolic gene clusters in the multi-omics era. Trends Plant Sci. 2022, 27, 981–1001. [Google Scholar] [CrossRef]
  3. Souto, A.L.; Sylvestre, M.; Tölke, E.D.; Tavares, J.F.; Barbosa-Filho, J.M.; Cebrián-Torrejón, G. Plant-Derived Pesticides as an Alternative to Pest Management and Sustainable Agricultural Production: Prospects, Applications and Challenges. Molecules 2021, 26, 4835. [Google Scholar] [CrossRef]
  4. Available online: https://keyserver.lucidcentral.org/weeds/data/media/Html/cestrum_parqui.htm (accessed on 5 May 2024).
  5. L’Héritier de Brutelle, C.L.; Redouté, P.J.; Fréret, L. Stirpes Novae aut Minus Cognitae, Quas Descriptionibus et Iconibus; Ex Typographia Philippi-Dionysii Pierres; Nabu Press: Miami, NY, USA, 1784. [Google Scholar]
  6. Ruiz, H. Travels of Ruiz, Pavon, and Dombey in Peru and Chile; Field Museum Press: Chicago, IL, USA, 1940. [Google Scholar]
  7. Hunziker, A.T. Genera Solanacearum: The Genera of the Solanaceae Illustrated, Arranged According to a New System; Gantner Verlag: Ruggell, Liechtenstein, 2001. [Google Scholar]
  8. Available online: https://www.actaplantarum.org/flora/flora_info.php?id=2055&nnn=Cestrum%20parqui%20L%27H%C3%A9r (accessed on 17 July 2024).
  9. Olmstead, R.G.; Bohs, L.; Migid, H.A.; Santiago-Valentin, E.; Garcia, V.F.; Collier, S.M. A molecular phylogeny of the Solanaceae. Taxon 2008, 57, 1159–1181. [Google Scholar] [CrossRef]
  10. Olmstead, R.G. Phylogeny and Biogeography in Solanaceae, Verbenaceae and Bignoniaceae: A Comparison of Continental and Intercontinental Diversification Patterns. Bot. J. Linn. Soc. 2013, 171, 80–102. [Google Scholar] [CrossRef]
  11. Available online: https://powo.science.kew.org/taxon/urn:lsid:ipni.org:names:30046363-2 (accessed on 10 May 2024).
  12. Available online: https://europlusmed.org/cdm_dataportal/taxon/51664b74-b63f-4381-af29-46de5ef8d171 (accessed on 18 July 2024).
  13. Available online: www.worldplants.de (accessed on 10 May 2024).
  14. Groves, R.H.; Boden, R.; Lonsdale, W.M. Jumping the Garden Fence: Invasive Garden Plants in Australia and Their Environmental and Agricultural Impacts; WWF: Sydney, Australia, 2005. [Google Scholar]
  15. Estomba, D.; Ladio, A.; Lozada, M. Plantas medicinales utilizadas por una comunidad Mapuche en las cercanías de Junín de los Andes, Neuquén. BLACPMA 2005, 4, 107–112. [Google Scholar]
  16. Backhouse, N.; Delporte, C.; Negrete, R.; Salinas, P.; Pinto, A.; Aravena, S.; Cassels, B.K. Antiinflammatory and Antipyretic Activities of Cuscuta chilensis, Cestrum parqui, and Psoralea glandulosa. Int. J. Pharmacogn. Pharm. 1996, 34, 53–57. [Google Scholar] [CrossRef]
  17. Molgaard, P.; Holler, J.G.; Asar, B.; Liberna, I.; Rosenbæk, L.B.; Jebjerg, C.P.; Jørgensen, L.; Lauritzen, J.; Guzman, A.; Adsersen, A.; et al. Antimicrobial evaluation of Huilliche plant medicine used to treat wounds. J. Ethnopharmacol. 2011, 138, 219–227. [Google Scholar] [CrossRef]
  18. Chenni, H. Apoptosis induction by Cestrum parqui L’Hér. leaves on HL-60 Cell Line: Identification of active phytomolecules. Int. J. Cancer. Stud. Res. 2015, 1, 1–8. [Google Scholar]
  19. Chenni, H. Identification of esterified oleanolic acid in Cestrum parqui leaves and its apoptotic induction on HT-29 cell line. J. Med. Pharm. Innov. 2015, 2, 63–68. [Google Scholar]
  20. Falkenberg, S.S.; Tarnow, I.; Guzman, A.; Mølgaard, P.; Simonsen, H.T. Mapuche herbal medicine inhibits blood platelet aggregation. Evid. Based Complement. Alternat. Med. 2012, 2012, 647620. [Google Scholar] [CrossRef]
  21. Souad, K.; Ali, S.; Mounir, A.; Mounir, T.M. Spermicidal activity of extract from Cestrum parqui. Contraception 2007, 75, 152–156. [Google Scholar] [CrossRef] [PubMed]
  22. El-Sayed, A.S.A.; George, N.M.; Abou-Elnour, A.; El-Mekkawy, R.M.; El-Demerdash, M.M. Production and bioprocessing of camptothecin from Aspergillus terreus, an endophyte of Cestrum parqui, restoring their biosynthetic potency by Citrus limonum peel extracts. Microb. Cell Fact. 2023, 22, 4. [Google Scholar] [CrossRef] [PubMed]
  23. Demain, A.L.; Vaishnav, P. Natural products for cancer chemotherapy. Microb. Biotechnol. 2011, 4, 687–699. [Google Scholar] [CrossRef] [PubMed]
  24. Canham, P.A.S.; Warren, F.L. Saponins II. Isolation of gitogenin and digitogenin from Cestrum parqui. S. Afr. J. Chem. 1950, 3, 63–65. [Google Scholar]
  25. Bianchi, E.; Girardi, F.; Diaz, F.; Sandoval, R.; Gonzales, M. Components of the leaves and fruit of Cestrum parqui: Tigogenin, digallogenin, digitogenin and ursolic acid. Ann. Chim.-Rom. 1963, 53, 1761–1778. [Google Scholar]
  26. Bezerra, J.J.L.; Pinheiro, A.A.V.; de Lucena, R.B. Poisoning in ruminants caused by species of the genus Cestrum L. (Solanaceae) in Brazil: A review of toxicological and phytochemical evidence. Toxicon 2023, 236, 107348. [Google Scholar] [CrossRef] [PubMed]
  27. Brevis, C.; Quezada, M.; Sierra, M.A.; Carrasco, L.; Ruiz, A. Lesiones observadas en intoxicaciones accidentales con Cestrum parqui (L’Herit) en bovinos. Arch.Med. Vet. 1999, 31, 109–118. [Google Scholar] [CrossRef]
  28. Barbouche, N.; Hajem, B.; Lognay, G.; Ammar, M. Contribution for studying the biological activity of the leaves extracts of Cestrum parqui L’Herit. on desert locust Schistocera gregaria. Biotechnol. Agron. Soc. 2001, 5, 85–90. [Google Scholar]
  29. Ikbal, C.; Ben, H.K.; Ben, H.M. Insect growth regulator activity of Cestrum parqui saponins: An interaction with cholesterol metabolism. Commun. Agric. Appl. Biol. Sci. 2006, 71, 489–496. [Google Scholar]
  30. Zapata, N.; Budia, F.; Viñuela, E.; Medina, P. Insecticidal effects of various concentrations of selected extractions of Cestrum parqui on adult and immature Ceratitis capitata. J. Econ. Entomol. 2006, 99, 359–365. [Google Scholar] [CrossRef] [PubMed]
  31. Thomas, M.C.; Heppner, J.B.; Woodruff, R.E.; Weems, H.V.; Steck, G.J.; Fasulo, T.R. Mediterranean Fruit Fly, Ceratitis Capitata. (Wiedemann) (Insecta: Diptera, Tephritidae); University of Florida: Gainesville, FL, USA, 2001; IFASA Extension 2001, EENY-214. [Google Scholar]
  32. Huerta, A.; Chiffelle, I.; Araya, L.; Curkovic, T.; Araya, J.E. Insecticidal capacity of Cestrum parqui (Solanaceae) leaf extracts on Xanthogaleruca luteola (Coleoptera: Chrysomelidae) adults. Rev. Colomb. Entomol. 2021, 47, e10492. [Google Scholar] [CrossRef]
  33. Ben Hamouda, A.; Ammar, M.; Habib, M.; Hamouda, B. Effect of Olea europea and Cestrum parquii Leaves on the Cuticle and Brain of the Desert Locust, Schistocerca gregaria Forsk (Orthoptera:Acrididae). Pest Technol. 2011, 5, 55–58. [Google Scholar]
  34. Chaieb, I.; Halima-Kamel, M.B.; Ben, M.H. Antifeedant activity of Cestrum parqui crude saponic extract. Tunis. J. Med. Plants Nat. Prod. 2009, 1, 27–33. [Google Scholar]
  35. Chaieb, I.; Mounia, B.H.; Habib, B.H. Toxicity experiments of the saponic extract of Cestrum parqui (Solanaceae) on some insect spices. J. Entomol. 2007, 4, 113–120. [Google Scholar]
  36. Chaieb, I.; Mounia, B.H. The effect of food containing Cestrum paquii (Solanaceae) extract on various damaging Lepidoptera. Meded. Rijksuniv. Gent. Fak. Landbouwkd. Toegepaste Biol. Wet. 2001, 66, 479–490. [Google Scholar]
  37. Chaieb, I.; Habib, B.; Hichem, B.J.; Monia, B.H.; Habib, B.H.; Zine, M. Purification of a natural insecticidal substance from Cestrum parqui (Solanaceae). PJBS 2007, 10, 3822–3828. [Google Scholar]
  38. Chaieb, I.; Ben, H.; Trabelsi, M.; Hlawa, W.; Raouani, N.; Ben, A.; Daami, M.; Ben, H. Pesticidal Potentialities of Cestrum parqui saponins. Int. J. Agric. Res. 2003, 2, 275–281. [Google Scholar]
  39. Huanquilef, C.; Espinoza, J.; Mutis, A.; Bardehle, L.; Hormazábal, E.; Urzúa, A.; Quiroz, A. Antifeedant activities of organic fractions from Cestrum parqui leaves on the red-haired bark beetle Hylurgus ligniperda. J. Soil Sci. Plant Nutrit. 2021, 21, 13–21. [Google Scholar] [CrossRef]
  40. Chaieb, I.; Halima-Kamel, M.B.; Hammouda, M.B. Experiments for studying the molluscicidal potential of Cestrum parqui (Solanaceae) saponins against Theba pisana (Helicidae) snails. Comm. Agric. Appl. Biol. Sci. 2005, 70, 809–815. [Google Scholar]
  41. Chaieb, I.; Tayeb, W. Comparison of the molluscicidal activity of Cestrum parqui (Solanaceae) and Quillaja saponaria (Quillajaceae) saponins. Tunis. J. Med. Plants Nat. Prod. 2009, 2, 31–35. [Google Scholar]
  42. D’Abrosca, B.; DellaGreca, M.; Fiorentino, A.; Monaco, P.; Oriano, P.; Temussi, F. Structure elucidation and phytotoxicity of C13-nor-isoprenoids from Cestrum parqui. Phytochemistry 2004, 65, 497–505. [Google Scholar] [CrossRef]
  43. D’Abrosca, B.; DellaGreca, M.; Fiorentino, A.; Monaco, P.; Natale, A.; Oriano, P.; Zarrelli, A. Structural characterization of phytotoxic terpenoids from Cestrum parqui. Phytochemistry 2005, 66, 2681–2688. [Google Scholar] [CrossRef] [PubMed]
  44. Fiorentino, A.; DellaGreca, M.; D’Abrosca, B.; Oriano, P.; Golino, A.; Izzo, A.; Monaco, P. Lignans, neolignans and sesquilignans from Cestrum parqui l’Her. Biochem. Syst. Ecol. 2007, 35, 392–396. [Google Scholar] [CrossRef]
  45. D’Abrosca, B.; DellaGreca, M.; Fiorentino, A.; Golino, A.; Monaco, P.; Zarrelli, A. Isolation and characterization of new lignans from the leaves of Cestrum parqui. Nat. Prod. Res. 2006, 20, 293–298. [Google Scholar] [CrossRef]
  46. D’Abrosca, B.; DellaGreca, M.; Fiorentino, A.; Monaco, P.; Zarrelli, A. Low molecular weight phenols from the bioactive aqueous fraction of Cestrum parqui. J. Agric. Food Chem. 2004, 52, 4101–4108. [Google Scholar] [CrossRef] [PubMed]
  47. DellaGreca, M.; Fiorentino, A.; Izzo, A.; Napoli, F.; Purcaro, R.; Zarrelli, A. Phytotoxicity of secondary metabolites from Aptenia cordifolia. Chem. Biodivers. 2007, 4, 118–128. [Google Scholar] [CrossRef] [PubMed]
  48. Fiorentino, A.; D’Abrosca, B.; DellaGreca, M.; Izzo, A.; Natale, A.; Pascarella, M.T.; Pacifico, S.; Zarrelli, A.; Monaco, P. Chemical characterization of new oxylipins from Cestrum parqui, and their effects on seed germination and early seedling growth. Chem. Biodivers. 2008, 5, 1780–1791. [Google Scholar] [CrossRef] [PubMed]
  49. Cangiano, T.; DellaGreca, M.; Fiorentino, A.; Isidori, M.; Monaco, P.; Zarrelli, A. Lactone diterpenes from the aquatic plant Potamogeton natans. Phytochemistry 2001, 56, 469–473. [Google Scholar] [CrossRef] [PubMed]
  50. Cangiano, T.; DellaGreca, M.; Fiorentino, A.; Isidori, M.; Monaco, P. Effect of ent-labdane diterpenes from Potamogetonaceae on Selenastrum capricornutum and other aquatic organisms. J. Chem. Ecol. 2002, 28, 1091–1102. [Google Scholar] [CrossRef] [PubMed]
  51. Pollio, A.; Romanucci, V.; Di Mauro, A.; Barra, F.; Pinto, G.; Crescenzi, E.; Roscetto, E.; Palumbo, G. Polyphenolic profile and targeted bioactivity of methanolic extracts from Mediterranean ethnomedicinal plants on human cancer cell lines. Molecules 2016, 21, 395. [Google Scholar] [CrossRef] [PubMed]
  52. Cutillo, F.; D’Abrosca, B.; DellaGreca, M.; Zarrelli, A. Chenoalbicin, a novel cinnamic acid amide alkaloid from Chenopodium album. Chem. Biodivers. 2004, 1, 1579–1583. [Google Scholar] [CrossRef] [PubMed]
  53. DellaGreca, M.; Previtera, L.; Purcaro, R.; Zarrelli, A. Cinnamic ester derivatives from Oxalis pes-caprae (Bermuda buttercup). J. Nat. Prod. 2007, 70, 1664–1667. [Google Scholar] [CrossRef] [PubMed]
  54. Macıas, F.A.; Castellano, D.; Molinillo, J.M.G. Search for standard phytotoxicity bioassay for allelochemicals. Selection of standard target species. J. Agric. Food Chem. 2000, 48, 2512–2521. [Google Scholar] [CrossRef] [PubMed]
  55. le Roy, J.; Huss, B.; Creach, A.; Hawkins, S.; Neutelings, G. Glycosylation is a major regulator of phenylpropanoid availability and biological activity in plants. Front. Plant Sci. 2016, 7, 735. [Google Scholar] [CrossRef] [PubMed]
  56. Pearce, C.M.; Skelton, N.J.; Naylor, S.; Kanaan, R.; Kelland, J.; Oelrichs, P.B.; Sanders, J.K.M.; Williams, D.H. Parquin and carboxyparquin, toxic kaurene glycosides from the shrub Cestrum parqui. J. Chem. Soc. 1992, 1, 593–600. [Google Scholar] [CrossRef]
  57. Daniele, C.; Dahamna, S.; Firuzi, O.; Sekfali, N.; Saso, L.; Mazzanti, G. Atractylis gummifera L. poisoning: An ethnopharmacological review. J. Ethnopharmacol. 2005, 97, 175–181. [Google Scholar] [CrossRef] [PubMed]
  58. Baqai, F.T.; Ali, A.; Ahmad, V. Two new spirostanol glycosides from Cestrum parqui. Helv. Chim. Acta 2001, 84, 3350–3356. [Google Scholar] [CrossRef]
  59. Mosad, R.R.; Ali, M.H.; Ibrahim, M.T.; Shaaban, H.M.; Emara, M.; Wahba, A.E. New cytotoxic steroidal saponins from Cestrum parqui. Phytochem. Lett. 2017, 22, 167–173. [Google Scholar] [CrossRef]
  60. Abdel-Gwad, M.M.; El-Amin, S.M.; El-Sayed, M.M.; Refahy, L.A.; Sabry, W.A. Molluscicidal saponins from Cestrum parqui. AJPS 1997, 20, 80–84. [Google Scholar]
  61. Torres, R.; Modak, B.; Faini, F. (25R)-Isonuatigenin, an unusual steroidal sapogenin as taxonomicmarker in Cestrum parqui and Vestia lycioides. Biol. Soc. Chil. Quim. 1988, 33, 239–241. [Google Scholar]
  62. Silva, M.; Mancinelli, P.; Cheul, M. Chemical study of Cestrum parqui. J. Pharm. Sci. 1962, 51, 289. [Google Scholar] [CrossRef] [PubMed]
Figure 1. Flowers of Cestrum parqui L’Herit.
Figure 1. Flowers of Cestrum parqui L’Herit.
Plants 13 02044 g001
Figure 2. World distribution of C. parqui.
Figure 2. World distribution of C. parqui.
Plants 13 02044 g002
Scheme 1. Isolation of C13-nor-isoprenoids, sesquiterpenes, spirostanes, pseudosapogenins, lignans, aromatic compounds, flavones, and oxylipins.
Scheme 1. Isolation of C13-nor-isoprenoids, sesquiterpenes, spirostanes, pseudosapogenins, lignans, aromatic compounds, flavones, and oxylipins.
Plants 13 02044 sch001
Figure 3. C13-nor-isoprenoids isolated from C. parqui.
Figure 3. C13-nor-isoprenoids isolated from C. parqui.
Plants 13 02044 g003
Figure 4. Sesquiterpenes (1920), spirostane (21), and pseudosapogenin (22) isolated from C. parqui.
Figure 4. Sesquiterpenes (1920), spirostane (21), and pseudosapogenin (22) isolated from C. parqui.
Plants 13 02044 g004
Figure 5. Lignans from C. parqui.
Figure 5. Lignans from C. parqui.
Plants 13 02044 g005
Figure 6. Aromatic compounds C6C1 (4350), C6C2 (5152), and C6C3 (5359) from C. parqui.
Figure 6. Aromatic compounds C6C1 (4350), C6C2 (5152), and C6C3 (5359) from C. parqui.
Plants 13 02044 g006
Figure 7. Flavonoids from C. parqui.
Figure 7. Flavonoids from C. parqui.
Plants 13 02044 g007
Figure 8. Polyol fatty acids 6364 and 73, methylated oxylipins 67 and 68, and oxylipins 6566, 6972, and 7476 (Note that 63/64, 65/66, 67/68, 69/70, and 71/72 are five diastereomeric couples of compounds).
Figure 8. Polyol fatty acids 6364 and 73, methylated oxylipins 67 and 68, and oxylipins 6566, 6972, and 7476 (Note that 63/64, 65/66, 67/68, 69/70, and 71/72 are five diastereomeric couples of compounds).
Plants 13 02044 g008
Figure 9. Kaurenic glycosides (7778).
Figure 9. Kaurenic glycosides (7778).
Plants 13 02044 g009
Figure 10. Saponins and aromatic glycosides.
Figure 10. Saponins and aromatic glycosides.
Plants 13 02044 g010
Table 1. Phylogenetic taxonomy of C. parqui [4,9,10].
Table 1. Phylogenetic taxonomy of C. parqui [4,9,10].
KingdomPlantae
Sub-kingdomTracheophytes
DivisionAngiosperms
ClassEudicots
Sub-classAsterids
OrderLamianae Takht
Sub-orderSolanales Juss. ex Bercht. and J. Presl
FamilySolanaceae’ Juss
TribeCestreae
GenusCestrum L.
Speciesparqui
Table 2. Secondary metabolites isolated from the leaves of C. parqui and tested for their potential phytotoxic activity in different studies.
Table 2. Secondary metabolites isolated from the leaves of C. parqui and tested for their potential phytotoxic activity in different studies.
No.NameRef
C13-nor-isoprenoids
1(6R,9R)-9-Hydroxy-4-megastigmen-3-one
2(2R,6R,9R)-2,9-Dihydroxy-4-megastigmen-3-one
3Byzantionoside A
4Annuionone E
5(3R,6R,7E,9R)-3,9-Dihydroxy-4,7-megastigmadiene
6(3R,6R,7E)-3-Hydroxy-4,7-megastigmadien-9-one
7(6R,7E,9R)-9-Hydroxy-4,7-megastigmadien-3-one
8Byzantionoside B
9Corcoionolo C
10(3S,5R,6R,7E,9R)-3,5,6,9-Tetrahydroxy-7-megastigmene[42,46]
11(3S,5R,6R,7E,9R)-5,6,9-Trihydroxy-3-isopropyloxy-7-megastigmene
124-Oxo-β-ionol/(7E)-9-Hydroxy-5,7-megastigmadien-4-one
13(3S,7E,9R)-3,9-Dihydroxy-5,7-megastigmadiene
14(3R,7E)-3-Hydroxy-5,7-megastigmadien-9-one
15(3S,5R,6S,7E)-5,6-Epoxy-3-hydroxy-7-megastigmen-9-one
16(3S,5R,6S,7E,9R)-5,6-Epoxy-3,9-dihydroxy-7-megastigmene
17(6E,9S)-9-Hydroxy-4,6-megastigmadien-3-one
18(6Z,9S)-9-Hydroxy-4,6-megastigmadien-3-one
Sesquiterpenes
1912-Hydroxy-α-cyperone[43]
201,2,2a,3,6,7,8,8a-Octahydro-7-hydroxy-2a,7,8-trimethylacenaphthylen-4(4H)-one[49,50]
Spirostane
215α-Spirostan-3β,12β,15α-triol[43]
Pseudosapogenine
2226-O-(30-Isopentanoyl)-β-D-glucopyranosyl-5α-furost-20(22)-ene-3β,26-diol[43]
Lignans Diepoxylignans
23(+)-Pinoresinol[44]
24(+)-Mediaresinol
25(+)-Syringaresinol
26β-D-Glucopyranoside, 2,6-dimethoxy-4-[(1S,3aR,4S,6aR)-tetrahydro-4-(4-hydroxy-3,5-dimethoxyphenyl)-1H,3H-furo[3,4-c]furan-1-yl]phenyl
Epoxylignans
27(+)-Lariciresinol[44]
28(+)-Justiciresinol
295′-Methoxylariciresinol
30(−)-Berchemol
Neolignans
31cis-Dehydrodiconiferyl alcohol[44]
32trans-Dehydrodiconiferyl alcohol
33(−)-Simulanol,
Sesquilignans
34rel-(7Z,7′β,7″β,8′α,8″α)-4″,9,9′,9″-Tetrahydroxy-3,3′,3″-trimethoxy-4,7′:4′,7″-diepoxy-5,8′:5′,8″-sesquilign-7-ene[44]
35Herpetotriol
36rel-(7Z,7′α,7″α,8′β,8″β)-4″,9,9′,9″-Tetrahydroxy-3,3′,3″-trimethoxy-4,7′:4′,7″-diepoxy-5,8′:5′,8″-sesquilign-7-ene
37rel-(7E,7′α,7″α,8′β,8″β)-4″,9,9′,9″-Tetrahydroxy-3,3′,3″-trimethoxy-4,7′:4′,7″-diepoxy-5,8′:5′,8″-sesquilign-7-ene
40threo-4′,4″,7″,9″-Tetrahydroxy-3,3′,3″,5′-tetramethoxy-
4,8″-oxy-7,9′:7′,9-diepoxylignan
41erythro-4′,4″,7″,9″-Tetrahydroxy-3,3′,3″,5′-tetramethoxy-
4,8″-oxy-7,9′:7′,9-diepoxylignan
42erythro-4′,4″,7″,9″-Tetrahydroxy-
3,3′,3″,5,5′-pentamethoxy-4,8″-oxy-7,9′:7′,9-diepoxylignan
Oxyneolignan
38Dimethyl (7′E)-3,3′-dimethoxy-4,40-oxyneolign-7′-ene-9,9′-dioate[44,45]
Norlignan
399′-Nor-3′,4,4′-trihydroxy-3,5-dimethoxylign-7-eno-9,7′-lactone[44,45]
Aromatic compounds
434-Hydroxybenzaldehyde[46,47,51,52,53]
443,5-Dimethoxybenzaldehyde
454-Hydroxybenzoic acid
46Vanillic acid
47Syringic acid
48Methyl 4-hydroxybenzoate
49Methyl vanillate
50Methyl syringate
51Tirosol
523′,5′-Dimethoxy-4′-hydroxy-2-hydroxy-acetophenone
53p-Coumaric acid
54Caffeic acid
55Methyl ferulate
56Methyl ester of caffeic acid
57p-Dihydrocoumaric acid
58Methyl ester of p-dihydrocoumaric acid
59Dihydrosynapic acid
Flavones
604′-Hydroxy-4-methoxychalcon[46]
61Quercitin
62N-(p-Carboxymethylphenyl)-p-hydroxybenzamide
Oxylipins
63(8S,9R,10E,12R,14Z)-Heptadeca-10,14-diene-1,8,9,12-tetraol[48]
64(8S,9R,10E,12S,14Z)-Heptadeca-10,14-diene-1,8,9,12-tetraol
65(9S,10R,11E,13R,15Z)-9,10,13-Trihydroxyoctadeca-11,15-dienoic acid
66(9S,10R,11E,13S,15Z)-9,10,13-Trihydroxyoctadeca-11,15-dienoic acid
67Methyl (9S,10R,11E,13R,15Z)-9,10,13-trihydroxyoctadeca-11,15-dienoate
68Methyl (9S,10R,11E,13S,15Z)-9,10,13-trihydroxyoctadeca-11,15-dienoate
69(9S,10R,11E,13R)-9,10,13-Trihydroxyoctadec-11-enoic acid
70(9S,10R,11E,13S)-9,10,13-Trihydroxyoctadec-11-enoic acid
71Methyl (9S,10R,11E,13R)-9,10,13-trihydroxyoctadec-11-enoate
72Methyl (9S,10R,11E,13S)-9,10,13-trihydroxyoctadec-11-enoate
73(8S,9S,10R,11Z,14Z)-Heptadeca-11,14-diene-1,8,9,10-tetraol
74(9S,10S,11R,12Z,15Z)-9,10,11-Trihydoxyoctadeca-12,15-dienoic acid
75Methyl 10-hydroxyoctadec-12-enoate
76Methyl (9S,10E,12Z,15Z)-octadeca-10,12,15-trien-9-ol
Table 3. Range of tested concentrations and target organisms for the phytotoxicity tests of the compounds 176.
Table 3. Range of tested concentrations and target organisms for the phytotoxicity tests of the compounds 176.
CompoundsRange of ConcentrationsOrganism Test
L. sativaS.lycopersicumA. retroflexusC. albumP. oleraceaA. cepa
11310−4–10−7 Mx
141810−5–10−7 Mx
192210−4–10−7 Mx
233510−4–10−8 M xxx
363910−4–10−7 Mxx
404210−4–10−8 M xxx
435910−4–10−9 Mxx x
606210−4–10−9 Mxx x
637610−4–10−8 Mx
Disclaimer/Publisher’s Note: The statements, opinions and data contained in all publications are solely those of the individual author(s) and contributor(s) and not of MDPI and/or the editor(s). MDPI and/or the editor(s) disclaim responsibility for any injury to people or property resulting from any ideas, methods, instructions or products referred to in the content.

Share and Cite

MDPI and ACS Style

Di Meo, M.C.; Di Marino, C.; Napoletano, P.; De Marco, A.; Bianchi, A.R.; Pedatella, S.; Palatucci, D. Functional, Chemical, and Phytotoxic Characteristics of Cestrum parqui L’Herit: An Overview. Plants 2024, 13, 2044. https://doi.org/10.3390/plants13152044

AMA Style

Di Meo MC, Di Marino C, Napoletano P, De Marco A, Bianchi AR, Pedatella S, Palatucci D. Functional, Chemical, and Phytotoxic Characteristics of Cestrum parqui L’Herit: An Overview. Plants. 2024; 13(15):2044. https://doi.org/10.3390/plants13152044

Chicago/Turabian Style

Di Meo, Maria Chiara, Cinzia Di Marino, Pasquale Napoletano, Anna De Marco, Anna Rita Bianchi, Silvana Pedatella, and Domenico Palatucci. 2024. "Functional, Chemical, and Phytotoxic Characteristics of Cestrum parqui L’Herit: An Overview" Plants 13, no. 15: 2044. https://doi.org/10.3390/plants13152044

APA Style

Di Meo, M. C., Di Marino, C., Napoletano, P., De Marco, A., Bianchi, A. R., Pedatella, S., & Palatucci, D. (2024). Functional, Chemical, and Phytotoxic Characteristics of Cestrum parqui L’Herit: An Overview. Plants, 13(15), 2044. https://doi.org/10.3390/plants13152044

Note that from the first issue of 2016, this journal uses article numbers instead of page numbers. See further details here.

Article Metrics

Back to TopTop