Enhancing Lettuce Yield through Innovative Foliar Spray of Biopolymers Derived from Municipal Biowastes
Abstract
1. Introduction
2. Results
2.1. Morpho-Biometric Parameters
2.2. Chlorophylls and Carotenoid Contents
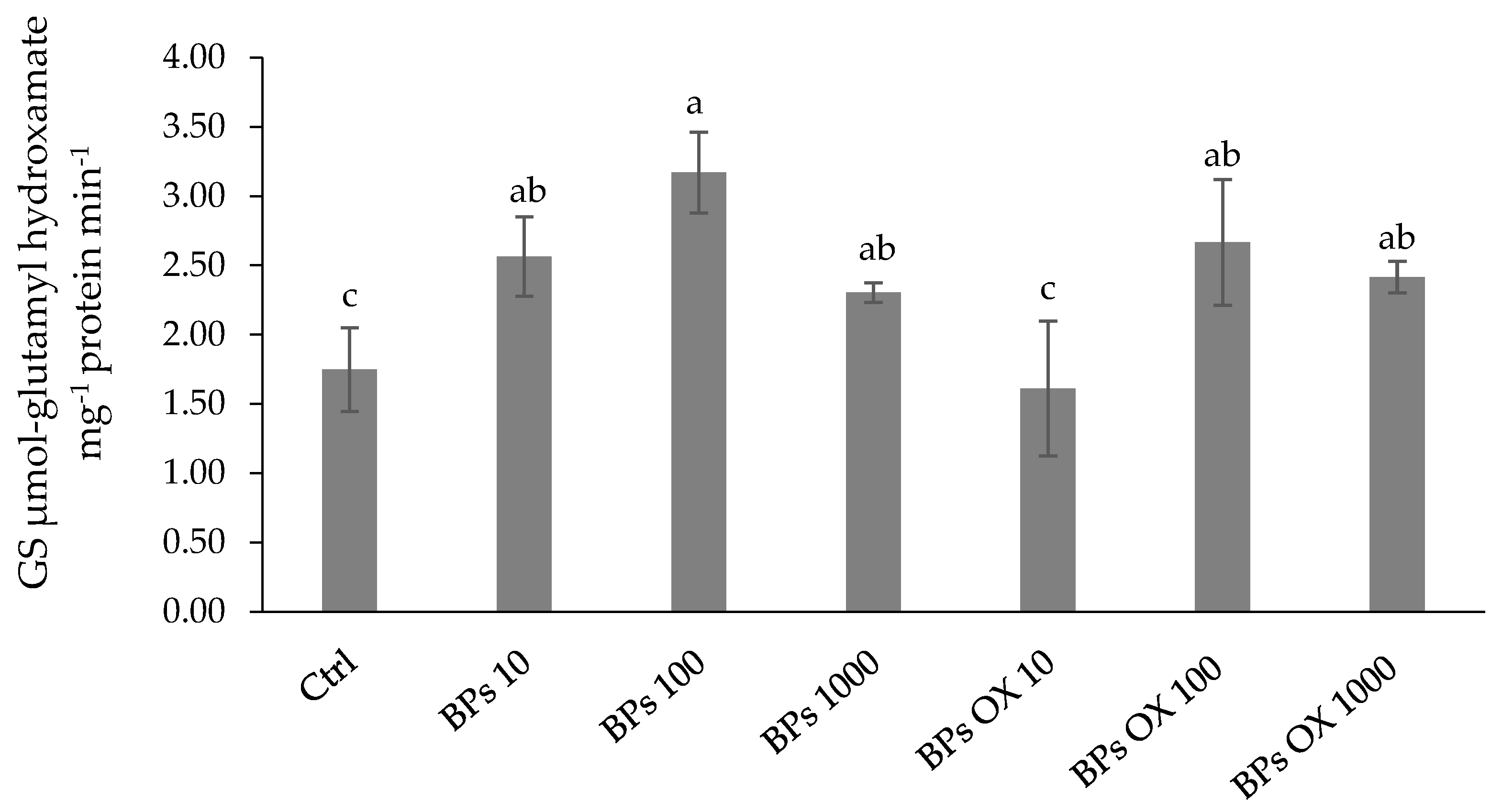
2.3. Protein Extraction and Enzymatic Activities
3. Discussion
4. Materials and Methods
4.1. Materials
4.2. Experimental Site and Plant Material
4.3. Treatments
4.4. Morpho-Biometric Parameters
4.5. Chlorophyll and Carotenoid Contents
4.6. Protein Extraction and Enzymatic Activities
4.7. Statistical Analyses
5. Conclusions
Author Contributions
Funding
Data Availability Statement
Acknowledgments
Conflicts of Interest
References
- Sharma, S.; Misra, S.K.; Singh, J. Critical review on the Solid-wastes issue: Generation, Composition, Disposal and their recycling potential for various applications. J. Phys. Conf. Ser. 2021, 1804, 012147. [Google Scholar] [CrossRef]
- Eighmy, T.T.; Kosson, D.S. USA national overview on waste management. Waste Manag. 1996, 16, 361–366. [Google Scholar] [CrossRef]
- United Nations, Department of Economic and Social Affairs, Population Division. Global Population Growth and Sustainable Development; UN DESA/POP/2021/TR/NO.2; United Nations: New York, NY, USA, 2021.
- Jeswani, H.K.; Chilvers, A.; Azapagic, A. Environmental sustainability of biofuels: A review. Proc. R. Soc. A 2020, 476, 20200351. [Google Scholar] [CrossRef] [PubMed]
- Castillo-Giménez, J.; Montañés, A.; Picazo-Tadeo, A.J. Performance and convergence in municipal waste treatment in the European Union. Waste Manag. 2019, 85, 222–231. [Google Scholar] [CrossRef] [PubMed]
- Montoneri, E.; Fabbri, G.; Quagliotto, P.; Baglieri, A.; Padoan, E.; Boero, V.; Negre, M. High molecular weight biosurfactants from mild chemical reactions of fermented municipal biowastes. ChemistrySelect 2020, 5, 2564–2576. [Google Scholar] [CrossRef]
- Fragalà, F.; Puglisi, I.; Padoan, E.; Montoneri, E.; Stevanato, P.; Gomez, J.M.; Herrero, N.; La Bella, E.; Salvagno, E.; Baglieri, A. Effect of municipal biowaste derived biostimulant on nitrogen fate in the plant-soil system during lettuce cultivation. Sci. Rep. 2023, 13, 7944. [Google Scholar] [CrossRef] [PubMed]
- Franzoni, G.; Cocetta, G.; Prinsi, B.; Ferrante, A.; Espen, L. Biostimulants on crops: Their impact under abiotic stress conditions. Horticulturae 2022, 8, 189. [Google Scholar] [CrossRef]
- Guilayn, F.; Benbrahim, M.; Rouez, M.; Crest, M.; Patureau, D.; Jimenez, J. Humic-like substances extracted from different digestates: First trials of lettuce biostimulation in hydroponic culture. Waste Manag. 2020, 104, 239–245. [Google Scholar] [CrossRef] [PubMed]
- Bento, L.R.; Melo, C.A.; Ferreira, O.P.; Moreira, A.B.; Mounier, S.; Piccolo, A.; Spaccini, R.; Bisinoti, M.C. Humic extracts of hydrochar and Amazonian Dark Earth: Molecular characteristics and effects on maize seed germination. Sci. Total Environ. 2020, 708, 135000. [Google Scholar] [CrossRef]
- Savarese, C.; Cozzolino, V.; Verrillo, M.; Vinci, G.; De Martino, A.; Scopa, A.; Piccolo, A. Combination of humic biostimulants with a microbial inoculum improves lettuce productivity, nutrient uptake, and primary and secondary metabolism. Plant Soil. 2022, 481, 285–314. [Google Scholar] [CrossRef]
- Fragalà, F.; Castello, I.; Puglisi, I.; Padoan, E.; Baglieri, A.; Montoneri, E.; Vitale, A. New insights into municipal biowaste derived products as promoters of seed germination and potential antifungal compounds for sustainable agriculture. Chem. Biol. Technol. Agric. 2022, 9, 69. [Google Scholar] [CrossRef]
- Lucini, L.; Rouphael, Y.; Cardarelli, M.; Canaguier, R.; Kumar, P.; Colla, G. The effect of a plant-derived biostimulant on metabolic profiling and crop performance of lettuce grown under saline conditions. Sci. Hortic. 2015, 182, 124–133. [Google Scholar] [CrossRef]
- Montoneri, E.; Baglieri, A.; Fascella, G. Biostimulant effects of waste derived biobased products in the cultivation of ornamental and food plants. Agriculture 2022, 12, 994. [Google Scholar] [CrossRef]
- Buturi, C.V.; Sabatino, L.; Mauro, R.P.; Navarro-León, E.; Blasco, B.; Leonardi, C.; Giuffrida, F. Iron biofortification of greenhouse soilless lettuce: An effective agronomic tool to improve the dietary mineral intake. Agronomy 2022, 12, 1793. [Google Scholar] [CrossRef]
- Muhie, S.H. Plant Biostimulants in Organic Horticulture: A Review. J. Plant Growth Regul. 2023, 42, 2698–2710. [Google Scholar] [CrossRef]
- Abdelgawad, K.F.; Mhmoud, A.A.; Mohamed, H.F. Foliar spraying with some biostimulants improves growth, chemical constituents, and yield of head lettuce plant. Middle East. J. Agric. Res. 2018, 7, 1268–1277. [Google Scholar]
- Cristofano, F.; El-Nakhel, C.; Rouphael, Y. Biostimulant substances for sustainable agriculture: Origin, operating mechanisms and effects on cucurbits, leafy greens, and nightshade vegetables species. Biomolecules 2021, 11, 1103. [Google Scholar] [CrossRef]
- Tao, Y.; Shen, L.; Han, S.; Li, Z.; Cui, Y.; Lin, Y.; Qu, J.; Zhang, Y. Metagenomic study of carbon metabolism in black soil microbial communities under lead-lanthanum stress. J. Hazard. Mater. 2023, 446, 130666. [Google Scholar] [CrossRef]
- Bulgari, R.; Cocetta, G.; Trivellini, A.; Vernieri, P.A.O.L.O.; Ferrante, A. Biostimulants and crop responses: A review. Biol. Agric. Hortic. 2015, 31, 1–17. [Google Scholar] [CrossRef]
- Canellas, L.P.; Canellas, N.O.; da Silva, R.M.; Spaccini, R.; Mota, G.P.; Olivares, F.L. Biostimulants using humic substances and plant-growth-promoting bacteria: Effects on cassava (Manihot esculentus) and okra (Abelmoschus esculentus) yield. Agronomy 2022, 13, 80. [Google Scholar] [CrossRef]
- Nardi, S.; Schiavon, M.; Francioso, O. Chemical structure and biological activity of humic substances define their role as plant growth promoters. Molecules 2021, 26, 2256. [Google Scholar] [CrossRef] [PubMed]
- Klavins, M.; Grandovska, S.; Obuka, V.; Ievinsh, G. Comparative study of biostimulant properties of industrially and experimentally produced humic substances. Agronomy 2021, 11, 1250. [Google Scholar] [CrossRef]
- Savy, D.; Brostaux, Y.; Cozzolino, V.; Delaplace, P.; Du Jardin, P.; Piccolo, A. Quantitative structure-activity relationship of humic-like biostimulants derived from agro-industrial byproducts and energy crops. Front. Plant Sci. 2020, 11, 581. [Google Scholar] [CrossRef] [PubMed]
- Palumbo, G.; Schiavon, M.; Nardi, S.; Ertani, A.; Celano, G.; Colombo, C.M. Biostimulant potential of humic acids extracted from an amendment obtained via combination of olive mill wastewaters (OMW) and a pre-treated organic material derived from municipal solid waste (MSW). Front. Plant Sci. 2018, 9, 383035. [Google Scholar] [CrossRef] [PubMed]
- Jindo, K.; Olivares, F.L.; Malcher, D.J.D.P.; Sánchez-Monedero, M.A.; Kempenaar, C.; Canellas, L.P. From lab to field: Role of humic substances under open-field and greenhouse conditions as biostimulant and biocontrol agent. Front. Plant Sci. 2020, 11, 530151. [Google Scholar] [CrossRef] [PubMed]
- de Moura, O.V.T.; Berbara, R.L.L.; de Oliveira Torchia, D.F.; Da Silva, H.F.O.; de Castro, T.A.V.T.; Tavares, O.C.H.; Rodrigues, N.F.; Zonta, E.; Santos, L.A.; García, A.C. Humic foliar application as sustainable technology for improving the growth, yield, and abiotic stress protection of agricultural crops. A review. J. Saudi Soc. Agric. Sci. 2023, 22, 493–513. [Google Scholar]
- Wang, Y.; Yang, R.; Zheng, J.; Shen, Z.; Xu, X. Exogenous foliar application of fulvic acid alleviate cadmium toxicity in lettuce (Lactuca sativa L.). Ecotoxicol. Environ. Saf. 2019, 167, 10–19. [Google Scholar] [CrossRef] [PubMed]
- Raheem, S.M.; Al-Jaf, H.I.; Tofiq, G.K. Influence of foliar and soil application of humic acid on growth and yield of lettuce. Euphrates J. Agric. Sci. 2018, 10, 199–204. [Google Scholar]
- Conselvan, G.B.; Pizzeghello, D.; Francioso, O.; Di Foggia, M.; Nardi, S.; Carletti, P. Biostimulant activity of humic substances extracted from leonardites. Plant Soil 2017, 420, 119–134. [Google Scholar] [CrossRef]
- Piccolo, A. The supramolecular structure of humic substances. Soil. Sci. 2001, 166, 810–832. [Google Scholar] [CrossRef]
- Pizzeghello, D.; Cocco, S.; Francioso, O.; Ferrari, E.; Cardinali, A.; Nardi, S.; Agnelli, A.; Corti, G. Snow vole (Chionomys nivalis Martins) affects the redistribution of soil organic matter and hormone-like activity in the alpine ecosystem: Ecological implications. Ecol. Evol. 2015, 5, 4542–4554. [Google Scholar] [CrossRef] [PubMed]
- Smilkova, M.; Smilek, J.; Kalina, M.; Klucakova, M.; Pekar, M.; Sedlacek, P. A simple technique for assessing the cuticular diffusion of humic acid biostimulants. Plant Methods 2019, 15, 83. [Google Scholar] [CrossRef] [PubMed]
- Tejada, M.; Rodríguez-Morgado, B.; Gómez, I.; Franco-Andreu, L.; Benítez, C.; Parrado, J. Use of biofertilizers obtained from sewage sludges on maize yield. Eur. J. Agron. 2016, 78, 13–19. [Google Scholar] [CrossRef]
- Havlin, J.L.; Beaton, J.D.; Tisdale, S.L.; Nelson, W.L. Soil Fertility and Fertilizers: An Introduction to Nutrient Management, 6th ed.; Prentice-Hall Inc.: Upper Saddle, NJ, USA, 1999; p. 485+499. [Google Scholar]
- Taiz, L.; Zeiger, E.; Møller, I.M.; Murphy, A. Plant Physiology and Development; Sinauer Associates: Oxford, UK, 2018. [Google Scholar]
- Nemie-Feyissa, D.; Królicka, A.; Førland, N.; Hansen, M.; Heidari, B.; Lillo, C. Post-translational control of nitrate reductase activity responding to light and photosynthesis evolved already in the early vascular plants. J. Plant Physiol. 2013, 170, 662–667. [Google Scholar] [CrossRef] [PubMed]
- Lea, P.J. Nitrogen Metabolism. In Plant Biochemistry and Molecular Biology, 2nd ed.; Leegood, R.C., Ed.; Wiley: Hoboken, NJ, USA, 1993; pp. 155–180. [Google Scholar]
- Gupta, N.; Gupta, A.K.; Gaur, V.S.; Kumar, A. Relationship of nitrogen use efficiency with the activities of enzymes involved in nitrogen uptake and assimilation of finger millet genotypes grown under different nitrogen inputs. Sci. World J. 2012, 2012, 625731. [Google Scholar] [CrossRef] [PubMed]
- La Bella, E.; Baglieri, A.; Rovetto, E.I.; Stevanato, P.; Puglisi, I. Foliar spray application of Chlorella vulgaris extract: Effect on the growth of lettuce seedlings. Agronomy 2021, 11, 308. [Google Scholar] [CrossRef]
- Puglisi, I.; La Bella, E.; Rovetto, E.I.; Stevanato, P.; Fascella, G.; Baglieri, A. Morpho-biometric and biochemical responses in lettuce seedlings treated by different application methods of Chlorella vulgaris extract: Foliar spray or root drench? J. Appl. Phycol. 2022, 34, 889–901. [Google Scholar] [CrossRef]
- Santoro, D.F.; Sicilia, A.; Testa, G.; Cosentino, S.L.; Lo Piero, A.R. Global leaf and root transcriptome in response to cadmium reveals tolerance mechanisms in Arundo donax L. BMC Genom. 2022, 23, 427. [Google Scholar] [CrossRef] [PubMed]
- Ottaiano, L.; Di Mola, I.; Cozzolino, E.; El-Nakhel, C.; Rouphael, Y.; Mori, M. Biostimulant application under different nitrogen fertilization levels: Assessment of yield, leaf quality, and nitrogen metabolism of tunnel-grown lettuce. Agronomy 2021, 11, 1613. [Google Scholar] [CrossRef]
- Navarro-León, E.; López-Moreno, F.J.; Borda, E.; Marín, C.; Sierras, N.; Blasco, B.; Ruiz, J.M. Effect of l-amino acid-based biostimulants on nitrogen use efficiency (NUE) in lettuce plants. J. Sci. Food Agric. 2022, 102, 7098–7106. [Google Scholar] [CrossRef]
- Radkowski, A.; Radkowska, I.; Bocianowski, J.; Sladkovska, T.; Wolski, K. The effect of foliar application of an amino acid-based biostimulant on lawn functional value. Agronomy 2020, 10, 1656. [Google Scholar] [CrossRef]
- Sumanta, N.; Haque, C.I.; Nishika, J.; Suprakash, R. Spectrophotometric analysis of chlorophylls and carotenoids from commonly grown fern species by using various extracting solvents. Res. J. Chem. Sci. 2014, 2231, 606X. [Google Scholar]
- Kaiser, W.M.; Huber, S.C. Post-translational regulation of nitrate reductase: Mechanism, physiological relevance and environmental triggers. J. Exp. Bot. 2001, 52, 1981–1989. [Google Scholar] [CrossRef] [PubMed]
- Cánovas, F.M.; Cantón, F.R.; Gallardo, F.; García-Gutiérrez, A.; de Vicente, A. Accumulation of glutamine synthetase during early development of maritime pine (Pinus pinaster) seedlings. Planta 1991, 185, 372–378. [Google Scholar] [CrossRef]
- Avila, C.; Botella, J.R.; Cánovas, F.M.; de Castro, I.N.; Valpuesta, V. Different characteristics of the two glutamate synthases in the green leaves of Lycopersicon esculentum. Plant Physiol. 1987, 85, 1036–1039. [Google Scholar] [CrossRef]







| Lettuce Length (cm) | FW (g) | DW (g) | Ash (g) | |
|---|---|---|---|---|
| Ctrl | 17.33 ± 0.33 c | 165.33 ± 0.85 e | 11.56 ± 0.13 d | 0.92 ± 0.012 a |
| BPs 10 | 23.83 ± 0.93 a | 212.44 ± 10.04 ab | 13.51 ± 0.79 bc | 0.93 ± 0.005 a |
| BPs 100 | 23.00 ± 0.76 ab | 202.85 ± 3.28 bc | 12.93 ± 0.003 c | 0.93 ± 0.003 a |
| BPs 1000 | 22.33 ± 0.83 ab | 197.03 ± 4.89 bcd | 14.73 ± 0.28 a | 0.92 ± 0.008 a |
| BPs OX 10 | 20.16 ± 1.42 bc | 183.65 ± 2.86 d | 13.43 ± 0.10 bc | 0.93 ± 0.002 a |
| BPs OX 100 | 22.66 ± 0.93 ab | 220.78 ± 3.39 a | 14.91 ± 0.61 a | 0.92 ± 0.010 a |
| BPs OX 1000 | 22.33 ± 1.45 ab | 195.15 ± 5.97 cd | 14.60 ± 0.13 ab | 0.92 ± 0.011 a |
| Name | Chemical Treatment of Digestate | Amount (mg L−1) | Foliar Application (Number) |
|---|---|---|---|
| Ctrl | - | - | - |
| BPs 10 | Alkaline hydrolysis | 10 | 3 |
| BPs 100 | Alkaline hydrolysis | 100 | 3 |
| BPs 1000 | Alkaline hydrolysis | 1000 | 3 |
| BPs OX 10 | Alkaline hydrolysis + ozone oxidation | 10 | 3 |
| BPs OX 100 | Alkaline hydrolysis + ozone oxidation | 100 | 3 |
| BPs OX 1000 | Alkaline hydrolysis + ozone oxidation | 1000 | 3 |
Disclaimer/Publisher’s Note: The statements, opinions and data contained in all publications are solely those of the individual author(s) and contributor(s) and not of MDPI and/or the editor(s). MDPI and/or the editor(s) disclaim responsibility for any injury to people or property resulting from any ideas, methods, instructions or products referred to in the content. |
© 2024 by the authors. Licensee MDPI, Basel, Switzerland. This article is an open access article distributed under the terms and conditions of the Creative Commons Attribution (CC BY) license (https://creativecommons.org/licenses/by/4.0/).
Share and Cite
Fragalà, F.; Salvagno, E.; La Bella, E.; Saccone, R.; Padoan, E.; Montoneri, E.; Miccichè, J.; Ferrarello, D.; Baglieri, A.; Puglisi, I. Enhancing Lettuce Yield through Innovative Foliar Spray of Biopolymers Derived from Municipal Biowastes. Plants 2024, 13, 1664. https://doi.org/10.3390/plants13121664
Fragalà F, Salvagno E, La Bella E, Saccone R, Padoan E, Montoneri E, Miccichè J, Ferrarello D, Baglieri A, Puglisi I. Enhancing Lettuce Yield through Innovative Foliar Spray of Biopolymers Derived from Municipal Biowastes. Plants. 2024; 13(12):1664. https://doi.org/10.3390/plants13121664
Chicago/Turabian StyleFragalà, Ferdinando, Erika Salvagno, Emanuele La Bella, Rossella Saccone, Elio Padoan, Enzo Montoneri, Jennifer Miccichè, Daniela Ferrarello, Andrea Baglieri, and Ivana Puglisi. 2024. "Enhancing Lettuce Yield through Innovative Foliar Spray of Biopolymers Derived from Municipal Biowastes" Plants 13, no. 12: 1664. https://doi.org/10.3390/plants13121664
APA StyleFragalà, F., Salvagno, E., La Bella, E., Saccone, R., Padoan, E., Montoneri, E., Miccichè, J., Ferrarello, D., Baglieri, A., & Puglisi, I. (2024). Enhancing Lettuce Yield through Innovative Foliar Spray of Biopolymers Derived from Municipal Biowastes. Plants, 13(12), 1664. https://doi.org/10.3390/plants13121664

