TLR2 and TLR4 Surface and Gene Expression in White Blood Cells after Fasting and Oral Glucose, Lipid and Protein Challenges: Influence of Obesity and Sex Hormones
Abstract
1. Introduction
2. Materials and Methods
2.1. Subjects
2.2. Ethics
2.3. Study Design
2.4. Flow Cytometry
2.5. Gene Expression
2.6. Sample Size Analysis
2.7. Statistical Analysis
3. Results
3.1. Effect of Group and Obesity on Clinical, Hormonal, and Biochemical Variables
3.2. Influence of Group and Obesity on Cell-Surface and Gene Expression of TLR2, TLR4, and on Cell-Surface Expression of CD36 and CD86 at Fasting
3.3. Effect of Macronutrient Challenges on Cell-Surface and Gene Expression of TLR2, TLR4, and on Cell-Surface Expression of CD36 and CD86
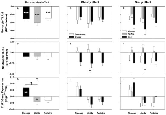
3.3.1. Effect of Group and Obesity on TLR2 Expression after Macronutrient Challenges
3.3.2. Effect of Group and Obesity on TLR4 Expression after Macronutrient Challenges
3.3.3. Effect of Group and Obesity on Monocyte CD36 and CD86 Expression after Macronutrient Challenges
4. Discussion
5. Conclusions
Supplementary Materials
Author Contributions
Funding
Conflicts of Interest
Abbreviations
References
- Hotamisligil, G.S.; Erbay, E. Nutrient sensing and inflammation in metabolic diseases. Nat. Rev. Immunol. 2008, 8, 923–934. [Google Scholar] [CrossRef] [PubMed]
- Jin, C.; Flavell, R.A. Innate sensors of pathogen and stress: Linking inflammation to obesity. J. Allergy Clin. Immunol. 2013, 132, 287–294. [Google Scholar] [CrossRef] [PubMed]
- Kawai, T.; Akira, S. The role of pattern-recognition receptors in innate immunity: Update on Toll-like receptors. Nat. Immunol. 2010, 11, 373–384. [Google Scholar] [CrossRef] [PubMed]
- Stewart, C.R.; Stuart, L.M.; Wilkinson, K.; van Gils, J.M.; Deng, J.; Halle, A.; Rayner, K.J.; Boyer, L.; Zhong, R.; Frazier, W.A.; et al. CD36 ligands promote sterile inflammation through assembly of a Toll-like receptor 4 and 6 heterodimer. Nat. Immunol. 2010, 11, 155–161. [Google Scholar] [CrossRef] [PubMed]
- Triantafilou, M.; Gamper, F.G.; Haston, R.M.; Mouratis, M.A.; Morath, S.; Hartung, T.; Triantafilou, K. Membrane sorting of toll-like receptor (TLR)-2/6 and TLR2/1 heterodimers at the cell surface determines heterotypic associations with CD36 and intracellular targeting. J. Biol. Chem. 2006, 281, 31002–31011. [Google Scholar] [CrossRef] [PubMed]
- Kaisho, T.; Takeuchi, O.; Kawai, T.; Hoshino, K.; Akira, S. Endotoxin-induced maturation of MyD88-deficient dendritic cells. J. Immunol. 2001, 166, 5688–5694. [Google Scholar] [CrossRef]
- Li, L.; Xu, G.; Duan, C. TLR2 affects CD86 expression and inflammatory response in burn injury mice through regulation of p38. Biochem. Cell Biol. 2017, 95, 549–555. [Google Scholar] [CrossRef]
- Fernandez-Real, J.M.; Ricart, W. Insulin resistance and inflammation in an evolutionary perspective: The contribution of cytokine genotype/phenotype to thriftiness. Diabetologia 1999, 42, 1367–1374. [Google Scholar] [CrossRef]
- Jialal, I.; Kaur, H.; Devaraj, S. Toll-like receptor status in obesity and metabolic syndrome: A translational perspective. J. Clin. Endocrinol. Metab. 2014, 99, 39–48. [Google Scholar] [CrossRef]
- Sepehri, Z.; Kiani, Z.; Nasiri, A.A.; Kohan, F. Toll-like receptor 2 and type 2 diabetes. Cell Mol. Biol. Lett. 2016, 21, 2. [Google Scholar] [CrossRef]
- Velloso, L.A.; Folli, F.; Saad, M.J. TLR4 at the Crossroads of Nutrients, Gut Microbiota, and Metabolic Inflammation. Endocr. Rev. 2015, 36, 245–271. [Google Scholar] [CrossRef] [PubMed]
- Escobar-Morreale, H.F.; Alvarez-Blasco, F.; Botella-Carretero, J.I.; Luque-Ramirez, M. The striking similarities in the metabolic associations of female androgen excess and male androgen deficiency. Hum. Reprod. 2014, 29, 2083–2091. [Google Scholar] [CrossRef] [PubMed]
- Escobar-Morreale, H.F.; Luque-Ramirez, M.; Gonzalez, F. Circulating inflammatory markers in polycystic ovary syndrome: A systematic review and metaanalysis. Fertil. Steril. 2011, 95, 1048–1058. [Google Scholar] [CrossRef] [PubMed]
- Gonzalez, F. Circulating inflammatory markers in polycystic ovary syndrome: A systematic review and metaanalysis. Semin. Reprod. Med. 2015, 33, 276–286. [Google Scholar] [CrossRef] [PubMed]
- Grossman, C.J. Interactions between the gonadal steroids and the immune system. Science 1985, 227, 257–261. [Google Scholar] [CrossRef] [PubMed]
- Klein, S.L.; Flanagan, K.L. Sex differences in immune responses. Nat. Rev. Immunol. 2016, 16, 626–638. [Google Scholar] [CrossRef]
- Kovats, S. Estrogen receptors regulate innate immune cells and signaling pathways. Cell Immunol. 2015, 294, 63–69. [Google Scholar] [CrossRef]
- Trigunaite, A.; Dimo, J.; Jorgensen, T.N. Suppressive effects of androgens on the immune system. Cell Immunol. 2015, 294, 87–94. [Google Scholar] [CrossRef]
- Garcia-Gomez, E.; Gonzalez-Pedrajo, B.; Camacho-Arroyo, I. Role of sex steroid hormones in bacterial-host interactions. Biomed Res. Int. 2013, 2013, 928290. [Google Scholar] [CrossRef]
- Bahceci, M.; Aydemir, M.; Tuzcu, A. Effects of oral fat and glucose tolerance test on serum lipid profile, apolipoprotein, and CRP concentration, and insulin resistance in patients with polycystic ovary syndrome. Fertil. Steril. 2007, 87, 1363–1368. [Google Scholar] [CrossRef]
- Calder, P.C.; Ahluwalia, N.; Brouns, F.; Buetler, T.; Clement, K.; Cunningham, K.; Esposito, K.; Jonsson, L.S.; Kolb, H.; Lansink, M.; et al. Dietary factors and low-grade inflammation in relation to overweight and obesity. Br. J. Nutr. 2011, 106, S5–S78. [Google Scholar] [CrossRef]
- KyawTun, T.; McGowan, A.; Phelan, N.; Correia, N.; Boran, G.; O’Connor, A.L.; Roche, H.M.; Gibney, J. Obesity and insulin resistance are the main determinants of postprandial lipoprotein dysmetabolism in polycystic ovary syndrome. Int. J. Endocrinol. 2016, 2016, 18. [Google Scholar] [CrossRef]
- Sottero, B.; Gargiulo, S.; Russo, I.; Barale, C.; Poli, G.; Cavalot, F. Postprandial dysmetabolism and oxidative stress in type 2 diabetes: Pathogenetic mechanisms and therapeutic strategies. Med. Res. Rev. 2015, 35, 968–1031. [Google Scholar] [CrossRef] [PubMed]
- Galland, L. Diet and inflammation. Nutr. Clin. Pract. 2010, 25, 634–640. [Google Scholar] [CrossRef] [PubMed]
- Escobar-Morreale, H.F.; Martinez-Garcia, M.A.; Montes-Nieto, R.; Fernandez-Duran, E.; Temprano-Carazo, S.; Luque-Ramirez, M. Effects of glucose ingestion on circulating inflammatory mediators: Influence of sex and weight excess. Clin. Nutr. 2016, 36, 522–529. [Google Scholar] [CrossRef] [PubMed]
- Pietraszek, A.; Gregersen, S.; Hermansen, K. Acute effects of dietary fat on inflammatory markers and gene expression in first-degree relatives of type 2 diabetes patients. Rev. Diabet. Stud. 2011, 8, 477–489. [Google Scholar] [CrossRef] [PubMed]
- Pahwa, R.; Jialal, I. Hyperglycemia induces toll-like receptor activity through increased oxidative stress. Metab. Syndr. Relat. Disord. 2016, 14, 239–241. [Google Scholar] [CrossRef]
- Comitato, R.; Saba, A.; Turrini, A.; Arganini, C.; Virgili, F. Sex hormones and macronutrient metabolism. Crit. Rev. Food Sci. Nutr. 2014, 55, 227–241. [Google Scholar] [CrossRef]
- Kasim-Karakas, S.E.; Cunningham, W.M.; Tsodikov, A. Relation of nutrients and hormones in polycystic ovary syndrome. Am. J. Clin. Nutr. 2007, 85, 688–694. [Google Scholar] [CrossRef]
- Khoury, D.E.; Hwalla, N.; Frochot, V.; Lacorte, J.M.; Chabert, M.; Kalopissis, A.D. Postprandial metabolic and hormonal responses of obese dyslipidemic subjects with metabolic syndrome to test meals, rich in carbohydrate, fat or protein. Atherosclerosis 2010, 210, 307–313. [Google Scholar] [CrossRef]
- Van Erk, M.J.; Blom, W.A.; van Ommen, B.; Hendriks, H.F. High-protein and high-carbohydrate breakfasts differentially change the transcriptome of human blood cells. Am. J. Clin. Nutr. 2006, 84, 1233–1241. [Google Scholar] [CrossRef] [PubMed]
- Alshahrani, A.; BinKhunayfir, A.; Al Rayih, M.; Al Sayed, H.; Alsadoon, A.; Al Dubayee, M.; Zahra, M.; Alrumayyan, Y.; Al Zayer, M.; Nasr, A.; et al. Phenotypic Characterization of Human Monocytes following Macronutrient Intake in Healthy Humans. Front. Immunol. 2017, 8, 1293. [Google Scholar] [CrossRef] [PubMed]
- Azziz, R.; Carmina, E.; Dewailly, D.; Diamanti-Kandarakis, E.; Escobar-Morreale, H.F.; Futterweit, W.; Janssen, O.E.; Legro, R.S.; Norman, R.J.; Taylor, A.E.; et al. Positions statement: Criteria for defining polycystic ovary syndrome as a predominantly hyperandrogenic syndrome: An Androgen Excess Society guideline. J. Clin. Endocrinol. Metab. 2006, 91, 4237–4245. [Google Scholar] [CrossRef] [PubMed]
- Montes-Nieto, R.; Insenser, M.; Murri, M.; Fernandez-Duran, E.; Ojeda-Ojeda, M.; Martinez-Garcia, M.A.; Luque-Ramirez, M.; Escobar-Morreale, H.F. Plasma thiobarbituric acid reactive substances (TBARS) in young adults: Obesity increases fasting levels only in men whereas glucose ingestion, and not protein or lipid intake, increases postprandial concentrations regardless of sex and obesity. Mol. Nutr. Food Res. 2017, 61. [Google Scholar] [CrossRef]
- Morris, C.; O’Grada, C.; Ryan, M.; Roche, H.M.; Gibney, M.J.; Gibney, E.R.; Brennan, L. Identification of differential responses to an oral glucose tolerance test in healthy adults. PLoS ONE 2013, 8, e72890. [Google Scholar] [CrossRef]
- Escobar-Morreale, H.F.; Sanchon, R.; San Millan, J.L. A prospective study of the prevalence of nonclassical congenital adrenal hyperplasia among women presenting with hyperandrogenic symptoms and signs. J. Clin. Endocrinol. Metab. 2008, 93, 527–533. [Google Scholar] [CrossRef]
- Matsuda, M.; DeFronzo, R.A. Insulin sensitivity indices obtained from oral glucose tolerance testing: Comparison with the euglycemic insulin clamp. Diabetes Care 1999, 22, 1462–1470. [Google Scholar] [CrossRef]
- Matthews, D.R.; Hosker, J.P.; Rudenski, A.S.; Naylor, B.A.; Treacher, D.F.; Turner, R.C. Homeostasis model assessment: Insulin resistance and beta-cell function from fasting plasma glucose and insulin concentrations in man. Diabetologia 1985, 28, 412–419. [Google Scholar] [CrossRef]
- Martinez-Garcia, M.A.; Moncayo, S.; Insenser, M.; Montes-Nieto, R.; Fernandez-Duran, E.; Alvarez-Blasco, F.; Luque-Ramirez, M.; Escobar-Morreale, H.F. Postprandial inflammatory responses after oral glucose, lipid and protein challenges: Influence of obesity, sex and polycystic ovary syndrome. Clin. Nutr. 2019. [Google Scholar] [CrossRef]
- Gonzalez, F.; Rote, N.S.; Minium, J.; Kirwan, J.P. Increased activation of nuclear factor kappaB triggers inflammation and insulin resistance in polycystic ovary syndrome. J. Clin. Endocrinol. Metab. 2006, 91, 1508–1512. [Google Scholar] [CrossRef]
- Fan, H.; Cook, J.A. Molecular mechanisms of endotoxin tolerance. J. Endotoxin Res. 2004, 10, 71–84. [Google Scholar] [CrossRef] [PubMed]
- Zhang, H.; Zhao, C.; Li, X.; Zhu, Y.; Gan, C.S.; Wang, Y.; Ravasi, T.; Qian, P.Y.; Wong, S.C.; Sze, S.K. Study of monocyte membrane proteome perturbation during lipopolysaccharide-induced tolerance using iTRAQ-based quantitative proteomic approach. Proteomics 2010, 10, 2780–2789. [Google Scholar] [CrossRef] [PubMed]
- Nicholson, J.K.; Holmes, E.; Kinross, J.; Burcelin, R.; Gibson, G.; Jia, W.; Pettersson, S. Host-Gut Microbiota Metabolic Interactions. Science 2012, 336, 1262–1267. [Google Scholar] [CrossRef] [PubMed]
- Madhumitha, H.; Mohan, V.; Kumar, N.P.; Pradeepa, R.; Babu, S.; Aravindhan, V. Impaired toll-like receptor signalling in peripheral B cells from newly diagnosed type-2 diabetic subjects. Cytokine 2015, 76, 253–259. [Google Scholar] [CrossRef] [PubMed]
- Scholtes, V.P.; Versteeg, D.; de Vries, J.P.; Hoefer, I.E.; Schoneveld, A.H.; Stella, P.R.; Doevendans, P.A.; van Keulen, K.J.; de Kleijn, D.P.; Moll, F.L.; et al. Toll-like receptor 2 and 4 stimulation elicits an enhanced inflammatory response in human obese patients with atherosclerosis. Clin. Sci. Lond 2011, 121, 205–214. [Google Scholar] [CrossRef] [PubMed]
- Markle, J.G.; Fish, E.N. SeXX matters in immunity. Trends Immunol. 2014, 35, 97–104. [Google Scholar] [CrossRef]
- Dominguez-Mozo, M.I.; Garcia-Montojo, M.; Lopez-Cavanillas, M.; De Las Heras, V.; Garcia-Martinez, A.; Arias-Leal, A.M.; Casanova, I.; Urcelay, E.; Arroyo, R.; Alvarez-Lafuente, R. Toll-like receptor-9 in S panish multiple sclerosis patients: An association with the gender. Eur. J. Neurol. 2014, 21, 537–540. [Google Scholar] [CrossRef]
- Koupenova, M.; Mick, E.; Mikhalev, E.; Benjamin, E.J.; Tanriverdi, K.; Freedman, J.E. Sex differences in platelet toll-like receptors and their association with cardiovascular risk factors. Arter. Thromb Vasc. Biol. 2015, 35, 1030–1037. [Google Scholar] [CrossRef]
- Shimabukuro, M.; Sato, H.; Izaki, H.; Fukuda, D.; Uematsu, E.; Hirata, Y.; Yagi, S.; Soeki, T.; Sakaue, H.; Kanayama, H.O.; et al. Depot- and gender-specific expression of NLRP3 inflammasome and toll-like receptors in adipose tissue of cancer patients. Biofactors 2016, 42, 397–406. [Google Scholar] [CrossRef]
- Leimgruber, C.; Quintar, A.A.; Garcia, L.N.; Petiti, J.P.; De Paul, A.L.; Maldonado, C.A. Testosterone abrogates TLR4 activation in prostate smooth muscle cells contributing to the preservation of a differentiated phenotype. J. Cell Physiol. 2013, 228, 1551–1560. [Google Scholar] [CrossRef]
- Rettew, J.A.; Huet-Hudson, Y.M.; Marriott, I. Testosterone reduces macrophage expression in the mouse of toll-like receptor 4, a trigger for inflammation and innate immunity. Biol. Reprod. 2008, 78, 432–437. [Google Scholar] [CrossRef] [PubMed]
- Jitprasertwong, P.; Charadram, N.; Kumphune, S.; Pongcharoen, S.; Sirisinha, S. Female sex hormones modulate Porphyromonasgingivalis lipopolysaccharide-induced Toll-like receptor signaling in primary human monocytes. J. Periodontal. Res. 2016, 51, 395–406. [Google Scholar] [CrossRef] [PubMed]
- Rettew, J.A.; Huet, Y.M.; Marriott, I. Estrogens augment cell surface TLR4 expression on murine macrophages and regulate sepsis susceptibility in vivo. Endocrinology 2009, 150, 3877–3884. [Google Scholar] [CrossRef] [PubMed]
- Singh, A.; Bora, P.; Krishna, A. Systemic adiponectin treatment reverses polycystic ovary syndrome-like features in an animal model. Reprod. Fertil. Dev. 2017, 30, 571–584. [Google Scholar] [CrossRef]
- Wang, Y.; He, J.; Yang, J. Eicosapentaenoic Acid Improves Polycystic Ovary Syndrome in Rats via Sterol Regulatory Element-Binding Protein 1 (SREBP-1)/Toll-Like Receptor 4 (TLR4) Pathway. Med. Sci. Monit. 2018, 24, 2091–2097. [Google Scholar] [CrossRef]
- Gu, B.X.; Wang, X.; Yin, B.L.; Guo, H.B.; Zhang, H.L.; Zhang, S.D.; Zhang, C.L. Abnormal expression of TLRs may play a role in lower embryo quality of women with polycystic ovary syndrome. Syst. Biol. Reprod. Med. 2016, 62, 353–358. [Google Scholar] [CrossRef]
- Gonzalez, F.; Considine, R.V.; Abdelhadi, O.A.; Acton, A.J. Saturated fat ingestion promotes lipopolysaccharide-mediated inflammation and insulin resistance in PCOS. J. Clin. Endocrinol. Metab. 2018, 104, 934–946. [Google Scholar] [CrossRef]
- González, F.; Considine, R.V.; Pardue, S.L.; Acton, A.J. Cream ingestion promotes the expression of toll-like receptor-2 (TLR-2) and matrix metalloproteinase-2 (MMP-2) in polycystic ovary syndrome. Fertil. Steril. 2014, 102, e250. [Google Scholar] [CrossRef]
- Hwang, D.H.; Kim, J.A.; Lee, J.Y. Mechanisms for the activation of Toll-like receptor 2/4 by saturated fatty acids and inhibition by docosahexaenoic acid. Eur. J. Pharmacol. 2016, 785, 24–35. [Google Scholar] [CrossRef]
- Gregor, M.F.; Hotamisligil, G.k.S. Inflammatory mechanisms in obesity. Annu. Rev. Immunol. 2011, 29, 415–445. [Google Scholar] [CrossRef]
- Thibodeau, J.; Bourgeois-Daigneault, M.C.; Huppe, G.; Tremblay, J.; Aumont, A.; Houde, M.; Bartee, E.; Brunet, A.; Gauvreau, M.E.; de Gassart, A.; et al. Interleukin-10-induced MARCH1 mediates intracellular sequestration of MHC class II in monocytes. Eur. J. Immunol. 2008, 38, 1225–1230. [Google Scholar] [CrossRef] [PubMed]
- Leifer, C.A.; Medvedev, A.E. Molecular mechanisms of regulation of Toll-like receptor signaling. J. Leukoc. Biol. 2016, 100, 927–941. [Google Scholar] [CrossRef] [PubMed]
- Franchini, M.; Schweizer, M.; Matzener, P.; Magkouras, I.; Sauter, K.S.; Mirkovitch, J.; Peterhans, E.; Jungi, T.W. Evidence for dissociation of TLR mRNA expression and TLR agonist-mediated functions in bovine macrophages. Vet. Immunol. Immunopathol. 2006, 110, 37–49. [Google Scholar] [CrossRef] [PubMed]
- Patni, S.; Bryant, A.H.; Wynen, L.P.; Seager, A.L.; Morgan, G.; Thornton, C.A. Functional activity but not gene expression of toll-like receptors is decreased in the preterm versus term human placenta. Placenta 2015, 36, 1031–10383. [Google Scholar] [CrossRef]
- Dasu, M.R.; Devaraj, S.; Zhao, L.; Hwang, D.H.; Jialal, I. High glucose induces toll-like receptor expression in human monocytes: Mechanism of activation. Diabetes 2008, 57, 3090–3098. [Google Scholar] [CrossRef]
- Ghanim, H.; Abuaysheh, S.; Sia, C.L.; Korzeniewski, K.; Chaudhuri, A.; Fernandez-Real, J.M.; Dandona, P. Increase in plasma endotoxin concentrations and the expression of Toll-like receptors and suppressor of cytokine signaling-3 in mononuclear cells after a high-fat, high-carbohydrate meal: Implications for insulin resistance. Diabetes Care 2009, 32, 2281–2287. [Google Scholar] [CrossRef]
- Deopurkar, R.; Ghanim, H.; Friedman, J.; Abuaysheh, S.; Sia, C.L.; Mohanty, P.; Viswanathan, P.; Chaudhuri, A.; Dandona, P. Differential effects of cream, glucose, and orange juice on inflammation, endotoxin, and the expression of Toll-like receptor-4 and suppressor of cytokine signaling-3. Diabetes Care 2010, 33, 991–997. [Google Scholar] [CrossRef]
- Rajamani, U.; Jialal, I. Hyperglycemia induces Toll-like receptor-2 and -4 expression and activity in human microvascular retinal endothelial cells: Implications for diabetic retinopathy. J. Diabetes Res. 2014, 2014, 790902. [Google Scholar] [CrossRef]
- Pahwa, R.; Nallasamy, P.; Jialal, I. Toll-like receptors 2 and 4 mediate hyperglycemia induced macrovascular aortic endothelial cell inflammation and perturbation of the endothelial glycocalyx. J. Diabetes Complicat. 2016, 30, 563–572. [Google Scholar] [CrossRef]
- Dasu, M.R.; Jialal, I. Free fatty acids in the presence of high glucose amplify monocyte inflammation via Toll-like receptors. Am. J. Physiol. Endocrinol. Metab. 2011, 300, E145–E154. [Google Scholar] [CrossRef]
- Pillon, N.J.; Azizi, P.M.; Li, Y.E.; Liu, J.; Wang, C.; Chan, K.L.; Hopperton, K.E.; Bazinet, R.P.; Heit, B.; Bilan, P.J.; et al. Palmitate-induced inflammatory pathways in human adipose microvascular endothelial cells promote monocyte adhesion and impair insulin transcytosis. Am. J. Physiol. Endocrinol. Metab. 2015, 309, E35–E44. [Google Scholar] [CrossRef] [PubMed]
- Sampson, M.J.; Davies, I.R.; Braschi, S.; Ivory, K.; Hughes, D.A. Increased expression of a scavenger receptor (CD36) in monocytes from subjects with Type 2 diabetes. Atherosclerosis 2003, 167, 129–134. [Google Scholar] [CrossRef]




| Control Women | PCOS Women | Control Men | Group | Obesity | Interaction | ||||||||||||||||
|---|---|---|---|---|---|---|---|---|---|---|---|---|---|---|---|---|---|---|---|---|---|
| Non-Obese | Obese | Non-Obese | Obese | Non-Obese | Obese | p Value | p Value | p Value | |||||||||||||
| Monocyte Expression | (n = 6) | (n = 7) | (n = 7) | (n = 5) | (n = 10) | (n = 9) | |||||||||||||||
| TLR-2 | 15.2 | ± | 7.2 | 13.0 | ± | 1.8 | 13.2 | ± | 4.2 | 13.8 | ± | 5.9 | 17.7 | ± | 9.5 | 14.4 | ± | 2.9 | 0.365 | 0.545 | 0.810 |
| TLR-4 b | 14.1 | ± | 10.4 | 7.4 | ± | 11.1 | 25.7 | ± | 28.0 | 6.8 | ± | 4.3 | 8.9 | ± | 9.7 | 3.3 | ± | 1.0 | 0.042 | 0.001 | 0.583 |
| CD36 | 42.8 | ± | 34.6 | 17.4 | ± | 30.5 | 76.4 | ± | 74.1 | 13.7 | ± | 8.0 | 54.1 | ± | 73.1 | 5.8 | ± | 4.0 | 0.122 | <0.001 | 0.990 |
| CD86 | 5.3 | ± | 1.4 | 4.2 | ± | 0.5 | 5.2 | ± | 2.1 | 4.0 | ± | 0.7 | 5.4 | ± | 1.6 | 4.3 | ± | 0.8 | 0.908 | 0.011 | 0.998 |
| Neutrophil Expression | (n = 6) | (n = 7) | (n = 7) | (n = 5) | (n = 10) | (n = 9) | |||||||||||||||
| TLR-2 a,b | 2.3 | ± | 0.7 | 2.9 | ± | 0.7 | 2.3 | ± | 0.6 | 2.7 | ± | 0.8 | 3.1 | ± | 0.7 | 3.3 | ± | 0.7 | 0.015 | 0.077 | 0.690 |
| TLR-4 b | 6.1 | ± | 4.6 | 4.0 | ± | 3.9 | 9.3 | ± | 7.8 | 3.6 | ± | 2.1 | 4.9 | ± | 5.0 | 1.9 | ± | 0.3 | 0.043 | 0.002 | 0.890 |
| Leukocyte Gene Expression | (n = 9) | (n = 8) | (n = 9) | (n = 8) | (n = 10) | (n = 9) | |||||||||||||||
| TLR2 | 0.08 | ± | 0.08 | 0.05 | ± | 0.10 | 0.00 | ± | 0.11 | 0.08 | ± | 0.16 | −0.05 | ± | 0.14 | 0.12 | ± | 0.12 | 0.774 | 0.034 | 0.072 |
| TLR4 | −0.48 | ± | 0.15 | −0.54 | ± | 0.16 | −0.53 | ± | 0.10 | −0.39 | ± | 0.12 | −0.55 | ± | 0.21 | −0.45 | ± | 0.15 | 0.642 | 0.162 | 0.168 |
| Monocyte Surface Expression | Neutrophil Surface Expression | Leukocyte Gene Expression | ||||||||||||||
|---|---|---|---|---|---|---|---|---|---|---|---|---|---|---|---|---|
| TLR-2 | TLR-4 | CD36 | CD86 | TLR-2 | TLR-4 | TLR2 | TLR4 | |||||||||
| (n = 35) | (n = 37) | (n = 35) | (n = 35) | (n = 36) | (n = 37) | (n = 53) | (n = 53) | |||||||||
| Oral Load | r | p | ρ | p | ρ | p | r | p | r | p | ρ | p | r | p | r | p |
| Glucose | −0.845 | <0.001 | −0.741 | <0.001 | −0.514 | 0.002 | −0.765 | <0.001 | −0.479 | 0.002 | −0.861 | <0.001 | −0.397 | 0.003 | −0.387 | 0.004 |
| Lipids | −0.847 | <0.001 | −0.775 | <0.001 | −0.532 | 0.001 | −0.820 | <0.001 | −0.656 | <0.001 | −0.915 | <0.001 | −0.539 | <0.001 | −0.540 | <0.001 |
| Proteins | −0.620 | <0.001 | −0.911 | <0.001 | −0.592 | 0.001 | −0.721 | <0.001 | −0.221 | 0.101 | −0.921 | <0.001 | −0.212 | 0.128 | −0.339 | 0.013 |
© 2020 by the authors. Licensee MDPI, Basel, Switzerland. This article is an open access article distributed under the terms and conditions of the Creative Commons Attribution (CC BY) license (http://creativecommons.org/licenses/by/4.0/).
Share and Cite
Martínez-García, M.Á.; Ojeda-Ojeda, M.; Rodríguez-Martín, E.; Insenser, M.; Moncayo, S.; Álvarez-Blasco, F.; Luque-Ramírez, M.; Escobar-Morreale, H.F. TLR2 and TLR4 Surface and Gene Expression in White Blood Cells after Fasting and Oral Glucose, Lipid and Protein Challenges: Influence of Obesity and Sex Hormones. Biomolecules 2020, 10, 111. https://doi.org/10.3390/biom10010111
Martínez-García MÁ, Ojeda-Ojeda M, Rodríguez-Martín E, Insenser M, Moncayo S, Álvarez-Blasco F, Luque-Ramírez M, Escobar-Morreale HF. TLR2 and TLR4 Surface and Gene Expression in White Blood Cells after Fasting and Oral Glucose, Lipid and Protein Challenges: Influence of Obesity and Sex Hormones. Biomolecules. 2020; 10(1):111. https://doi.org/10.3390/biom10010111
Chicago/Turabian StyleMartínez-García, M. Ángeles, Miriam Ojeda-Ojeda, Eulalia Rodríguez-Martín, María Insenser, Samuel Moncayo, Francisco Álvarez-Blasco, Manuel Luque-Ramírez, and Héctor F. Escobar-Morreale. 2020. "TLR2 and TLR4 Surface and Gene Expression in White Blood Cells after Fasting and Oral Glucose, Lipid and Protein Challenges: Influence of Obesity and Sex Hormones" Biomolecules 10, no. 1: 111. https://doi.org/10.3390/biom10010111
APA StyleMartínez-García, M. Á., Ojeda-Ojeda, M., Rodríguez-Martín, E., Insenser, M., Moncayo, S., Álvarez-Blasco, F., Luque-Ramírez, M., & Escobar-Morreale, H. F. (2020). TLR2 and TLR4 Surface and Gene Expression in White Blood Cells after Fasting and Oral Glucose, Lipid and Protein Challenges: Influence of Obesity and Sex Hormones. Biomolecules, 10(1), 111. https://doi.org/10.3390/biom10010111

