Abstract
In this paper, we study the gravitational waves of holographic QCD phase transition with hyperscaling violation. We consider an Einstein–Maxwell Dilaton background and discuss the confinement–deconfinement phase transition between thermally charged AdS and AdS black holes. We find that hyperscaling violation reduces the phase transition temperature. In a further study, we discuss the effect of hyperscaling violation on the GW spectrum. We found that the hyperscaling violation exponent suppresses the peak frequency of the total GW spectrum. Moreover, the results of the GW spectrum may be detected by IPTA, SKA, BBO, and NANOGrav. We also find that the hyperscaling violation exponent suppresses the peak frequency of the bubble-collision spectrum . Hyperscaling violation enhances the energy densities of the sound wave spectrum and the MHD turbulence spectrum . The total GW spectrum is dominated by the contribution of the bubble collision in runaway bubbles case.
1. Introduction
Albert Einstein’s prediction based on the principles of general relativity suggests that gravitational waves (GWs) manifest as perturbations in the curvature of spacetime [1,2]. The relic of gravitational waves carries crucial information about the nature of its source, which can be deciphered. The detection of the GW signal at the Laser Interferometer Gravitational Wave Observer (LIGO) [3] has offered a new approach to exploring astronomy and cosmology. Recently, the North American NanoHertz Observatory for Gravitational Waves (NANOGrav) [4] reported a stochastic process that could potentially be interpreted as a significant signal of stochastic gravitational waves. This indicative evidence is derived from a comprehensive analysis of 12.5-year pulsar timing array data.
The sources of gravitational waves can originate from astrophysical or cosmological phenomena [5]. Phase transitions (PTs) are a usual phenomenon in cosmological origins. When the temperature decreased, the universe may have undergone several PTs. When the first-order phase transition happens, two free-energy local minima coexist within a certain temperature range. The relevant scalar field has the potential to undergo quantum tunneling or thermal fluctuations, which leads to a transition into the new phase. Quantum or thermal processes occur through the nucleation of bubbles in the broken phase. The bubbles subsequently undergo expansion and ultimately collide with each other. This process is highly violent and non-uniform, which may lead the generation of the gravitational waves [6,7,8,9,10,11,12,13].
QCD phase transitions occur when the temperature is several hundred MeV. In order to investigate the QCD phase structure, scientists carry out heavy-ion-collision experiments at RHIC and LHC [14,15,16]. It is believed that hconfinement–deconfinement QCD phase transitions occur and that QGP is formed in experiments. Lattice QCD results reveal that the QCD phase transition is first-order when considering heavy, static quarks or pure gauge theory [17]. When physical quark masses are taken into account, PT becomes a crossover [18,19,20]. Exploring QCD phase transition helps us comprehend the evolution of the universe.
AdS/CFT correspondence [21,22,23] provides a different perspective to study gravitational waves of first-order QCD phase transitions. From a holographic perspective, the confinement–deconfinement phase transition is dual with respect to the Hawking–Page phase transition [24]. The Hawking–Page PT in soft-wall and hard-wall models has been investigated in [25]. Inspired by [25], the authors of [26] discuss gravitational waves of first-order QCD phase transition in AdS/QCD. In [27], the authors discuss the phase transition with finite chemical potential and study the GWs with different bubble wall velocities. The effect of finite coupling on the GW spectrum has been studied in [28,29]. The GWs of QCD phase transition in holographic EMD models have been discussed in [30,31,32,33]. The GWs of QCD phase transition with gluon condensate has been studied in [34]. Other significant work can be seen in [35,36].
Researchers consider the generalized geometries to not be asymptotically AdS. These geometries do not possess conformal invariance in dual field theories but still exhibit scale invariance. One important example is Lifshitz geometry and Lifshitz fixed point displays anisotropic scale symmetry [37,38]. One of the metrics of Lifshitz geometry in Euclidean signatures can be given by [39]
where denotes the hyperscaling violation exponent, z is the dynamical exponent, and d represents the spatial dimension. In such metrics, conformal invariance is directly violated, making it pertinent to investigate the nature of quantum chromodynamics (QCD) [40]. The metric (1) is spatially homogeneous and covariant because it uses the scale transformations, , , , . The background is scaled anisotropically and spatially isotropic when . The distance is not invariant when , which refers to the hyperscaling violations in dual field theory. Other hyperscaling violating Lifshitz models can be seen in [41,42,43,44].
In this paper, we consider an Einstein–Maxwell dilaton background with nonzero hyperscaling violation and chemical potential. We study the Hawking–Page PT between thermally charged AdS and AdS black holes. We discuss the effect of hyperscaling violation and chemical potential on phase transition temperatures. One of sources of GW signals is cosmological first-order PTs. Then, we study the effect of hyperscaling violation on GWs and compare it with the detection results ofthe International Pulsar Timing Array (IPTA), Square Kilometer Array (SKA), Big Bang Observer (BBO) [45], TianQin, Taiji [46,47], and the North American NanoHertz Observatory for Gravitational Waves (NANOGrav) [4].
2. Holographic QCD Phase Transition with Hyperscaling Violation
In this section, we will study the effect of hyperscaling violation and chemical potential on confinement–deconfinement phase transitions in an Einstein–Maxwell dilaton background. We first review the work of [40]. The author of [40] calculates the free energy difference and studies the QCD phase transition with hyperscaling violation. The gravity action with a dilaton field is given by [44]
where and [48]. and are the numbers of color and flavor, respectively. d is the dimension. , , and are parameters of this model. In this work, we set the dynamical exponent .
The ansatz of metric is [44]
where the dilaton field is given by . Then, we can find , which must be larger than zero, and the solutions are well defined in this case.
In order to discuss the QCD phase transition with hyperscaling violation, we should obtain the solutions of the blackening function in the black hole phase and the thermally AdS phase. The deconfinement phase with hyperscaling violation and chemical potential is dual to the charged AdS black hole with hyperscaling violation. The blackening function of a charged AdS black hole is given by
where m and Q denote the black hole mass and charge, respectively. The black hole mass can be obtained by .
The field strength is
where [40].
The time component of the bulk gauge field is
The gauge field is equal to zero when . Then, we can obtain the relation between the chemical potential and :
The Hawking temperature of a black hole is [40]
The regularized action of the AdS black hole is calculated as
where is inverse of temperature and is the d-dimensional volume.
Using thermodynamical relation , one can obtain the free energy density F of the black hole
In order to calculate the free energy density differences, we should obtain the free energy density of thermally charged AdS. Thermally charged AdS is dual to the confinement phase and does not exist horizon [49]. The blackening function of a thermally charged AdS with hyperscaling violation is [40]
where is the charge of thermally charged AdS and is the cut-off.
The field strength and gauge field of a thermally charged AdS are
where and .
The regularized action of a thermally charged AdS is
where is the period.
Using the thermodynamical relation , one can obtain the free energy density of the thermally charged AdS:
The confinement–deconfinement phase transition happens when the free energy density difference . By using Equation (15), we can calculate the phase transition temperature with nonzero chemical potential and hyperscaling violation. In the numerical calculation, we take , which is related to the mass of the lightest mesons [25]. As for other parameters, we take , , and .
We analyze the results and plot the figures by using the software Mathematica. The codes of Mathematica that we used are mainly partial derivative, solve, numerical calculations, ListLinePlot, and LogLogPlot. The partial derivative, solve and numerical calculation codes are used to obtain the numerical values. The ListLinePlot and LogLogPlot codes are used to plot figures.
When the values of chemical potential, hyperscaling violation, and other parameters are fixed, one can set to obtain the results of . Then, one can plug the values of into the Hawking temperature, Equation (8), and one can obtain the phase transition temperature. We plot the figures using Mathematica.
In Figure 1, we present the effect of hyperscaling violation on the phase transition temperature. This plot shows a direct correlation between the phase transition temperature and the parameter : as increases, so does the phase transition temperature. Also, is negatively correlated with hyperscaling violation exponent from Equation (1), implying that an increase in corresponds to a decrease in hyperscaling violation. Additionally, we observe that as the chemical potential increases, the phase transition temperature decreases, which is consistent with the results of [40].
Figure 1.
The effect of hyperscaling violation on phase transition temperature. The blue line represents GeV, and the red line represents GeV.
3. Gravitational Waves from Holographic QCD Phase Transition with Hyperscaling Violation
In this section, we discuss the GWs from the holographic confinement–deconfinement phase transition with hyperscaling violation. First-order PTs can be regarded as one of the sources of GWs. When a first-order PT happens, the bubbles nucleate and expand. Bubbles ultimately collide with each other and contribute to the production of GWs. Furthermore, sound waves and magnetohydrodynamic (MHD) turbulence also favor the generation of GWs. Thus, the total GW spectrum () includes bubble collisions (), sound waves (), and MHD turbulence (). can be given by [9]
where
The GW spectral shapes are
with
The peak frequencies are
where
The parameters can be obtained by
where is the efficiency factor in bubble collision, denotes the fraction or proportion that is converted into fluid motion, and represents the contribution of MHD turbulence. The value of is 0.05–0.1 [50] and represents the proportion of bulk motion which is turbulent. In the following calculations, we set . is the phase transition duration. denotes the Hubble parameter at the phase transition temperature. Here, we take .
The parameter represents the ratio of vacuum energy density to radiation energy density. denotes the minimum value of . The expressions of these parameters are
where denotes the phase transition temperature, and represents the number of effective relativistic degrees of freedom. As discussed in [26,27], we set and in the calculations. is equal to for boson (fermion) species, is the particle mass difference, we take MeV [51], and represents the vacuum energy:
The bubble wall speed can reach the light speed [52] in the case of case (runaway bubbles), namely . The total GW pectrum can be denoted as . In the case, the contribution of bubble collision can be negligible. Thus, .
From the results of Equation (15), one can calculate the vacuum energy of Equation (24). Then, the values of and can be obtained by Equation (23). It is found that from numerical calculations in this model; thus, we will discuss the effect of hyperscaling violation on GW spectrum in the case of runaway bubbles. Next, we calculate the values of , , and from Equation (22). Finally, one can plot the GW spectrum from Equations (16) and (17).
In Figure 2, we plot the total GW spectrum produced from the first-order QCD phase transition with hyperscaling violation when GeV. This figure shows a direct correlation between the peak frequency and the parameter : as increases, the position of peak frequency moves forward. is negatively correlated to the hyperscaling violation exponent . Thus, the peak frequency is suppressed by hyperscaling violation . Moreover, the resulting GW spectrum can be detected by IPTA, SKA, and BBO [45]. To be specific, the GW spectrum can be detected by IPTA and SKA in the – Hz region. The GW spectrum may be detected by BBO around Hz. The GW spectrum may be detected by NANOGrav [4] around Hz at a large hyperscaling violation (small ). The GW signals can not be probed by TianQin and Taiji [46,47] temporarily.
Figure 2.
The GW spectrum produced from the first-order QCD phase transition with hyperscaling violation when GeV. The black line represents , and the red line represents .
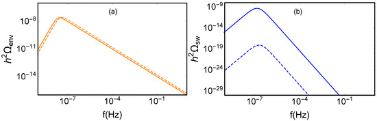
In Figure 3, we plot the effect of hyperscaling violation on the spectrum of bubble collision (), sound waves (), and magnetohydrodynamic turbulence () in (a), (b), and (c), respectively. We discuss the contribution of bubble collision, sound waves, and magnetohydrodynamic turbulence on the total GW spectrum ((f)) in (d). From Figure 3a, we can observe that the position of peak frequency of moves forward when increasing the parameter . Thus hyperscaling violation suppresses the peak frequency of . From Figure 3b,c, we can find that the energy densities of and decrease with parameter . This means that hyperscaling violation enhances the energy densities of the sound wave spectrum and the MHD turbulence spectrum . From Figure 3d, it is found that the GW spectrum of bubble collision coincides with the total GW spectrum . This indicates that the total GW spectrum is dominated by the contribution of the bubble collision in case of runaway bubbles.

Figure 3.
The effects of hyperscaling violation on , , and are plotted in (a–c) respectively, where the solid lines (dashed lines) denote (). The GWs spectrum of , , , and when is plotted in (d). The solid red line represents . The dashed orange, dashed blue, and dashed green lines denote , , and respectively.
4. Conclusions and Discussion
Cosmological confinement–deconfinement QCD phase transition can be seen as a source of the GWs. Exploring QCD phase transition helps us comprehend how different phases emerged during its early stages.
In this paper, we consider an Einstein–Maxwell dilaton background and discuss the confinement–deconfinement phase transition between thermally charged AdS and AdS black holes. It is found that chemical potential and hyperscaling violation reduce the phase transition temperature. In a further study, we study the effect of hyperscaling violation on the GW spectrum. It is found that the position of peak frequency moves backward when the hyperscaling violation exponent increases. This means that the hyperscaling violation exponent suppresses the peak frequency. Moreover, the results of the GW spectrum can be detected by IPTA, SKA, and BBO. The GW spectrum may be detected by NANOGrav when there are large hyperscaling violations. The GW signals cannot be probed by TianQin and Taiji temporarily.
We also discuss the effect of hyperscaling violation on the spectrum of bubbles collision, sound waves, and magnetohydrodynamic turbulence. We found that hyperscaling violation suppresses the peak frequency of . Hyperscaling violation enhances the energy densities of the sound wave spectrum and the MHD turbulence spectrum . Moreover, the total GW spectrum is dominated by the contribution of the bubble collision in the case of runaway bubbles.
We hope that this work gives some theoretical reference for investigating the early universe. It would also be meaningful to study the GWs of phase transition with nonzero magnetic field. We leave this work for the future.
Author Contributions
Conceptualization, Z.Z.; Formal analysis, Z.Z. and M.S.; Investigation, Z.Z. and M.S.; Writing—original draft, R.Z. and J.H.; Writing—review and editing, D.H. All authors have read and agreed to the published version of the manuscript.
Funding
Defu Hou is supported by the National Natural Science Foundation of China under Grant No. 12275104. Defu Hou is also supported in part by the National Key Research and Development Program of China under Contract No. 2022YFA1604900. Manman Sun is supported by the National Natural Science Foundation of China under Grant No. 12305076. Rui Zhou is supported by the Science and Technology Development Plan Project of Henan Province No. 242102230085.
Data Availability Statement
Data are contained within the article.
Conflicts of Interest
The authors declare no conflicts of interest.
References
- Einstein, A. Approximative Integration of the Field Equations of Gravitation. Sitzungsber. Preuss. Akad. Wiss. Berl. (Math. Phys.) 1916, 1916, 688–696. [Google Scholar]
- Einstein, A. Uber Gravitationswellen. Sitzungsber. Preuss. Akad. Wiss. Berl. (Math. Phys.) 1918, 1918, 154–167. [Google Scholar]
- Abbott, B.P. et al. [LIGO Scientific and Virgo] Observation of Gravitational Waves from a Binary Black Hole Merger. Phys. Rev. Lett. 2016, 116, 061102. [Google Scholar] [CrossRef] [PubMed]
- Arzoumanian, Z. et al. [NANOGrav] The NANOGrav 12.5 yr Data Set: Search for an Isotropic Stochastic Gravitational-wave Background. Astrophys. J. Lett. 2020, 905, L34. [Google Scholar] [CrossRef]
- Cai, R.G.; Cao, Z.; Guo, Z.K.; Wang, S.J.; Yang, T. The Gravitational-Wave Physics. Natl. Sci. Rev. 2017, 4, 687–706. [Google Scholar] [CrossRef]
- Kosowsky, A.; Turner, M.S.; Watkins, R. Gravitational waves from first order cosmological phase transitions. Phys. Rev. Lett. 1992, 69, 2026–2029. [Google Scholar] [CrossRef] [PubMed]
- Kosowsky, A.; Turner, M.S. Gravitational radiation from colliding vacuum bubbles: Envelope approximation to many bubble collisions. Phys. Rev. D 1993, 47, 4372–4391. [Google Scholar] [CrossRef]
- Kamionkowski, M.; Kosowsky, A.; Turner, M.S. Gravitational radiation from first order phase transitions. Phys. Rev. D 1994, 49, 2837–2851. [Google Scholar] [CrossRef]
- Caprini, C.; Hindmarsh, M.; Huber, S.; Konstandin, T.; Kozaczuk, J.; Nardini, G.; No, J.M.; Petiteau, A.; Schwaller, P.; Servant, G.; et al. Science with the space-based interferometer eLISA. II: Gravitational waves from cosmological phase transitions. JCAP 2016, 4, 1. [Google Scholar] [CrossRef]
- Jinno, R.; Nakayama, K.; Takimoto, M. Gravitational waves from the first order phase transition of the Higgs field at high energy scales. Phys. Rev. D 2016, 93, 045024. [Google Scholar] [CrossRef]
- Gao, F.; Sun, S.; White, G. A first-order deconfinement phase transition in the early universe and gravitational waves. arXiv 2024, arXiv:2405.00490. [Google Scholar]
- Caprini, C. et al. [LISA Cosmology Working Group] Gravitational waves from first-order phase transitions in LISA: Reconstruction pipeline and physics interpretation. arXiv 2024, arXiv:2403.03723. [Google Scholar]
- Han, X.; Shao, G. Stochastic gravitational waves produced by the first-order QCD phase transition. arXiv 2023, arXiv:2312.00571. [Google Scholar]
- Arsene, I. et al. [BRAHMS Collaboration] Quark gluon plasma and color glass condensate at RHIC? The Perspective from the BRAHMS experiment. Nucl. Phys. A 2005, 757, 1. [Google Scholar] [CrossRef]
- Adcox, K. et al. [PHENIX Collaboration] Formation of dense partonic matter in relativistic nucleus-nucleus collisions at RHIC: Experimental evaluation by the PHENIX collaboration. Nucl. Phys. A 2005, 757, 184. [Google Scholar] [CrossRef]
- Back, B.B. et al. [PHOBOS Collaboration] The PHOBOS perspective on discoveries at RHIC. Nucl. Phys. A 2005, 757, 28. [Google Scholar] [CrossRef]
- Lucini, B.; Rago, A.; Rinaldi, E. SU(Nc) gauge theories at deconfinement. Phys. Lett. B 2012, 712, 279–283. [Google Scholar] [CrossRef][Green Version]
- Aoki, Y.; Fodor, Z.; Katz, S.D.; Szabo, K.K. The QCD transition temperature: Results with physical masses in the continuum limit. Phys. Lett. B 2006, 643, 46–54. [Google Scholar] [CrossRef]
- Bazavov, A.; Bhattacharya, T.; Cheng, M.; DeTar, C.; Ding, H.T.; Gottlieb, S.; Gupta, R.; Hegde, P.; Heller, U.M.; Karsch, F.; et al. The chiral and deconfinement aspects of the QCD transition. Phys. Rev. D 2012, 85, 054503. [Google Scholar] [CrossRef]
- Bhattacharya, T.; Buchoff, M.I.; Christ, N.H.; Ding, H.T.; Gupta, R.; Jung, C.; Karsch, F.; Lin, Z.; Mawhinney, R.D.; McGlynn, G.; et al. QCD Phase Transition with Chiral Quarks and Physical Quark Masses. Phys. Rev. Lett. 2014, 113, 082001. [Google Scholar] [CrossRef]
- Witten, E. Anti-de Sitter space and holography. Adv. Theor. Math. Phys. 1998, 2, 253. [Google Scholar] [CrossRef]
- Gubser, S.S.; Klebanov, I.R.; Polyakov, A.M. Gauge theory correlators from noncritical string theory. Phys. Lett. B 1998, 428, 105. [Google Scholar] [CrossRef]
- Maldacena, J.M. The Large N limit of superconformal field theories and supergravity. Adv. Theor. Math. Phys. 1998, 2, 231. [Google Scholar] [CrossRef]
- Hawking, S.W.; Page, D.N. Thermodynamics of Black Holes in anti-De Sitter Space. Commun. Math. Phys. 1983, 87, 577. [Google Scholar] [CrossRef]
- Herzog, C.P. A Holographic Prediction of the Deconfinement Temperature. Phys. Rev. Lett. 2007, 98, 091601. [Google Scholar] [CrossRef] [PubMed]
- Ahmadvand, M.; Fadafan, K.B. Gravitational waves generated from the cosmological QCD phase transition within AdS/QCD. Phys. Lett. B 2017, 772, 747–751. [Google Scholar] [CrossRef]
- Ahmadvand, M.; Fadafan, K.B. The cosmic QCD phase transition with dense matter and its gravitational waves from holography. Phys. Lett. B 2018, 779, 1–8. [Google Scholar] [CrossRef]
- Rezapour, S.; Fadafan, K.B.; Ahmadvand, M. Gravitational waves of a first-order QCD phase transition at finite coupling from holography. Annals Phys. 2022, 437, 168731. [Google Scholar] [CrossRef]
- Rezapour, S.; Fadafan, K.B.; Ahmadvand, M. Gravitational waves of the QCD phase transition in a 5D soft wall model with Gauss-Bonnet correction. Phys. Scripta 2022, 97, 035301. [Google Scholar] [CrossRef]
- Chen, Y.; Huang, M.; Yan, Q.S. Gravitation waves from QCD and electroweak phase transitions. J. High Energy Phys. 2018, 5, 178. [Google Scholar] [CrossRef]
- Ares, F.R.; Hindmarsh, M.; Hoyos, C.; Jokela, N. Gravitational waves from a holographic phase transition. J. High Energy Phys. 2020, 21, 100. [Google Scholar] [CrossRef]
- Cai, R.G.; He, S.; Li, L.; Wang, Y.X. Probing QCD critical point and induced gravitational wave by black hole physics. Phys. Rev. D 2022, 106, L121902. [Google Scholar] [CrossRef]
- He, S.; Li, L.; Li, Z.; Wang, S.J. Gravitational Waves and Primordial Black Hole Productions from Gluodynamics by Holography. Sci. China Phys. Mech. Astron. 2024, 67, 240411. [Google Scholar] [CrossRef]
- Zhu, Z.R.; Chen, J.; Hou, D. Gravitational waves from holographic QCD phase transition with gluon condensate. Eur. Phys. J. A 2022, 58, 104. [Google Scholar] [CrossRef]
- Batell, B.; Ghalsasi, A.; Low, M.; Rai, M. Gravitational Waves from Nnaturalness. J. High Energy Phys. 2024, 1, 148. [Google Scholar] [CrossRef]
- Gouttenoire, Y. Primordial Black Holes from Conformal Higgs. arXiv 2023, arXiv:2311.13640. [Google Scholar]
- Kachru, S.; Liu, X.; Mulligan, M. Gravity duals of Lifshitz-like fixed points. Phys. Rev. D 2008, 78, 106005. [Google Scholar] [CrossRef]
- Koroteev, P.; Libanov, M. On Existence of Self-Tuning Solutions in Static Braneworlds without Singularities. J. High Energy Phys. 2008, 2, 104. [Google Scholar] [CrossRef]
- Charmousis, C.; Gouteraux, B.; Kim, B.S.; Kiritsis, E.; Meyer, R. Effective Holographic Theories for low-temperature condensed matter systems. JHEP 2010, 11, 151. [Google Scholar] [CrossRef]
- Sachan, S. Study of confinement/deconfinement transition in AdS/QCD with generalized warp factors. Adv. High Energy Phys. 2014, 2014, 543526. [Google Scholar] [CrossRef]
- Singh, H. Special limits and non-relativistic solutions. J. High Energy Phys. 2010, 12, 61. [Google Scholar] [CrossRef]
- Narayan, K. On Lifshitz scaling and hyperscaling violation in string theory. Phys. Rev. D 2012, 85, 106006. [Google Scholar] [CrossRef]
- Singh, H. Lifshitz/Schrödinger Dp-branes and dynamical exponents. J. High Energy Phys. 2012, 7, 82. [Google Scholar] [CrossRef]
- Alishahiha, M.; Colgain, E.O.; Yavartanoo, H. Charged Black Branes with Hyperscaling Violating Factor. J. High Energy Phys. 2012, 11, 137. [Google Scholar] [CrossRef]
- Moore, C.J.; Cole, R.H.; Berry, C.P.L. Gravitational-wave sensitivity curves. Class. Quant. Grav. 2015, 32, 015014. [Google Scholar] [CrossRef]
- Schmitz, K. New Sensitivity Curves for Gravitational-Wave Signals from Cosmological Phase Transitions. J. High Energy Phys. 2021, 1, 97. [Google Scholar] [CrossRef]
- Ruan, W.H.; Guo, Z.K.; Cai, R.G.; Zhang, Y.Z. Taiji program: Gravitational-wave sources. Int. J. Mod. Phys. A 2020, 35, 2050075. [Google Scholar] [CrossRef]
- Sin, S.J. Gravity back-reaction to the baryon density for bulk filling branes. J. High Energy Phys. 2007, 10, 78. [Google Scholar] [CrossRef]
- Lee, B.H.; Park, C.; Sin, S.J. A Dual Geometry of the Hadron in Dense Matter. J. High Energy Phys. 2009, 7, 87. [Google Scholar] [CrossRef]
- Hindmarsh, M.; Huber, S.J.; Rummukainen, K.; Weir, D.J. Numerical simulations of acoustically generated gravitational waves at a first order phase transition. Phys. Rev. D 2015, 92, 123009. [Google Scholar] [CrossRef]
- Jovanovic, V.B.; Ignjatovic, S.R.; Borka, D.; Jovanovic, P. Constituent quark masses obtained from hadron masses with contributions of Fermi-Breit and Glozman-Riska hyperfine interactions. Phys. Rev. D 2010, 82, 117501. [Google Scholar] [CrossRef]
- Bodeker, D.; Moore, G.D. Can electroweak bubble walls run away? J. Cosmol. Astropart. Phys. 2009, 5, 9. [Google Scholar] [CrossRef]
Disclaimer/Publisher’s Note: The statements, opinions and data contained in all publications are solely those of the individual author(s) and contributor(s) and not of MDPI and/or the editor(s). MDPI and/or the editor(s) disclaim responsibility for any injury to people or property resulting from any ideas, methods, instructions or products referred to in the content. |
© 2024 by the authors. Licensee MDPI, Basel, Switzerland. This article is an open access article distributed under the terms and conditions of the Creative Commons Attribution (CC BY) license (https://creativecommons.org/licenses/by/4.0/).



