The Metabolic Aftershock: COVID-19 and Metabolic Disease Risk Among U.S. Active-Duty Military Personnel
Abstract
1. Introduction
2. Materials and Methods
3. Results
3.1. Cohort Matching Process and Overall Demographics
3.2. Disease-Specific Cohort Demographics and Incident Rates
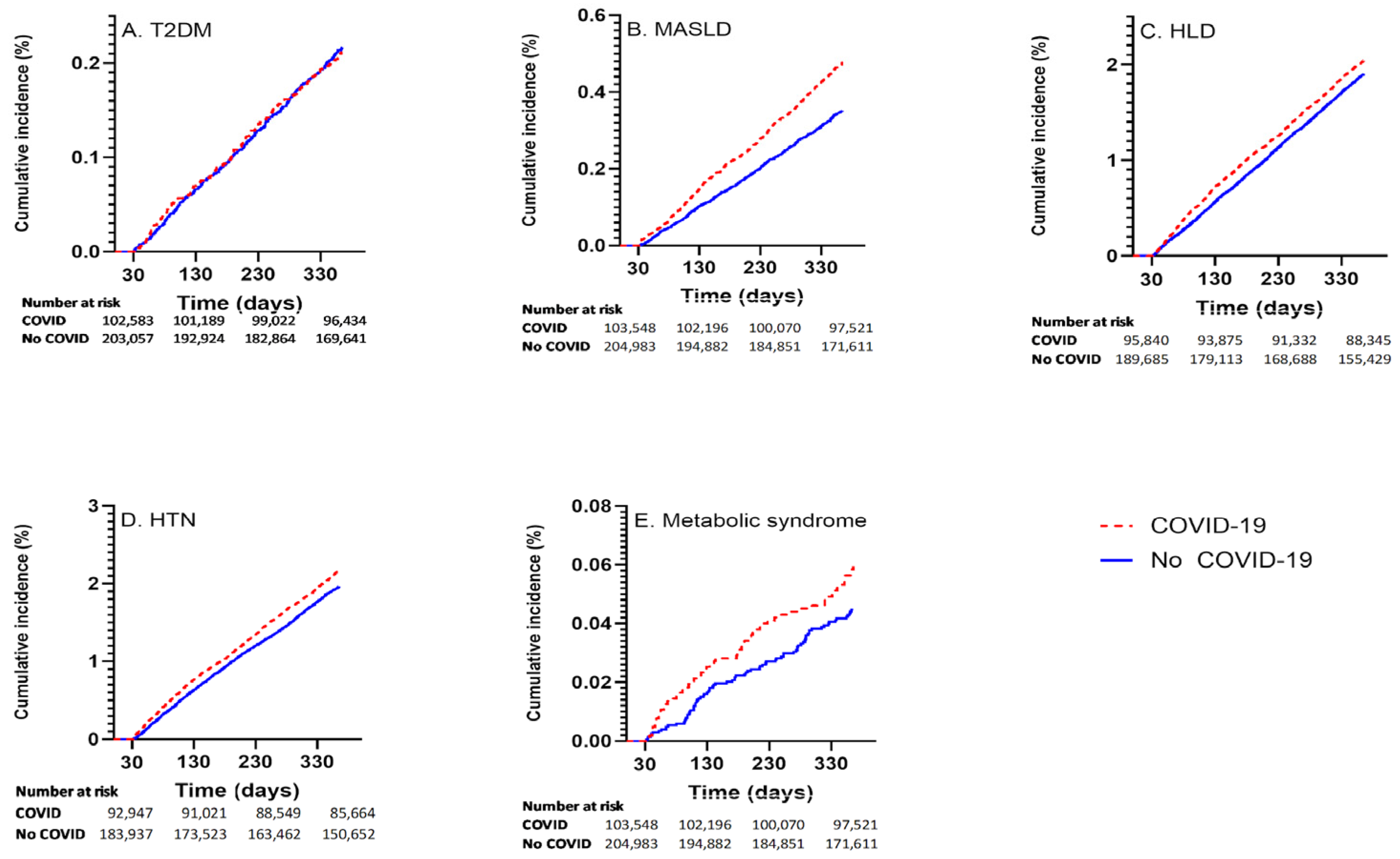
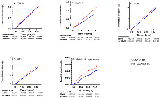
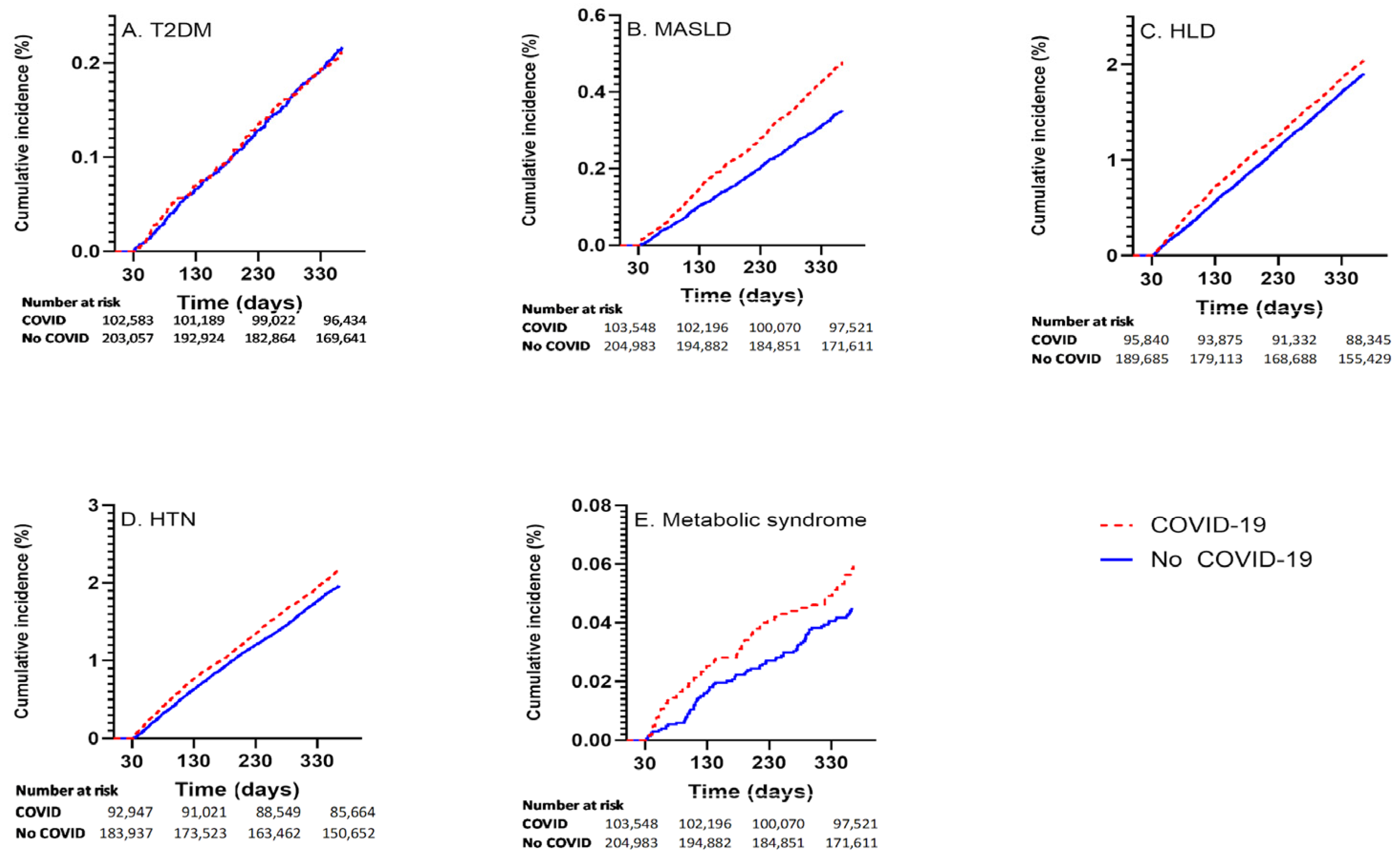
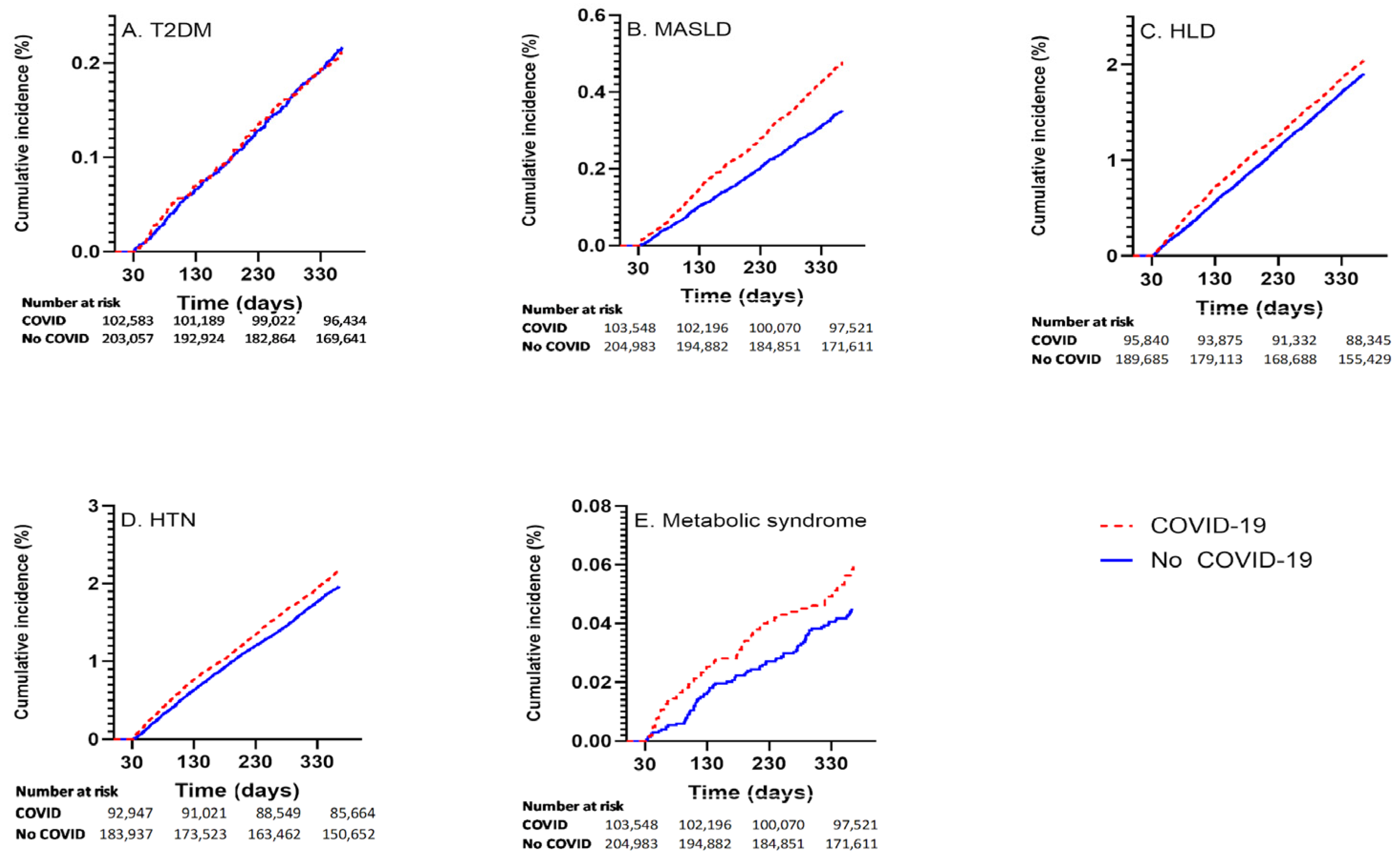
3.3. Survival Analysis Results
4. Discussion
5. Conclusions
Author Contributions
Funding
Institutional Review Board Statement
Informed Consent Statement
Data Availability Statement
Conflicts of Interest
Abbreviations
| ACE2 | Angiotensin-Converting Enzyme 2 |
| ADSM | Active-Duty Service Members |
| aHR | Adjusted Hazard Ratio |
| AHRQ | Agency for Healthcare Research and Quality |
| AHFS | American Hospital Formulary Service |
| CCSR | Clinical Classifications Software Refined |
| CI | Confidence Interval |
| HDL | High-Density Lipoprotein |
| HLD | Hyperlipidemia |
| HR | Hazard Ratio |
| HTN | Hypertension |
| ICD-10 | International Classification of Diseases, Tenth Revision |
| IQR | Interquartile Range |
| LDL | Low-Density Lipoprotein |
| MASLD | Metabolic Dysfunction-Associated Steatotic Liver Disease |
| MDR | Military Health System Data Repository |
| MetS | Metabolic Syndrome |
| MR | Mendelian Randomization |
| PCR | Polymerase Chain Reaction |
| T2DM | Type Two Diabetes Mellitus |
| uHR | Unadjusted Hazard Ratio |
| vers | version |
Appendix A

| Condition | ICD-10 Codes |
|---|---|
| Type 2 diabetes | E1100, E1101, E1110, E1111, E1121, E1122, E1129, E11311, E11319, E11321, E113211, E113212, E113213, E113219, E11329, E113291, E113292, E113293, E113299, E11331, E113311, E113312, E113313, E113319, E11339, E113391, E113392, E113393, E113399, E11341, E113411, E113412, E113413, E113419, E11349, E113491, E113492, E113493, E113499, E11351, E113511, E113512, E113513, E113519, E113521, E113522, E113523, E113529, E113531, E113532, E113533, E113539, E113541, E113542, E113543, E113549, E113551, E113552, E113553, E113559, E11359, E113591, E113592, E113593, E113599, E1136, E1137X1, E1137X2, E1137X3, E1137X9, E1139, E1140, E1141, E1142, E1143, E1144, E1149, E1151, E1152, E1159, E11610, E11618, E11620, E11621, E11622, E11628, E11630, E11638, E11641, E11649, E1165, E1169, E118, E119 |
| Hypertension | I10 |
| Hyperlipidemia | E781, E782, E784, E785, E780, E7800 |
| Metabolic dysfunction-associated liver disease * | K7581, K760 |
| Metabolic syndrome | E8881 |
| Obesity | Z6854, E668, E669, E6601, E6609 |
| Overweight | Z6853, E663 |
| Ingrown toenail | L600 |
| COVID-19 | No COVID-19 | ||
|---|---|---|---|
| Age: median (IQR) | 26 (22, 33) | 26 (22, 33) | |
| Sex | Female | 19,594 (18.88%) | 39,188 (18.88%) |
| Male | 84,195 (81.12%) | 168,390 (81.12%) | |
| Race | Black | 18,509 (17.83%) | 33,209 (16.00%) |
| Hispanic | 20,166 (19.43%) | 34,988 (16.86%) | |
| White | 53,589 (51.63%) | 114,693 (55.25%) | |
| Other | 11,525 (11.10%) | 24,687 (11.89%) | |
| Missing | 0 (0.00%) | 1 (0.00%) | |
| Rank | Senior enlisted | 39,176 (37.75%) | 80,715 (38.88%) |
| Junior enlisted | 45,131 (43.48%) | 88,203 (42.49%) | |
| Officer | 19,482 (18.77%) | 38,660 (18.62%) | |
| Overweight or obesity diagnosis | Overweight | 5287 (5.09%) | 10,520 (5.07%) |
| Obesity | 8173 (7.87%) | 15,014 (7.23%) | |
| Type 2 Diabetes | Hypertension | Hyperlipidemia | MASLD | Metabolic Syndrome | |||||||
|---|---|---|---|---|---|---|---|---|---|---|---|
| No Incident Outcome | Incident Outcome | No Incident Outcome | Incident Outcome | No Incident Outcome | Incident Outcome | No Incident Outcome | Incident Outcome | No Incident Outcome | Incident Outcome | ||
| COVID-19 | No | 204,968 (66.67%) | 402 (65.58%) | 182,774 (66.74%) | 3308 (62.65%) | 188,591 (66.73%) | 3291 (63.32%) | 204,614 (66.70%) | 650 (57.78%) | 207,224 (66.67%) | 84 (58.33%) |
| Yes | 102,474 (33.33%) | 211 (34.42%) | 91,069 (33.26%) | 1972 (37.35%) | 94,035 (33.27%) | 1906 (36.68%) | 102,157 (33.30%) | 475 (42.22%) | 103,594 (33.33%) | 60 (41.67%) | |
| Age: median (IQR) | 26 (22, 33) | 37 (29, 42) | 25 (22, 31) | 33 (26, 39) | 26 (22, 31) | 36 (30, 41) | 26 (22, 33) | 35 (28, 40) | 26 (22, 33) | 37 (28, 41) | |
| Sex | Female | 57,998 (18.86%) | 118 (19.25%) | 53,727 (19.62%) | 744 (14.09%) | 55,765 (19.73%) | 647 (12.45%) | 58,260 (18.99%) | 174 (15.47%) | 58,625 (18.86%) | 46 (31.94%) |
| Male | 249,444 (81.14%) | 495 (80.75%) | 220,116 (80.38%) | 4536 (85.91%) | 226,861 (80.27%) | 4550 (87.55%) | 248,511 (81.01%) | 951 (84.53%) | 252,193 (81.14%) | 98 (68.06%) | |
| Race & Ethnicity | Black | 50,748 (16.51%) | 190 (31.00%) | 44,059 (16.09%) | 1225 (23.20%) | 46,974 (16.62%) | 851 (16.37%) | 51,098 (16.66%) | 111 (9.87%) | 51,604 (16.60%) | 26 (18.06%) |
| Hispanic | 54,523 (17.73%) | 112 (18.27%) | 49,630 (18.12%) | 752 (14.24%) | 50,675 (17.93%) | 893 (17.18%) | 54,239 (17.68%) | 273 (24.27%) | 55,046 (17.71%) | 29 (20.14%) | |
| White | 166,442 (54.14%) | 224 (36.54%) | 148,305 (54.16%) | 2630 (49.81%) | 152,147 (53.83%) | 2808 (54.03%) | 165,720 (54.02%) | 615 (54.67%) | 168,019 (54.06%) | 67 (46.53%) | |
| Other | 35,728 (11.62%) | 87 (14.19%) | 31,848 (11.63%) | 673 (12.75%) | 32,829 (11.62%) | 645 (12.41%) | 35,713 (11.64%) | 126 (11.20%) | 36,148 (11.63%) | 22 (15.28%) | |
| Missing | 1 (0.00%) | 0 (0.00%) | 1 (0.00%) | 0 (0.00%) | 1 (0.00%) | 0 (0.00%) | 1 (0.00%) | 0 (0.00%) | 1 (0.00%) | 0 (0.00%) | |
| Rank | Junior Enlisted | 119,445 (38.85%) | 105 (17.13%) | 114,387 (41.77%) | 1131 (21.42%) | 117,297 (41.50%) | 615 (11.83%) | 119,113 (38.83%) | 223 (19.82%) | 119,795 (38.54%) | 24 (16.67%) |
| Senior Enlisted | 130,983 (42.60%) | 393 (64.11%) | 111,187 (40.60%) | 3213 (60.85%) | 116,269 (41.14%) | 3235 (62.25%) | 130,544 (42.55%) | 702 (62.40%) | 133,007 (42.79%) | 89 (61.81%) | |
| Officer | 57,014 (18.54%) | 115 (18.76%) | 48,269 (17.63%) | 936 (17.73%) | 49,060 (17.36%) | 1347 (25.92%) | 57,114 (18.62%) | 200 (17.78%) | 58,016 (18.67%) | 31 (21.53%) | |
| Weight Status | Overweight | 22,135 (7.20%) | 214 (34.91%) | 16,743 (6.11%) | 884 (16.74%) | 18,018 (6.38%) | 958 (18.43%) | 22,057 (7.19%) | 346 (30.76%) | 23,001 (7.40%) | 65 (45.14%) |
| Obese | 15,444 (5.02%) | 46 (7.50%) | 13,134 (4.80%) | 339 (6.42%) | 13,446 (4.76%) | 399 (7.68%) | 15,484 (5.05%) | 71 (6.31%) | 15,765 (5.07%) | 13 (9.03%) | |
References
- Xie, Y.; Al-Aly, Z. Risks and burdens of incident diabetes in long COVID: A cohort study. Lancet Diabetes Endocrinol. 2022, 10, 311–321. [Google Scholar] [CrossRef]
- Al-Aly, Z.; Xie, Y.; Bowe, B. High-dimensional characterization of post-acute sequelae of COVID-19. Nature 2021, 594, 259–264. [Google Scholar] [CrossRef]
- Kwan, A.C.; Ebinger, J.E.; Botting, P.; Navarrette, J.; Claggett, B.; Cheng, S. Association of COVID-19 Vaccination with Risk for Incident Diabetes After COVID-19 Infection. JAMA Netw Open 2023, 6, e2255965. [Google Scholar] [CrossRef]
- Khunti, K.; Del Prato, S.; Mathieu, C.; Kahn, S.E.; Gabbay, R.A.; Buse, J.B. COVID-19, hyperglycemia, and new-onset diabetes. Diabetes Care 2021, 44, 2645–2655. [Google Scholar] [CrossRef] [PubMed]
- Rubino, F.; Amiel, S.A.; Zimmet, P.; Alberti, G.; Bornstein, S.; Eckel, R.H.; Mingrone, G.; Boehm, B.; Cooper, M.E.; Chai, Z.; et al. New-onset diabetes in COVID-19. N. Engl. J. Med. 2020, 383, 789–790. [Google Scholar] [CrossRef] [PubMed]
- Ssentongo, P.; Zhang, Y.; Witmer, L.; Chinchilli, V.M.; Ba, D.M. Association of COVID-19 with diabetes: A systematic review and meta-analysis. Sci. Rep. 2022, 12, 20191. [Google Scholar] [CrossRef] [PubMed]
- Barrett, C.E.; Koyama, A.K.; Alvarez, P.; Chow, W.; Lundeen, E.A.; Perrine, C.G.; Pavkov, M.E.; Rolka, D.B.; Wiltz, J.L.; Bull-Otterson, L.; et al. Risk for newly diagnosed diabetes >30 days after SARS-CoV-2 infection among persons aged <18 years: United States, March 1, 2020–June 28, 2021. MMWR Morb. Mortal. Wkly. Rep. 2022, 71, 59–65. [Google Scholar] [CrossRef]
- Rathmann, W.; Kuss, O.; Kostev, K. Incidence of newly diagnosed diabetes after COVID-19. Diabetol. 2022, 65, 949–954. [Google Scholar] [CrossRef]
- Sathish, T.; Kapoor, N.; Cao, Y.; Tapp, R.J.; Zimmet, P. Proportion of newly diagnosed diabetes in COVID-19 patients: A systematic review and meta-analysis. Diabetes Obes. Metab. 2021, 23, 870–874. [Google Scholar] [CrossRef]
- Liu, F.; Long, X.; Zhang, B.; Zhang, W.; Chen, X.; Zhang, Z. ACE2 expression in pancreas may cause pancreatic damage after SARS-CoV-2 infection. Clin. Gastroenterol. Hepatol. 2020, 18, 2128–2130. e2122. [Google Scholar] [CrossRef]
- Montefusco, L.; Ben Nasr, M.; D’Addio, F.; Loretelli, C.; Rossi, A.; Pastore, I.; Daniele, G.; Abdelsalam, A.; Maestroni, A.; Dell’Acqua, M.; et al. Acute and long-term disruption of glycometabolic control after SARS-CoV-2 infection. Nat. Metab. 2021, 3, 774–785. [Google Scholar] [CrossRef]
- Washirasaksiri, C.; Sayabovorn, N.; Ariyakunaphan, P.; Kositamongkol, C.; Chaisathaphol, T.; Sitasuwan, T.; Tinmanee, R.; Auesomwang, C.; Nimitpunya, P.; Woradetsittichai, D.; et al. Long-term multiple metabolic abnormalities among healthy and high-risk people following nonsevere COVID-19. Sci. Rep. 2023, 13, 14336. [Google Scholar] [CrossRef] [PubMed]
- Stefan, N. SARS-CoV-2 fires up inflammation in adipose tissue. Nat. Rev. Endocrinol. 2023, 19, 8–9. [Google Scholar] [CrossRef]
- Singh, A.K.; Khunti, K. COVID-19 and diabetes. Annu. Rev. Med. 2022, 73, 129–147. [Google Scholar] [CrossRef]
- Bornstein, S.R.; Rubino, F.; Khunti, K.; Mingrone, G.; Hopkins, D.; Birkenfeld, A.L.; Boehm, B.; Amiel, S.; Holt, R.I.; Skyler, J.S.; et al. Practical recommendations for the management of diabetes in patients with COVID-19. Lancet Diabetes Endocrinol. 2020, 8, 546–550. [Google Scholar] [CrossRef]
- Prins, G.H.; Olinga, P. Potential implications of COVID-19 in non-alcoholic fatty liver disease. Liver Int. 2020, 40, 2568. [Google Scholar] [CrossRef]
- Mandal, S.; Barnett, J.; Brill, S.E.; Brown, J.S.; Denneny, E.K.; Hare, S.S.; Heightman, M.; Hillman, T.E.; Jacob, J.; Jarvis, H.C.; et al. ‘Long-COVID’: A cross-sectional study of persisting symptoms, biomarker and imaging abnormalities following hospitalization for COVID-19. Thorax 2021, 76, 396–398. [Google Scholar] [CrossRef] [PubMed]
- Zachary, Z.; Brianna, F.; Brianna, L.; Garrett, P.; Jade, W.; Alyssa, D.; Mikayla, K. Self-quarantine and weight gain related risk factors during the COVID-19 pandemic. Obes. Res. Clin. Pract. 2020, 14, 210–216. [Google Scholar] [CrossRef] [PubMed]
- Stiegmann, R.A.; Payne, C.B.; Kiel, M.A.; Stahlman, S.L. Increased Prevalence of Overweight and Obesity and Incidence of Prediabetes and Type 2 Diabetes During the COVID-19 Pandemic, Active Component Service Members, U.S. Armed Forces, 2018 to 2021. MSMR 2023, 30, 11–18. [Google Scholar]
- Hagström, H.; Adams, L.A.; Allen, A.M.; Byrne, C.D.; Chang, Y.; Duseja, A.; Grønbæk, H.; Ismail, M.H.; Jepsen, P.; Kanwal, F.; et al. The future of International Classification of Diseases coding in steatotic liver disease: An expert panel Delphi consensus statement. Hepatol Commun. 2024, 8, e0386. [Google Scholar] [CrossRef]
- Austin, P.C. Balance Diagnostics for Comparing the Distribution of Baseline Covariates between Treatment Groups in Propensity-Score Matched Samples. Stat. Med. 2009, 28, 3083–3107. [Google Scholar] [CrossRef]
- Faries, D.; Leon, A.; Haro, J.; Obenchain, R. Analysis of Observational Health Care Data Using SAS; SAS Institute Inc.: Cary, NC, USA, 2010; Chapter 3. [Google Scholar]
- Austin, P.C. Optimal caliper widths for propensity-score matching when estimating differences in means and differences in proportions in observational studies. Pharm Stat. 2011, 10, 150–161. [Google Scholar] [CrossRef] [PubMed] [PubMed Central]
- Ho, D.; Imai, K.; King, G.; Stuart, E. MatchIt: Nonparametric Preprocessing for Parametric Causal Inference. J. Stat. Softw. 2011, 42, 1–28. [Google Scholar] [CrossRef]
- Saul, B. smd: Compute Standardized Mean Differences. R Package Version 0.7.0, 2024. Available online: https://CRAN.R-project.org/package=smd (accessed on 3 March 2025).
- R Core Team. R: A Language and Environment for Statistical Computing, Version 4.4.1; R Foundation for Statistical Computing: Vienna, Austria, 2024. Available online: https://www.R-project.org/ (accessed on 3 October 2025).
- Loretelli, C.; Abdelsalam, A.; D’Addio, F.; Ben Nasr, M.; Assi, E.; Usuelli, V.; Maestroni, A.; Seelam, A.J.; Ippolito, E.; Di Maggio, S.; et al. PD-1 blockade counteracts post-COVID-19 immune abnormalities and stimulates the anti-SARS-CoV-2 immune response. JCI Insight 2021, 6, e146701. [Google Scholar] [CrossRef] [PubMed]
- Akpek, M. Does COVID-19 Cause Hypertension? Angiology 2021, 73, 682–687. [Google Scholar] [CrossRef] [PubMed]
- Bielecka, E.; Sielatycki, P.; Pietraszko, P.; Zapora-Kurel, A.; Zbroch, E. Elevated Arterial Blood Pressure as a Delayed Complication Following COVID-19—A Narrative Review. Int. J. Mol. Sci. 2024, 25, 1837. [Google Scholar] [CrossRef]
- Wrona, M.; Skrypnik, D. New-Onset Diabetes Mellitus, Hypertension, Dyslipidaemia as Sequelae of COVID-19 Infection—Systematic Review. Int. J. Environ. Res. Public Health 2022, 19, 13280. [Google Scholar] [CrossRef]
- Trimarco, V.; Izzo, R.; Jankauskas, S.; Fordellone, M.; Signoriello, G.; Manzi, M.; Lembo, M.; Gallo, P.; Esposito, G.; Piccinocchi, R.; et al. A six-year study in a real-world population reveals an increased incidence of dyslipidemia during COVID-19. J. Clin. Investig. 2024, 134, e183777. [Google Scholar] [CrossRef]
- Buchynskyi, M.; Kamyshna, I.; Oksenych, V.; Zavidniuk, N.; Kamyshnyi, A. The Intersection of COVID-19 and Metabolic-Associated Fatty Liver Disease: An Overview of the Current Evidence. Viruses 2023, 15, 1072. [Google Scholar] [CrossRef] [PubMed] [PubMed Central]
- Liu, D.; Zhang, Q.; Bai, P.; Zhao, J. Assessing causal relationships between COVID-19 and non-alcoholic fatty liver disease. J. Hepatol. 2021, 76, 740–742. [Google Scholar] [CrossRef]
- Cecelja, M.; Lewis, C.M.; Shah, A.M.; Chowienczyk, P. Cardiovascular health and risk of hospitalization with COVID-19: A Mendelian Randomization study. JRSM Cardiovasc Dis. 2021, 10, 20480040211059374. [Google Scholar] [CrossRef] [PubMed]
- Ho, L.; Tan, C.; Ng, H.; Chay, W.; Tan, J.; Goh, S. A Reflection of Metabolic Syndrome through the Window of COVID-19. Vaccines 2022, 10, 1966. [Google Scholar] [CrossRef]
- Sorokin, A.; Karathanasis, S.; Yang, Z.; Freeman, L.; Kotani, K.; Remaley, A. COVID--19—Associated dyslipidemia: Implications for mechanism of impaired resolution and novel therapeutic approaches. FASEB J. 2020, 34, 9843–9853. [Google Scholar] [CrossRef]
- Lu, Y.; Liu, D.X.; Tam, J.P. Lipid rafts are involved in SARS-CoV entry into Vero E6 cells. Biochem. Biophys. Res. Commun. 2008, 369, 344–349. [Google Scholar] [CrossRef]
- Tall, A.R.; Yvan-Charvet, L. Cholesterol, inflammation and innate immunity. Nat. Rev. Immunol. 2015, 15, 104–116. [Google Scholar] [CrossRef] [PubMed] [PubMed Central]
- Kaji, H. High-density lipoproteins and the immune system. J. Lipids. 2013, 2013, 684903. [Google Scholar] [CrossRef] [PubMed] [PubMed Central]
- Abolfazli, P.; Aghajanzadeh, T.; Ghaderinasrabad, M.; Nchama, C.; Mokhlesi, A.; Talkhabi, M. Bioinformatics analysis reveals molecular connections between non-alcoholic fatty liver disease (NAFLD) and COVID-19. J. Cell Commun. Signal. 2022, 16, 609–619. [Google Scholar] [CrossRef] [PubMed]
- Elfeki, M.A.; Robles, J.; Akhtar, Z.; Ullah, F.; Ganapathiraju, I.; Tran, C.; Inman, C.; Collin, S.M.; Rosa, R. Impact of fibrosis-4 index prior to COVID-19 on outcomes in patients at risk of non-alcoholic fatty liver disease. Dig. Dis. Sci. 2021, 67, 3333–3339. [Google Scholar] [CrossRef] [PubMed]
- US Preventive Services Task Force. Screening for Hypertension in Adults (Reaffirmation Recommendation). American Academy of Family Physicians. 2021. Available online: https://www.uspreventiveservicestaskforce.org/uspstf/recommendation/hypertension-in-adults-screening (accessed on 20 August 2025).
- US Preventive Services Task Force. Statin Use for the Primary Prevention of Cardiovascular Disease in Adults: Preventive Medication (Final Recommendation Statement). USPSTF. 2022. Available online: https://www.uspreventiveservicestaskforce.org/uspstf/recommendation/statin-use-in-adults-preventive-medication (accessed on 20 August 2025).
- European Association for the Study of the Liver (EASL); European Association for the Study of Diabetes (EASD); European Association for the Study of Obesity (EASO). EASL-EASD-EASO Clinical Practice Guidelines on the management of metabolic dysfunction-associated steatotic liver disease (MASLD). J. Hepatol. 2024, 81, 492–542. [Google Scholar] [CrossRef] [PubMed]

| Outcome | COVID-19 Exposed | COVID-19 Not Exposed |
|---|---|---|
| Type 2 diabetes | 189 (94, 266) | 192 (104, 277) |
| Hypertension | 187 (96, 272) | 182 (103, 275) |
| Hyperlipidemia | 180 (98, 273) | 191 (110, 276) |
| MASLD | 199 (112, 285) | 197 (113, 278) |
| Metabolic syndrome | 178 (77, 269) | 174 (106, 279) |
| Type 2 Diabetes | Hypertension | Hyperlipidemia | MASLD | Metabolic Syndrome | ||||||
|---|---|---|---|---|---|---|---|---|---|---|
| uHR (CI) |
aHR
(CI) |
uHR
(CI) |
aHR
(CI) |
uHR
(CI) |
aHR
(CI) |
uHR
(CI) |
aHR
(CI) |
uHR
(CI) |
aHR
(CI) | |
| COVID-19 | 1.00 (0.81, 1.25) | 0.95 (0.75, 1.21) | 1.11 (1.03, 1.20) | 1.09 (1.01, 1.18) | 1.32 (1.12, 1.56) ^ | 1.30 (1.10, 1.54) ^ | 1.40 (1.19, 1.63) | 1.36 (1.15, 1.60) | 1.36 (0.87, 2.11) | 1.15 (0.70, 1.90) |
| Prior Overweight Diagnosis | 1.44 (0.85, 2.44) | 2.40 (1.36, 4.23) | 1.13 (0.94, 1.37) | 1.29 (1.06, 1.56) | 1.35 (1.13, 1.62) | 1.54 (1.28, 1.84) | 0.97 (0.66, 1.44) | 1.37 (0.91, 2.06) | 0.88 (0.35, 2.23 | 2.16 (0.76, 6.19) |
| Prior Obesity Diagnosis | 4.90 (3.42, 7.04) | 5.43 (3.74, 7.87) | 2.13 (1.86, 2.45) | 2.16 (1.89, 2.49) | 2.08 (1.82, 2.37) | 2.15 (1.88, 2.45) | 3.98 (3.03, 5.22) | 4.05 (3.07, 5.34) | 5.53 (2.79, 10.96) | 6.36 (3.02, 13.37) |
Disclaimer/Publisher’s Note: The statements, opinions and data contained in all publications are solely those of the individual author(s) and contributor(s) and not of MDPI and/or the editor(s). MDPI and/or the editor(s) disclaim responsibility for any injury to people or property resulting from any ideas, methods, instructions or products referred to in the content. |
© 2025 by the authors. Licensee MDPI, Basel, Switzerland. This article is an open access article distributed under the terms and conditions of the Creative Commons Attribution (CC BY) license (https://creativecommons.org/licenses/by/4.0/).
Share and Cite
Sexton, K.W.; Berill, Z.; Susi, A.; Coene, J.; Madison, K.E.; Nylund, C.M. The Metabolic Aftershock: COVID-19 and Metabolic Disease Risk Among U.S. Active-Duty Military Personnel. Metabolites 2025, 15, 795. https://doi.org/10.3390/metabo15120795
Sexton KW, Berill Z, Susi A, Coene J, Madison KE, Nylund CM. The Metabolic Aftershock: COVID-19 and Metabolic Disease Risk Among U.S. Active-Duty Military Personnel. Metabolites. 2025; 15(12):795. https://doi.org/10.3390/metabo15120795
Chicago/Turabian StyleSexton, Kyle W., Zella Berill, Apryl Susi, Jacob Coene, Kristan E. Madison, and Cade M. Nylund. 2025. "The Metabolic Aftershock: COVID-19 and Metabolic Disease Risk Among U.S. Active-Duty Military Personnel" Metabolites 15, no. 12: 795. https://doi.org/10.3390/metabo15120795
APA StyleSexton, K. W., Berill, Z., Susi, A., Coene, J., Madison, K. E., & Nylund, C. M. (2025). The Metabolic Aftershock: COVID-19 and Metabolic Disease Risk Among U.S. Active-Duty Military Personnel. Metabolites, 15(12), 795. https://doi.org/10.3390/metabo15120795

