Abstract
Orchard grass cultivation management is an effective measure to safeguard the sustainable development of the fruit industry in China. However, details of the influence of natural sod culture management on carbon (C)–nitrogen (N) nutrition of trees and fruit quality in Hanfu apple orchards are lacking. Therefore, a field experiment was conducted, which consisted of two treatments: clean tillage (CT) and natural grass cultivation (NG). Results revealed that NG treatment contributed to the increases in soil organic matter (SOM), total N, and soil NH4+-N at depths of 0–20 cm and 20–40 cm, while the soil NO3−-N concentration under NG treatment was significantly decreased at the same depth, within the range of 0–200 cm of the soil profile, compared with CT. NG treatment also significantly promoted leaf photosynthesis and enhanced leaf N and fruit sugar metabolism. The results of isotope labeling showed that NG treatment obviously elevated the 13C accumulation and distribution rate in fruits, as well as the 15N accumulation in the whole tree, whereas the 15N accumulation in fruits decreased. Furthermore, NG treatment significantly increased the fruit anthocyanin content. These results provide theoretical references for the feasibility of natural sod culture management to improve fruit quality in Hanfu apple orchards.
1. Introduction
Apples have been cultivated worldwide because of their unique health and economic value [1,2]. Appropriate N application is crucial for the growth and development of apples [3,4,5,6]. However, excessive and unreasonable application of N fertilizers (e.g., urea) has become a common phenomenon in apple orchards in China [7,8,9,10]. A large amount of unabsorbed N fertilizer is integrated into the soil N pool in the form of inorganic N or organic compounds [11]. Soil organic N can easily mineralize into ammonium N (NH4+-N) during the later stages of apple fruit expansion because of the effects of high temperature and rainy weather. Subsequently, NH4+-N in the soil can be easily converted to NO3−-N by nitrification, resulting in agricultural N pollution in orchards by increasing the risk of NO3−-N leaching into deep soil [12]. Moreover, apple trees prefer to utilize soil NO3−-N rather than other soil N sources [13]. A large amount of N absorbed through the root system during this period could easily lead to excessive N uptake by apple fruits due to the greater ability of fruits to accumulate N, resulting in excessive accumulation of N in fruits, which could have a negative influence on fruit quality, such as inhibiting the accumulation of photosynthates and the synthesis of anthocyanin in fruits [14,15], thereby decreasing the economic value of apple fruits.
The coordination and maintenance of C and N metabolisms are vital for strengthening crop growth and increasing the economic value of crops [16]. Fruit trees, including economically important crops, such as apples and pears, are primarily cultivated for fruit production. The economic value of these fruits is largely determined by their quality [17]. Substantial research has been conducted to explore effective solutions for improving fruit quality in orchards by coordinating tree C and N metabolism. For example, Tian et al. [2] indicated that the optimal use of Mg could elevate fruit quality by regulating C and N metabolism in leaves (source organs) and fruits (sink organs). Sha et al. [18] observed that the fruit quality could be significantly improved under PBZ (a plant growth regulator) treatment through altering the C and N nutrients in fruits. Orchard sod culture management, which has been proven to be beneficial for the high-quality and sustainable development of the Chinese fruit industry, is gradually being promoted in Chinese orchards. To date, the positive effects induced by orchard sod culture management on soil properties aspects have been proved [19,20,21,22]. Improving fruit quality is a core task in orchard management [17,23]. Recently, efforts have been made to explore the effects of grass cultivation management on fruit quality. Chen et al. [24] reported that grass mulching management could significantly improve fruit quality-related indices such as soluble sugar content. As reported by Han et al. [25], the application of green cover crops in pear orchards can improve the nutritive value of pear fruits. The meta-analysis results obtained by Ren et al. [26] showed that grass cultivation in orchards contributes to improved fruit quality. Fu et al. [27] and Muscas et al. [28] reported that orchard grass cultivation can reduce fruit acidity. However, some studies have found that the effects of grass cultivation management on fruit quality are not obvious [29]. There is large variability in the effects of orchard grass cultivation practices on fruit quality. Hanfu (2n = 34) has become the main apple variety cultivated in the cool areas of Northeast China because of its better cold resistance characteristics than other varieties of apples [30]. Currently, research on the application of orchard grass cultivation management in Hanfu apple orchards is mainly focused on soil aspects, such as elevating soil fertility, stimulating soil biological activities, and optimizing soil microbial community composition [31,32]. Details regarding the differences in Hanfu fruit quality between clean tillage practices and orchard grass cultivation management and their potential mechanisms are rarely reported, especially under natural sod culture conditions. Compared to artificially planted grass management, the implementation of natural sod culture management in orchards can effectively improve the ecological environment of orchards and promote the development of a virtuous cycle of orchard ecosystems. With its low investment and easy management, natural sod culture management in orchards has become a new direction for orchard soil management in China [33]. The coordination of C and N metabolism can directly or indirectly affect the formation of high-quality fruits [18]. Studying the differences in the C–N metabolism of Hanfu apple trees between clean tillage management and natural grass cultivation management is beneficial for exploring the effects of natural sod culture management on fruit quality to a certain extent.
In this study, ‘Hanfu’/GM256/Malus baccata Borkh. trees and the orchard inter-row soil were subjected to consecutive years of natural grass cultivation and clean tillage management. The findings aim to provide theoretical references for improving nitrogen nutrient utilization and enhancing fruit quality in apple orchards under natural sod culture management.
2. Materials and Methods
2.1. Study Sites Description
This study was performed in a Hanfu apple orchard located at Shenyang Agriculture University, Shenhe County, Shenyang City, Liaoning Province, Northeast China (123°56′ E, 42°23′ N). The mean annual temperature and annual precipitation of this region were 7.9 °C and 720 mm, respectively. Moreover, most of the precipitation in this region is concentrated between early August and September. The details of the soil properties are listed as follows: clay loam with 0.95% SOM, and the values of pH, available phosphorus, and available potassium were 5.75, 35.6 mg kg−1, and 76.2 mg kg−1, respectively.
2.2. Experimental Design and Sampling
In 2009, ‘Hanfu’/GM256/Malus baccata Borkh. seedlings of similar growth were planted, and the cultivation density was 2.0 m × 4.0 m. Two inter-row soil management systems were adopted in this study, named clean tillage management (CT) and natural grass cultivation (NG) management. Each treatment (management) consisted of three replicates, each with an area of 200 m2 and 30 apple trees. Prior to establishing the two soil managements (2009–2014), the soil of each replicate received the same soil management, with the understory cleaned periodically. The field experiments were conducted in 2015. Clean tillage (CT) indicates the soil surface was tilled and the weeds were removed in a timely and regular manner. For the natural grass cultivation (NG) management, the soil in the tree rows was managed as CT, while the soil in the inter-row was grown with natural weeds such as Polygonum aviculare Linn. and Digitaria sanguinalis (Linn.) Scop. The inter-row grass was mown three times a year, and the plant residues were mulched in situ. Moreover, trees under different treatments were trained as slender spindles, and the fertilization scheme of each tree remained consistent between the CT and NG treatments. In total, 340 g normal urea (CO(NH2)2), 210 g ammonium phosphate ((NH4)2HPO4), and 120 g potassium sulfate (K2SO4) were applied to each tree from 2015 to 2021. Half of the fertilizers were applied at the germination stage, and the remaining were applied as fruit-setting fertilizers. On a circular surface with a radius of about 150 cm, 5 points were evenly selected, and fertilizer pits with a depth of 20 cm and a diameter of 20 cm were dug. In addition, other relevant agronomic practices (such as pruning and irrigation) were consistent.
15N labeling fertilization was conducted in 2022. Twelve trees from each treatment group were selected and used as the test material. To exclude the 15N and 13C natural abundances in tree organs influenced by different soil management practices, the 12 trees mentioned above were divided into two groups with six trees per group and were named the normal group and labeling group. The fertilization details of the normal group were as follows: the amounts of urea, ammonium phosphate, and potassium sulfate applied to each tree were 340, 210, and 120 g, respectively. The fertilization details of the labeled group were similar to those of the normal group, except that 340 g of normal urea was replaced with 10 g 15N-urea (10.14%, abundance) and 330 g of normal urea.
Following the steps described by Wang et al. [14], 13C labeling was performed 147 days after blooming. Briefly, labeling chambers made of Mylar plastic bags and brackets were prepared to cover and seal the trees of the label group for each treatment. Each tree corresponds to a single labeling chamber. A beaker containing 10 g of Ba13CO3 together with fans and reduced iron powder was placed in the chamber. After turning on the fan and sealing the chamber, 13C pulse labeling was performed. To maintain the 13CO2 concentration, we injected into the beaker every 30 min. The concentration of hydrochloric acid used in 13C pulse labeling was set to 1 mol L−1. The 13C pulse-labeling process lasted for 4 h.
Soil samples were obtained using a soil drill 150 d after blooming. Within a range of 0–300 cm of the soil profile, soil samples were collected at 20 cm intervals in the vertical direction of each soil sampling point. Twelve soil extraction sites were evenly distributed within the canopy projection and were occupied by a tree. After removing large rocks and plant residues, 12 soil samples collected from the same depth were considered as one replicate and homogeneously mixed. Soil samples harvested from the normal group were used to measure SOM, soil total N, and soil mineral N (NH4+ and NO3−) content. Then, 72 h after the end of 13C pulse labeling (150 days after blooming), all trees in the labeling group were subjected to destructive sampling.
2.3. Experimental Index Measurements
2.3.1. Levels of SOM, TN, and the Contents Soil NO3−-N and NH4+-N
Following the method described by Bremner and Jenkinson [34], the SOM value was confirmed, and the method reported by Bao [35] was employed to determine the level of total N. The method described by Duan et al. [36] was used to determine the contents of NO3−-N and NH4+-N in the soil profile.
2.3.2. Photosynthetic Parameter
The values of leaf net photosynthetic rate (Pn) and stomatal conductance (Gs) were confirmed at 120, 135, and 150 days after blooming using an LI-6400XT portable photosynthesis system (LI-Cor, Lincoln, NE, USA). The measurements started at 9:00 and ended at 11:00. The light-saturation point was set to 1200 μmol (photon) m−2 s−1 to measure net photosynthetic rate, and the CO2 concentration was 400 μmol (CO2) mol−1. During the same period, a pulse-modulated chlorophyll fluorescence meter (PAM 2500; Walz, Germany) was used to determine the chlorophyll fluorescence parameters of leaves. Leaves were collected at the end of the measurement of photosynthetic parameters and brought to the laboratory. The steps concluded by Liu et al. [37] were used for the analysis of Ribulose-1,5-biphosphate carboxylase-oxygenase (Rubisco).
2.3.3. Levels of Sorbitol, Sucrose, Fructose, and Glucose
The method presented by Ma et al. [38] was adopted in this experiment to prepare the measurement. The levels of sorbitol, sucrose, fructose, and glucose in leaves and fruits were determined by filtration using liquid chromatography methods by Filip et al. [39].
2.3.4. Enzyme Activities Determination
Sorbitol 6-phosphate dehydrogenase (S6PDH) activity was measured according to the methods presented by Berüter [40]. Sucrose synthase (SS) and sucrose phosphate synthase (SPS) activities were measured as by Hu et al. [41].
The method reported by Tian et al. [2] was used to prepare the enzyme solution, which was then dialyzed and used to determine sorbitol dehydrogenase (SDH), sorbitol oxidase (SOX), sucrose synthase decomposition direction (SS-c), acid invertase (AI), and neutral invertase (NI) activities. Subsequently, the methods described by Rufly and Huber [42] and Yamaki and Asakura [43] were adopted to determine SDH and SOX, respectively. SS-c activity was measured as described by Huber [44]. The AI and NI were determined following the steps described by Merlo and Passera [45]. In addition, the activities of N-metabolism-related enzymes were investigated. Briefly, the methods presented by Ding et al. [46] and Seith et al. [47] were used to analyze the nitrate reductase (NR) and nitrite reductase (NiR) activities, respectively. The glutamine synthetase (GS) and glutamate synthase (GOGAT) activities were measured as described by Hu et al. [48].
2.3.5. 15N and 13C Isotope Analysis
The trees in the labeling group for each treatment were divided into five parts, from bottom to top, which contained the roots, trunks, perennial branches, annual branches, leaves, and fruits. Preparation before the determination of 15N and 13C abundance and the calculation of 13C and 15N abundance followed the method reported by Xu et al. [49]. Subsequently, the samples prepared for measuring 15N abundance were transferred to the laboratory, and measurements were performed using a MAT-251-Stable Isotope Ratio Mass Spectrometer. The samples used for 13C abundance determination were analyzed using a DELTAVplus XP advantage isotope ratio mass spectrometer. The computational formulae for 15N and 13C-related indexes are as follows:
Calculation of 15N
Ndff (%) = [(abundance of 15N in plant − natural abundance of 15N)/(abundance of 15N in fertilizer − natural abundance of 15N)] × 100%
15N absorbed by each organ = Ndff (%) × total N content (mg)
Calculation of 13C
Abundance of 13C: Fi (%) = [(δ13C + 1000) × RPBD]/[(δ13C + 1000) × RPBD + 1000]
RPBD is a constant value that represents the standard ratio of carbon isotopes. The value of RPBD is set to 0.0112372.
C content of each organ:
Ci = organ dry matter (g) × organ total carbon content (%)
Content of 13C in each organ:
13Ci (mg) = [Ci × (Fi − Fnl)/100] × 1000
The value of Fnl represents the 13C natural abundance of each organ:
13C partitioning rate: 13C (%) = (13Ci/13C net absorption) × 100%
2.3.6. Fruit Quality Indexes Measurement
A Vernier caliper transverse was used to measure the fruit and longitudinal diameters. Following the method reported by Zheng et al. [50], we analyzed the anthocyanin concentration. Before calculating the sugar–acid ratio, the methods described by Liu et al. [51] and Nie et al. [52] were adopted to measure the soluble sugar and titratable acid contents, respectively.
2.3.7. RNA Isolation and qRT-PCR Analysis
In this study, the relative expression of genes involved in sorbitol and sucrose transport was analyzed. First, following the guidelines of RNAiso Plus (Takara, Otsu, Shiga, Japan), total RNA was extracted from the samples. Subsequently, the concentration and purity of total RNA from the samples were determined. ReverTra Ace® qPCR RT Master Mix with gDNA Remover (TOYOBO, Osaka, Japan) was used to synthesize cDNA. Relative gene expression was analyzed by RT-qPCR on a LightCycler 96 (Roche, Basel, Switzerland) using TranStart Top Green qPCR SuperMix (TransGen Biotech, Beijing, China). The expression was normalized according to the method described by Xu et al. [49]. The primers used are listed in Supplementary Table S1. Each treatment consisted of three technical and three biological replicates.
2.4. Data Collection and Statistical Analysis
The data for the indices in this experiment were collected in Microsoft Excel and analyzed using SPSS (version 21.0; SPSS Inc., Chicago, IL, USA). The significance of differences between the two groups (treatments) was analyzed using a t-test (Student’s t-test). * represents p < 0.05, ** represents p < 0.01.
3. Results
3.1. Level of SOM, TN, and Soil Mineral N (NH4+-N and NO3−-N)
3.1.1. SOM and TN
Different soil management methods significantly affected the SOM levels. As shown in Figure 1A, NG management in the orchard mainly affected the SOM content at 0–40 cm depth. The values of SOM under the NG treatment at 0–20 cm and 20–40 cm were 14.3 g kg−1 and 10.50 g kg−1, respectively, which increased by 32.41% and 14.13%, respectively, compared to CT. However, no significant difference was observed in the SOM content of the 40–300 cm soil layer between the CT and NG treatment groups.
Figure 1.
SOM (A), soil total N (B) as well as soil NO3−-N (C) and NH4+-N (D) concentrations at 0~300 cm under between CT and NG treatments. CT: clean tillage; NG: natural grass cultivation.
As presented in Figure 1B, the values of soil total N under the NG treatment at 0–20 cm and 20–40 cm were 1.31 g kg−1 and 1.17 g kg−1, respectively, which increased by 16.96% and 14.71%, respectively, compared to CT. Similar to the changes in SOM, no significant difference existed in the soil total N content in the 40–300 cm soil layer between the CT and NG treatments.
3.1.2. Soil Mineral N (NH4+-N and NO3−-N)
Regardless of the treatment, at a soil depth of 0–80 cm, the soil NO3−-N concentrations decreased with increasing soil depth, whereas a trend of increasing and then decreasing with increasing depth of the soil layer was observed at 80–260 cm. In the 200–300 cm soil layer, no significant fluctuations in soil NO3−-N concentration with the increasing depth of the soil layer. Within the range of 0–200 cm of the soil profile, the soil NO3−-N concentration treated with NG was obviously lower than that with CT at the same depth (Figure 1C). The concentrations of NH4+-N at 0–20 cm and 20–40 cm depths under the NG treatment were significantly higher than those under CT. However, at the same depth, no obvious differences were observed between the CT and NG treatments within the range of 40–300 cm in the soil profile (Figure 1D).
3.2. Plant C–N Nutrition
3.2.1. Photosynthetic Parameter
As shown in Figure 2, the NG treatment enhanced the photosynthetic ability of the leaves. During the same sampling period, Pn and Gs of leaves treated with NG were greater than those of leaves treated with CT (Figure 2A,B). Compared to CT, NG treatment also significantly elevated the levels of ΦPSII (quantum yield of photosystem II electron transport) and ETR (electron transport rate) (Figure 2C,D). In addition, leaves in the NG treatment showed significantly higher RuBisCO activity than those in the CT treatment. The RuBisCO activity under NG treatment increased by 25.48%, 16.18%, and 13.29%, respectively, compared to the CT (Figure 2E).
Figure 2.
Pn (A), Gs (B), ΦPSII (C), ETR (D) and Rubisco activity (E) between CT and NG treatments. CT: clean tillage; NG: natural grass cultivation. * represents p < 0.05, ** represents p < 0.01.
3.2.2. C Metabolism-Related Enzyme Activities in Leaves and Fruits
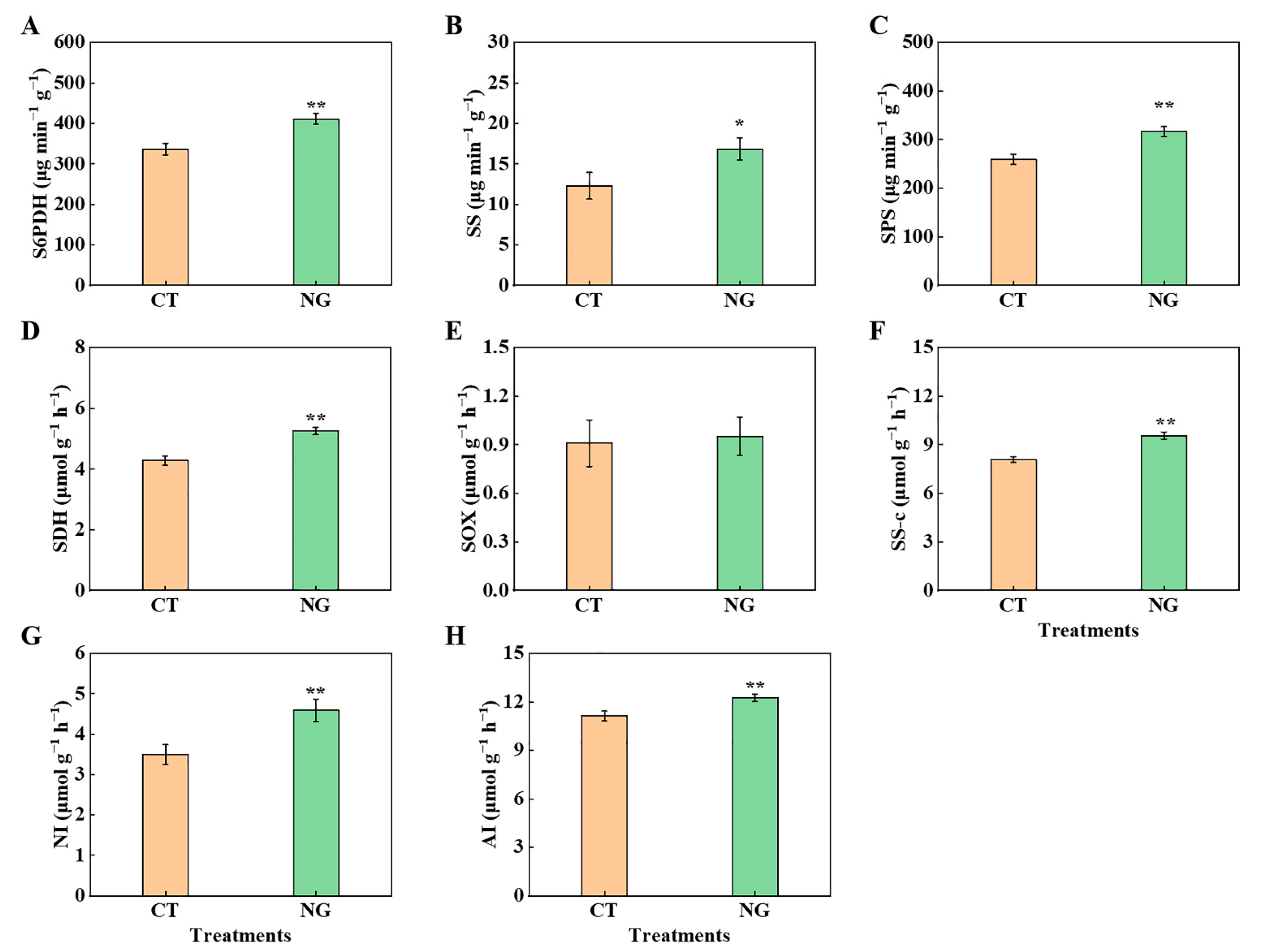
Differences in the C metabolism-related enzyme activities in leaves and fruits between CT and NG are shown in Figure 3. The activities of SDH, SS-c, AI, and NI in fruits were 1.23, 1.18, 1.10, and 1.32 times higher than those in CT, respectively, and no noticeable difference in SOX activity was found in fruits. Moreover, we also measured the leaves’ S6PDH, SPS, and SS activities. The values of them were elevated by NG treatment, which were increased by 22.03%, 22.03%, and 36.75%, respectively, compared to the CT.
Figure 3.
S6PDH (A), SS (B), SPS (C) enzyme activities in leaves and SDH (D), SOX (E), SS-c (F), NI (G), AI (H) in fruits. * represents p < 0.05, ** represents p < 0.01.
3.2.3. Concentrations of Sucrose, Sorbitol, Fructose, and Glucose in Leaves and Fruits
NG treatment significantly elevated the sorbitol and sucrose contents of the leaves, compared to the CT. The fructose, glucose, and sucrose contents in fruits treated with NG were also significantly higher than those in CT, by 24.66%, 31.25%, and 25.67%, respectively. Moreover, there was no obvious difference in the concentrations of fructose and glucose in the leaves, or sorbitol in the fruits between the CT and NG treatments (Figure 4).
Figure 4.
Fruits’ sorbitol (A), sucrose (B), glucose (C), fructose (D), and leaves’ sorbitol (E), sucrose (F), glucose (G), and fructose (H) concentrations between CT and NG treatments. * represents p < 0.05, ** represents p < 0.01.
3.2.4. N Metabolism-Related Enzyme Activities in Leaves
As shown in Figure 5, under NG treatment, the values of NiR, GS, NADH-GOGAT, and Fd-GOGAT were significantly elevated, with values of 15.92%, 61.48%, 63.71%, and 75.73%, respectively, compared with CT. However, no obvious difference was observed in NR activity between the CT and NG treatments.
Figure 5.
Leaves’ N metabolism enzyme activities between CT and NG treatments. NR (A), NiR (B), GS (C), NADH-GOGAT (D), and Fd-GOGAT (E). ** represents p < 0.01.
3.2.5. 13C distribution Rate and 13C Accumulation in Organs
In this study, the difference in 13C distribution rate between CT and NG in different organs was analyzed using 13C isotope labeling. As illustrated in Figure 6G,H, under the NG treatment, the distribution of 13C in the fruits increased significantly, while that in the leaves decreased. No significant differences were observed in other organs (perennial branches, annual branches, roots, and trunk) between the CT and NG treatments. In addition, we further analyzed the 13C accumulation in fruits and found that NG treatment significantly increased fruit 13C accumulation compared to CT, which was 20.00% higher than that in the CT treatment (Figure 6A).
Figure 6.
13C accumulation in fruits (A), 15N accumulation in fruits (B), 15N accumulation in the whole plant (C), 15N utilization rate (D), leaves N content (E), fruits N contents (F) as well as 13C (G,H) and 15N distribution ratio (I,J) under various treatments. ** represents p < 0.01.
3.2.6. 15N Accumulation and 15N Distribution Rate
According to the results of 15N labeling, compared with CT, 15N accumulation in the whole plant increased by 18.92%, whereas 15N accumulation in fruits decreased by 22.22% (Figure 6C,D). We further analyzed the differences in the organ 15N distribution rate between the CT and NG treatments. Compared with CT, the leaf 15N distribution rate was significantly elevated under the NG treatment. The fruit 15N distribution rate showed the opposite tendency, showing a significant decrease under the NG treatment compared with CT (Figure 6I,J).
3.2.7. Gene Expression of Sugar Transporter
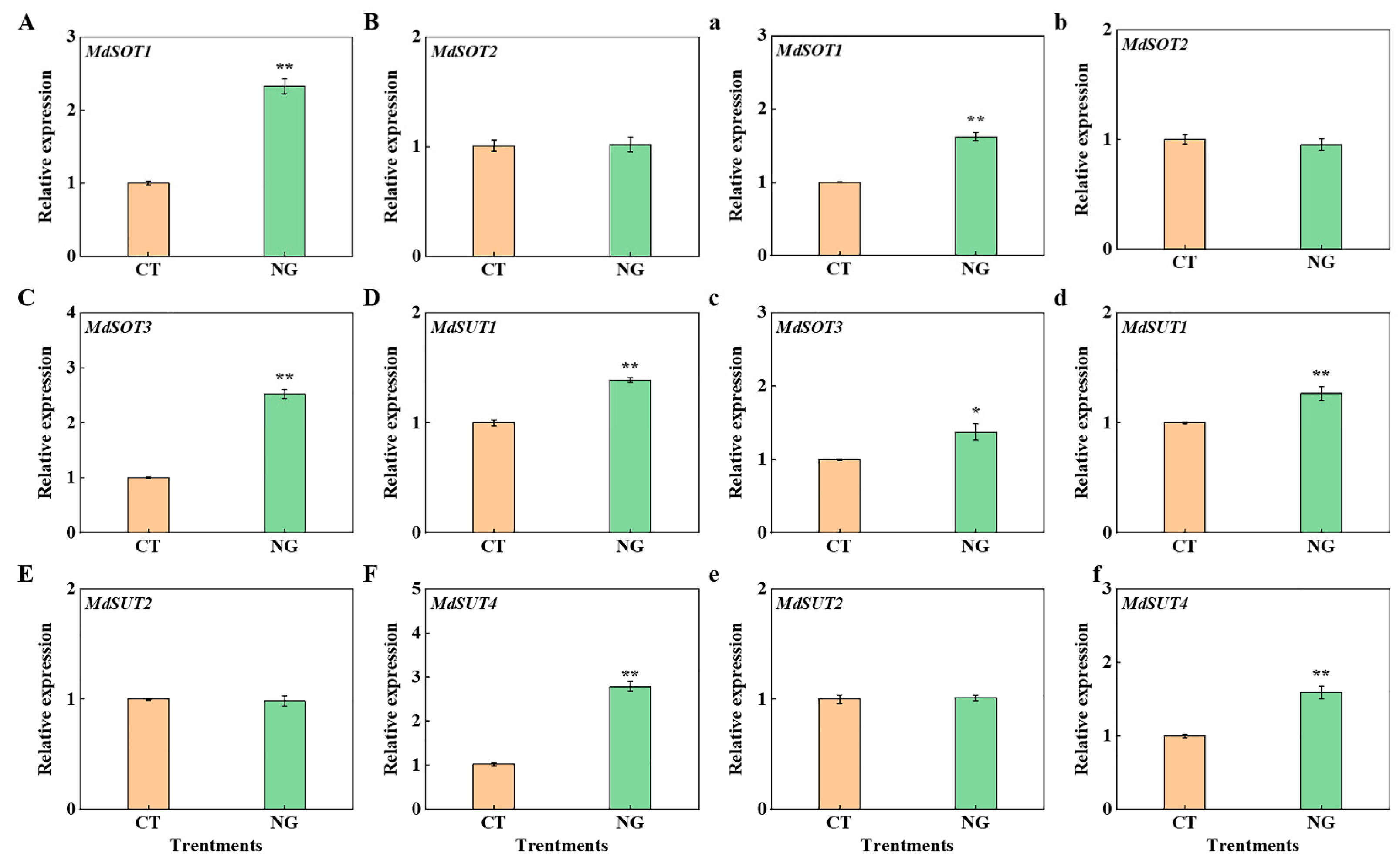
As shown in Figure 7, the relative expression of MdSOT1, MdSOT3, MdSUT1, and MdSUT4 in fruit flesh and stalk was obviously promoted under the NG treatment compared to the CT treatment.
Figure 7.
Genes relative expression in fruit flesh (A–F) and stalk (a–f) between CT and NG treatments. * represents p < 0.05, ** represents p < 0.01.
3.3. Fruit Quality
As presented in Figure 8, under NG treatment, the single fruit weight and the transverse and longitudinal diameters of the apples increased significantly. Moreover, compared with CT, NG management significantly elevated the anthocyanin content in the fruits and maintained an appropriate sugar–acid ratio.
Figure 8.
Single fruit weight (A), transverse diameter (B), longitudinal diameter (C), sugar–acid ratio (D) as well as anthocyanin content (E) between CT and NG treatments. * represents p < 0.05, ** represents p < 0.01.
4. Discussion
4.1. Natural Sod Culture Management Alters N Absorption of Trees and Reduces the Risk of Soil Nitrate Leaching
Consistent with frequently observed increases in soil total N and SOM content in diverse climatic zones [21,53], our results showed that orchard natural grass cultivation (NG) management significantly elevated the levels of SOM and TN compared to clean tillage (CT). This indicates an improvement in soil fertility under natural grass cultivation conditions. After exogenous N fertilizer (such as urea) is applied to the soil, urea is rapidly hydrolyzed to NH4+ through the action of urease and rapidly participates in soil N pools [11]. Soil NH4+-N is readily adsorbed and fixed by soil organic matter and colloidal particles [14]. It has been widely acknowledged that long-term grass cultivation management could significantly elevate the levels of SOM and colloidal particles [22]. In this study, we found that the soil NH4+-N concentrations at depths of 0–20 cm and 20–40 cm were obviously elevated under the NG treatment. Notably, we also observed that the soil NH4+-N concentrations at 0–20 cm and 20–40 cm were higher than those within the 40–300 cm range of the soil profile, regardless of soil management. This observation may be closely related to the variations in SOM and colloidal particle content with depth in the soil pool. Nitrate N pollutes surface water and groundwater through surface runoff and leaching losses, as well as the atmosphere through denitrification, thus resulting in agricultural N pollution [14]. The results described by Garcia-Diaz et al. [54] in a vineyard indicated that spontaneous vegetation cover management could effectively reduce the risk of soil nitrate-N loss compared to conventional tillage. Stork and Jerie [55] reported that apricot orchards covered with cocksfoot effectively slowed nitrate leaching through N fixation. Moreover, the results presented by Wang et al. [56] revealed that the reduction in NO3−-N concentration in the soil profile would be favorable for decreasing the risk of NO3−-N leaching in the soil. In this study, we found that the soil NO3−-N concentrations at depths of 0–200 cm were reduced under NG treatment. This reduction may be attributed to the natural grass vegetation grown in the orchard inter-row soil, which can absorb part of the NO3−-N present in the 0–20 cm soil profile, and then reduce the risk of nitrate leaching to the deeper soil profile.
N is the primary focus of precise nutrient management in orchards [57,58]. Consistent with the results obtained by Peng et al. [59], the 15N labeling results showed that 15N accumulation in the whole tree and 15NUE were both elevated under NG treatment, indicating that the N absorption ability of apple trees was enhanced under NG treatment. Numerous studies have reported that orchard grass cultivation management can alter and optimize soil structure by modifying the composition of soil aggregates and enhancing soil nutrient availability through accelerated nutrient cycling [60,61]. Moreover, Zhou et al. [32] indicated that the inter-row grasses mowing management could affect soil microbial community structure and function by changing root exudate composition, and then promotes soil N cycling process, which could also affect soil N supply potential. These changes can significantly affect plant root growth and nutrient absorption capacity to a certain extent. Therefore, the strengthening of the N absorption ability of trees could be closely related to improvements conferred by grass cultivation management in some aspects of the soil. Moreover, the reduction in soil NO3−-N leaching risk, as indicated by the decrease in soil NO3−-N concentrations at depths of 0–60 cm under NG treatment, could also be attributed to the stronger N absorption ability of apple tree roots under NG treatment. The NO3−-N absorbed by roots from the soil pool needs to undergo various physiological and biochemical processes under the reaction of a series of N metabolism-related enzymes before it can be converted into organic N for its own use [10]. The efficient functioning of N metabolic processes under the actions of N metabolism related enzymes in leaves (the main site of photosynthesis in fruit trees) is of great importance for high-quality fruit formation because of the close relationship between N metabolism and photosynthesis, as well as photosynthesis-mediated carbon fixation. Therefore, we measured leaf NR, NiR, GS, and GOGAT activities and found that NG treatment significantly increased leaf NiR, GS, and GOGAT activities, indicating that N metabolism in leaves was enhanced under NG treatment. Additionally, there was no obvious difference in NR activity between the CT and NG treatment groups. A similar result was observed in ‘Red Fuji’ apple under various magnesium (Mg) conditions performed by Tian et al. [2]. Apart from the obvious differences in 15NUE observed from 15N labeling experiment, we also found that the leaf 15N distribution rate increased significantly with NG application. This might be because the enhancement of N metabolism in NG-treated leaves strengthened the leaf N demand. Wang et al. [8] showed that increased leaf N demand could lead to a reduction in N distribution and accumulation in fruits, which is beneficial for the elevation of sugar levels to a certain extent by avoiding excessive N accumulation in fruits. Similar results were observed in the present study.
4.2. Natural Sod Culture Management Alters Tree C–N Nutrition and Improves Fruit Quality
Fruit quality directly depends on photosynthesis-mediated C (CO2) fixation and the transport of photoassimilates from the leaves to the fruit [62]. In this experiment, the differences in Pn and Gs of the leaves between CT and NG were analyzed. Compared with the CT, the values of leaves’ Pn and Gs were both significantly elevated under the NG treatment. As described by Lawlor and Cornic [63], the synthesis of photosynthetic assimilates in leaves is realized by using CO2 as raw material. A higher Gs under the NG treatment indicates that the leaves’ CO2 absorption ability was elevated, which could explain the difference in fruit 13C accumulation between the CT and NG treatments. Furthermore, we also found that NG treatment significantly increased ETR in leaves, and the elevation of ETR in leaves treated with NG indicated an increase in the PSII electron transfer efficiency. Furthermore, the activity of Rubisco treated with NG was obviously greater than that of Rubisco treated with CT, indicating that NG treatment improved the capacity of photosynthetic assimilate synthesis and ensured the source strength of the leaves. Moreover, the N absorption ability of the roots is closely related to leaf photosynthesis [64]. Therefore, the enhancement of leaf photosynthesis caused by the NG treatment could also explain why the 15N accumulation of the whole tree under the NG treatment was higher than that under the CT treatment.
The synthesis of photosynthetic assimilates and their targeted transportation from leaves to fruits are inextricably linked to sugar accumulation in apples [65,66]. As a perennial woody plant of the Rosaceae family, the main photosynthates of apples are sorbitol and sucrose, accounting for 80% and 20%, respectively [67]. We found that the NG treatment significantly elevated the sorbitol and sucrose contents of the leaves. The reason might be due to the increases in the activities of S6PDH, SPS, and SS. The elevation of leaves’ sorbitol and sucrose contents indicated that the source strength was elevated under the NG treatment. Enhanced source strength is of great importance for the output of photosynthates [2], which could explain why the leaf 13C distribution rate under NG management decreased. Moreover, the elevation of the relative expression of MdSOTs and MdSUTs in in fruits under NG treatment provides additional evidence of enhanced sugar transport. Zhang et al. [68] reported that the enhancement of sorbitol and sucrose decomposition-related enzyme activities had a significant positive effect on sugar accumulation in fruits. In the present study, under NG management, the activities of SS-c, AI, NI, and SDH in fruits were elevated, indicating that NG management promoted sorbitol and sucrose decomposition, thereby increasing fruit sink strength. There was no significant difference in SOX activity between the CT and NG treatment groups. This may be related to the bound form and the lower activity of SOX [68]. The sorbitol and sucrose decomposition of fruits under the reaction of sugar-metabolism-related enzymes could not only result in a decrease in the vacuole osmotic potential but also elevate the concentration gradient of sorbitol in both source and sink organs, which could enhance the efficiency of sorbitol transport from leaf to fruit [69]. Consistent with the findings reported by Tian et al. [2], the sucrose content in leaves and fruits indicated that sucrose transport from leaves to fruits was an inverse concentration-gradient process. The elevation of sucrose transport from leaves to fruits in the NG treatment may be related to changes in energy and sucrose transporters.
The late stage of fruit expansion is a critical period that affects apple quality. However, excessive accumulation of N in apple trees often occurs during this period because of the high soil NO3−-N absorption. It has been widely acknowledged that excessive N accumulation in fruits negatively influences the formation of high-quality apple fruits [70]. The results of 15N and 13C labeling showed that NG management decreased 15N accumulation in the fruits. However, the 13C accumulation and 13C distribution rates of fruits were significantly elevated under the NG treatment, which was consistent with the tendency of sugar content elevation in fruits (mentioned above). As presented by Wang et al. [14], high fruit N accumulation can decrease sugar decomposition-related enzyme activities and inhibit the transportation of photosynthates to leaves and fruits. Therefore, the elevation of sugar decomposition-related enzyme activities and the enhancement of sugar transport from leaves to fruits (as mentioned above) could be closely related to the decrease in 15N accumulation in fruits. Compared to fruit yield, fruit farmers are becoming aware of the importance of fruit quality. Consumers prefer to purchase apples with good appearance and taste. In this study, under NG treatment, the single fruit weight and fruit transverse and longitudinal diameters increased significantly, indicating that the sink zone increased, which could be conducive to sugar accumulation. Moreover, we found that NG management maintained an appropriate sugar–acid ratio and increased anthocyanin content. This may be closely related to the elevated sugar content in the fruits [15].
5. Conclusions
Natural grass cultivation (NG) optimizes the transport of photoassimilates from the leaves to fruits by regulating C–N metabolism in the source organ (leaf) and sink organ (fruit), ultimately enhancing fruit quality. Moreover, NG management improves NUE and reduces soil NO3−-N accumulation in the deep soil layers.
Supplementary Materials
The following supporting information can be downloaded at: https://www.mdpi.com/article/10.3390/metabo13080925/s1, Table S1: qRT-PCR primers.
Author Contributions
Conceptualization, B.Y. and D.L.; Data curation, B.Y. and L.W.; Formal analysis, B.Y.; Investigation, B.Y. and J.Z.; Methodology, B.Y. and L.W.; Resources: D.L.; Software, B.Y. and L.W.; Supervision, D.L.; Visualization, L.W.; Writing—original draft, B.Y. and D.L.; Writing—review & editing, B.Y. and D.L.; Funding acquisition, D.L. All authors have read and agreed to the published version of the manuscript.
Funding
This work was supported by National Natural Science Foundation of China (Grant No. 31972359) and Earmarked Fund for CARS (Grant No. CARS-27).
Institutional Review Board Statement
Not applicable.
Informed Consent Statement
Not applicable.
Data Availability Statement
The data presented in this study are available on request from the corresponding author. The data are not publicly available due to later research needs.
Conflicts of Interest
The authors declare no conflict of interest.
References
- Liu, J.; Lyu, M.; Xu, X.; Liu, C.; Qin, H.; Tian, G. Exogenous sucrose promotes the growth of apple rootstocks under high nitrate supply by modulating carbon and nitrogen metabolism. Plant Physiol. Biochem. 2022, 192, 196–206. [Google Scholar] [CrossRef] [PubMed]
- Tian, G.; Qin, H.; Liu, C.; Xing, Y.; Feng, Z.; Xu, X.; Liu, J.; Lyu, M.; Jiang, H.; Zhu, Z.; et al. Magnesium improved fruit quality by regulating photosynthetic nitrogen use efficiency, carbon–nitrogen metabolism, and anthocyanin biosynthesis in ‘Red Fuji’ apple. Front. Plant Sci. 2023, 14, 1136179. [Google Scholar] [CrossRef] [PubMed]
- Cheng, L.; Raba, R. Accumulation of macro- and micronutrients and nitrogen demand-supply relationship of ’Gala’/’Malling 26’ apple trees grown in sand culture. J. Am. Soc. Hortic. Sci. 2009, 134, 3–13. [Google Scholar] [CrossRef]
- Chen, G.D.; Wang, L.; Fabrice, M.R.; Tian, Y.N.; Qi, K.J.; Chen, Q.; Cao, P.; Wang, P.; Zhang, S.; Wu, J.; et al. Physiological and nutritional responses of pear seedlings to nitrate concentrations. Front. Plant Sci. 2018, 9, 1679. [Google Scholar] [CrossRef]
- Zhu, Z.; Jia, Z.; Peng, L.; Chen, Q.; He, L.; Jiang, Y.; Ge, S. Life cycle assessment of conventional and organic apple production systems in China. J. Clean. Prod. 2018, 201, 156–168. [Google Scholar] [CrossRef]
- Ranadheer, P.; Kona, R.; Sreeharsha, R.V.; Mohan, S.V. Non-lethal nitrate supplementation enhances photosystem ii efficiency in mixotrophic microalgae towards the synthesis of proteins and lipids. Bioresour. Technol. 2019, 283, 373–377. [Google Scholar] [CrossRef]
- Ge, S.F.; Zhu, Z.L.; Peng, L.; Chen, Q.; Jiang, Y.M. Soil nutrient status and leaf nutrient diagnosis in the main apple producing regions in China. Hortic. Plant J. 2018, 4, 89–93. [Google Scholar] [CrossRef]
- Wang, F.; Ge, S.; Xu, X.; Xing, Y.; Du, X.; Zhang, X.; Lv, M.; Liu, J.; Zhu, Z.; Jiang, Y. Multiomics analysis reveals new insights into the apple fruit quality decline under high nitrogen conditions. J. Agric. Food Chem. 2021, 69, 5559–5572. [Google Scholar] [CrossRef]
- Tian, G.; Liu, C.; Xu, X.; Xing, Y.; Liu, J.; Lyu, M.; Feng, Z.; Zhang, X.; Qin, H.; Jiang, H.; et al. Effects of magnesium on nitrate uptake and sorbitol synthesis and translocation in apple seedlings. Plant Physiol. Biochem. 2023, 196, 139–151. [Google Scholar] [CrossRef]
- Yu, B.; Wang, L.; Guan, Q.; Xue, X.; Gao, W.; Nie, P. Exogenous 24-epibrassinolide promoted growth and nitrogen absorption and assimilation efficiency of apple seedlings under salt stress. Front. Plant Sci. 2023, 14, 1178085. [Google Scholar] [CrossRef]
- Vinzent, B.; Fuß, R.; Maidl, F.X.; Hülsbergen, K.J. N2O emissions and nitrogen dynamics of winter rapeseed fertilized with different N forms and a nitrification inhibitor. Agric. Ecosyst. Environ. 2018, 259, 86–97. [Google Scholar] [CrossRef]
- Dessureault-Rompré, J.; Zebarth, B.J.; Georgallas, A.; Burton, D.L.; Grant, C.A.; Drury, C.F. Temperature dependence of soil nitrogen mineralization rate: Comparison of mathematical models, reference temperatures and origin of the soils. Geoderma 2010, 157, 97–108. [Google Scholar] [CrossRef]
- Xing, Y.; Zhu, Z.; Wang, F.; Zhang, X.; Li, B.; Liu, Z.; Wu, X.-X.; Ge, S.-F.; Jiang, Y.-M. Role of calcium as a possible regulator of growth and nitrate nitrogen metabolism in apple dwarf rootstock seedlings. Sci. Hortic. 2021, 276, 109740. [Google Scholar] [CrossRef]
- Wang, F.; Xu, X.X.; Jia, Z.H.; Hou, X.; Chen, Q.; Sha, J.C.; Liu, Z.; Zhu, Z.; Jiang, Y.; Ge, S. Nitrification inhibitor 3,4-dimethylpyrazole phosphate application during the later stage of apple fruit expansion regulates soil mineral nitrogen and tree carbon–nitrogen nutrition, and improves fruit quality. Front. Plant Sci. 2020, 11, 764. [Google Scholar] [CrossRef]
- Wang, F.; Sha, J.C.; Chen, Q.; Xu, X.X.; Zhu, Z.L.; Ge, S.F.; Jiang, Y. Exogenous abscisic acid regulates distribution of 13C and 15N and anthocyanin synthesis in ‘Red fuji’ apple fruit under high nitrogen supply. Front. Plant Sci. 2020, 10, 1738. [Google Scholar] [CrossRef] [PubMed]
- Reguera, M.; Peleg, Z.; Abdel-Tawab, Y.M.; Tumimbang, E.B.; Delatorre, C.A.; Blumwald, E. Stress-induced cytokinin synthesis increases drought tolerance through the coordinated regulation of carbon and nitrogen assimilation in Rice. Plant Physiol. 2013, 163, 1609–1622. [Google Scholar] [CrossRef]
- Sha, J.; Wang, F.; Xu, X.; Chen, Q.; Zhu, Z.; Jiang, Y.; Ge, S. Studies on the translocation characteristics of 13C-photoassimilates to fruit during the fruit development stage in ‘fuji’ apple-sciencedirect. Plant Physiol. Biochem. 2020, 154, 636–645. [Google Scholar] [CrossRef] [PubMed]
- Sha, J.; Ge, S.; Zhu, Z.; Du, X.; Jiang, Y. Paclobutrazol regulates hormone and carbon-nitrogen nutrition of autumn branches, improves fruit quality and enhances storage nutrition in ‘fuji’ apple. Sci. Hortic. 2021, 282, 110022. [Google Scholar] [CrossRef]
- Taguas, E.V.; Vanderlinden, K.; Pedrera-Parrilla, A.; Giraldez, J.V.; Gomez, J.A. Spatial and temporal variability of spontaneous grass cover and its influence on sediment losses in an extensive olive orchard catchment. Catena 2017, 157, 58–66. [Google Scholar] [CrossRef]
- Gómez, J.A.; Guzmán, M.G.; Giráldez, J.V.; Fereres, E. The influence of cover crops and tillage on water and sediment yield, and on nutrient, and organic matter losses in an olive orchard on a sandy loam soil. Soil Tillage Res. 2009, 106, 137–144. [Google Scholar] [CrossRef]
- Ramos, M.E.; Robles, A.B.; Sánchez-Navarro, A.; González-Rebollar, J.L. Soil responses to different management practices in rainfed orchards in semiarid environments. Soil Tillage Res. 2011, 112, 85–91. [Google Scholar] [CrossRef]
- Zheng, J.; Zhao, J.; Shi, Z.; Wang, L. Soil aggregates are key factors that regulate erosion-related carbon loss in citrus orchards of southern China: Bare land vs. grass-covered land. Agric. Ecosyst. Environ. 2021, 309, 107254. [Google Scholar] [CrossRef]
- Liang, R.; Wang, L.; Wang, X.; Zhang, J.; Gan, X. Effects of exogenous ALA on leaf photosynthesis, photosynthate transport, and sugar accumulation in Prunus persica L. Forests 2023, 14, 723. [Google Scholar] [CrossRef]
- Chen, Y.; Wen, X.; Sun, Y.; Zhang, J.; Wu, W.; Liao, Y. Mulching practices altered soil bacterial community structure and improved orchard productivity and apple quality after five growing seasons. Sci. Hortic. 2014, 172, 248–257. [Google Scholar] [CrossRef]
- Han, S.; Zhao, J.; Liu, Y.; Xi, L.; Liao, J.; Liu, X.; Su, G. Effects of green manure planting mode on the quality of Korla fragrant pears (Pyrus sinkiangensis Yu). Front. Plant Sci. 2022, 13, 1027595. [Google Scholar] [CrossRef]
- Ren, J.; Li, F.; Yin, C. Orchard grass safeguards development of fruit industry in China. J. Clean. Prod. 2023, 382, 135291. [Google Scholar] [CrossRef]
- Fu, X.; Liu, J.; Huang, W. Effects of natural grass on soil microbiology, nutrient and fruit quality of Nanfeng tangerine yard. Acta Hortic. Sin. 2015, 49, 1404–1414. [Google Scholar]
- Muscas, E.; Cocco, A.; Mercenaro, L.; Cabras, M.; Lentini, A.; Porqueddu, C.; Nieddu, G. Effects of vineyard floor cover crops on grapevine vigor, yield, and fruity quality and the development of the vine mealybug under a Mediterranean climate. Agric. Ecosyst. Environ. 2017, 237, 203–212. [Google Scholar] [CrossRef]
- Tu, A.; Xie, S.; Zheng, H.; Li, H.; Li, Y.; Mo, M. Long-term effects of living grass mulching on soil and water conservation and fruit yield of citrus orchard in south China. Agric. Water Manag. 2021, 252, 106897. [Google Scholar] [CrossRef]
- Qin, S.; Xu, G.; He, J.; Li, L.; Ma, H.; Lyu, D.A. chromosome-scale genome assembly of Malus domestica, a multi-stress resistant apple variety. Genomics 2023, 115, 110627. [Google Scholar] [CrossRef]
- Zhou, T.; Jiao, K.; Qin, S.; Lyu, D. The impact of cover crop shoot decomposition on soil microorganisms in an apple orchard in northeast China. Saudi J. Biol. Sci. 2019, 26, 1936–1942. [Google Scholar] [CrossRef]
- Zhou, E.; Gou, M.; Yu, B.; Sun, C.; He, J.; Qin, S.; Lyu, D. Effects of mowing dominant grasses on root exudation and soil nitrogen cycling in a natural sod culture apple orchard. Plant Soil Environ. 2021, 67, 567–578. [Google Scholar] [CrossRef]
- Wang, Y.; Ji, X.; Wu, Y.; Mao, Z.; Jiang, Y.; Peng, F.; Wang, Z.; Chen, X. Research progress of cover crop in Chinese orchard. Chin. J. Appl. Ecol. 2015, 26, 1892–1900. [Google Scholar]
- Bremner, J.M.; Jenkinson, D.S. Determination of organic carbon soil, II: Effect of carbonized materials. J. Soil Sci. 1960, 11, 403–408. [Google Scholar] [CrossRef]
- Bao, S.D. Soil and Agrochemistry Analysis, 3rd ed.; China Agriculture Press: Beijing, China, 2000. (In Chinese) [Google Scholar]
- Duan, W.; Shi, Y.; Zhao, J.; Zhang, Y.; Yu, Z. Depth of nitrogen fertiliser placement affects nitrogen accumulation, translocation and nitrate-nitrogen content in soil of rainfed wheat. Int. J. Plant Prod. 2015, 9, 237–256. [Google Scholar]
- Liu, J.R.; Ma, Y.N.; Lv, F.J.; Chen, J.; Zhou, Z.G.; Wang, Y.H.; Abudurezike, A.; Oosterhuis, D.M. Changes of sucrose metabolism in leaf subtending to cotton boll under cool temperature due to late planting. Field Crop Res. 2013, 144, 200–211. [Google Scholar] [CrossRef]
- Ma, Q.J.; Sun, M.H.; Kang, H.; Lu, J.; You, C.X.; Hao, Y.J. A CIPK protein kinase targets sucrose transporter MdSUT2.2 at Ser254 for phosphorylation to enhance salt tolerance. Plant Cell Environ. 2019, 42, 918–930. [Google Scholar] [CrossRef]
- Filip, M.; Vlassa, M.; Coman, V.; Halmagyi, A. Simultaneous determination of glucose, fructose, sucrose and sorbitol in the leaf and fruit peel of different apple cultivars by the HPLC–RI optimized method. Food Chem. 2016, 199, 653–659. [Google Scholar] [CrossRef]
- Berüter, J. Sugar accumulation and changes in the activities of related enzymes during development of the apple fruit. J. Plant Physiol. 1985, 121, 331–341. [Google Scholar] [CrossRef]
- Hu, W.; Jiang, N.; Yang, J.; Meng, Y.; Wang, Y.; Chen, B.; Zhao, W.; Oosterhuis, D.M.; Zhou, Z. Potassium (K) supply affects K accumulation and photosynthetic physiology in two cotton (Gossypium hirsutum L.) cultivars with different K sensitivities. Field Crop. Res. 2016, 196, 51–63. [Google Scholar] [CrossRef]
- Rufly, T.W.; Huber, S.C. Changes in starch formation and activities of sucrose phosphate synthase and cytoplasmic fructose-1,6-biosphatase in response to source-sink alteration. Plant Physiol. 1983, 72, 474–478. [Google Scholar]
- Yamaki, S.; Asakura, T. Stimulation of the uptake of sorbitol into vacuoles from apple fruit flesh by abscisic acid and into protoplasts by indoleacetic acid. Plant Cell Physiol. 1991, 32, 315–318. [Google Scholar] [CrossRef]
- Huber, S.C. Role of sucrose-phosphate synthase in partitioning of carbon in leaves. Plant Physiol. 1983, 71, 818–821. [Google Scholar] [CrossRef]
- Merlo, L.; Passera, C. Changes in carbohydrate and enzyme levels during development of leaves of prunus persica, a sorbitol synthesizing species. Plant Physiol. 1991, 83, 621–626. [Google Scholar] [CrossRef]
- Ding, Y.; Luo, W.; Xu, G. Characterisation of magnesium nutrition and interaction of magnesium and potassium in rice. Ann. Appl. Biol. 2006, 149, 111–123. [Google Scholar] [CrossRef]
- Seith, B.; Setzer, B.; Flaig, H.; Mohr, H. Appearance of nitrate reductase, nitrite reductase and glutamine synthetase in different organs of the scots pine (Pinus sylvestris) seedling as affected by light, nitrate and ammonium. Physiol. Plant. 1994, 91, 419–426. [Google Scholar] [CrossRef]
- Hu, W.; Zhao, W.; Yang, J.; Oosterhuis, D.M.; Loka, D.A.; Zhou, Z.G. Relationship between potassium fertilization and nitrogen metabolism in the leaf subtending the cotton (Gossypium hirsutum L.) boll during the boll development stage. Plant Physiol. Biochem. 2016, 101, 113–123. [Google Scholar] [CrossRef]
- Xu, X.X.; Du, X.; Wang, F.; Sha, J.C.; Chen, Q.; Tian, G.; Zhu, Z.; Ge, S.; Jiang, Y. Effects of potassium Levels on plant growth, accumulation and distribution of carbon, and nitrate metabolism in apple dwarf rootstock seedlings. Front. Plant Sci. 2020, 11, 904. [Google Scholar] [CrossRef] [PubMed]
- Zheng, J.; Liu, L.; Tao, H.; An, Y.; Wang, L. Transcriptomic profiling of apple calli with a focus on the key genes for ALA-induced anthocyanin accumulation. Front. Plant Sci. 2021, 12, 640606. [Google Scholar] [CrossRef] [PubMed]
- Liu, H.; Fu, Y.; Hu, D.; Yu, J.; Liu, H. Effect of green, yellow and purple radiation on biomass, photosynthesis, morphology and soluble sugar content of leafy lettuce via spectral wavebands “knock”out. Sci. Hortic. 2018, 236, 10–17. [Google Scholar] [CrossRef]
- Nie, J.; Li, H.; Li, J.; Wang, K.; Li, Z.; Wu, Y. Studies on taste evaluation indices for fresh apple juice based on cultivars. Acta Hortic. Sin. 2012, 39, 1999–2008. [Google Scholar]
- Li, T.; Wang, Y.; Kamran, M.; Chen, X.; Tan, H.; Long, M. Effects of grass inter-planting on soil nutrients, enzyme activity, and bacterial community diversity in an apple orchard. Front. Plant Sci. 2022, 13, 901143. [Google Scholar] [CrossRef] [PubMed]
- Garcia-Diaz, A.; Bienes, R.; Sastre, B.; Novara, A.; Gristina, L.; Cerda, A. Nitrogen losses in vineyards under different types of soil groundcover. A field runoff simulator approach in central Spain. Agric. Ecosyst. Environ. 2017, 236, 256–267. [Google Scholar] [CrossRef]
- Stork, P.R.; Jerie, P.H. Initial studies of the growth, nitrogen sequestering, and de-watering potential of perennial grass selections for use as nitrogen catch crops in orchards. Aust. J. Agric. Res. 2003, 54, 27–37. [Google Scholar] [CrossRef]
- Wang, F.; Ge, S.; Lyu, M.; Liu, J.; Li, M.; Jiang, Y.; Xu, X.; Xing, Y.; Cao, H.; Zhu, Z.; et al. DMPP reduces nitrogen fertilizer application rate, improves fruit quality, and reduces environmental cost of intensive apple production in China. Sci. Total Environ. 2022, 802, 149813. [Google Scholar] [CrossRef]
- Cui, M.; Zeng, L.; Qin, W.; Feng, J. Measures for reducing nitrate leaching in orchards: A review. Environ. Pollut. 2020, 263, 114553. [Google Scholar] [CrossRef]
- Zhu, X.Q.; Zhou, P.; Miao, P.; Wang, H.Y.; Bai, X.L.; Chen, Z.J.; Zhou, J. Nitrogen use and management in orchards and vegetable fields in china: Challenges and solutions. Front. Agric. Sci. Eng. 2022, 9, 386–395. [Google Scholar]
- Peng, L.; Ren, Y.; Ji, M.; Ding, N.; Jiang, H.; Ge, S.; Jiang, Y. Effect of planting herbage on the growth and absorption, utilization of 15N-urea of apple saplings. Acta Hortic. Sin. 2014, 41, 1975–1982. [Google Scholar]
- Haruna, S.I.; Anderson, S.H.; Udawatta, R.P.; Gantzer, C.J.; Phillips, N.C.; Cui, S.; Gao, Y. Improving soil physical properties through the use of cover crops: A review. Agrosyst. Geosci. Environ. 2020, 3, e20105. [Google Scholar] [CrossRef]
- Xiang, Y.Z.; Chang, S.X.; Shen, Y.Y.; Chen, G.; Liu, Y.; Yao, B.; Xue, J.; Li, Y. Grass cover increases soil microbial abundance and diversity and extracellular enzyme activities in orchards: A synthesis across China. Appl. Soil Ecol. 2023, 182, 104720. [Google Scholar] [CrossRef]
- Desnoues, E.; Génard, M.; Baldazzi, V. A kinetic model of sugar metabolism in peach fruit reveals a functional hypothesis of markedly low fructoseto-glucose ratio phenotype. Plant J. 2018, 94, 685–698. [Google Scholar] [CrossRef]
- Lawlor, D.W.; Cornic, G. Photosynthetic carbon assimilation and associated metabolism in relation to water deficits in higherplants. Plant Cell Environ. 2002, 25, 275–294. [Google Scholar] [CrossRef] [PubMed]
- Xu, X.X.; Wang, F.; Xing, Y.; Liu, J.Q.; Lv, M.X.; Meng, H.; Du, X.; Zhu, Z.; Ge, S.; Jiang, Y. Appropriate and constant potassium supply promotes the growth of M9T337 apple rootstocks by regulating endogenous hormones and carbon and nitrogen metabolism. Front. Plant Sci. 2022, 13, 827478. [Google Scholar] [CrossRef] [PubMed]
- Katz, E.; Fon, M.; Lee, Y.J. The citrus fruit proteome: Insights into citrus fruit metabolism. Planta 2007, 226, 989–1005. [Google Scholar] [CrossRef]
- Falchi, R.; Bonghi, C.; Drincovich, M.F.; Famiani, F.; Lara, M.V.; Walker, R.P.; Vizzotto, G. Sugar metabolism in stone fruit: Source-sink relationships and environmental and agronomical effects. Front. Plant Sci. 2020, 11, 573982. [Google Scholar] [CrossRef]
- Chong, C.; Taper, C.D. Daily variation of sorbitol and related carbohydrates in malus leaves. Can. J. Bot. 1971, 49, 173–177. [Google Scholar] [CrossRef]
- Zhang, Y.; Fu, C.X.; Yan, Y.J.; Wang, Y.A.; Li, M.; Chen, M.X.; Qian, J.P.; Yang, X.T.; Cheng, S.H. Zinc sulfate and sugar alcohol zinc sprays at critical stages to improve apple fruit quality. Hortic. Technol. 2013, 23, 490–497. [Google Scholar] [CrossRef]
- Eom, J.S.; Choi, S.B.; Ward, J.M.; Jeon, J.S. The mechanism of phloem loading in rice (Oryza sativa). Mol. Cells 2012, 33, 431–438. [Google Scholar] [CrossRef]
- Zhang, Q.; Li, X.; Li, M.; Zhou, B.; Zhang, J.; Wei, Q. Correlation analysis between quality characteristics and fruit mineral element contents in ‘Fuji’ apples. Agric. Sci. Technol. 2017, 18, 212–218. [Google Scholar]
Disclaimer/Publisher’s Note: The statements, opinions and data contained in all publications are solely those of the individual author(s) and contributor(s) and not of MDPI and/or the editor(s). MDPI and/or the editor(s) disclaim responsibility for any injury to people or property resulting from any ideas, methods, instructions or products referred to in the content. |
© 2023 by the authors. Licensee MDPI, Basel, Switzerland. This article is an open access article distributed under the terms and conditions of the Creative Commons Attribution (CC BY) license (https://creativecommons.org/licenses/by/4.0/).







