Next Article in Journal
Resistive Switching in Non-Stoichiometric Germanosilicate Glass Films Containing Ge Nanoclusters
Next Article in Special Issue
Study of 5G-NR-MIMO Links in the Presence of an Interferer
Previous Article in Journal
Practical Controller Design of Three-Phase Dual Active Bridge Converter for Low Voltage DC Distribution System
Previous Article in Special Issue
Scaling Laws of Scheduling Gain for Uplink Massive MIMO Systems: Is User Scheduling Still Beneficial for Massive MIMO?
 
 
Font Type:
Arial Georgia Verdana
Font Size:
Aa Aa Aa
Line Spacing:
Column Width:
Background:
Article

Full Duplex Component-Forward Cooperative Communication for a Secure Wireless Communication System

by
Rabia Khan
1,2,* and
Dushantha Nalin K. Jayakody
1,*
1
School of Computer Science and Robotics, National Research Tomsk Polytechnic University, Tomsk 634050, Russia
2
Power Networks Demonstration Centre, University of Strathclyde, Glasgow G1 1XH, UK
*
Authors to whom correspondence should be addressed.
Electronics 2020, 9(12), 2102; https://doi.org/10.3390/electronics9122102
Submission received: 31 August 2020 / Revised: 29 October 2020 / Accepted: 5 November 2020 / Published: 10 December 2020
(This article belongs to the Special Issue Enabling-5G)

Abstract

The technological breakthrough in the form of Internet of Things (IoT), Big data and connected world is increasing the demand of better spectrum utilization. Half-Duplex (HD) transmission is mostly used in the earlier communication systems. The high transmission demand requires the better utilization of the existing spectrum. There are several possible ways to overcome the problem of better spectrum usage. In-Band Full Duplex (IBFD) is one of the techniques that can double the Spectral Efficiency (SE) in a Beyond 5G (B5G) communication system. In this paper, our aim is to use the spectral efficient IBFD scheme to improve the security of the system with minimum interference. The interference can be reduced by the addition of orthogonality between the transmitted and received signal of a relay. A component-forward scheme is proposed in this paper to create such orthogonality. For achieving the desired aim, IBFD is used with Device-to-Device (D2D), Artificial Noise (AN), Modulation based orthogonalization, Radio Frequency Energy Harvesting (RFEH) and proposed Full-Duplex Component Forward (FD-CF) algorithm for multiple relays. We also use non-linear harvested power as one of the sources to reuse the exiting power for evaluating the system performance. The derivation of Secrecy Outage Probability (SOP) and throughput is derived in this paper for the FD-CF cooperative communication and is explored with and without non-linear RFEH. The simulation results show the comparison between the component-forward and decode-and-forward communication with one or more relays.

1. Introduction

The technological development necessitates the smart way of presentation available natural resources. Recently, several countries have executed 5G with high frequency ranges of the spectrum. Sophisticated use of the remaining electromagnetic spectrum perhaps balances the spectral efficiency [1]. Numerous approaches can be made by directing the high-quality throughput with the prevailing proposed technologies such as In-Band Full Duplex (IBFD). IBFD focus on the efficient utilization of the spectrum for developing a system with better Spectral Efficiency (SE) by the challenging way of spectrum reuse [2]. The existing performance of 5G mostly based on the Orthogonal Frequency Division Multiple Access (OFDMA) with Half Duplex (HD) due to the high co-channel interference. The 4G scheme is likewise based on OFDMA with HD. The replacement of the existing 4G setup with 5G is comparatively easier and inexpensive. Keeping the consideration of spectrum limitation, it would be better to extend the system further by using INFD for the 5G beyond technologies.
Existing research on FD proves that the use of FD in the transmission doubles the SE of the system. The transmission exchanging mode from HD to FD or vice versa for a Device-to-Device (D2D) communication is one of the approaches for preserving equilibrium between HD and FD [3,4]. Beamforming is one of the approaches for FD. A precise design of beamforming for the power allocation management [5] among the transmitter–relay communication in the cognitive radio networks is appropriate for providing the high rate to a particular near or a distant user. FD, D2D and NOMA communication together deliver improved Ergodic Sum Rate (ESR) compared to HD [6]. However, the HD outstrips FD at high Signal-to-Noise Ratio (SNR) in the form of outage probability and in the delay-tolerant transmission [3,6]. The security is needed in each layer of the communication system. Each layer has dissimilar necessities of security in diverse perspective, due to the parallel motive of multiple associated objects in the 5G beyond technology [7,8,9]. The physical layer security (PLS) is one of the fears in any of the smart arrangement. The connection of multiple devices together, broadcast nature of the system, big data and frequency sharing leads to a big security threat.
There are different types of eavesdropping against the security of a communication system. The eavesdropper (Eve) can be passive or active, contingent on the situation. It can also be between the reliable intended user or a stranger. Present algorithms are considerate for handling the security issues; however, the technological advancement advances the security threats as well. The enactment of the technology everywhere including banks, building, security systems, houses, schools, accounts, industries and transportation makes everything vulnerable. Hybrid eavesdropping (passive eavesdropping on the transmission source and the reactive jamming on legitimate users) in FD-NOMA can be resolved by a method of exhausting eavesdropper by adding cumulative decoding complexity and high energy consumption. It can reduce the effect of jamming and eavesdropping [10]. Conventional communication system allows dual communication with a transmission and a reception task named the Half Duplex (HD) communication. In HD, the channel is common for dual tasks, with orthogonal (different) time slots or frequency bands (out-of-band FD mode). The simultaneous transmission and reception is possible with the FD communication.
FD permits a device to broadcasts and receives the signals in the same frequency band and time slot. The Out-of-Band FD (OBFD) and the In-Band FD (IBFD) are two types of FD communication system, where the transmission and reception take place together in the same time and frequency slot. IBFD is superior to conventional HD in terms of system reliability, sum rate, network capacity and other theoretical aspects [11]. FD and D2D communication have common characteristics including better performance at short distances and reduced self-interference at low power transmit signals [11,12]. In FD mode, the wireless nodes cannot decode the signals simply. Due to high power difference between devices’ own transmission and the power offered by remote transmit antenna in the received signal, there is eroded Signal Interference (SI) in FD gain. Typically, the transmitted signal is roughly 100 dB higher than the received signal producing eroded Signal Interference (SI) in FD gain. This decreases its capacity level below HD. Conferring the consensus by both academia and industry, it is very problematic to attain SI cancellation/suppression for FD incorporation. The interference reduction is very important factor before putting the FD into practice. The cumulative interference lessens the data rate, latency, secrecy capacity and throughput.
Several approaches have been proposed for the solution of the interference problem: RF digital interference cancellation [11], advance antennas cancellation and digital base band, channel estimation and power allocation [13] offers the conceivable answers for FD. Hybrid resources that shift the mode between FD and HD have been developed for emerging the radio resources and simultaneously enlightening the SE. Separated resources are needed such as antennas for the distinct transmission with the least possible interference. If the devices are too close, then this can be a waste of using frequency band, especially if the data for communication are massive. The use of additional devices such as a relay may also increase the system complexity. Therefore, it has been observed that D2D communication is reliable when devices are close. It is possible for the BS to grant approval for device-to-device communication in the same cell only. When the D2D distance increases, the throughput decreases significantly. FD can improve the traditional wireless communication to a better extent in terms of loss of data due to high congestion, hidden terminals, time delay and SE. The key idea behind the usage of FD communication is to make heterogeneous dense network with high capacity and flexible relaying modes. The quantitative analysis of theoretical and practical placement shows that, at the cost of enlarged complexity, FD provides diversity, high throughput, low symbol error rate and decreased use of HD. The D2D FD communication becomes better with the increase of in-cell communication ratio that provides to bandwidth efficiency.
The IBFD distribution desires new algorithms for the arrangement of 5G beyond technology. It goals to usage the high frequency bands such as millimeter waves (mmWaves). This is for the low frequency spectrum in fully used with the present system of below 5G technologies. Additionally, several wireless devices are being used in the communication system which cannot be charged using the traditional wired power system. Such devices also contain a limited amount of power that can exhaust rapidly. This situation brings the attention towards renewable energy resources, Wireless Information Transfer (WIT) and Simultaneous Wireless Information and Power Transfer (SWIPT) [14]. To prolong the life of such kind of wireless devices in Full Duplex Relay (FDR) systems, several research articles consider RFEH [9]. There exist several literature works proposing various SWIPT architecture such as ideal receivers, Power Splitting (PS) receivers and Time Switching (TS) receivers [15]. Only PS and TS are applicable practically. In PS, the receiver splits the power for RFEH and transmission of signal, and, in TS, the receive uses two time slots to harvest and retrieve information. Several new approaches and algorithms have been attempted for more accurate RFEH. A realistic measurement and waveform-based energy harvesting model [16] uses the pre-equalization to prevent wireless channel distortion. The result shows that using the phase modulation the power conversion efficiency is increased by a factor of two. FD with bidirectional wireless sensor network (BWSN) and Multiple Input Multiple Output (MIMO) based SWIPT system [17] is a considered approach for harvesting energy and transmitting power constraints with a joint optimization problem for source and relay beamforming. Optimization for MIMO-NOMA [18] with dynamic power allocation and user grouping provides an effective way for SWIPT. For the secure transmission in mind self jamming, SWIPT [19] may provide security along with energy harvesting.

1.1. Motivation and Contribution

The requirement for the innovative spectrum consumption in a diligent way with least interference and high security in 5G leads towards the motivation to develop a system for IBFD with least interference. After reviewing the literature based on IBFD, a space of interference management and security issues is observed for 5G. To target the complexity of interference and security issues of a FD system, we propose a new component and forward FD scheme.
For achieving the desired objectives, the contributions of this paper are:
  • A component-forward cooperative communication is proposed to minimize the possibility of interference in IBFD with D2D, AN and modulation-based interference reduction [1].
  • Artificial Noise (AN) is added to prevent the increasing security threats for the proposed FD component-forward (FD-CF) cooperative communication system. The AN increases the interference at the Eve’s node and declines the possible material decoding. It also drains Eve by providing high computational complexity and energy.
  • The aforesaid approaches are used for refining the system’s secrecy capacity, outage probability and throughput.
  • Alongside the basic system, RFEH is also used to further elaborate the proposed scheme with secrecy capacity, outage probability and throughput in the presence of a TS based RFEH circuit.
The idea is elaborated with the difference between the FD-DF and FD-CF in Table 1. In this paper, we use one of the baseline FD-DF techniques with a single relay selection from K relays [20] for the comparison with FD-CF in the simulation result. The proposed idea can be implemented with any of the existing FD-DF techniques to obtain the same differences.

1.2. Structure

The structure for the rest of the paper is as follows. Table 2 lists the abbreviations used in the paper. Section 2 provides the proposed system model details with the description of proposed FD-CF and addition of AN. Section 3 contains the computation of secrecy capacity, secrecy outage probability, harvested power and system throughput. Section 4 shows the numerical results for the comparison of FD-CF and FD-DF schemes followed by conclusion in Section 5 and Appendix A.

2. System Model

Figure 1 represents the system model for a D2D component-forward supported IBFD (FD-CF) for a Downlink (DL) wireless cooperative communication system. The system can be enabled in any other scenario as well. However, this paper focuses on the basic system model of FD-CF. The offered system model includes a source (Alice), receiver (Bob), IBFD enabled relays R k for k = { 1 , , K } and the passive eavesdropper (Eve). Bob and Eve are considered to have similar channel conditions. Alice, Bob and Eve contain a single antenna excluding relays. P T is the total power for each transmission, which is divided equally for Alice–relay and relay–Bob transmission. Alice–relay and relay–Bob distances are considered to be equal, d a r = d r b . The distance can be varied according to the system model requirements. As per assumption, relay and Bob are facing a Rayleigh fading channel and their Channel State Information (CSI) is considered to be known by Alice, relay and B o b . Eve is considered not to have the CSI information of the legitimate user. Eve’s channel is considered to be the same as Bob, g e g r b . Therefore, Eve is capable of detecting the signal of B o b . g a r and g r r are the other channels for the component-forward cooperative transmission in the IBFD mode from Alice to relay and the SI channel from relay to itself.
Alice uses the algorithm used in [1,21], which is basically a technique for reduction of interference in Non-Orthogonal Multiple Access (NOMA), for the superposition of the signals, as it prevents the signal from interference as compared to conventional techniques due to the orthogonal nature of modulated signals. The interference in [1,21] is half as compared to conventional NOMA because half of the receivers are modulated on the real component and the remaining are modulated on the quadrature components of the modulation. Ideally, there will be no interference between the receivers’ signal modulated on the perpendicular component. This paper does not include the NOMA system. However, the basic idea of [1] is used to balance the offered interference of the proposed FD-CF algorithm. FD-CF can also be extended for NOMA in future work.
FD-CF is an algorithm in which the source (Alice) encodes the transmission message on the real component of the modulation only and add a complex AN with the signal which is a null space of the receiver’s channel (relay(s)). The relay selection takes place according to [20]. The selected relay from the K relays receives the real component of the signal only, as AN has been nullified already from its channel. After receiving the signal, relay modulates the signal on the quadrature component of the modulation, adds AN which is null space of B o b and forwards it without decoding. Relay receives the real component signal and forwards the quadrature component of the signal. Therefore, ideally, there is no co-channel interference, which is the main problem in IBFD transmission.
According to the system model, the IBFD mode relay receives signal of the intended B o b to assist the B o b with component-forward cooperative communication. Relay modulates the signal on quadrature component, adds AN A 2 and null space of g r b and forwards the signal of B o b without decoding it, using component-forward to assist B o b . The addition of A 2 prevents any other receiver from correctly decoding the signal intended for B o b . Relay receives a signal modulated on real component and it forwards the signal after modulating it on the imaginary component with the power P 2 . There is a self-interference at the FD mode between the real component of the received signal by the relay and the complex A 2 added in the signal forward by the relay.
For RFEH circuit in the given system model, TS is used for harvesting energy. Relay decodes the signal from Alice in time α T and harvests energy. Now, relay carries the signal and harvested energy which was received already in the previous transmission. In the second time slot ( 1 α ) T , relay receives the signal from Alice and forwards the previously decoded signal by using the harvested power P r to B o b within the same time and frequency band.

2.1. Addition of Artificial Noise for Better Security

Artificial Noise (AN) is a sufficient way for the protection of the transmission signals from an Eve and other users. AN system design depends on the receiver’s channel but not the Eve’s channel. AN is generated, before transmission of signal by the Alice and the relay to degrade the Eve’s channel. The AN A n = a n + a n j ^ is complex Gaussian in nature. In the case of the fixed AN, the value of | | g e A n | | might be smaller. To avoid this situation, the value of AN is considered as the Gaussian random variable in the null space of g n of the relay’s and Bob’s channels, respectively, such that g n A n = 0 [22]. The superposed signal on the Alice’s node for the broadcast can be given as
s a r [ t ] = P 1 x 2 [ t ] + A 1 .
In the above equation, the signal does not have the complex nature. However, it is combined with the AN A 1 to make the total complex signal. For more than one users, some users’ signals can be modulated on imaginary and some on the quadrature component of the modulation to make a complete complex signal for transmission. In this paper, the use of AN makes the total complex transmission signal. Additionally, A 1 is added by Alice as a null space of the relay and relay added A 2 as the null space of B o b . The superposed signal for broadcast on the relay’s node is given as
s r b [ t ] = P 2 x 1 [ t ] j ^ + A 2 .

2.2. System Analysis

The relay and B o b decodes the signal normally as in a normal communication system. However, Eve cannot decode the signal received from Alice or the relay due to the addition of AN, which is the null space of the channel g a r and g r b of the relay and B o b only. The signal received by B o b also includes the self-interference for its co-channel transmission as [20]:(1);
y r [ t ] = K r d 0 γ d a r γ g a r P 1 s a r [ t ] + g r r A 2 + g r r P 2 s r b j ^ [ t ] + w r [ t ] ,
where w n C N ( 0 , σ 2 ) is the Additive White Gaussian noise (AWGN) and s r b [ t ] is the signal transmitted by relay (received along with the previous transmission) to the B o b in the FD mode, which causes self-interference.
The FD cooperative communication is used for B o b due to no direct link between Alice and B o b . The total DL received signal by B o b from the relay is given in [20]:(5),
y b [ t ] = K r b d 0 γ d r b γ g r b P 2 s r b j ^ [ t ] + w b [ t ] .
In the above equation, the signal received from the relay contains only the imaginary part, as g r b A 2 = 0 .
Eve’s received signal can be determined by adding AN [22] A 2 in Equation (4). Eve receives signal with interference due to lack of information about AN.
y e [ t ] = K a e d 0 γ d a e γ g a e P 2 s r b [ t ] j ^ + A 2 + w e [ t ] .

3. Performance Evaluation

For the evaluation of a system, capacity, secrecy capacity, secrecy outage probability and throughput are some of the important parameters to prove authenticity and usefulness of any system. These parameters were computed along with the elaboration of RFEH effect on the system.

3.1. Computation of Secrecy Capacity

Each node receives a certain level of SINR or SNR depending on its channel condition and the interference. In this paper, SINR and SNR are used interchangeably, denoted as ζ . The respective received ζ of B o b and Eve are given as:
ζ b = min ζ a r ζ r r + 1 , ζ r b
and
ζ e = ζ r e ,
where ζ a r = P 1 G a r σ 2 , ζ r r = a 2 G r r σ 2 , ζ r b = P 2 G r b σ 2 and ζ r e = P 2 G r e A 2 G r e + σ 2 which follows the exponential distribution with parameter λ a r = P 1 G a r σ 2 , λ r r = a 2 G r r σ 2 , λ r b = P 2 G r b σ 2 , λ r e = P 2 G r e A 2 + σ 2 and G n i = K n i d 0 γ d n i γ g n i . For λ r e ; it is assumed that σ 2 = σ 2 / G r e .
The achievable data rate for B o b and Eve is given as:
R b = log 2 1 + min ζ a r ζ r r + 1 , ζ r b ,
and
R r e = log 2 1 + ζ r e
The possible secrecy capacity of the system for FD-CF system is given as
C s e c = max { 0 , R b R r e }
C s e c = max 0 , log 2 1 + min ζ a r ζ r r + 1 , ζ r b 1 + ζ r e

3.2. Relay Selection

For the better secrecy performance in the presence of Eve, an opportunistic relay selection scheme is used [20]. The scheme is based on the selection of the relay among K relays that maximizes the secrecy capacity of the system.
R s = arg max k = 1 , , K 1 + min ζ a r ζ r r + 1 , ζ r b 1 + ζ r e
where R s is the selected relay. Whil selecting the relay, the relay selection scheme is considering the channel between relays and Eve.
A centralized approach is used in this paper, where the source or destination keeps record of the K relays and their CSI. Using the criteria of Equation (12), the best relay for the transmission is decided.

3.3. Computation of Secrecy Outage Probability

For the derivation of proposed system’s Secrecy Outage Probability (SOP), the min-max approached is used. The SOP for FD-CF cooperative communication for the relay selection scheme is given as:
S o p = P r [ C s e c R s < C t h ] = P r log 2 1 + m i n ζ a r ζ r r + 1 , ζ r b 1 + ζ r e < C t h = k = 1 K 0 P r log 2 1 + m i n ζ a r ζ r r + 1 , ζ r b < a + b y f ζ r e ( y ) d y = k = 1 K 0 F Z ( a + b y ) f ζ r e ( y ) d y .
where P r [ . ] , f X ( . ) and F X ( . ) are the notation for probability, Probability Density Function (PDF) and Cumulative Distributive Function (CDF). a = 2 C t h 1 , b = 2 C t h , y = γ r e 0 and f ζ r e = e y λ r e / λ r e . The CDF F Z ( z ) of the random variable Z is derived in the Appendix A and is given as
F Z ( z ) = 1 λ a r λ a r + λ r r z e z ( 1 λ a r + 1 λ r b ) .
Substituting the required parameter and considering ζ s r = ζ r d , the SOP is given as
S o p = k = 1 K 0 1 λ a r λ a r + λ r r z e z ( 1 λ a r + 1 λ r b ) e y λ r e λ r e . = ( e 2 a ζ s r b ζ r e ζ r r ( b e 2 a ζ s r ζ r e ζ r r + e L Γ ζ s r + e L ζ s r log 1 ζ r e + 2 b ζ s r e L ζ s r log b ζ r r a ζ r r + ζ s r ζ s r 1 F 1 ( 1 , 0 , 0 ) [ 1 , 1 , L ] ) ) K .
The above expression is the conditional expression with Re [ p ] > 0 and Re [ 1 / ζ r e + 2 b / ζ s r ] 0 where L = ( 2 b ζ r e + ζ s r ) ( a ζ r r + ζ s r ) b ζ r e ζ r r ζ s r , Γ = EulerGamma and 1 F 1 [ 1 , 0 , 0 ] is the Kummer confluent Hypergeometric function.

3.4. Radio Frequency Energy Harvesting (RFEH)

The RFEH at relay for time α T is given as
E H = η α T P 1 G a r
where 0 < η < 1 shows the energy conversion efficiency and its magnitude varies with the quality of electronic circuit. It is considered that, if the relay needs to use the RFEH for assisting B o b , then the harvested power by the relay is given as
P r = η α T P 1 G a r ( 1 α ) T = η α P 1 G a r ( 1 α ) .
Practically, the output harvested power of a RFEH circuit may depends on the input harvested power up to a saturated threshold power P t h . If the input power exceeds the threshold level, then the output power remains unchanged. The non-linear characteristics of RFEH are caused by several factors including saturation non-linearity and diode. Diode has non-linearity as intrinsic properties. Experimentally, non-linear characteristics of RFEH circuits are confirmed. Consequently, the power harvested by the relay using a non-linear circuit [16] is given as
P r = η α P 1 G a r ( 1 α ) , P 1 G a r P t h η α P t h ( 1 α ) , P 1 G a r > P t h .
In the FD mode of time duration ( 1 α ) T , the relay receives and forward the signal to B o b . When the signal is forwarded by the relay to B o b using the harvested power P r , the secrecy outage probability can be obtained from Equation (15), after replacing P 2 with P r .

3.5. Secrecy Throughput Evaluation

Throughput is another significant system parameter that can clarify the authenticity of a system. The throughput in a FD-CF system, when the relay uses its internal power for the transmission of Bob’s signal, is given as
TP = C t h ( 1 S o p ) .
The throughput for RFEH circuit [9] of the proposed FD-CF system is given as
TP = C t h ( 1 α ) ( 1 S o p ) ,
where α is the time switching ratio.

4. Numerical Results

In this section, we discuss the simulated results comparison between the proposed FD-CF and FD-DF cooperative communication system. For the simulation of the systems’ comparison, Rayleigh flat fading channel and 16-QAM was considered. Other numerical values that were used for the simulation are given as: d a r = 0.5 m, d r b = 0.5 m, γ = 2, d 4 = 1 m, P T = 1 W, P 1 = 0.5 W and P 2 = 0.5 W. MATLAB was used as a simulation tool for the comparison between the proposed and the baseline scheme.
For the fair comparison between FD-CF and FD-DF, all selected parameters were same including AN. The only difference was the interference level during the IBFD mode in both techniques.
Figure 2 shows the simulation result of the achievable data rate of the FD-CF and FD-DF K relay(s) system. For this particular simulation, the distance was changed from 0.5 to 2, 4 and 6 m. However, the same power was used for a fair comparison. It shows that the achievable data rate decreases with the increase of distance. However, the performance can be maintained by increasing the amount of power respectively. The proposed FD-CF system outperforms FD-DF system. This is due to the comparatively less interference in the proposed FD-CF system. The opposite components reduces the chance of interference.
Figure 3 and Figure 4 show the secrecy capacity comparison with respect to the respective SNR. In Figure 3, the transmitted powers of Alice P 1 and the relay P 2 are same. In Figure 4, the relay uses harvested power P r for forwarding the signal of B o b . It is clear from both figures that the secrecy capacity of both FD-CF and FD-DF is increasing with time. However, the secrecy capacity for FD-CF is higher as compared to FD-DF. This is due to the less interference at the relay by the FD-CF scheme and the high introduced interference at the Eve’s node.Therefore, the proposed FD-CF outperforms FD-FD.
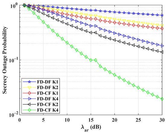
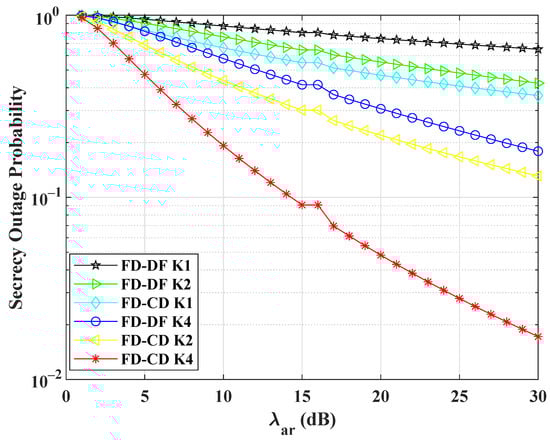
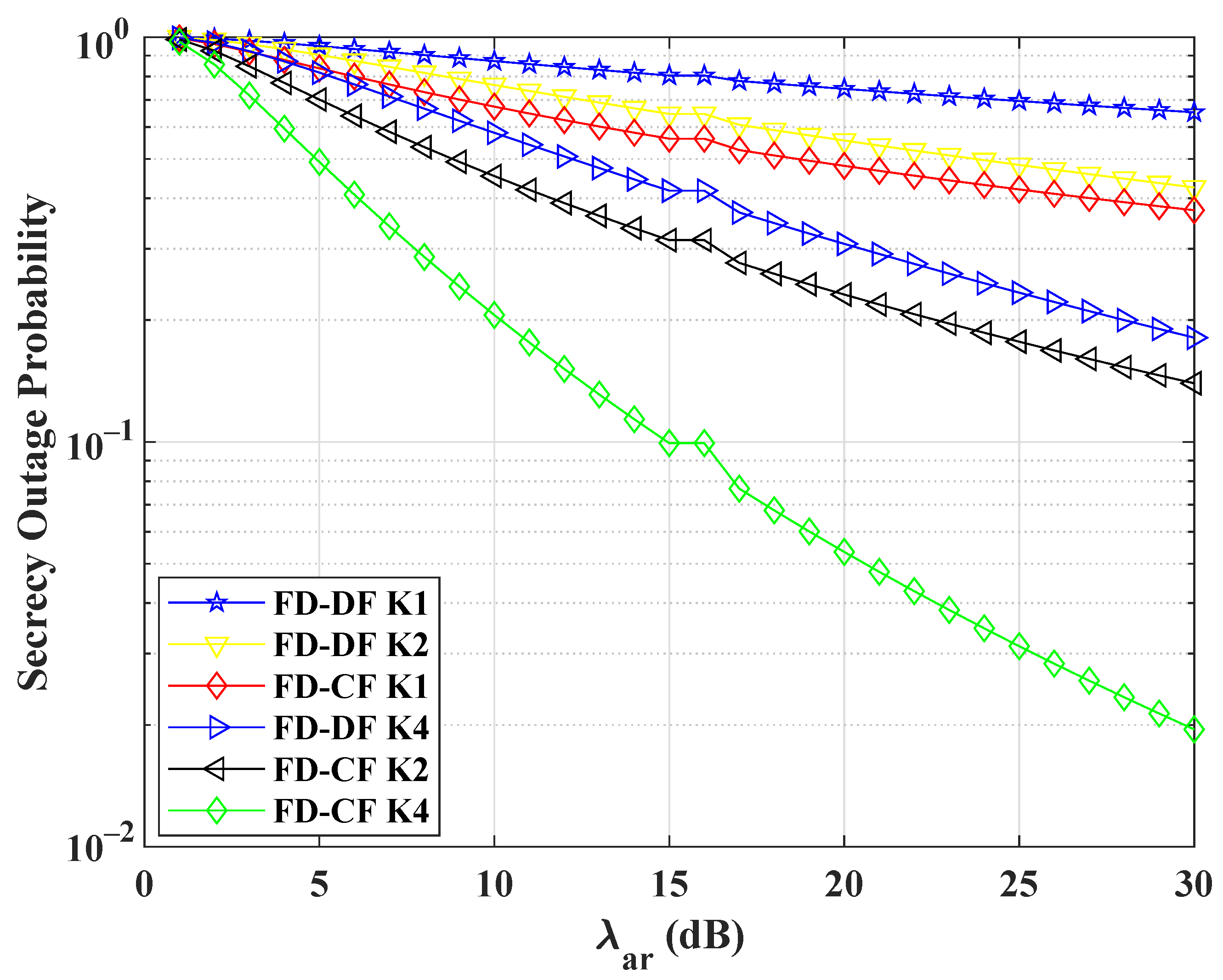
Figure 5 and Figure 6 show the comparison for the secrecy outage probability offered by FD-DF and FD-CF. In Figure 5, the transmitted powers of Alice P 1 and the relay P 2 are the same. In Figure 6, the relay uses harvested power P r for forwarding the signal of B o b . To show the different response with respect to the number of relays K, we simulated the results for K = 1 , 2 , 4 . SOP result for both algorithms decreases with the increase of SNR. However, FD-CF outperforms FD-DF, due to the same reason discussed of minimum interference as discussed for the simulation results above. For the proposed technique the ζ r e is approximately equal to 0 due to high interference at Eve. According to the derived equation of outage probability ζ r e must be greater than zero. Therefore, for simulation purposes, we considered ζ r e = 0.1 for FD-CF.
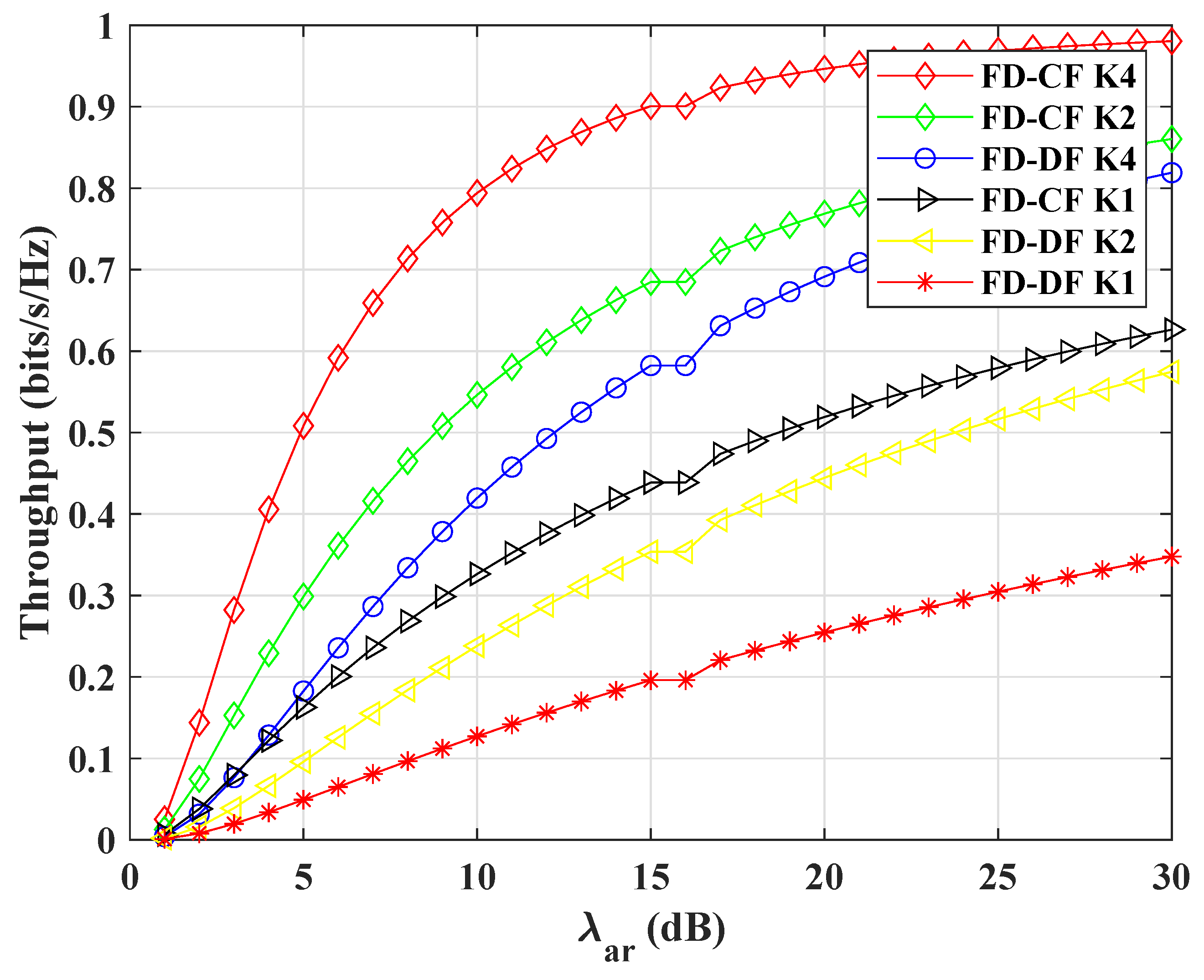
Figure 7 and Figure 8 show the increasing throughput with SNR for FD-DF and FD-CF schemes. To show the different response with respect to the number of relays K, we simulated the results for K = 1 , 2 , 4 . Throughput of FD-CF is higher due to its low SOP as compared to FD-DF algorithm. It can be seen in figures that with K = 4 the throughput is maximum. The level of throughput decreases with the reduction in the number of relay(s) selection. In addition, the proposed FD-CF with K = 2 outperforms FD-DF with K = 4 Minimum interference in FD-CF makes it reliable comparatively.
Figure 9 shows the throughput change with respect to α . FD-CF throughput is better than FD-DF. Clearly, the throughput for both techniques first increases and then decreases with the increase of time switching ratio. When the time switching ratio is maximum, the throughput for both schemes is zero. It means that the entire available time is used for harvesting power and not for any transmission. It can be concluded with this result that the throughput can be maximize by allocating suitable α for harvesting power.

5. Conclusions

Security and spectral efficiency requirement is obligatory in the upcoming 5G systems. In this paper, aiming at such issues, a FD-CF algorithm is proposed to reduce interference and improve the security of a spectral efficient IBFD system. The proposed system improved the SOP, secrecy capacity and throughput. For the proposed system, IBFD algorithm is used to save time and bandwidth with the D2D communication. FD-CF reduced the interference of the IBFD mode of the system, hence improved the capacity, secrecy capacity, SOP and throughput. The comparison of FD-CF and FD-DF is given in Section 4 which shows that the proposed FD-CF outperforms FD-DF scheme with the choice of K relay(s). In addition, the non-linear harvested power is used to observe the difference between the performance of the proposed and baseline system’s SOP and throughput.
The security management is the challenging concern in the modern system due the connection of secure devices with the cloud. The main advantage of the proposed FD-CF system is the improvement of the system security. It is a basic system that can be extended with other algorithms which are used in the existing literature with FD-DF. The proposed system can also be combined with NOMA to further enhance the system security and spectral efficiency.

Author Contributions

Conceptualization, R.K.; methodology, R.K.; software, R.K.; validation, R.K. and D.N.K.J.; formal analysis, R.K.; investigation, R.K.; resources, R.K.; data curation, R.K.; writing—original draft preparation, R.K.; writing—review and editing, R.K. and D.N.K.J.; visualization, R.K.; supervision, D.K.N.J.; project administration, Tomsk Polytechnic University; and funding acquisition, Russian Basic Research Grant. All authors have read and agreed to the published version of the manuscript.

Funding

This research is funded by the Russian Federation Basic Research grant number 19-37-90105 and by the framework of Competitiveness Enhancement Program of the National Research Tomsk Polytechnic University grant No. VIU-ISHITR-180/2020.

Conflicts of Interest

The authors declare no conflict of interest.

Appendix A

Derivation for the CDF of F Z ( z )
For the CDF of the random variable Z, recall that Z = m i n ζ a r ζ r r + 1 , ζ r b . For simplicity of the derivation, consider L = ζ a r ζ r r + 1 and M = ζ r b . As we know that
F Z ( z ) = P r [ m i n ( L , M ) < z ] = 1 P r [ m i n ( L , M ) < z ] = 1 P r [ L > z ] P r [ M > z ] = 1 ( 1 F L ( z ) ) ( 1 F M ( z ) ) .
The above equation shows the requirement of CDF of F L and F M for obtaining the CDF of Z.
The CDF of F L is calculated as
F L = P r ζ a r ζ r r + 1 < z = 0 F ζ a r ( z ( r + 1 ) ) f ζ r r ( r ) d r
By substituting F ζ a r = 1 e z λ a r and f ζ r r ( z ) = e z λ r e / λ r r into the above equation, we get
F L = 1 λ a r λ a r + λ r r z e z λ a r
After plugging in the obtained CDF of F L and F M = 1 e z λ r b , we obtain
F Z ( z ) = 1 λ a r λ a r + λ r r z e z 1 λ a r + 1 λ r b .

References

  1. Khan, R.; Jayakody, D.N.K.; Pervaiz, H.; Tafazolli, R. Modulation Based Non-Orthogonal Multiple Access for 5G Resilient Networks. In Proceedings of the IEEE Globecom Workshops (GC Wkshps), Abu Dhabi, UAE, 9–13 December 2018; pp. 1–6. [Google Scholar]
  2. Singh, K.; Wang, K.; Biswas, S.; Ding, Z.; Khan, F.A.; Ratnarajah, T. Resource Optimization in Full Duplex Non-Orthogonal Multiple Access Systems. IEEE Trans. Wirel. Commun. 2019, 18, 4312–4325. [Google Scholar] [CrossRef]
  3. Yue, X.; Liu, Y.; Kang, S.; Nallanathan, A.; Ding, Z. Exploiting Full/Half-Duplex User Relaying in NOMA Systems. IEEE Trans. Commun. 2018, 66, 560–575. [Google Scholar] [CrossRef]
  4. Ata, S.; Erdogan, E. Secrecy outage probability of inter-vehicular cognitive radio networks. Int. J. Commun. Syst. 2020, 33, e4244. [Google Scholar] [CrossRef]
  5. Mohammadi, M.; Chalise, B.K.; Hakimi, A.; Mobini, Z.; Suraweera, H.A.; Ding, Z. Beamforming Design and Power Allocation for Full-Duplex Non-Orthogonal Multiple Access Cognitive Relaying. IEEE Trans. Commun. 2018, 66, 5952–5965. [Google Scholar] [CrossRef]
  6. Li, X.; Liu, M.; Deng, C.; Mathiopoulos, P.T.; Ding, Z.; Liu, Y. Full-Duplex Cooperative NOMA Relaying Systems With I/Q Imbalance and Imperfect SIC. IEEE Wirel. Commun. Lett. 2020, 9, 17–20. [Google Scholar] [CrossRef]
  7. Khan, R.; Kumar, P.; Jayakody, D.N.K.; Liyanage, M. A Survey on Security and Privacy of 5G Technologies: Potential Solutions, Recent Advancements, and Future Directions. IEEE Commun. Surv. Tutorials 2020, 22, 196–248. [Google Scholar] [CrossRef]
  8. Ding, Q.; Liu, M.; Deng, Y. Secrecy Outage Probability Analysis for Full-Duplex Relaying Networks Based on Relay Selection Schemes. IEEE Access 2019, 7, 105987–105995. [Google Scholar] [CrossRef]
  9. Nguyen, B.C.; Thang, N.N.; Hoang, T.M.; Dung, L. Analysis of Outage Probability and Throughput for Energy Harvesting Full-Duplex Decode-and-Forward Vehicle-to-Vehicle Relay System. Wirel. Commun. Mobile Comput. 2020, 2020, 3539450. [Google Scholar] [CrossRef]
  10. Xu, D.; Ren, P.; Lin, H. Combat Hybrid Eavesdropping in Power-Domain NOMA: Joint Design of Timing Channel and Symbol Transformation. IEEE Trans. Veh. Technol. 2018, 67, 4998–5012. [Google Scholar] [CrossRef]
  11. Zhang, L.; Xiao, M.; Wu, G.; Alam, M.; Liang, Y.; Li, S. A Survey of Advanced Techniques for Spectrum Sharing in 5G Networks. IEEE Wirel. Commun. 2017, 24, 44–51. [Google Scholar] [CrossRef]
  12. Do, D.-T.; Nguyen, T.-T.T.; Li, X.; Voznak, M. Uplink and Downlink NOMA Transmission Using Full-Duplex UAV. IEEE Access 2020, 8, 164347–164364. [Google Scholar] [CrossRef]
  13. Chen, X.; Liu, G.; Ma, Z.; Zhang, X.; Fan, P.; Chen, S.; Yu, F.R. When Full Duplex Wireless Meets Non-Orthogonal Multiple Access: Opportunities and Challenges. IEEE Wirel. Commun. 2019, 26, 148–155. [Google Scholar] [CrossRef]
  14. Rajaram, A.; Khan, R.; Tharranetharan, S.; Jayakody, D.N.K.; Dinis, R.; Panic, S. Novel SWIPT Schemes for 5G Wireless Networks. Sensors 2019, 19, 1169. [Google Scholar] [CrossRef] [PubMed]
  15. Gupta, A.; Singh, K.; Sellathurai, M. Time-Switching EH-Based Joint Relay Selection and Resource Allocation Algorithms for Multi-User Multi-Carrier AF Relay Networks. IEEE Trans. Green Commun. Netw. 2019, 3, 505–522. [Google Scholar] [CrossRef]
  16. Pan, N.; Rajabi, M.; Claessens, S.; Schreurs, D.; Pollin, S. Transmission Strategy for Simultaneous Wireless Information and Power Transfer with a Non-Linear Rectifier Model. Electronics 2020, 9, 1082. [Google Scholar] [CrossRef]
  17. Liu, D.; Wen, Z.; Liu, X.; Li, S.; Zou, J. Joint Source-Relay Optimization for MIMO Full-Duplex Bidirectional Wireless Sensor Networks with SWIPT. Sensors 2019, 19, 1827. [Google Scholar] [CrossRef] [PubMed]
  18. Li, S.; Wan, Z.; Jin, L.; Du, J. Energy Harvesting Maximizing for Millimeter-Wave Massive MIMO-NOMA. Electronics 2020, 9, 32. [Google Scholar] [CrossRef]
  19. Rajaram, A.; Dinis, R.; Jayakody, D.N.K.; Beko, M. Secure Information Transmission with Self Jamming SWIPT. Electronics 2020, 9, 587. [Google Scholar] [CrossRef]
  20. Van Nguyen, B.; Kim, K. Single Relay Selection for Secure Communication in a Cooperative System with Multiple Full-Duplex Decode-and-Forward relays. In Proceedings of the IEEE International Workshop on Information Forensics and Security (WIFS), Rome, Italy, 16–19 November 2015; pp. 1–6. [Google Scholar] [CrossRef]
  21. Khan, R.; Jayakody, D.N.K. An Ultra-Reliable and Low Latency Communications Assisted Modulation Based Non-Orthogonal Multiple Access Scheme. Phys. Commun. 2020, 101035. [Google Scholar] [CrossRef]
  22. Goel, S.; Negi, R. Guaranteeing Secrecy using Artificial Noise. IEEE Trans. Wirel. Commun. 2008, 7, 2180–2189. [Google Scholar] [CrossRef]
Figure 1. Full Duplex Component-Forward (FD-CF) cooperative communication system with one source (Alice), K relays with FD mode and the receiver (Bob) with no direct link with Alice. A shows the complex artificial noise added to the transmitted signal s. Alice modulates s a r on the real component of the constellation and the selected relay modulates s r b on the imaginary component of the 16-QAM modulation to prevent interference in the IBFD mode.
Figure 1. Full Duplex Component-Forward (FD-CF) cooperative communication system with one source (Alice), K relays with FD mode and the receiver (Bob) with no direct link with Alice. A shows the complex artificial noise added to the transmitted signal s. Alice modulates s a r on the real component of the constellation and the selected relay modulates s r b on the imaginary component of the 16-QAM modulation to prevent interference in the IBFD mode.
Electronics 09 02102 g001
Figure 2. Data rate comparison for Full Duplex Component-Forward (FD-CF) and Full Duplex Decode-and-Forward (FD-DF) with three different value of distances d a r and d r b .
Figure 2. Data rate comparison for Full Duplex Component-Forward (FD-CF) and Full Duplex Decode-and-Forward (FD-DF) with three different value of distances d a r and d r b .
Electronics 09 02102 g002
Figure 3. Secrecy capacity comparison for Full Duplex Component-Forward (FD-CF) and Full Duplex Decode-and-Forward (FD-DF).
Figure 3. Secrecy capacity comparison for Full Duplex Component-Forward (FD-CF) and Full Duplex Decode-and-Forward (FD-DF).
Electronics 09 02102 g003
Figure 4. Secrecy capacity comparison for Full Duplex Component-Forward (FD-CF) and Full Duplex Decode-and-Forward (FD-DF) with harvested power P r and e t a = 0.6 .
Figure 4. Secrecy capacity comparison for Full Duplex Component-Forward (FD-CF) and Full Duplex Decode-and-Forward (FD-DF) with harvested power P r and e t a = 0.6 .
Electronics 09 02102 g004
Figure 5. Secrecy outage probability comparison for Full Duplex Component-Forward (FD-CF) and Full Duplex Decode-and-Forward (FD-DF) with C t h = 1 , ζ r b = ζ r r = 12 dB, K = 1 , 2 , 4 and ζ r e is calculated with respect to Rayleigh flat fading and respective interference.
Figure 5. Secrecy outage probability comparison for Full Duplex Component-Forward (FD-CF) and Full Duplex Decode-and-Forward (FD-DF) with C t h = 1 , ζ r b = ζ r r = 12 dB, K = 1 , 2 , 4 and ζ r e is calculated with respect to Rayleigh flat fading and respective interference.
Electronics 09 02102 g005
Figure 6. Secrecy outage probability comparison for Full Duplex Component-Forward (FD-CF) and Full Duplex Decode-and-Forward (FD-DF) with C t h = 1 , ζ r b = ζ r r = 12 dB, K = 1 , 2 , 4 , ζ r e is calculated with respect to Rayleigh flat fading and respective interference and harvested power P r and e t a = 0.6 .
Figure 6. Secrecy outage probability comparison for Full Duplex Component-Forward (FD-CF) and Full Duplex Decode-and-Forward (FD-DF) with C t h = 1 , ζ r b = ζ r r = 12 dB, K = 1 , 2 , 4 , ζ r e is calculated with respect to Rayleigh flat fading and respective interference and harvested power P r and e t a = 0.6 .
Electronics 09 02102 g006
Figure 7. Throughput comparison for Full Duplex Component-Forward (FD-CF) and Full Duplex Decode-and-Forward (FD-DF) with C t h = 1 , ζ r b = ζ r r = 12 dB, K = 1 , 2 , 4 and ζ r e is calculated with respect to Rayleigh flat fading and respective interference.
Figure 7. Throughput comparison for Full Duplex Component-Forward (FD-CF) and Full Duplex Decode-and-Forward (FD-DF) with C t h = 1 , ζ r b = ζ r r = 12 dB, K = 1 , 2 , 4 and ζ r e is calculated with respect to Rayleigh flat fading and respective interference.
Electronics 09 02102 g007
Figure 8. Throughput comparison for Full Duplex Component-Forward (FD-CF) and Full Duplex Decode-and-Forward (FD-DF) with C t h = 1 , ζ r b = ζ r r = 12 dB, harvested power P r , α = 0.5 , η = 0.6 , α = 0.5 , K = 1 , 2 , 4 and ζ r e is calculated with respect to Rayleigh flat fading and respective interference.
Figure 8. Throughput comparison for Full Duplex Component-Forward (FD-CF) and Full Duplex Decode-and-Forward (FD-DF) with C t h = 1 , ζ r b = ζ r r = 12 dB, harvested power P r , α = 0.5 , η = 0.6 , α = 0.5 , K = 1 , 2 , 4 and ζ r e is calculated with respect to Rayleigh flat fading and respective interference.
Electronics 09 02102 g008
Figure 9. Throughput comparison for Full Duplex Component-Forward (FD-CF) and Full Duplex Decode-and-Forward (FD-DF) with harvested power P r , σ = 0.25 and η = 0.6 .
Figure 9. Throughput comparison for Full Duplex Component-Forward (FD-CF) and Full Duplex Decode-and-Forward (FD-DF) with harvested power P r , σ = 0.25 and η = 0.6 .
Electronics 09 02102 g009
Table 1. Difference between Full Duplex Decode-and-Forward and Full Duplex Component Forward.
Table 1. Difference between Full Duplex Decode-and-Forward and Full Duplex Component Forward.
DomainFull Duplex Decode-and-ForwardFull Duplex Component Forward
Modulation on the AliceActual message signal is modulated on both real and imaginary component of the modulation technique.Actual message signal is modulated either on the real or imaginary component of the modulation technique to prevent interference in the FD mode.
Modulation on the RelayActual message signal is modulated on both real and imaginary component of the modulation before the relay forwards the signal.The received message signal is modulated on the opposite component of the received signal to prevent interference with the same component in the FD mode.
Co-channel Interference with ANYes.Only with the similar (real or imaginary) component of AN. Very less as compared to FD-DF.
Co-channel Interference without ANYes.Ideally No.
Signal to interference plus noise ratioLow due to interference.High due to less or no interference.
Channel CapacityLow due to interference.High due to less or no interference.
Secrecy CapacityLow.High due to high interference on Eve’s node.
Table 2. Summary of main abbreviations.
Table 2. Summary of main abbreviations.
AcronymDefinitionAcronymDefinition
5GFifth GenerationB5GBeyond 5G
P T Total power P 1 Transmission power from Alice to relay
P 2 Transmission power from Relay to B o b P r Harvested power at relay
d a r Distance between Alice and relay d r b Distance between relay and B o b
g a r Channel coefficient from source to relay g r r Channel coefficient from relay to relay
g r b Channel coefficient from relay to B o b g e Channel coefficient from relay to Eve
g a r Channel power gain from source to relay g r r Channel power gain from relay to relay
γ Path Loss exponentAAlice
RRelayB B o b
A 1 Artificial noise, null space of g a r A 2 Artificial noise, null space of g r n
D2DDevice-to-Device α Time switching factor
E H Radio Frequency Energy Harvesting η Energy conversion efficiency
P t h Saturated threshold power TP Throughput
ANArtificial NoiseAWGNAdditive White Gaussian Noise
CDFCumulative Distributive FunctionCFComponent-Forward
DFDecode-and-ForwardFDFull Duplex
HDHalf DuplexIBFDIn-Band Full Duplex
PDFProbability Density FunctionPSPower Splitting
RFEHRadio Frequency Energy HarvestingSNRSignal to Noise Ratio
SINRSignal to Interference plus Noise RationSOPSecrecy Outage Probability
SESpectral EfficiencyTSTime Switching
TTime
Publisher’s Note: MDPI stays neutral with regard to jurisdictional claims in published maps and institutional affiliations.

Share and Cite

MDPI and ACS Style

Khan, R.; Jayakody, D.N.K. Full Duplex Component-Forward Cooperative Communication for a Secure Wireless Communication System. Electronics 2020, 9, 2102. https://doi.org/10.3390/electronics9122102

AMA Style

Khan R, Jayakody DNK. Full Duplex Component-Forward Cooperative Communication for a Secure Wireless Communication System. Electronics. 2020; 9(12):2102. https://doi.org/10.3390/electronics9122102

Chicago/Turabian Style

Khan, Rabia, and Dushantha Nalin K. Jayakody. 2020. "Full Duplex Component-Forward Cooperative Communication for a Secure Wireless Communication System" Electronics 9, no. 12: 2102. https://doi.org/10.3390/electronics9122102

APA Style

Khan, R., & Jayakody, D. N. K. (2020). Full Duplex Component-Forward Cooperative Communication for a Secure Wireless Communication System. Electronics, 9(12), 2102. https://doi.org/10.3390/electronics9122102

Note that from the first issue of 2016, this journal uses article numbers instead of page numbers. See further details here.

Article Metrics

Back to TopTop