Abstract
Relay Nodes (RNs) have received special attention as a radio access technology which can overcome channel fading and improve the channel capacity in high-speed and dense vehicle environments. RNs have been the object of standardization by the 3GPP; however, this process has not been accompanied by the development of hardware that allows for evaluation of the advantages of RNs. Software Defined Radio (SDR) has emerged as a promising technology to implement the concept of RNs at low cost. In this paper, a detailed study of the MIMO wireless channel between an evolved Node-B (eNB) and an RN is carried out. The developed algorithms are implemented in an SDR platform for Decode-and-Forward (D&F) relay node evaluation, resulting in significant improvements of its capabilities on the MIMO channel. A pilot symbol-assisted channel estimation algorithm based on combinations of the Least-Squares (LS) technique and Bi-Cubic (BCI), Bi-Linear (BLI), and Bi-Nearest Neighbors (BNNI) interpolation methods is considered. Furthermore, the Minimum Mean Square Error (MMSE) and Zero-Forcing (ZF) equalization schemes are studied. In the tests conducted, Line-of-Sight (LOS) and Non-Line-of-Sight (NLOS) scenarios are considered, demonstrating the capabilities of the developed platform. The performance measurements using different modulation schemes are compared under the same conditions. The simulation results show that the LS technique together with the BCI and MMSE methods performed the best among all evaluated channel estimation and equalization algorithms, in terms of the Error Vector Magnitude (EVM) performance of the received Resource Grid (RG). Furthermore, we show that the Bit Error Rate (BER) and throughput of the core network increase when using the 2 × 2 MIMO technique.
Keywords:
MIMO; channel estimation; interpolation; equalization; BER; throughput; SDR platform; relay node; decode-and-forward 1. Introduction
Wireless communications services have expanded beyond person-to-person communication. New applications and services have experienced continually increasing demand. Mobile social networking has driven a high content demand, as more profile updates, pictures, and videos of day-to-day activities are uploaded to the World Wide Web. At the same time, streaming video is expected to be the number one driver of mobile traffic. The transition to more experiential activities will place higher demand on networks, requiring greater bandwidth and lower latency, as well as devices with low cost and power consumption [1]. These devices must co-operate to transmit data to the desired location. Relay Nodes (RNs) are a “relaying technology” introduced within the LTE (Long-Term Evolution) paradigm, which are commonly preferred due to their high and rapid exchange rate, range, and reliability [2,3]. Furthermore, they have the ability to overcome multi-path fading and provide diversity gain [4]. On the other hand, various types of RNs have been proposed in the literature [5] and standardized by organizations such as the 3GPP [4]. The most common strategies proposed are the Amplify-and-Forward (A&F) and Decode-and-Forward (D&F) protocols [5,6]. The D&F relaying technique decodes, re-modulates, and re-transmits the received signal; however, the A&F protocol only amplifies and re-transmits the signal without any additional processing. Therefore, the D&F strategy is more capable when the channel quality of the source-to-relay link is not sufficient. On the other hand, compared to the A&F protocol, the complexity of the D&F scheme is appreciably higher, due to its greater processing capability. Nevertheless, the re-transmitted signal under the A&F strategy spreads introduced noise, thus degrading the signal received at the destination [7,8].
Studies have been carried out to exploit relay nodes using Multiple-Input and Multiple-Output (MIMO), which implies a technological breakthrough to achieve system performance requirements and cell-edge user throughput. Combining the related technologies with Orthogonal Frequency Division Multiplexing (OFDM) modulation results in communication systems with higher spectral efficiency and less Inter-Symbol Interference (ISI) [9,10]. Most of the existing works have investigated the performance of relay nodes either theoretically or by simulation. It has been widely accepted that simulations often fail to faithfully capture many real-word radio signal propagation effects, which can be overcome by developing physical wireless testbeds. Despite these merits, MIMO-OFDM RN systems still have many unsolved problems, such as the degradation of the signal from the source to the relay node due to the propagation channel, which is then spread to the destination in the second hop. In [11,12], MIMO-OFDM RN schemes were discussed, the Channel State Information (CSI) of which is needed to design the optimal linear receiver. Channel estimation can be utilized to increase the capacity of Orthogonal Frequency Division Multiple Access (OFDMA) systems. At present, accurate channel estimation is a determinant to improve the system performance in terms of capacity, the Bit Error Rate (BER), and other parameters employed to measure the quality of the system. Many channel estimation algorithms can be found in the literature, but they have not been evaluated in the real scenarios of 3GPP LTE systems. In this paper, we consider the Least-Squares (LS) technique to estimate the pilot symbols in the received signal and implement three interpolators to obtain the data symbols in the received Resource Grid (RG). The Mean Minimum Square Error (MMSE) and Zero-Forcing (ZF) equalizers are also evaluated, prior to processing the signal in the developed relay node.
At present, there exist several platforms for testbed evaluation which are suitable to examine the efficiency of RNs. Some platforms are based on Digital Signal Processors (DSPs) or Field Programmable Gate Arrays (FPGAs) [13]. Nevertheless, the associated implementation and development costs hinder their usage by research communities. In [14], a Wireless Open Access Research Platform (WARP) that uses the A&F relaying scheme has been presented, based on the OFDM technique and implementing the transmit diversity scheme. Nonetheless, the drawback of this approach is that, due to the absence of an external clock interface in the hardware platform, multi-relay synchronization is difficult. Moreover, it is very expensive. The best solution, considering these problems, is using Software Defined Radio (SDR) that is performed using a general purpose processor. This is more suitable for the implementation of signal processing, through PHY and MAC layer functions. USRP (Universal Software Radio Peripheral) and GNU Radio are the most widely used SDR platforms at present [15,16]. On the other hand, this is only the first step to the implementation of channel estimation and equalization techniques in the SDR platform developed. We are working to upgrade it to be compatible with 5G technology, which will allow us to implement the NOMA technique [17] and new algorithms for the channel estimation of the pilot symbols and interpolation of data symbols [18]. Furthermore, we will consider a turbo operation between the equalization and channel estimation steps [19].
In this paper, we propose the use of USRP and Matlab to implement a co-operative testbed. In [20], the feasibility of the implementation of D&F RNs through a platform of these characteristics was shown. Nevertheless, it did not allow the implementation of determined functionalities. Several key issues and significant improvements have been introduced in [21]. Non-LOS scenarios and downlink performance evaluation, with several modulation schemes between eNB and in-band D&F RN, have been analyzed and implemented. Furthermore, two pieces of hardware equipment (NI-USRP-2944R) with better performance are incorporated into the core network. The main contributions of this paper are related to the core network of the platform. We focus on MIMO wireless channel estimation, in which the LS technique is employed to estimate the Channel Frequency Response with respect to pilot symbols. Furthermore, BCI, BLI, and BNNI interpolation methods are developed for channel estimation of data symbols. MMSE and ZF equalizers are also considered.
The rest of the paper is organized as follows: The equipment and functionalities that comprise the SDR Platform developed in [21] are presented in Section 2. The MIMO system model in the core network is explained in Section 3. In Section 4, the mathematical models and algorithms for the channel estimation, interpolation, and equalization processes are formulated. Implementation of Decode-and-Forward Relay Nodes using SDR is described in Section 6. Measurement scenarios, results, and discussions regarding the usefulness of the Platform to test the implemented techniques are given in Section 6. Finally, our conclusions are presented in Section 7.
2. SDR Platform
The SDR platform was developed based on that described in [21], the basic architecture of which is shown in Figure 1. This platform uses, as discussed in the introduction, the NI-USRP-2901R and NI-USRP-2944R hardware. The operating frequency of the USRPs ranges from 70 MHz to 6 GHz, they have two RF chains and support a sampling rate of up 56 MHz, which is sufficient to record an LTE signal (maximum 20 MHz bandwidth). The technical specifications of the USRPs used; their features in terms of the signal sampling, encoding, and decoding processes; the problems and the solution techniques implemented for the connection of the USRPs with computers; and the generation of LTE signals with Matlab and their processing by the USRPs are described below.
Figure 1.
SDR Platform Architecture.
The testbed structure consists of one evolved Node-B (eNB), which is achieved with the NI-USRP-2944R board and the Matlab software. The connection of a PC (Intel-i7-9700, CPU: 3 GHz, RAM: 16.0 GB, 64-bit operating system) to the NI-USRP-2944R is performed using a NI-IMAQdx GigE Vision High-Performance Driver, a 10 Gigabit Ethernet Card for Desktop, and a 10 Gigabit Ethernet cable. On the other hand, the Decode-and-Forward Relay Node is implemented using a PC, the Matlab software, and the NI-USRP-2944R board, connected using a NI-IMAQdx GigE Vision High-Performance Driver, a 10 Gigabit Ethernet Card for Desktop, and a 10 Gigabit Ethernet cable. The UEs were developed using two PCs, the Matlab software, and two NI-USRP-2901R boards, where the connection from the PC to the USRP is performed through USB 3.0. The antennas are general-purpose for LTE and WiFi, which work on the 700–960 MHz and the 1710–2700 MHz bands. They have a gain of 5 dBi, an impedance of 50 , and have SMA connectors which are compatible with the SDRs.
3. System Model
In Figure 2, we show a general MIMO transceiver corresponding to the 3GPP LTE downlink system model [22,23] used in the developed SDR platform. The modulated complex symbols are mapped to multiple transmission layers on the antenna ports. Then, the Space Frequency Block Coding (SFBC) scheme is performed on each layer and mapped to Resource Elements (REs) for each antenna port, after which the pilot symbols are inserted. Finally, the Resource Grid for each antenna port is modulated through an OFDM Modulator block and, prior to being transmitted over the wireless channel from the i-th antenna, is inserted as the CP (Cyclic Prefix). RG in LTE is employed to depict the frequency/time space [24,25].
Figure 2.
MIMO Scheme in the core network of the SDR Platform.
At the receiver, the CP samples are first extracted, which were inserted into the transmitter side. Then, the resultant signal is de-modulated by the OFDM De-modulator block. Therefore, the complex baseband model considered for the wireless MIMO channel between eNB and RN with transmitter and receiver antennas can be expressed as
where is the received signal at the j-th () antenna of the receiver and s-th OFDM symbol at subcarrier c, while is the channel frequency response between the i-th transmitter and the j-th receiver antennas. Complex data symbols at the i-th transmitter antenna are denoted by . Further, represents the Additive White Gaussian Noise (AWGN) vector at the j-th receiver antenna, with . On the other hand, the received Resource Grid, taking into account the expression (1), can be rewritten as
All employed parameters in the system model are described in Table 1.
Table 1.
Description of the Symbols.
4. Channel Estimation for the Core Network: Link eNB-to-Relay Node
Downlink channel estimation in LTE is carried out through Cell-specific Reference Signals (CRSs). Pilot symbols are inserted during subcarrier mapping in both time and frequency. CRSs are used both for de-modulation and feedback calculation [26].
In this section, the channel between the eNB and Relay Node presented in Figure 1 is studied. Channel estimation in 3GPP LTE is performed in two steps. Firstly, the frequency response is extracted for the subcarriers of the pilot symbols; which, in our case, is based on the LS estimator. Then, taking to account the first step, the frequency response of the subcarriers of the data symbols can be obtained using the three studied interpolation methods: Bi-Linear (BLI), Bi-Cubic (BCI) and Bi-Nearest Neighbors (BNNI). In Figure 3, the Channel Estimation and Equalization Block Diagram are presented, with respect to the received RG .
Figure 3.
Channel Estimation and Equalization Blocks.
The received signal in (1) is comprised of both data and pilot symbols. In consideration of this assumption, the pilot signal can be expressed as
where () is the location of the pilot symbol at the RG received by the j-th receiver antenna. Considering (2), (3) can be rewritten as
The LS channel estimator is used to equalize the channel frequency responses at pilot locations sent from different transmitters at all receiver antennas, which can be formulated as (5) and is integrated into the Pilot Estimation block in Figure 3.
4.1. Interpolation Methods
Once the frequency response of the pilot symbols has been obtained, in the second stage, the channel response of data symbols can be derived by interpolation employing the adjacent pilot symbols. In this paper, we consider three two-dimensional interpolation methods: BLI, BCI, and BNNI. We obtain these 2D interpolation methods by performing two successive 1D interpolations. Therefore, in the first step, the associated 1D interpolation methods (i.e., Linear, Cubic, and Nearest-Neighbors, respectively) are performed in the frequency domain, then in the time domain [27,28]. To obtain a better result in channel estimation, we performed interpolation using multiple subframes. It is worth highlighting that, after data symbol estimation, we have the conditions to estimate the channel matrix H, as presented in Figure 3.
4.1.1. BLI Method
In this subsection, the 1D Linear Interpolation (LI) Method is presented, through which the BLI algorithm is derived. LI is the most common and usually employed interpolation method. Taking into account [29,30] and expression (3), the LI method can be written as
where is the estimated channel frequency responses at pilot symbol positions, , , and indexes the subcarrier position of the transmitted pilot symbols, with and where N is the system subcarrier number. is given by . Further, denotes the data length between two sequential pilot symbol positions, (where P is the pilot symbol total), which is estimated by the LS estimator. On the other hand, describes the estimated channel frequency responses at all data symbol positions and represents the subcarrier position of data symbols, such that , from which the pilot symbols are located.
4.1.2. BCI Method
Another effective interpolation method is the BCI, which employs 1D Cubic Interpolation (CI). Considering the mathematical model developed in [31,32], CI can expressed as
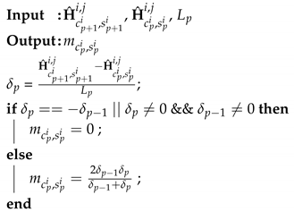
where are the local variables, which are defined by on the interval . denotes the data length between two consecutive pilot symbol positions. Furthermore, in (7), represents the slope of the interpolant at , which should be determined in an accurate way to obtain the best performance. In this sense, in Algorithm 1, we present the Piecewise Cubic Interpolation (PCHIP), which permits us to find , as in [33,34]. denotes the first-order difference of . Nevertheless, the Cubic Spline [32] is another algorithm to calculate , the main difference of which, with respect to PCHIP, is that it has a continuous second derivative.
| Algorithm 1: PCHIP Method |
![]() |
4.1.3. BNNI Method
In this subsection, one of the simplest interpolation methods is explained. As in the prior subsections, the Nearest-Neighbor interpolation (NNI) technique is the first step to determine the BNNI method, in which interpolation in the frequency domain is first performed, while another interpolation is carried out later; in this case, in the time domain. All estimated data symbols using the NNI method are obtained by convolving with , which can be calculated, according to [31,35], as
with
and
where Z denotes the zeros inserted between sequential samples of the pilot symbols matrix and P is the total number of pilot symbols.
4.2. Linear Equalizers
After estimating , the channel effects are equalized and the noise in the received RG () is reduced. In this sense, the MMSE and ZF equalizers are applied, as shown in Figure 3. In the following subsections, the MMSE and ZF equalizers are detailed.
4.2.1. MMSE Equalization Scheme
In order to maximize the equalization Signal-to-Noise Ratio (SNR), the MMSE equalizer can be given as
where describes the Hermitian transpose matrix of the channel and is the statistical information of noise. Considering the output of the Channel Estimation block in Figure 3 and the received RG in (2), we can obtain the following relationship
with . Algorithm 2 explains the MMSE equalizer, considering SISO and MIMO schemes.
| Algorithm 2: MMSE Equalizer Implementation for D&F Relay Node |
![]() |
4.2.2. ZF Equalization Scheme
The Zero-Forcing (ZF) technique is another equalization method that treats all transmitted signals as interference, except for the desired signal. The ZF technique nullifies the interference by using the following matrix
where denotes the Hermitian transpose operation. Note that the ZF equalizer does not require the statistics of the noise. From Equation (2), the equalized received RG can be written as
where . Taking into account the expressions described above, Algorithm 3 details to procedure of equalization employing SISO and MIMO techniques.
| Algorithm 3: ZF Equalization Implementation for D&F Relay Node |
![]() |
5. Development of Relay Nodes Using SDR
A FDD-LTE Decode-and-Forward In-band Relay Node with MIMO capabilities was implemented to study the feasibility of the developed and implemented estimation and equalization channel techniques. This section describes the main processing blocks of the implemented D&F RN. Taking into account the 3GPP classification [6], the developed RN is an L2; that is, it is transparent to the UEs and does not have its own Cell ID. Nevertheless, the performance of the RN is improved by including the channel estimation and equalization functionalities in the core network before decoding the received signal.
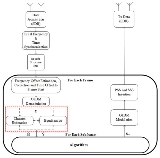
In Figure 4, a block diagram of the signal processing in the RN is shown, where the IQ is first captured by the NI-USRP-2944R SDR platform. Prior to OFDM de-modulation, any significant frequency offset must be removed. Therefore, after acquiring the data signal, an initial frequency offset compensation is performed and time synchronization of the received signal is carried out. For OFDM de-modulation, it is necessary to know the signal bandwidth; this is carried out by the decode structure eNB block, which allows for obtaining the Physical Cell ID, signal bandwidth, and the number of transmitter antennas in the eNB. Once the signal parameters are known, the signal is resampled to the nominal sampling rate. Then, frequency offset estimation and correction are performed on the resampled signal. After the steps described above, the Relay Node is ready to de-modulate the OFDM received signal. Let be the de-modulated Resource Grid. Then, channel estimation and equalization of the signal bandwidth is completed, which are carried out by the channel estimation and equalization blocks, respectively (as detailed in the previous section). Finally, the equalized frames () and channel estimation () are processed by Algorithm 4, as performed by the Algorithm Block in Figure 4.
Figure 4.
Relay Node Processing Blocks.
For each subframe, the de-modulation and modulation processes in the RN are implemented using Algorithm 4. This algorithm executes the de-modulation of physical channels, control, and data, as well as determining other reference signals. After this, the reverse procedure is performed to generate all the physical channels and the frames are modulated and are inserted into the PSS (Primary Synchronization Signal) and SSS (Secondary Synchronization Signal) before being transmitted by the NI-USRP-2944R SDR platform. In the proposed Algorithm, the sub-indices , , , and describe the processes of de-modulation, modulation, coding, and decoding of the channels, respectively. For example, the and functions de-modulate the Physical Broadcast Channel and decode the Master Information Block, respectively. On the other hand, the function performs the insertion of the pilot symbol in each frame.
In LTE, data and multimedia transport activities are carried out by the PDSCH (Physical Downlink shared Channel); in particular, SIBs (System Information Blocks) are transported by this physical channel. Several modulation options can be applied to this channel, including Q-PSK, 16-QAM, and 64-QAM. PDSCH is used to transmit the Downlink Shared Channel (DL-SCH), which acts as the transport channel for transmitting downlink data [4]. The Physical Downlink Control Channel (PDCCH) is used to provide physical layer signaling to support MAC layer operation. Each PDCCH carries the message known as the Downlink Control Information (DCI) for the user equipment (UE) [5]. DCI consists of information about resource scheduling for downlink and uplink, transmit power commands (TPC), and so on. On the other hand, the Physical Broadcast Channel (PBCH) is a control channel (which can be found in subframe 0 of each radio frame) with the aim of transporting basic information about the net named the Master Information Block (MIB). This information contains four bits to identify the canalization used in the cell, three bits to define the channel PHICH (Physical Hybrid ARQ Indicator Channel) structure which is used to transport recognition information about the HARQ (Hybrid Automatic Repeat Request) mechanism, and seven bits in order to identify the frame number (System Frame Number, SFN) [6].
| Algorithm 4: De-modulation & Modulation Subframe |
![]() |
6. Numerical Results and Performance Analysis
To demonstrate the effect of the studied techniques, numerical results are presented in this section to illustrate the core network performance of the platform. First, we evaluated the channel estimation scheme, interpolation methods, and equalization algorithms. Then, with the scheme that has the best performance, we evaluated the capacity of the Platform core network. Simulations were carried out using LTE signals generated using the Matlab LTE Toolbox. The downlink reference measurement channels specified by 3GPP in TS 36.101 Appendix A.3 [6] were used. The main parameters involved in the measurements are summarized in Table 2.
Table 2.
Main Parameters Used in the Experiments.
Two typical indoor-to-indoor scenarios were considered, one with LOS and the other with NLOS between the eNB and the Relay Node. The measurements were carried out with the developed SDR Platform described in Section 2, at the E.T.S.I de Telecomunicación of the Universidad Politécnica de Madrid (UPM) on the fourth floor of building C. The first scenario that we considered is shown in Figure 5, where the eNB and RN equipment had LOS. The eNB downlink transmitter was placed on the left side of the building and the D&F Relay Node was positioned about 50 m from the eNB. This link is presented in Figure 5 with a yellow beam. We considered another indoor-to-indoor scenario, as shown in Figure 6. In this sense, the eNB and Relay Nodes were placed on the left of the building and in the middle of the hall perpendicular to that of the eNB, respectively. In this scenario, the eNB and RN had NLOS and were separated by 55 m.
Figure 5.
Measurement scenario with LOS between eNB and RN.
Figure 6.
Measurement scenario with NLOS between eNB and RN.
6.1. Impact of Channel Estimation and Equalization on Received RG
In this subsection, the performance of the channel estimation, interpolation, and equalization techniques studied are investigated by using the Error Vector Magnitude (EVM) metric.
Figure 7 shows the obtained results for the Cumulative Distribution Functions (CDF) of the received RG with respect to the RMS EVM [%]. The developed SDR platform was used and the LOS scenario was considered. The black plot represents the EVM of the received signal without implementing the channel estimation and equalization techniques. It can be observed, from Figure 7, that when the developed algorithms were considered, the error decreased considerably, with an improvement between 38% and 57% for 90% of the time. Furthermore, it was found that, when the ZF equalizer was employed, the EVM was higher than when the MMSE equalizer was used. However, the traces associated with the BCI and BLI methods and the MMSE equalizer had a lower EVM than that associated with LS-BNNI-MMSE. On the other hand, one of the boxes in Figure 7 represents the expanded version of the curves using the LS-BCI-MMSE and LS-BLI-MMSE methods, from which the improvement in the EVM of the received RG when using LS-BCI-MMSE can be appreciated.
Figure 7.
EVM of the Received Resource Grid in 2 × 2 MIMO, 16-QAM, and LOS scenario.
Four three-dimensional surfaces representing the Resource Grid of the FDD-LTE Downlink are shown in Figure 8. In Figure 8a–d, the X-, Y-, and Z-axes correspond to the OFDM Symbol Index (in the time-domain), Subcarrier Index (in the frequency-time), and power (in dB) of the RG, respectively. In each of the figures, only the 14 first OFDM symbols and 100 first subcarriers of the received RG are illustrated. On the other hand, in Figure 8a, the Resource Grid transmitted by the eNB in our SDR platform is shown, compared with the received RG at the receiver (i.e., the implemented Decode-and-Forward Relay Node). In the first instance, we compare the transmitted RG in Figure 8a with the received RG in Figure 8b. The presented result in Figure 8b is before performing the channel estimation methods and equalization techniques. It can be appreciated that the power of the received RG degraded greatly, on the order of 20 dB, with respect to the transmitted RG. Furthermore, when testing with the schemes presented in the previous section, it can be seen that the power of the received RG was on the order of the transmitted RG power, as can be seen from Figure 8c,d. Nevertheless, despite the obtained enhancement, it can be observed that the received RG after employing the LS-BCI-ZF techniques led to lost symbols, which explains the considerable differences of the EVM between the curves using ZF and MMSE equalization, as presented above. Therefore, the schemes that employed the MMSE equalizer had lower EVM and, between them, the best performance was obtained with Bi-Cubic interpolation.
Figure 8.
Resource Grid for 2 × 2 MIMO, 16-QAM, and LOS Scenario.
6.2. Evaluation Performance of Core Network
In this subsection, the PSDCH, considering the obtained RG with the LS-BCI-MMSE algorithm, is implemented. The EVM, BER, and throughput of the core network of the developed SDR Platform for 16-QAM and 64-QAM signals were calculated. Besides, we considered SISO and 2 × 2 MIMO schemes, LOS and NLOS scenarios. A total of 50 frames were transmitted in each transmission and 10 transmissions were performed for each SNR.
SIB Type 1 (SIB1) contains the relevant information to assess whether a UE can access a cell. The figure of merit used to compare the results obtained in the two scenarios analyzed was the EVM. Figure 9 shows the CDF of SIB1 block decoding with respect to RMS EVM (in %). As expected, the NLOS scenario presented worse RMS EVM than the LOS scenario. The EVM increased when considering the SISO scheme Tx/Rx in both scenarios. On the other hand, comparing the results of Figure 9a,b, it can be seen that the 16-QAM signal constellation presented less error than 64-QAM in both measurement environments. However, it can be observed that using 2 × 2 MIMO reduced the EVM in both scenarios. In addition, in this situation, the EVM under 64-QAM modulation was better than that with 16-QAM in the LOS scenario; while they were practically equal in the NLOS scenario.
Figure 9.
CDF of the EVM in SIB1, considering LS-BCI-MMSE techniques.
Figure 10 shows the coded BER of the PDSCH for 16-QAM and 64-QAM constellations, two Tx/Rx schemes, and LOS and NLOS scenarios. It can be seen that the BER increased when the NLOS scenario and the SISO scheme were employed. Besides, it was found that the 2 × 2 MIMO scheme significantly improved the system performance, compared with the SISO scheme, in the measurement environments. It can be noticed, from Figure 10a,b, that in the NLOS scenario and using 2 × 2 MIMO the BER of the 16-QAM modulation was less than that under 64-QAM, on the order of 0.4 × 10. Nonetheless, in the LOS scenario, both modulations presented approximately the same BER performance. The BER performance of the system was in the order of 10, which was due to the path loss effect in the indoor-to-indoor scenario considered and the sensitivity of the USRPs. Furthermore, the loss introduced by the antenna should also be considered, which degraded the received signal level in the input of the USRP.
Figure 10.
BER performance comparison versus SNR with LS-BCI-MMSE techniques.
Finally, the output throughput of the processing of the DL-SCH transport channel was calculated. Figure 11 shows the throughput results in the LOS and NLOS channels, taking into account the 16-QAM and 64-QAM modulations, as well as LS-BCI-MMSE techniques or algorithms. As shown in Figure 11a,b, when the SISO scheme and NLOS channel were considered, the obtained throughput was the worst; however, in the case of 16-QAM, it could reach the maximum throughput (6.38 Mbps) with an 18 dB SNR. On the other hand, the throughput reached in the 64-QAM case was just 2.32 Mbps, with a loss of 11.63 Mbps. Considering the LOS channel and SISO schemes, the throughput with both modulation techniques was improved. It can be seen that, in these conditions, the least throughput in 16-QAM was the 5.26 Mbps, which obtained the maximum with 15 dB SNR. Furthermore, with 64-QAM modulation, the throughput increased from 1.67 Mbps to 7.66 Mbps; due to the 24 dB SNR, the throughput of the 64-QAM was better than of the 16-QAM. On the other hand, the 16-QAM constellation is more robust to error than the 64-QAM. Nevertheless, when the 2 × 2 MIMO scheme was introduced in the LOS environment, the 8.69 Mbps throughput was increased to 13.95, the throughput maximum that could be obtained without any channel; while the lower performance reached was 12.37 Mbps and the maximum was obtained with 9 dB SNR, as shown in Figure 11b. In the NLOS channel, in the case that 2 × 2 MIMO was employed, the throughput was increased considerably, overcoming the maximum capacity of the 16-QAM in the LOS scenario with 18 dB SNR.
Figure 11.
Comparison of throughput versus SNR for both modulations with LS-BCI-MMSE techniques.
6.3. Computational Complexity of the Algorithms
This subsection analyzes the computational complexity of the presented algorithms, in terms of arithmetic operations. We counted the number of operations required to carry them out, as a function of the dimensions of the vectors and matrices involved.
In the case of the LS estimator, the calculation of given by the expression (5), involves the product of the matrices ∈ and ∈ for the N× N antennas combined, where = P (the total number of pilot symbols). Table 3 summarizes the arithmetic operations that the presented channel estimator requires to determine the channel frequency responses of the pilot symbols.
Table 3.
Arithmetic operations required by LS Estimator Algorithm.
As explained in Section 4.1, we implemented three interpolation algorithms to calculate the channel frequency responses of the data symbols. Considering the expressions (6) and (8), and Algorithm 1, we determined the number of arithmetic operations, as shown in Table 4. From Table 4, one can conclude that, in terms of the required arithmetic operations, the BNNI method is simpler, compared to BLI and BCI. The parameters and P represent the total number of data symbols and the total number of pilot symbols, respectively.
Table 4.
Arithmetic operations required by Interpolation Methods.
The computational complexities of the equalizers described in Section 4.2 are presented in Table 5, where N is the total number of subcarriers in the system. From the table, it can be seen that the computational complexity of the MMSE equalizer was higher than that of the ZF equalizer.
Table 5.
Arithmetic operations required by Equalization Algorithms.
7. Conclusions
In this paper, a detailed study of the wireless MIMO channel between an eNB and a RN in our developed SDR platform was performed. We focused on channel estimation through an LS estimator and the Bi-Cubic (BCI), Bi-Linear (BLI), and Bi-Nearest Neighbors (BNNI) interpolation methods. In addition, the performances of the Zero-Forcing (ZF) and Minimum Mean Square Error (MMSE) equalizers were also analyzed.
From the results, we can conclude that the developed SDR platform is an excellent tool to analyze—at a laboratory level—the behavior of channel propagation in the “core network” in complex scenarios and with long distances between eNB and RNs. On the other hand, the obtained results show that, in the pilot based on channel estimation, the LS estimator with cubic interpolation obtained the best performance, considering the studied 2D interpolation methods. Furthermore, the results demonstrated that 16-QAM modulation leads to better robustness in the implemented testbed. The results also showed that employing 2 × 2 MIMO led to a substantial benefit, in terms of the performance of the core network. This technique achieved reduction of the Bit Error Rate and increasing the throughput in the 64-QAM constellation. In addition, the EVM of the SIB1 was measured, showing a great improvement in their values when using the MIMO technique.
Author Contributions
R.V.-P. conceived the paper, designed the experiments, performed experiments, and analyzed the data; R.V.-P. and J.I.A. contributed the laboratory equipment; R.V.-P. wrote the paper; R.V.-P. and J.I.A. reviewed and edited the paper. All authors have read and agreed to the published version of the manuscript.
Funding
This work has been supported by the Spanish Ministry of Science, Innovation and Universities within the project TEC2017-87061-C3-1-R (CIENCIA/AEI/FEDER,UE) and by the China Science and Technology Exchange Center-MST of the People’s Republic of China, within the project 23016YFE0200200. The work of Randy Verdecia-Peña is supported by a Pre-doctoral Contract PRE2018-085032 from the Ministry of Science and Innovation.
Conflicts of Interest
The authors declare no conflict of interest.
References
- UMTS Forum, Mobile Traffic Forecast 2010–2020. Available online: http://www.umts-forum.org/component/option.comdocman/task.catview/gid,485/Itemid,213/ (accessed on 19 April 2020).
- Verdecia-Peña, R.; Alonso, J.I. Analysis of A&F Mobile Relay Nodes with Power Control and Link Selection in HSR Scenarios. In Proceedings of the 7th International Workshop on Cooperative Wireless Networks—CWN 2020, Thessaloniki, Greece, 12 October 2020. [Google Scholar]
- Verdecia-Peña, R.; Alonso, J.I. A performance study on MIMO-Beamforming in Railway environments with In-Band Mobile Relay Node. In Proceedings of the 4th International Conference on SmartRail, Traffic and Transportaion Engineering—ICSTTE 2020, Madrid, Spain, 19–21 October 2020. [Google Scholar]
- 3GPP. Evolved Universal Terrestrial Radio Access (E-UTRA); User Equipment (UE) radio transmission and reception. ETSI TS 2017, 136, 16. [Google Scholar]
- Krikidis, I.; Zheng, G. Relaying in Full-duplex Radio Communication Systems. In Advanced Relay Technologies in Next Generation Wireless Communications; The Institute of Engineering and Technologies; Publishing House: London, UK, 2016; pp. 129–170. [Google Scholar]
- Yuan, Y. LTE-A Relay Study and Related Technology. In LTE-Advanced Relay Technology and Standardization; Springer: Berlin/Heidelberg, Germany, 2013; pp. 39–90. [Google Scholar] [CrossRef]
- Singh, K.; Gupta, A.; Ratnarajah, T. QoS-Driven Resource Allocation and EE-Balancing for Multiuser Two-Way Amplify-and-Forward Relay Networks. IEEE Trans. Wirel. Commun. 2017, 16, 3189–3204. [Google Scholar] [CrossRef]
- Singh, K.; Gupta, A.; Ratnarajah, T. A Utility-Based Joint Subcarrier and Power Allocation for Green Communications in Multi-User Two-Way Regenerative Relay Networks. IEEE Trans. Commun. 2017, 65, 3705–3722. [Google Scholar] [CrossRef]
- Fan, Y.; Thompson, J. MIMO configurations for relay channels: Theory and practice. IEEE Trans. Wirel. Commun. 2007, 6, 1774–1786. [Google Scholar] [CrossRef]
- Sanguinetti, L.; D’Amico, A.A.; Rong, Y. A tutorial on the optimization of amplify-and-forward MIMO relay systems. IEEE J. Sel. Areas Commun. 2012, 30, 1331–1346. [Google Scholar] [CrossRef]
- Rong, Y. Linear non-regenerative multicarrier MIMO relay communications based on MMSE criterion. IEEE Trans. Commun. 2010, 58, 1918–1923. [Google Scholar] [CrossRef][Green Version]
- Rong, Y.; Hua, Y. Optimality of diagonalization of multi-hop MIMO relays. IEEE Trans. Wirel. Commun. 2010, 8, 6068–6077. [Google Scholar] [CrossRef]
- Zetterberg, P.; Mavrokefalidis, C.; Lalos, A.S.L.; Matigakis, E. Experimental Investigation of Cooperative Schemes on a Real-Time DSP-Based Testbed. J. Wirel. Commun. Netw. 2009, 368752, 1–15. [Google Scholar] [CrossRef]
- Wireless Open Access Research Platform. Available online: http://warp.rice.edu.index (accessed on 20 April 2020).
- GNU Radio. Available online: http://www.gnu.org/software/gnuradio (accessed on 20 April 2020).
- Wang, H.; Tian, S.; Gao, X.; Wu, L.; Chen, G. Approximation Designs for Cooperative Relay Deployment in Wireless Networks. In Proceedings of the IEEE 37th International Conference on Distributed Computing Systems (ICDCS 2017), Atlanta, GA, USA, 5–8 June 2017; pp. 2270–2275. [Google Scholar] [CrossRef]
- Ding, Z.; Adachi, F.; Poor, V. The Application of MIMO to Non-Orthogonal Multiple Access. IEEE Trans. Wirel. Commun. 2016, 15, 537–552. [Google Scholar] [CrossRef]
- Yuan, W.; Wu, N.; Zhang, A.; Huang, X.; Li, Y.; Hanzo, L. Iterative Receiver Design for FTN Signaling Aided Sparse Code Multiple Access. IEEE Trans. Wirel. Commun. 2020, 19, 915–928. [Google Scholar] [CrossRef]
- Ma, Y.; Wu, N.; Yuan, W.; Ng, D.W.K.; Hanzo, L. Joint Channel Estimation and Equalization for Index-Modulated Spectrally Efficient Frequency Division Multiplexing Systems. IEEE Trans. Commun. 2020. [Google Scholar] [CrossRef]
- Marín-García, J.A.; Romero-Franco, C.; Alonso, J.I. A Software Defined Radio Platform for Decode and Forward Relay Nodes Implementation. In Proceedings of the 2019 IEEE Conference on Standards for Communications and Networking (CSCN), Granada, Spain, 28–30 October 2019; pp. 1–4. [Google Scholar] [CrossRef]
- Verdecia-Peña, R.; Alonso, J.I. An enhanced Software Defined Radio Platform for evaluation of Decode & Forward Relay Nodes. URSI2020 2020. accepted. [Google Scholar]
- Wang, M.; Zhang, J.; Ren, B.; Yang, W.; Zou, J.; Hua, M.; You, X. The Evolution of LTE Physical Layer Control Channels. IEEE Commun. Surv. Tutor. 2016, 18, 1336–1354. [Google Scholar] [CrossRef]
- Sanchez, J.J.; Morales-Jimenez, D.; Gomez, G.; Enbrambasaguas, J.T. Physical Layer Performance of Long Term Evolution Cellular Technology. In Proceedings of the 2007 16th IST Mobile and Wireless Communications Summit (ISTMWC), Budapest, Hungary, 1–5 July 2007; pp. 1–5. [Google Scholar] [CrossRef]
- Hou, J.; Liu, J. A novel channel estimation algorithm for 3GPP LTE downlink system using joint time-frequency two-dimensional iterative Wiener filter. In Proceedings of the 2010 IEEE 12th International Conference on Communication Technology, Nanjing, China, 11–14 November 2010; pp. 289–292. [Google Scholar] [CrossRef]
- Simko, M.; Wu, D.; Mehlfuehrer, C.; Eilert, J.; Liu, D. Implementation Aspects of Channel Estimation for 3GPP LTE Terminals. In Proceedings of the 17th European Wireless 2011—Sustainable Wireless Technologies, Vienna, Austria, 27–29 April 2011; pp. 1–5. [Google Scholar]
- Van de Beek, J.-J.; Edfors, O.; Sandell, M.; Wilson, S.K.; Borjesson, P.O. On Channel Estimation in OFDM Systems. In Proceedings of the 1995 IEEE 45th Vehicular Technology Conference. Countdown to the Wireless Twenty-First Century, Chicago, IL, USA, 25–28 July 1995; pp. 815–819. [Google Scholar] [CrossRef]
- Dianyuan, H. Comparison of Commonly Used Image Interpolation Methods. In Proceedings of the 2nd International Conference on Computer Science and Electronics Engineering, Los Angeles, CA, USA, 1–2 July 2013; pp. 1556–1559. [Google Scholar] [CrossRef]
- Khanshan, A.H.; Amindavar, H. Performance evaluation of two-dimensional interpolations on OFDM channel estimation. In Proceedings of the 2007 3rd IEEE/IFIP International Conference in Central Asia on Internet, Tashkent, Uzbekistan, 26–28 September 2007; pp. 460–464. [Google Scholar] [CrossRef]
- Acar, Y.; Doğan, H.; Başar, E.; Panayirci, E. Interpolation based pilot-aided channel estimation for STBC spatial modulation and performance analysis under imperfect CSI. IET 2016, 14, 1820–1828. [Google Scholar] [CrossRef]
- Hsieh, M.H.; Wei, C.H. Channel estimation for OFDM systems based on comb-type pilot arrangement in frequency selective fading channels. IEEE Trans. Consum. Electron. 1998, 44, 217–225. [Google Scholar] [CrossRef]
- Acar, Y.; Doğan, H.; Başar, E.; Panayirci, E. Pilot Symbol Aided Channel Estimation for Spatial Modulation-OFDM Systems and its Performance Analysis with Different Types of Interpolations. Wirel. Pers. Commun. 2017, 94, 1387–1404. [Google Scholar] [CrossRef]
- Dyer, S.A.; He, X. Cubic-spline interpolation: Part 2. IEEE Instrum. Meas. Mag. 2001, 4, 34–36. [Google Scholar] [CrossRef]
- Kahaner, D.; Moler, C.; Nash, S. Numerical Methods and Software; Prentice-Hall, Inc.: Upper Saddle River, NJ, USA, 1989. [Google Scholar]
- Fritsch, F.N.; Carlson, R.E. Monotone piecewise cubic interpolation. SIAM J. Numer. Anal. 1980, 17, 238–246. [Google Scholar] [CrossRef]
- Rinne, J.; Renfors, M. Pilot spacing in orthogonal frequency division multiplexing systems on practical channels. IEEE Trans. Consum. Electron. 1998, 42, 959–962. [Google Scholar] [CrossRef]
© 2020 by the authors. Licensee MDPI, Basel, Switzerland. This article is an open access article distributed under the terms and conditions of the Creative Commons Attribution (CC BY) license (http://creativecommons.org/licenses/by/4.0/).



