Robust INS/GNSS/DVL Integrated Navigation for MASS Based on Gradient-Adaptive Factor Graph Optimization
Abstract
1. Introduction
- (1)
- Within the factor graph optimization framework, a gradient-adaptive robust objective function is proposed. Unlike conventional robust methods such as Huber loss or Tukey’s biweight function, which apply fixed thresholds regardless of measurement conditions, the proposed gradient-adaptive mechanism dynamically adjusts the weighting based on real-time residual statistics using MAD-based scale estimation. This enables automatic adaptation to varying noise conditions in maritime environments without manual parameter tuning. Furthermore, compared to switchable constraints that require binary outlier decisions, our continuous weighting scheme preserves partial information from degraded measurements while suppressing their adverse effects. The adaptive weighting mechanism based on normalized residuals is employed to dynamically reweight INS, GNSS, and DVL factors.
- (2)
- To solve this objective function, an iterative reweighted least squares (IRLS)-based Gauss–Newton solution framework is proposed. Within the framework, the factor weights and state estimates are iteratively updated based on the estimated motion state residuals.
- (3)
- To validate the effectiveness of the algorithm, simulations based on historical measured data were conducted to evaluate the state estimation accuracy and robustness of the EKF, UKF, SW-FGO, and gradient-adaptive factor graph optimization-based integrated navigation algorithm (GA-FGO) methods.
2. Preliminary Analysis
2.1. INS/DVL/GNSS Integrated Navigation Model for MASS
2.2. Factor Graph-Based Integrated Navigation Theory for MASS
2.3. Standard Factor Graph Optimization Objective Function
3. GA-FGO Algorithm
3.1. Gradient-Adaptive Weight Factor Graph Optimization Objective Function
3.2. IRLS Gauss–Newton Resolving Framework
| Algorithm 1: GA-FGO |
| Input: Initial State Estimation , Observation set , Maximum number of iterations , Convergence threshold . |
| Output: Optimized state estimation |
| for to do |
| Calculate the residuals of all factors |
| Calculate robust scale estimation |
| Calculate the normalized residuals |
| Update the adaptive weights |
| Construct the weighted Jacobian matrix and the weighted residual vector |
| Solve the equation: |
| State Update: |
| Attitude Normalization: |
| if then break |
| End for |
| Return |
3.3. Convergence and Robustness Analysis
- (1)
- Convergence Analysis
- (2)
- Robustness Analysis
4. Simulation Results and Discussion
4.1. Simulation Environments
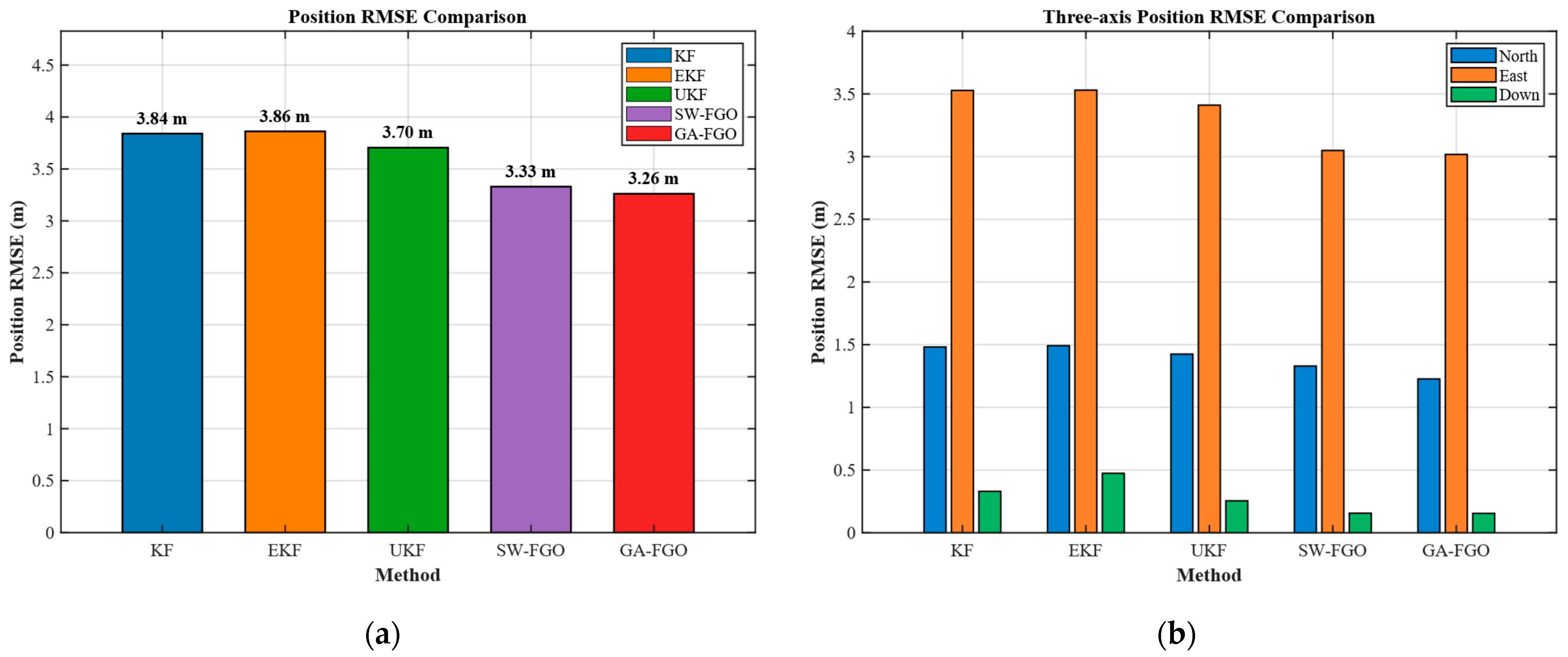
4.2. Comparative Analysis of Navigation Performance
4.3. Analysis of Gradient-Adaptive Mechanism
4.4. Comprehensive Statistical Evaluation
5. Conclusions
Author Contributions
Funding
Institutional Review Board Statement
Informed Consent Statement
Data Availability Statement
Acknowledgments
Conflicts of Interest
References
- Sezer, S.I.; Ahn, S.I.; Akyuz, E.; Kurt, R.E.; Gardoni, P. A hybrid human reliability analysis approach for a remotely-controlled maritime autonomous surface ship (MASS-degree 3) operation. Appl. Ocean Res. 2024, 147, 103966. [Google Scholar] [CrossRef]
- Dai, Y.; He, Y.; Zhao, X.; Xu, K. Testing method of autonomous navigation systems for ships based on virtual-reality integration scenarios. Ocean Eng. 2024, 309, 118597. [Google Scholar] [CrossRef]
- Guo, M.; Zhou, X.; Guo, C.; Liu, Y.; Zhang, C.; Bai, W. Adaptive federated filter–combined navigation algorithm based on observability sharing factor for maritime autonomous surface ships. J. Mar. Eng. Technol. 2024, 23, 98–112. [Google Scholar] [CrossRef]
- Zhang, Z.; Li, Y.; Wang, J.; Liu, Z.; Jiang, G.; Guo, H.; Zhu, W. A hybrid data-driven and learning-based method for de-noising low-cost IMU to enhance ship navigation reliability. Ocean Eng. 2024, 299, 117280. [Google Scholar] [CrossRef]
- Khater, H.A.; Elsayed, A.; El-Shoafy, N. Improved navigation and guidance system of AUV using sensors fusion. J. Commun. 2020, 6, 455–468. [Google Scholar] [CrossRef]
- Wan, E.A.; Van Der Merwe, R. The unscented Kalman filter for nonlinear estimation. In Proceedings of the Adaptive Systems for Signal Processing, Communications, and Control Symposium, Lake Louise, AB, Canada, 1–4 October 2000; pp. 153–158. [Google Scholar] [CrossRef]
- Arasaratnam, I.; Haykin, S. Cubature kalman filters. IEEE Trans. Autom. Control 2009, 54, 1254–1269. [Google Scholar] [CrossRef]
- Mohamed, A.H.; Schwarz, K.P. Adaptive Kalman filtering for INS/GPS. J. Geod. 1999, 4, 193–203. [Google Scholar] [CrossRef]
- Yang, Y.; He, H.; Xu, G. Adaptively robust filtering for kinematic geodetic positioning. J. Geod. 2001, 75, 109–116. [Google Scholar] [CrossRef]
- Yang, Y.; Gao, W. An optimal adaptive Kalman filter. J. Geod. 2006, 4, 177–183. [Google Scholar] [CrossRef]
- Yang, Y.; Xu, T. An adaptive Kalman filter based on Sage windowing weights and variance components. J. Navig. 2003, 2, 231–240. [Google Scholar] [CrossRef]
- Cui, X.; Yang, Y. Adaptively robust filtering with classified adaptive factors. Prog. Nat. Sci. Mater. Int. 2006, 8, 846–851. [Google Scholar] [CrossRef]
- Liu, W.; Qi, T.; Hu, Y.; Fu, S.; Han, B.; Hsieh, T.-H.; Wang, S. An Improved Adaptive Robust Extended Kalman Filter for Arctic Shipborne Tightly Coupled GNSS/INS Navigation. J. Mar. Sci. Eng. 2025, 13, 2395. [Google Scholar] [CrossRef]
- Xiao, J.; Li, Y.; Zhang, C.; Zhang, Z. INS/GPS Integrated Navigation for Unmanned Ships Based on EEMD Noise Reduction and SSA-ELM. J. Mar. Sci. Eng. 2022, 10, 1733. [Google Scholar] [CrossRef]
- Tang, J.; Bian, H. Ship SINS/CNS Integrated Navigation Aided by LSTM Attitude Forecast. J. Mar. Sci. Eng. 2024, 12, 387. [Google Scholar] [CrossRef]
- Yu, J.; Dai, H.; Li, J.; Li, X.; Liu, X. Dynamic Feature Elimination-Based Visual–Inertial Navigation Algorithm. Sensors 2026, 26, 52. [Google Scholar] [CrossRef]
- Li, Q.; Zhang, L.; Wang, X. Loosely coupled GNSS/INS integration based on factor graph and aided by ARIMA model. IEEE Sens. J. 2021, 21, 24379–24387. [Google Scholar] [CrossRef]
- Bai, S.; Lai, J.; Lyu, P.; Ji, B.; Wang, B.; Sun, X. A novel plug-and-play factor graph method for asynchronous absolute/relative measurements fusion in multi sensor positioning. IEEE Trans. Ind. Electron. 2022, 70, 940–950. [Google Scholar] [CrossRef]
- Wen, W.; Zhang, G.; Hsu, L.-T. GNSS outlier mitigation via graduated non-convexity factor graph optimization. IEEE Trans. Veh. Technol. 2021, 71, 297–310. [Google Scholar] [CrossRef]
- Liang, Z.; He, K.; Wang, Z.; Yang, H.; Zheng, J. Research on INS/GNSS Integrated Navigation Algorithm for Autonomous Vehicles Based on Pseudo-Range Single Point Positioning. Electronics 2025, 14, 3048. [Google Scholar] [CrossRef]
- Grenier, A.; Lohan, E.S.; Ometov, A.; Nurmi, J. Towards Smarter Positioning through Analyzing Raw GNSS and Multi-Sensor Data from Android Devices: A Dataset and an Open-Source Application. Electronics 2023, 12, 4781. [Google Scholar] [CrossRef]
- Zhang, L.; Hsu, L.-T.; Zhang, T. A novel INS/USBL integrated navigation scheme via factor graph optimization. IEEE Trans. Veh. Technol. 2022, 71, 9239–9249. [Google Scholar] [CrossRef]
- Yang, X.; Zhang, M.; Yan, P.; Wang, Q.; Xie, D.; Bai, Y.B. Cross-Path Planning of UAV Cluster Low-Altitude Flight Based on Inertial Navigation Combined with GPS Localization. Electronics 2025, 14, 2877. [Google Scholar] [CrossRef]
- Hu, Y.; Li, H.; Liu, W. Robust factor graph optimisation method for shipborne GNSS/INS integrated navigation system. IET Radar Sonar Navig. 2024, 18, 782–798. [Google Scholar] [CrossRef]
- Huo, Z.; Jin, L.; Wang, H.; Sun, X.; He, Y. A robust factor graph optimization method of GNSS/INS/ODO integrated navigation system for autonomous vehicle. Meas. Sci. Technol. 2024, 36, 016301. [Google Scholar] [CrossRef]
- Ding, J.; Huang, C.; Cheng, J.; Wang, F.; Hu, Y. Refined on-manifold IMU preintegration theory for factor graph optimization based on equivalent rotation vector. IEEE Sens. J. 2023, 23, 5200–5219. [Google Scholar] [CrossRef]
- Indelman, V.; Williams, S.; Kaess, M.; Dellaert, F. Information fusion in navigation systems via factor graph based incremental smoothing. Robot. Auton. Syst. 2013, 61, 721–738. [Google Scholar] [CrossRef]
- Zheng, X.; Dong, Y.; Zhao, Y.; Zhang, B.; Li, M. TSF-GINS: Based on time-fixed sliding window with factor graph a global navigation satellite system and inertial measurement unit tightly coupled localization system. Measurement 2025, 239, 115421. [Google Scholar] [CrossRef]
- Zhao, H.; Miao, L.; Shao, H. Adaptive two-stage Kalman filter for SINS/odometer integrated navigation systems. J. Navig. 2017, 70, 242–261. [Google Scholar] [CrossRef]
- Boguspayev, N.; Akhmedov, D.; Raskaliyev, A.; Kim, A.; Sukhenko, A. A Comprehensive Review of GNSS/INS Integration Techniques for Land and Air Vehicle Applications. Appl. Sci. 2023, 13, 4819. [Google Scholar] [CrossRef]
- Ocal, M.F.; Durmaz, M.; Tunali, E.; Yildiz, H. Assessment of Smartphone GNSS Measurement sin Tightly Coupled Visual Inertial Navigation. Appl. Sci. 2025, 15, 12796. [Google Scholar] [CrossRef]
- Zhang, L.; Gao, Y.; Guan, L. Optimizing AUV Navigation Using Factor Graphs with Side-Scan Sonar Integration. J. Mar. Sci. Eng. 2024, 12, 313. [Google Scholar] [CrossRef]
- Zhang, L.; Guan, L.; Zeng, J.; Gao, Y. Autonomous Underwater Vehicle Navigation Enhancement by Optimized Side-Scan Sonar Registration and Improved Post-Processing Model Based on Factor Graph Optimization. J. Mar. Sci. Eng. 2024, 12, 1769. [Google Scholar] [CrossRef]
- Tian, Z.; Cheng, Y.; Yao, S. An Adaptive Fast Incremental Smoothing Approach to INS/GPS/VO Factor Graph Inference. Appl. Sci. 2024, 14, 5691. [Google Scholar] [CrossRef]
- Zhang, L.; Wu, S.; Tang, C.; Lin, H. UUV Cluster Distributed Navigation Fusion Positioning Method with Information Geometry. J. Mar. Sci. Eng. 2025, 13, 696. [Google Scholar] [CrossRef]
- Li, P.; Liu, Y.; Yan, T.; Yang, S.; Li, R. A Robust INS/USBL/DVL Integrated Navigation Algorithm Using Graph Optimization. Sensors 2023, 23, 916. [Google Scholar] [CrossRef]
- Ben, Y.; Sun, Y.; Li, Q.; Huang, H.; Gong, S. Multi-AUV Cooperative Navigation Algorithm Based on Factor Graph With Stretching Nodes’ Strategy. IEEE Trans. Instrum. Meas. 2024, 73, 1008715. [Google Scholar] [CrossRef]
- Qin, H.; Wang, X.; Wang, G.; Hu, M.; Bian, Y.; Qin, X.; Ding, R. A novel INS/USBL/DVL integrated navigation scheme against complex underwater environment. Ocean Eng. 2023, 286, 115485. [Google Scholar] [CrossRef]
- Liu, X.; Wen, S.; Jiang, Z.; Tian, W.; Qiu, T.Z.; Othman, K.M. A multi sensor fusion with automatic vision–LiDAR calibration based on factor graph joint optimization for SLAM. IEEE Trans. Instrum. Meas. 2023, 72, 9513809. [Google Scholar] [CrossRef]
- Chi, C.; Zhang, X.; Liu, J.; Sun, Y.; Zhang, Z.; Zhan, X. Gici-lib: A gnss/ins/camera integrated navigation library. IEEE Robot. Autom. Lett. 2023, 8, 7970–7977. [Google Scholar] [CrossRef]
- Shurin, A.; Saraev, A.; Yona, M.; Gutnik, Y.; Faber, S.; Etzion, A. The Autonomous Platforms Inertial Dataset. IEEE Access 2022, 10, 10191–10201. [Google Scholar] [CrossRef]











| Method | Advantages | Disadvantages |
|---|---|---|
| Kalman Filter (KF) |
|
|
| EKF |
|
|
| UKF and CKF |
|
|
| Factor Graph and Graph Optimization |
|
|
| Sensor Type | Device/Model | Key Parameters | Value |
|---|---|---|---|
| IMU | Inertial Labs MRU | Sampling Rate | 100 Hz |
| Accelerometer Bias | 0.005 mg | ||
| Gyroscope Bias | 1°/μt | ||
| DVL | Teledyne RDI Work Horse | Sampling Rate | 1 Hz |
| Velocity Range | ±10 m/s (3-DOF) | ||
| Velocity Accuracy | 0.008 m/s | ||
| Velocity Resolution | 0.001 m/s | ||
| Seabed Tracking Depth | 0.5–200 m | ||
| GNSS | RTK Receiver | Positioning Accuracy | Centimeter-level (Ground Truth) |
| GNSS | SPP GNSS Receiver | Sampling Rate | 1 Hz |
| Horizontal Accuracy | 2.5 m CEP | ||
| Positioning Mode | Single Point Positioning |
| Algorithm | Computation Time (ms/Epoch) | Memory (MB) |
|---|---|---|
| EKF | 8.2 | 12 |
| UKF | 15.6 | 18 |
| SW-FGO | 11.8 | 42 |
| GA-FGO | 12.3 | 45 |
Disclaimer/Publisher’s Note: The statements, opinions and data contained in all publications are solely those of the individual author(s) and contributor(s) and not of MDPI and/or the editor(s). MDPI and/or the editor(s) disclaim responsibility for any injury to people or property resulting from any ideas, methods, instructions or products referred to in the content. |
© 2026 by the authors. Licensee MDPI, Basel, Switzerland. This article is an open access article distributed under the terms and conditions of the Creative Commons Attribution (CC BY) license.
Share and Cite
Guo, M.; Wang, B.; Wei, L.; Zhang, M.; Zhang, C.; Lu, H. Robust INS/GNSS/DVL Integrated Navigation for MASS Based on Gradient-Adaptive Factor Graph Optimization. Electronics 2026, 15, 634. https://doi.org/10.3390/electronics15030634
Guo M, Wang B, Wei L, Zhang M, Zhang C, Lu H. Robust INS/GNSS/DVL Integrated Navigation for MASS Based on Gradient-Adaptive Factor Graph Optimization. Electronics. 2026; 15(3):634. https://doi.org/10.3390/electronics15030634
Chicago/Turabian StyleGuo, Muzhuang, Baoyuan Wang, Lai Wei, Min Zhang, Chuang Zhang, and Hongrui Lu. 2026. "Robust INS/GNSS/DVL Integrated Navigation for MASS Based on Gradient-Adaptive Factor Graph Optimization" Electronics 15, no. 3: 634. https://doi.org/10.3390/electronics15030634
APA StyleGuo, M., Wang, B., Wei, L., Zhang, M., Zhang, C., & Lu, H. (2026). Robust INS/GNSS/DVL Integrated Navigation for MASS Based on Gradient-Adaptive Factor Graph Optimization. Electronics, 15(3), 634. https://doi.org/10.3390/electronics15030634

