Next Article in Journal
A Novel Framework for Power Extraction Enhancement in PV Systems Based on Hybrid ACO-ANN Optimization
Previous Article in Journal
Robust INS/GNSS/DVL Integrated Navigation for MASS Based on Gradient-Adaptive Factor Graph Optimization
 
 
Font Type:
Arial Georgia Verdana
Font Size:
Aa Aa Aa
Line Spacing:
Column Width:
Background:
Article

Forward Reference-Sample Equalization for High-Speed Shallow-Water Acoustic Communication

School of Ocean Engineering, Jiangsu University of Science and Technology, Zhenjiang 212003, China
*
Author to whom correspondence should be addressed.
Electronics 2026, 15(3), 650; https://doi.org/10.3390/electronics15030650
Submission received: 4 January 2026 / Revised: 22 January 2026 / Accepted: 30 January 2026 / Published: 2 February 2026

Abstract

In shallow-water high-speed mobile acoustic channels, severe non-uniform Doppler effects pose significant challenges to traditional equalization methods based on linear and time-invariant channel assumptions. Existing approaches typically rely on inverse compensation strategies, which are inadequate for handling path-dependent nonlinear Doppler distortions and fail to accurately reflect the underlying physical propagation process. To address these limitations, this paper proposes a forward reference-sample equalization (FRSE) method. Based on estimated channel parameters, forward channel modeling is performed for all possible transmitted symbols to generate a reference-sample matrix that is consistent with channel-induced distortions. At the receiver, a least-squares decision criterion is employed to match the received signal with the closest reference sample, thereby enabling reliable demodulation. Simulation results demonstrate that, at a high relative speed of 30 kn and a signal-to-noise ratio (SNR) of 8 dB, the proposed method achieves a bit error rate (BER) of 1.75 × 10 4 , significantly outperforming conventional equalization methods. Furthermore, sea trial experiments validate the robustness of the proposed approach in real shallow-water environments. By avoiding signal inversion, FRSE achieves improved detection reliability and strong robustness against non-uniform Doppler effects, highlighting its potential for practical underwater acoustic communication applications.

1. Introduction

With the rapid development of marine exploration and ocean observation technologies, the demand for reliable underwater information exchange has increased significantly. As a result, underwater acoustic communication has become a key enabling technology for a wide range of marine applications, including environmental monitoring, offshore exploration, and maritime security [1]. However, underwater acoustic channels present severe challenges to reliable communication due to high signal attenuation, limited available bandwidth, and pronounced multipath propagation effects [2,3]. These challenges are further exacerbated in high-mobility shallow-water environments, where rapid channel variations and strong environmental dynamics lead to highly complex and time-varying channel characteristics.
The combined influence of multipath propagation and rapid platform motion gives rise to path-dependent Doppler stretch factors, commonly referred to as non-uniform Doppler effects across different propagation paths [4,5]. These effects have emerged as a critical bottleneck in shallow-water acoustic communications. Signals propagating along distinct paths experience different nonlinear time-scaling distortions, which result in severe waveform deformation and loss of signal coherence. From a signal processing perspective, such Doppler-induced distortions correspond to nonlinear time warping rather than simple frequency shifts, which fundamentally challenges conventional compensation and synchronization mechanisms [6]. Such distortions significantly degrade the performance of traditional single-carrier equalization schemes [7,8]. Moreover, advanced multicarrier techniques, such as orthogonal frequency-division multiplexing (OFDM), are also severely affected, as non-uniform Doppler destroys subcarrier orthogonality and introduces strong inter-carrier interference, leading to drastic performance degradation [9,10]. As a consequence, non-uniform Doppler has become a widely recognized technical challenge that destabilizes communication links. It fundamentally limits the achievable performance of underwater acoustic communication and sensing networks.
Extensive research efforts have been devoted to mitigating intersymbol interference (ISI) and Doppler-induced impairments in high-speed shallow-water acoustic channels [11]. Linear equalizers (LE) and decision-feedback equalizers (DFE) remain widely applied due to their relatively low computational complexity; however, their reliance on linear time-invariant (LTI) channel assumptions renders them suboptimal in rapidly time-varying environments. Zero-forcing (ZF) and minimum mean-square error (MMSE) equalizers further suffer from severe performance degradation in channels characterized by long delay spreads and strong dispersion, where residual ISI cannot be sufficiently suppressed [12]. Although decision feedback can partially alleviate ISI, error propagation remains a persistent challenge. More fundamentally, these approaches exhibit an inherent structural mismatch with the nonlinear time-scaling behavior induced by Doppler effects, limiting their effectiveness under non-uniform Doppler conditions. Specifically, conventional equalizers are designed under a linear convolutional channel model, whereas Doppler-induced time scaling introduces non-convolutional and nonlinear distortions that cannot be accurately represented within the traditional LTI or quasi-LTI framework [13,14].
Global resampling using a single Doppler scaling factor represents another commonly adopted countermeasure [15,16]. However, in high-speed shallow-water channels, path-dependent Doppler variations invalidate the assumption of a uniform scaling factor, resulting in residual frequency offsets that grow with increasing platform velocity and severely degrade system performance [17]. To overcome these limitations, alternative approaches based on compressed sensing (CS) [18] and machine learning (ML) [19,20] have been explored. While these methods can capture certain nonlinear channel characteristics, they often suffer from excessive computational complexity, limited robustness to environmental variability, and a strong dependence on large and representative training datasets [21]. Consequently, despite their potential advantages, existing methods generally exhibit poor adaptability and substantial model mismatch in the presence of severe non-uniform Doppler effects [22].
To address the aforementioned challenges, this paper proposes a novel equalization paradigm for underwater acoustic communications, termed forward reference-sample equalization (FRSE). Unlike conventional inverse-compensation-based approaches, FRSE adopts a forward-modeling strategy that explicitly emulates the physical propagation behavior of acoustic waves. Instead of attempting to invert the estimated channel response, FRSE constructs structured reference samples by explicitly incorporating multipath delays and Doppler-induced time-scaling effects. These reference samples are then employed as detection templates under a least-squares (LS) criterion, enabling reliable symbol recovery while avoiding the numerical instability and structural model mismatch inherent in conventional equalizers. Owing to its physically consistent modeling framework, FRSE is particularly well suited for high-speed shallow-water environments and dynamic underwater sensing networks, where robust and stable communication links are essential.
The main contributions of this work are summarized as follows:
  • We propose FRSE, a forward-modeling-based equalization paradigm that directly addresses the nonlinear distortions induced by non-uniform Doppler effects. By constructing reference samples that jointly capture multipath propagation and Doppler time-scaling characteristics, FRSE establishes a physically consistent detection framework that significantly enhances system robustness in high-mobility shallow-water channels.
  • Extensive simulation results demonstrate that FRSE substantially outperforms conventional equalization techniques. In particular, at platform speeds of up to 30 kn and signal-to-noise ratios (SNR) as low as 8 dB, FRSE maintains stable symbol detection and reliable data throughput, whereas conventional methods experience severe performance degradation. These results indicate the suitability of FRSE for real-time data acquisition from mobile platforms, such as autonomous underwater vehicles (AUVs) and drifting sensor nodes.
  • The effectiveness of FRSE is further validated using experimental data collected from a shallow-water sea trial. The results confirm its strong capability to mitigate both Doppler-induced distortions and multipath interference, thereby ensuring reliable communication performance in realistic and dynamically varying ocean environments. This experimental validation highlights the practical applicability of FRSE for large-scale underwater observation and intelligent sensing systems.
To the best of the authors’ knowledge, this work represents the first experimental validation of an equalization approach based on forward reference-sample matching in high-speed underwater acoustic channels. By bridging the gap between physically grounded modeling and real-world experimental verification, the proposed FRSE framework provides a promising pathway toward reliable and scalable underwater acoustic communication systems.

2. Channel Model

High-speed mobile shallow-water acoustic channels are dominated by multipath propagation and path-dependent non-uniform Doppler effects. When the transmitter and receiver move at a relatively high speed, the signal arriving along each propagation path experiences a distinct delay and Doppler-induced time scaling. These combined effects introduce severe distortions in both the time and frequency domains at the receiver, posing a major challenge to reliable underwater acoustic communication.
The time-varying impulse response (TVIR) of the channel can be expressed as
h ( τ , t ) = k = 1 K A k ( t ) δ τ τ k ( t ) ,
where K denotes the number of resolvable propagation paths, A k ( t ) is the complex gain of the kth path, and τ k ( t ) is the corresponding time-varying propagation delay. Here, δ ( · ) denotes the Dirac delta function, which represents an idealized impulse used to model discrete multipath components in the delay domain.
The received signal is modeled as the convolution of the transmitted signal s ( t ) with the TVIR, plus additive noise:
y ( t ) = h ( τ , t ) s ( t τ ) d τ + n ( t ) ,
where n ( t ) represents ambient noise, which is commonly approximated as additive white Gaussian noise (AWGN). Substituting (1) into (2) yields
y ( t ) = k = 1 K A k ( t ) s t τ k ( t ) + n ( t ) .
For high-speed mobile channels, a short-time quasi-static approximation is typically adopted. Specifically, within a sufficiently short observation window (e.g., on the order of one or several symbol durations), the channel parameters can be regarded as approximately constant, while evolving smoothly across consecutive windows. Under this approximation, the path gain satisfies A k ( t ) A k , and the delay can be approximated by a first-order Taylor expansion (with | α k | 1 ):
τ k ( t ) τ k α k t ,
α k = v k c s ,
where τ k is the nominal delay of the kth path, α k is its Doppler scaling factor, v k is the corresponding radial relative velocity, and c s denotes the sound speed in water. Since the velocities v k generally differ across propagation paths, the scaling factors α k are path dependent, which gives rise to the non-uniform Doppler effect.
Substituting (4) into (3) yields the received-signal model under non-uniform Doppler:
y ( t ) k = 1 K A k s 1 + α k t τ k + n ( t ) .
Equation (6) explicitly characterizes the distortion mechanism: each path scales the signal time axis by a factor of 1 + α k and shifts it by τ k . This model departs fundamentally from the conventional linear time-invariant (LTI) assumption, thereby motivating equalization strategies that account for path-dependent time scaling. It also provides the theoretical basis for the proposed forward reference-sample equalization framework developed in the subsequent sections.

3. Proposed FRSE Method

Conventional equalization techniques typically rely on inverting a linear time-invariant (LTI) channel model, which becomes highly problematic in high-mobility shallow-water environments. In such scenarios, the received waveform is subject not only to delay dispersion but also to path-dependent nonlinear time scaling caused by non-uniform Doppler effects. To address these challenges, we propose a forward reference-sample equalization (FRSE) paradigm that explicitly models the forward physical propagation process and avoids channel inversion.

3.1. Channel Parameter Assumption

To isolate and rigorously evaluate the performance of the proposed equalization paradigm, we assume that the channel parameters { A k , τ k , α k } are known a priori or have been accurately estimated by a preceding channel acquisition stage. This assumption is commonly adopted to decouple the performance of the equalizer from that of the channel estimator, thereby enabling a focused analysis of the equalization algorithm itself. High-resolution estimation of these parameters in underwater acoustic channels remains an active research topic. In this work, we focus on the equalization/detection stage; in simulations, perfect channel state information (CSI) is assumed, while in the sea-trial study, the required channel parameters are obtained using an iterative cancellation-based estimation method [23].
In addition, for a frame of duration N T , the path parameters { A k , τ k , α k } are assumed quasi-static (i.e., constant within one frame), which is a standard block-processing approximation in high-mobility underwater acoustic communications.

3.2. Mathematical Formulation

Let { s i } i = 0 N 1 denote the transmitted symbol sequence drawn from a modulation alphabet S = { c 0 , c 1 , , c M 1 } . Let p ( t ) represent a unit-energy pulse waveform (e.g., a spread-spectrum chip-shaped symbol), and let T denote the symbol duration. The baseband transmitted signal is expressed as
x ( t ) = i = 0 N 1 s i p ( t i T ) .
To clarify the time-shifted pulse structure in (7), Figure 1 illustrates an example transmit pulse p ( t i T ) , where the time displacement associated with the symbol index i is explicitly shown.
Figure 1 illustrates the time-shifted pulse components p ( t i T ) that constitute the basic building blocks of the transmitted signal in (7), while Figure 2 further shows how these components are transformed by multipath propagation and non-uniform Doppler effects to construct the forward reference samples g i ( t ) .
We define a forward propagation operator F { · } to characterize the path-dependent non-uniform Doppler distortion described in Section 2. For an arbitrary input waveform u ( t ) , the corresponding noiseless channel output is modeled as
F { u ( t ) } = k = 1 K A k u ( 1 + α k ) t τ k .
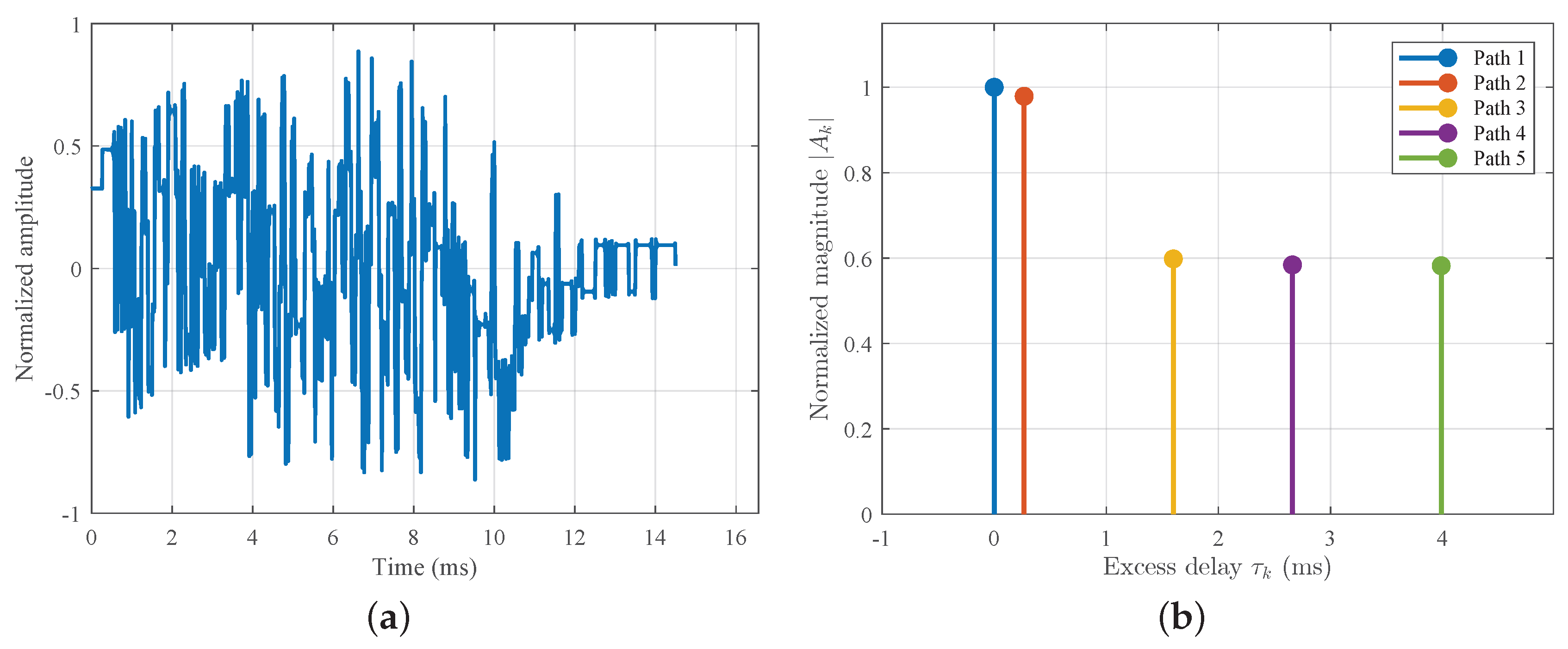
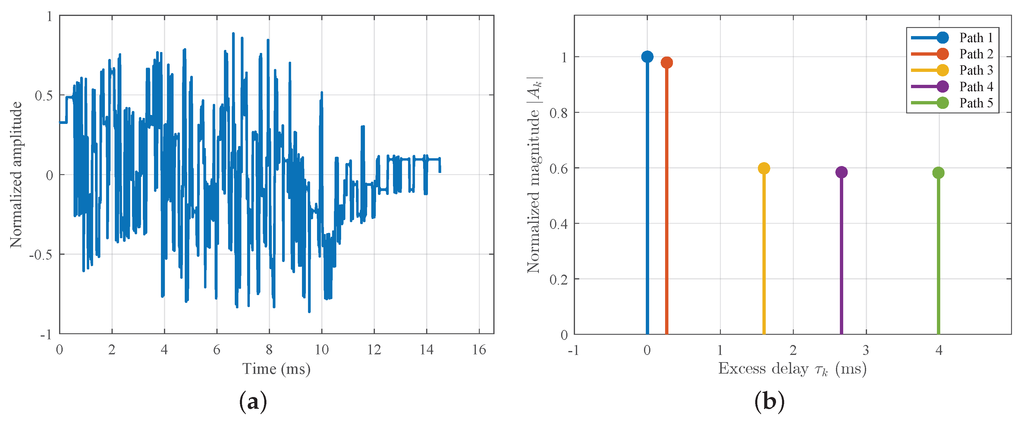
where A k and τ k denote the complex gain and propagation delay of the kth path, respectively. Here, κ k 1 + α k denotes the Doppler time-scaling factor (close to unity), and α k represents its deviation from unity. To provide an intuitive illustration, Figure 2 depicts the forward reference sample g i ( t ) obtained by coherently superimposing the Doppler-scaled multipath components, together with the underlying delay–magnitude structure { ( τ k , | A k | ) } .
Any amplitude scaling induced by time dilation is absorbed into A k for notational simplicity.
For a candidate symbol c j S , the corresponding reference waveform generated by transmitting a single symbol is defined as
h j ( t ) = F { c j p ( t ) } = k = 1 K A k c j p ( 1 + α k ) t τ k .
For frame-based processing, it is convenient to introduce a position-dependent distorted basis function that is independent of the actual symbol value. Specifically, the distorted basis associated with the ith symbol position is defined as
g i ( t ) = F { p ( t i T ) } = k = 1 K A k p ( 1 + α k ) t τ k i T .
which depends solely on the symbol position i and the channel parameters, but not on the transmitted symbol value s i . In this sense, g i ( t ) can be interpreted as the forward reference waveform corresponding to a unit-amplitude symbol.
Equation (10) defines the distorted basis function that serves as the fundamental building block of the FRSE framework. To provide an intuitive illustration, Figure 2 depicts the construction of forward reference samples under a 20 kn non-uniform Doppler channel, including the original transmitted symbol, the distorted basis g i ( t ) , the coherent superposition of individual multipath components, and the corresponding delay–magnitude structure.
Collecting all distorted basis functions { g i ( t ) } i = 0 N 1 , the received signal in the presence of additive noise n ( t ) can be expressed as
y ( t ) = i = 0 N 1 s i g i ( t ) + n ( t ) .
The transmitted symbol vector s = [ s 0 , , s N 1 ] T is estimated by minimizing the least-squares (LS) error in the L 2 sense:
s ^ = arg min s y ( t ) i = 0 N 1 s i g i ( t ) 2 2 ,
where f 2 2 | f ( t ) | 2 d t . Introducing the inner product f , g = f * ( t ) g ( t ) d t , the corresponding normal equations are given by
n = 0 N 1 s n g m , g n = g m , y , m = 0 , 1 , , N 1 .
Let G C N × N denote the Gram matrix with elements [ G ] m n = g m , g n , and let b C N be defined as b m = g m , y . The LS system can then be written compactly as
G s = b .
Provided that G is nonsingular, the LS estimate satisfies
s ^ = G 1 b .
Finally, each entry of s ^ is projected onto the modulation alphabet via
s ˜ i = Q S ( s ^ i ) ,
where Q S ( · ) denotes the nearest-neighbor slicing operator.

3.3. Discrete-Time Implementation

For practical digital implementation, the continuous-time signals y ( t ) and g i ( t ) are uniformly sampled with sampling period T s = 1 / F s to obtain the received data vector y C N r and the corresponding reference vectors g i C N r . Stacking the reference vectors yields the reference matrix
H = g 0 , g 1 , , g N 1 C N r × N ,
leading to the discrete linear model
y = H s + n .
In implementation, the path delays τ k can be realized via integer-sample shifts; if higher accuracy is required, fractional-delay interpolation/filtering can be used without changing the FRSE formulation.
Assuming that H has full column rank, the LS estimate is obtained by solving
s ^ = arg min s y H s 2 2 .
This can be computed using numerically stable solvers (e.g., QR-based least squares) or iterative methods (e.g., LSQR) when N is large. Equivalently, the closed-form solution can be written as
s ^ = ( H H H ) 1 H H y .

3.4. Impact of Multipath Number Mismatch

The proposed FRSE framework relies on the availability of a set of estimated channel parameters, including the number of multipath components. In practice, this number may be imperfectly estimated due to noise or weak-path truncation in the channel estimation stage. We briefly analyze the impact of such mismatch on the FRSE performance.
If the actual channel contains K true paths while only K < K true dominant paths are retained, the unmodeled weak paths act as additional structured interference. Within the FRSE formulation, this residual contribution is absorbed into the noise term n ( t ) , leading to a gradual performance degradation rather than algorithmic failure.
Conversely, if the estimated number of paths exceeds the true number, the additional distorted basis functions typically exhibit very low energy and weak correlation with the received signal. In this case, the resulting Gram matrix remains well-conditioned in practice, and the least-squares solution is only marginally affected. Such behavior is consistent with classical over-parameterized linear inverse problems.
These observations indicate that FRSE is inherently robust to moderate mismatches in the estimated number of multipath components, provided that the dominant propagation paths are correctly captured by the preceding channel estimation stage.
In the present study, the required channel parameters, including the effective number of multipath components, are obtained using a high-resolution iterative cancellation-based estimation method [23]. This work focuses on the equalization and detection stage, and the channel estimation procedure itself is not further discussed here.
A quantitative evaluation of severe multipath number mismatch would require a joint redesign of the channel estimation stage and is beyond the scope of the present study. Nevertheless, the above analysis provides a physically intuitive explanation of the FRSE behavior under moderate path-number mismatch, which is most relevant in practical systems.

3.5. Computational Complexity Discussion

The computational complexity of the proposed frame-wise FRSE method mainly arises from three primary processing stages:
1.
Construction of the reference matrix H. Each column of H is generated by forward-propagating a shifted reference pulse through K resolvable propagation paths and uniformly sampling the resulting waveform. The overall complexity of this stage therefore scales as O ( N K N r ) .
2.
Formation of the Gram matrix H H H . Computing the Gram matrix requires O ( N 2 N r ) operations and dominates the preprocessing cost when direct solvers are employed.
3.
Solution of the LS problem. The LS estimate can be obtained either using a direct solver or an iterative solver. When a direct solver such as QR or Cholesky factorization is used, the computational complexity is dominated by the matrix factorization step and scales as O ( N 3 ) , corresponding to the FRSE (Direct) configuration. Alternatively, iterative solvers such as LSQR can be employed to directly solve min s y H s 2 2 without explicitly forming the Gram matrix. In this case, the computational complexity scales approximately as O ( I N r N ) , where I denotes the number of iterations, corresponding to the FRSE (Iterative) configuration.
For clarity, the computational complexity characteristics of FRSE under different solver configurations, together with those of a conventional DFE, are summarized in Table 1.
In comparison, conventional decision-feedback equalizers (DFE) operate on a symbol-by-symbol basis with linear complexity O ( N L ) , where L denotes the number of feedforward and feedback taps. While FRSE entails a higher computational burden due to frame-level joint processing, it achieves significantly improved performance by effectively mitigating severe path-dependent non-uniform Doppler distortions that challenge traditional equalization methods.
It is worth noting that the O ( N 3 ) complexity corresponds to a direct solution of the LS problem using matrix factorization rather than explicit matrix inversion. In practical implementations, numerically stable solvers such as QR decomposition are preferred. For tall matrices with N r N , the dominant cost is associated with the QR factorization of H , which scales as O ( N 2 N r ) , thereby reducing both computational burden and numerical sensitivity.
From a trade-off perspective, the computational characteristics of FRSE differ fundamentally from those of compressed sensing (CS)- and machine learning (ML)-based approaches. CS-based methods typically rely on iterative sparse recovery algorithms whose runtime and convergence behavior depend strongly on signal dimension, sparsity level, and iteration count, leading to high and often unpredictable computational cost. In contrast, FRSE involves a fixed and deterministic sequence of operations per frame, resulting in predictable runtime and memory requirements.
ML-based approaches, while offering fast inference once trained, generally incur substantial offline training cost and require large representative datasets to ensure robustness across varying channel conditions. Moreover, their inference complexity depends on network architecture and parameter size, which may pose challenges for resource-constrained underwater platforms. Compared with CS- and ML-based solutions, FRSE achieves a favorable balance between computational predictability, implementation complexity, and robustness without relying on data-driven training procedures.

3.6. Summary

In summary, FRSE constructs a forward reference sample for each symbol position that faithfully captures the combined effects of path-dependent non-uniform Doppler time scaling and multipath propagation under the current channel conditions. These reference samples are aggregated into a frame-level set of distorted basis functions, and demodulation is performed via least-squares matching. By adopting this forward-modeling philosophy, FRSE alleviates the model mismatch and numerical instability commonly encountered in conventional inversion-based equalizers. The overall FRSE procedure is summarized in Algorithm 1.
Algorithm 1 Forward Reference-Sample Equalization
Require: Received signal vector y C N r ;
             Channel parameters { ( τ k , A k , α k ) } k = 1 K ;
             Baseband pulse p ( t ) ; Number of symbols N; Symbol period T; Sampling rate F s .
Ensure: Estimated symbol vector s ^ C N .
  1: Initialize H C N r × N with zeros.
  2: for i = 0 to N 1  do
  3:       Define shifted pulse: p i ( t ) p ( t i T ) .
  4:       Generate distorted basis by forward propagation: g i ( t ) F { p i ( t ) } using (10).
  5:       Uniformly sample g i ( t ) to obtain g i C N r .
  6:       Populate the ( i + 1 ) th column of H : H [ : , i + 1 ] g i .
  7: end for
  8: Solve the LS problem s ^ = arg min s y H s 2 2 (e.g., QR-based LS or LSQR).
  9: return s ^ .

4. Simulation Experiments and Results Analysis

4.1. Simulation Setup

For clarity and reproducibility, the key parameters of the DSSS communication system and the multipath underwater acoustic channel used in the simulations are summarized in Table 2 and Table 3, respectively.
To evaluate the effectiveness of the proposed method in shallow-water high-speed mobile acoustic channels, the bit-error-rate (BER) performance is investigated using a simulated direct-sequence spread-spectrum (DSSS) communication system. Binary phase-shift keying (BPSK) is employed as the modulation scheme, and a 127-chip m-sequence generated by the primitive polynomial g ( x ) = x 7 + x + 1 is used as the spreading code. The system parameters are selected to ensure adequate time–frequency resolution and to satisfy the Nyquist criterion for the considered wideband acoustic signal.
The multipath channel is generated using a geometry-based image method in a shallow-water waveguide. A five-path propagation model is considered, comprising the direct path, single surface reflection, single bottom reflection, and two double-bounce paths. The corresponding path gains incorporate spherical spreading loss, Thorp absorption, as well as surface and bottom reflection losses.
To provide a more intuitive understanding of the simulated signals, Figure 3 presents the time-domain waveforms and corresponding power spectral densities (PSDs) of the simulated signals under a representative non-uniform Doppler multipath channel. The simulations are conducted using an equivalent complex baseband representation, where the time-domain plots show the in-phase (real) component of the signals, and the frequency-domain results are given by centered two-sided PSDs. Accordingly, the spectra are centered at 0 Hz, while the physical carrier frequency is 25 kHz as listed in Table 2.
The Doppler time-scaling factor of each propagation path is computed according to the relative geometry as
κ k = 1 ± v c s cos θ k , cos θ k = R L k .
where L k denotes the propagation length of the kth path. The “+” sign corresponds to an approaching geometry ( κ k > 1 ), while the “−” sign corresponds to a receding geometry ( κ k < 1 ). Throughout this study, only the magnitude of the relative speed is varied, while the motion direction remains fixed.
To isolate the intrinsic performance of the equalization algorithms, channel estimation is not considered in this study. Instead, perfect channel-state information (CSI) is assumed at the receiver, allowing the performance evaluation to focus solely on the equalization stage. Under identical channel conditions, the proposed FRSE method is compared with conventional equalization techniques. Figure 4 illustrates a representative normalized multipath parameter distribution for a relative platform speed of 20 kn, where kn denotes the knot, a commonly used unit of speed in maritime applications (1 kn ≈ 0.514 m/s), highlighting the path-dependent delays, Doppler time-scaling factors, and amplitudes that characterize non-uniform Doppler spreading in shallow-water acoustic channels.

4.2. Simulation Results and Performance Analysis

This subsection evaluates the performance of the proposed FRSE method through a series of simulations. First, its robustness against varying platform speeds is investigated. Then, its bit-error-rate (BER) performance is compared with that of conventional equalization methods under high-speed conditions. Finally, post-equalization constellation diagrams are presented to provide an intuitive visualization of the detection performance.

4.2.1. Performance Under Varying Platform Speeds

We first investigate the impact of platform speed on non-uniform Doppler spreading. Using the geometry-based image-method channel model described in Section 4.1, a representative 5-path shallow-water multipath profile is generated at a reference speed of v 0 = 20 kn, yielding the path delays, gains, and Doppler time-scaling factors κ i shown in Figure 4. In this study, the multipath geometry (and hence the path delays and gains) is kept fixed, while only the platform speed magnitude is varied. Accordingly, the Doppler deviations are scaled proportionally with the platform speed, i.e.,
κ i ( v ) = 1 + κ i ( v 0 ) 1 v v 0 , v 0 = 20 kn ,
as summarized in Table 4. As expected, increasing speed leads to larger deviations of κ i from unity and more pronounced inter-path disparities, indicating increasingly severe non-uniform Doppler effects and posing greater challenges for equalization.
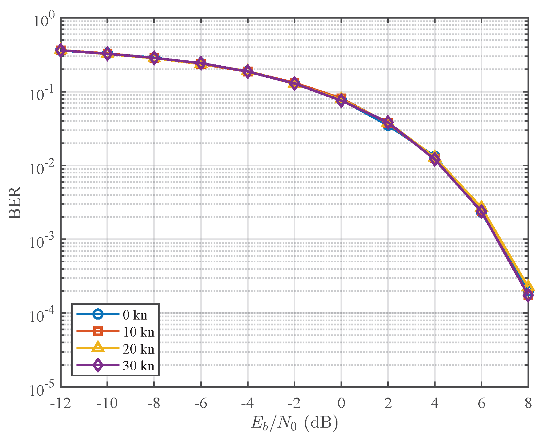
Based on the channel parameters in Table 4, the BER performance of the proposed FRSE method is evaluated. Figure 5 shows that, despite increasingly severe Doppler spreading at higher platform speeds, the BER curves of FRSE under all tested speeds almost coincide. At a BER level of 10 2 , the corresponding SNR variation is less than 0.3 dB. Moreover, in the high-SNR region, the BER consistently reaches the 10 4 level across all considered speeds. These results demonstrate the robustness of FRSE against non-uniform Doppler effects.
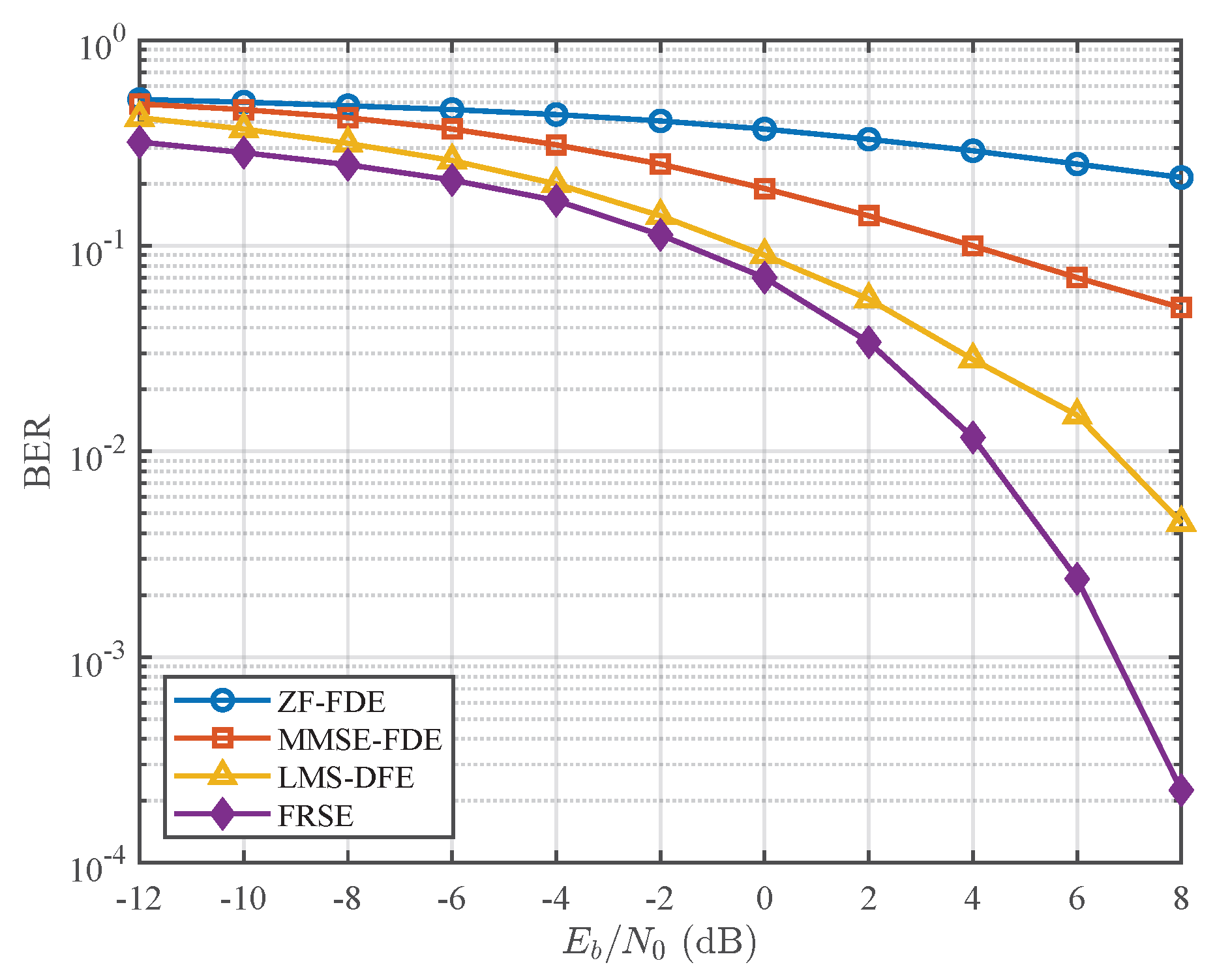
To further assess the performance advantage of FRSE, comparisons are conducted with three conventional equalization schemes, namely zero-forcing frequency-domain equalization (ZF-FDE), minimum mean-square error frequency-domain equalization (MMSE-FDE), and least-mean-square decision-feedback equalization (LMS-DFE).
Figure 6 presents the BER as a function of platform speed at a fixed E b / N 0 = 8 dB. The results indicate that the performance of conventional equalizers degrades rapidly as the platform speed increases, whereas FRSE maintains a nearly constant and low BER. For instance, at a speed of 30 kn, FRSE outperforms the best-performing conventional method, LMS-DFE, by nearly two orders of magnitude, highlighting its superior robustness and adaptability in high-speed underwater acoustic channels.

4.2.2. Comparative Analysis in a High-Speed Scenario

We now perform a focused comparative analysis in a representative high-speed scenario, where the platform speed is fixed at 20 kn under the same channel conditions as those shown in Figure 4. In this case, the BER performance of the proposed FRSE method is benchmarked against conventional equalization schemes over a range of SNR values, as illustrated in Figure 7.
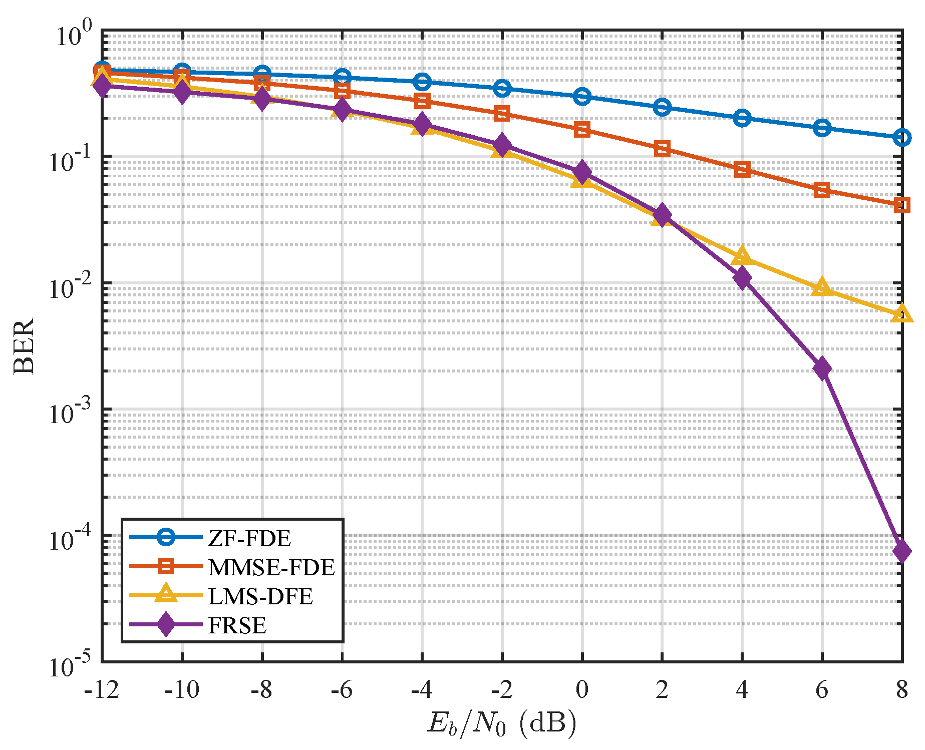
Figure 7 highlights the fundamental limitations of conventional equalization methods. Techniques such as ZF-FDE and MMSE-FDE rely on the assumption that a complex time-varying channel can be approximated as a single linear time-invariant (LTI) system. In high-speed scenarios, however, this assumption breaks down, as non-uniform Doppler effects introduce path-dependent time scaling, an inherently nonlinear distortion that cannot be adequately modeled by LTI convolution. This model mismatch leads to residual interference, which manifests as a BER floor in the high-SNR region.
In contrast, the proposed FRSE method adopts a fundamentally different paradigm. Rather than relying on an LTI approximation, FRSE explicitly performs forward modeling of the physical propagation process for each path, thereby generating reference signals that are highly coherent with the true distorted received waveform. By bypassing the model-mismatch bottleneck inherent to conventional approaches, FRSE achieves consistently low BER without exhibiting an error floor, demonstrating its superior robustness and effectiveness in dynamic high-speed underwater acoustic environments.

4.2.3. Post-Equalization Constellation Analysis

To provide a more intuitive validation of the performance advantage, post-equalization constellation diagrams obtained using the proposed FRSE method are compared with those produced by the conventional LMS-DFE. Simulations are conducted under a representative 20 kn channel scenario at three different SNR levels, namely 0 dB, 4 dB, and 8 dB. The resulting constellations are shown in Figure 8.
The evolution of the constellation diagrams with increasing SNR is instructive. At 0 dB, the outputs of both equalizers form diffuse, noise-dominated clusters, making reliable symbol detection infeasible. At 4 dB, a clear performance divergence emerges: the FRSE constellation begins to resolve into two distinct clusters, whereas the LMS-DFE output remains widely scattered. At 8 dB, this contrast becomes even more pronounced. The FRSE symbols form compact and well-separated clusters, indicating a large decision margin, while the LMS-DFE symbols continue to exhibit significant dispersion. This visual difference directly explains the residual errors and BER floor observed for the LMS-DFE.
In summary, the constellation analysis further confirms that FRSE achieves superior convergence and robustness against residual interference compared to conventional LMS-DFE. Its ability to produce clean and well-separated symbol clusters under severe non-uniform Doppler conditions is the fundamental reason for its significantly improved BER performance, ensuring reliable underwater acoustic communication.

5. Experimental Validation in a Real Shallow-Water Channel

To validate the effectiveness of the proposed FRSE method in a real ocean environment, an underwater acoustic communication experiment was conducted in the Bohai Sea. The sea trial was carried out in a shallow-water area of the Bohai Sea during the autumn season. The average water depth in the experimental region was approximately 50 m, and the representative horizontal separation between the transmitter and receiver was approximately 4.5 km. During the experiment, the water temperature was around 14.5 °C, and the ambient ocean noise level in the signal band was on the order of 98 dB re 1 μPa. Overall, the experimental site exhibited relatively stable shallow-water conditions with weak temporal variability during the measurement period, which are representative of typical coastal acoustic communication environments.
Figure 9 illustrates the experimental geometry of the shallow-water sea trial, including the relative deployment configuration of the underwater acoustic transmitter and receiver.
The transmitted signal employed a direct-sequence spread-spectrum (DSSS) architecture with differential binary phase-shift keying (DBPSK) modulation. The spreading sequence was a band-limited pseudo-random signal occupying the 8–16 kHz frequency band. The total signal duration was 0.338 s, and the sampling rate was set to 96 kHz. The selection of these key parameters was guided by practical considerations of shallow-water acoustic propagation and system constraints. The 8–16 kHz frequency band was chosen to avoid strong low-frequency ambient ocean noise, which is typically dominant below a few kilohertz, while also mitigating excessive high-frequency absorption losses. In addition, this frequency range matches the efficient operating band of the employed underwater acoustic transducer.
The sampling rate of 96 kHz was selected to provide sufficient oversampling relative to the signal bandwidth, enabling improved time and frequency resolution. This is particularly important for accurately capturing Doppler-induced time scaling and frequency shifts in shallow-water scenarios with relative motion.
The total signal duration of 0.338 s is not an arbitrarily chosen parameter, but is determined by the fixed information payload and signal structure of the acoustic beacon. Specifically, the beacon carries a predefined amount of information bits, which are processed through channel coding, differential encoding, and direct-sequence spread-spectrum expansion. Given the fixed spreading factor and chip rate, the total number of transmitted samples is uniquely determined. With a sampling rate of 96 kHz, the resulting signal duration is therefore T = N / F s 0.338 s. This duration ensures that the complete information packet is transmitted within a single frame while maintaining compatibility with the beacon hardware and signal processing chain.
Figure 10a shows the transmitted time-domain waveform, which has a pulse duration of approximately 0.34 s and exhibits a nearly constant envelope, indicating a well-designed transmission signal. After propagation through the shallow-water channel, the received signal shown in Figure 10b is severely distorted. The signal amplitude is attenuated and fluctuates rapidly, and due to rich multipath propagation, the signal energy is spread over time, resulting in a pronounced multipath tail over the observation interval (about 0.5 s). This behavior is a typical characteristic of shallow-water acoustic channels and provides a challenging yet representative real-world scenario for validating the performance of the proposed FRSE algorithm.
Although Figure 10 provides an overview of the transmitted and received waveforms over the entire observation interval, such long-duration time-domain signals appear noise-like due to the spread-spectrum modulation and rich multipath propagation. To provide a more intuitive understanding of the signal characteristics, we further examine multiple short-time segments of the received signal and analyze their corresponding frequency-domain representations.
The results in Figure 11 demonstrate that, despite strong temporal fluctuations caused by multipath propagation, the received signal consistently preserves a stable band-limited spectral structure across different time segments, with the dominant signal energy remaining concentrated in the designed 8–16 kHz band.
To further evaluate the applicability of the proposed method under realistic shallow-water acoustic communication conditions, channel parameters were extracted from the measured sea-trial data. The estimated parameters are summarized in Table 5. The channel contains seven resolvable multipath components with an excess delay spread of approximately 38 ms, indicating significant multipath propagation. Although all Doppler scaling factors are close to unity, slight variations ranging from 0.99999 to 1.00006 are observed across different paths, reflecting a typical non-uniform Doppler structure. Moreover, the path amplitudes differ substantially, with the dominant path exhibiting the highest energy and subsequent paths decaying progressively. Applying the FRSE method to this measured channel verifies its equalization and decoding performance under realistic non-uniform Doppler conditions.
For a clearer visualization, Figure 12 illustrates the reconstructed delay–amplitude and delay–Doppler distributions of the measured sea-trial channel corresponding to the parameters listed in Table 5. The joint distributions further highlight the coexistence of dense multipath propagation and slight but path-dependent Doppler variations, which are characteristic of shallow-water mobile acoustic channels.
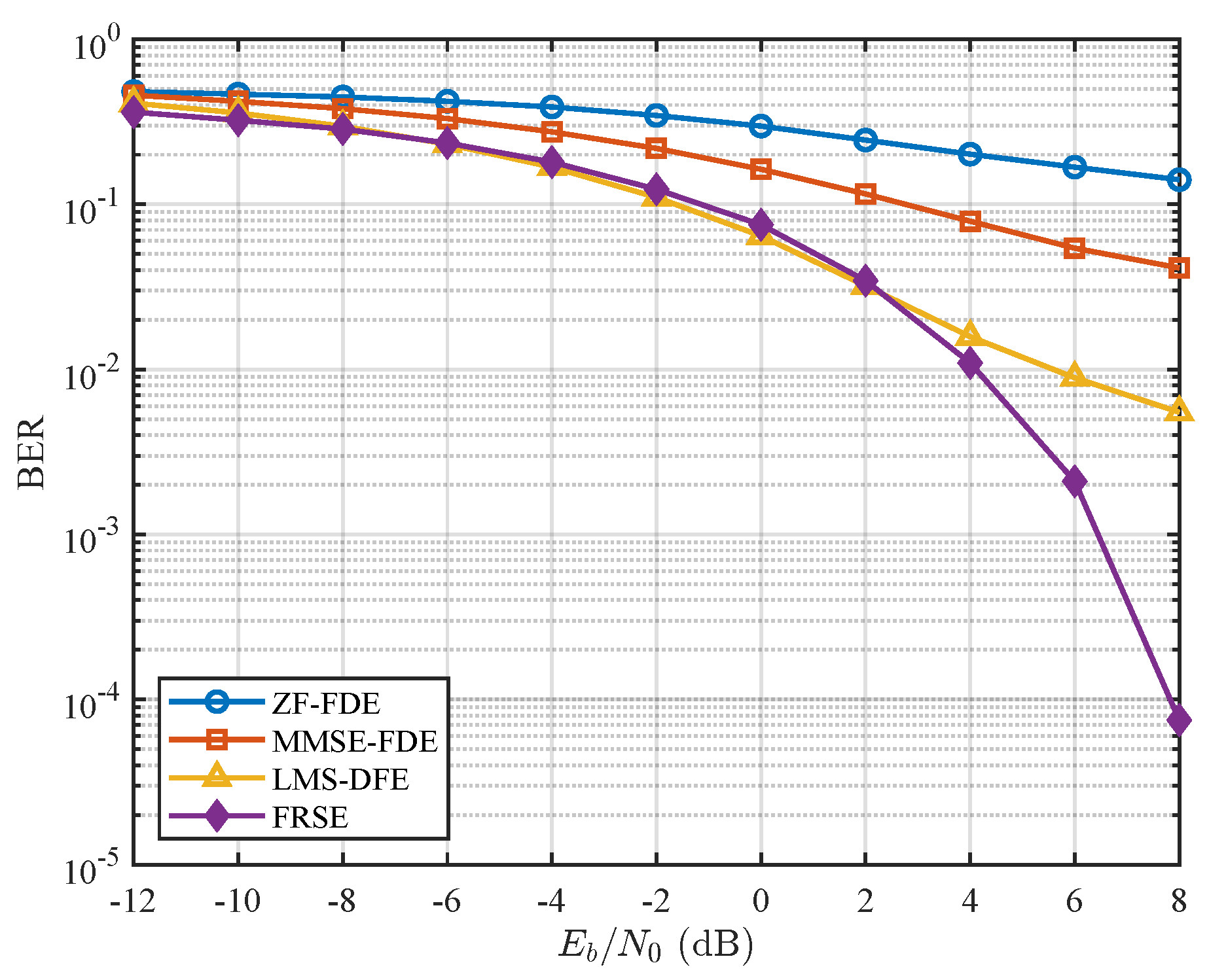
Figure 13 compares the BER performance of different equalization methods under the measured channel conditions. Conventional LTI-based equalizers struggle to compensate for the combined effects of dense multipath propagation and even mild non-uniform Doppler, resulting in a pronounced BER floor at medium-to-high E b / N 0 . In contrast, the proposed FRSE method leverages forward physical modeling to accurately capture channel time variation, and its BER continues to decrease without exhibiting an error floor. At E b / N 0 = 8 dB, FRSE achieves a BER nearly two orders of magnitude lower than the best-performing conventional method, highlighting its robustness and practical deployment potential.
To further visualize the equalization performance, Figure 14 presents the post-equalization constellation diagrams of FRSE at different E b / N 0 levels. At E b / N 0 = 0 dB, the constellation points are widely scattered and symbol clusters are indistinct. As the SNR increases to 2 and 4 dB, two clusters gradually emerge and become increasingly distinguishable. At E b / N 0 = 8 dB, the points are tightly concentrated around the ± 1 positions on the real axis, forming well-defined clusters and demonstrating strong demodulation capability under the measured sea-trial channel.

6. Conclusions

This paper addressed the fundamental challenges of high-speed shallow-water acoustic communication arising from the combined effects of severe multipath propagation and non-uniform Doppler distortion. To overcome these limitations, a forward reference-sample equalization (FRSE) method was proposed and systematically validated. Departing from conventional channel-inversion-based equalizers, FRSE adopts a forward physical modeling strategy that explicitly captures the propagation-induced distortions of each multipath component. By constructing a reference matrix consistent with the underlying channel physics, the inherently nonlinear equalization problem is transformed into a physically grounded linear least-squares detection framework.
Comprehensive simulation results and real sea-trial experiments demonstrate the effectiveness and robustness of the proposed method. In high-speed mobile scenarios, referring to shallow-water acoustic communication conditions involving relative transmitter–receiver motion with platform velocities of up to 30 kn (approximately 15.4 m/s), FRSE exhibits strong resilience to speed variations and consistently outperforms traditional linear equalization techniques, achieving significantly lower bit error rates without exhibiting an error floor.
In conclusion, the proposed FRSE method provides an effective solution to a key technical bottleneck in high-speed mobile underwater acoustic communications. Its strong adaptability to non-uniform Doppler effects, combined with reliable performance under realistic shallow-water conditions, highlights its substantial theoretical significance and promising potential for practical deployment in future underwater sensing and communication systems.

Author Contributions

Conceptualization, C.H. and F.S.; methodology, C.H. and F.S.; software, C.H. and E.J.; validation, C.H., F.S. and E.J.; formal analysis, C.H.; investigation, C.H. and E.J.; resources, F.S.; data curation, C.H.; writing—original draft preparation, C.H.; writing—review and editing, F.S.; visualization, C.H. and E.J.; supervision, F.S., P.M. and T.Y.; project administration, F.S.; funding acquisition, C.H. All authors have read and agreed to the published version of the manuscript.

Funding

This research was supported by the 760th Research Institute of China Shipbuilding Industry Corporation (Project No. H20231021).

Data Availability Statement

The data presented in this study are available within the article.

Acknowledgments

The authors gratefully acknowledge the financial support from the 760th Research Institute of China Shipbuilding Industry Corporation. The authors also thank Enhui Ji for her careful proofreading of the manuscript and valuable suggestions.

Conflicts of Interest

The authors declare no conflicts of interest. The funders had no role in the design of the study; in the collection, analyses, or interpretation of data; in the writing of the manuscript; or in the decision to publish the results.

References

  1. Zhu, M.; Wu, Y. Advances in underwater acoustic communications. Bull. Chin. Acad. Sci. 2019, 34, 289–296. [Google Scholar] [CrossRef]
  2. Qarabaqi, P.; Stojanovic, M. Statistical characterization and computationally efficient modeling of a class of underwater acoustic communication channels. IEEE J. Ocean. Eng. 2013, 38, 701–717. [Google Scholar] [CrossRef]
  3. Yin, H. Design of underwater acoustic data communication system based on suppressed carrier. Audio Eng. 2025, 49, 67–69. [Google Scholar] [CrossRef]
  4. Wang, B.; Zhi, Z.; Dai, Y. Research on non-uniform Doppler estimation method of multipath transmission in mobile underwater acoustic communication. J. Electron. Inf. Technol. 2015, 37, 733–738. [Google Scholar] [CrossRef]
  5. Liu, Y.; Huang, J.; Li, X. Modeling and Compensation of Non-Uniform Doppler Effects in Mobile Underwater Acoustic Communications. Electronics 2021, 10, 2204. [Google Scholar] [CrossRef]
  6. Yang, G.; Zhou, F.; Qiao, G.; Zhao, Y.; Liu, Y.; Lu, Y.; He, Y. Optimized Doppler Estimation and Symbol Synchronization for Mobile M-ary Spread Spectrum Underwater Acoustic Communication. J. Mar. Sci. Eng. 2021, 9, 1001. [Google Scholar] [CrossRef]
  7. Tu, X.; Li, Z.; Wei, Y.; Qu, F. Channel shortening-based single-carrier underwater acoustic communications in impulsive environment. J. Mar. Sci. Eng. 2025, 13, 103. [Google Scholar] [CrossRef]
  8. Lin, Z.; Wang, L.; Peng, C.; Zhang, S. Direct adaptive multi-resampling turbo equalizer for underwater acoustic single-carrier communication. J. Mar. Sci. Eng. 2024, 12, 1271. [Google Scholar] [CrossRef]
  9. Zhai, Y.; Li, J.; Feng, H.; Huang, F. Application research of polar coded OFDM underwater acoustic communications. EURASIP J. Wirel. Commun. Netw. 2023, 2023, 26. [Google Scholar] [CrossRef]
  10. Zhang, M.; Sun, Q.; Chen, Y. Impact of Time-Varying Doppler Distortion on Multicarrier Underwater Acoustic Communication Systems. Electronics 2022, 11, 1416. [Google Scholar] [CrossRef]
  11. Mason, S.F.; Berger, C.R.; Zhou, S.; Willett, P. Detection, synchronization, and Doppler scale estimation with multicarrier waveforms in underwater acoustic communication. IEEE J. Sel. Areas Commun. 2008, 26, 1638–1649. [Google Scholar] [CrossRef]
  12. Stojanovic, M.; Catipovic, J.; Proakis, J.G. Phase-coherent digital communications for underwater acoustic channels. IEEE J. Ocean. Eng. 1994, 19, 100–111. [Google Scholar] [CrossRef]
  13. Li, B.; Zhou, S.; Stojanovic, M.; Freitag, L.; Willett, P. Multicarrier communication over underwater acoustic channels with nonuniform Doppler shifts. IEEE J. Ocean. Eng. 2008, 33, 198–209. [Google Scholar] [CrossRef]
  14. Shen, X.; Tao, M.; Liu, F. Time-varying channel estimation for underwater acoustic communications. IEEE Trans. Signal Process. 2012, 60, 6350–6363. [Google Scholar] [CrossRef]
  15. Yerramalli, S.; Mitra, U. Optimal resampling of OFDM signals for multiscale–multilag underwater acoustic channels. IEEE J. Ocean. Eng. 2011, 36, 126–138. [Google Scholar] [CrossRef]
  16. Zhao, H.; Wang, X.; Wang, Q. Enhanced Doppler shift compensation for underwater acoustic communications using time-domain resampling. Ocean Eng. 2021, 237, 109624. [Google Scholar] [CrossRef]
  17. Qu, F.; Wang, Z.; Yang, L.; Wu, Z. A journey toward modeling and resolving Doppler in underwater acoustic communications. IEEE Commun. Mag. 2016, 54, 49–55. [Google Scholar] [CrossRef]
  18. Berger, C.; Zhou, S.; Preisig, J.; Willett, P. Sparse channel estimation for multicarrier underwater acoustic communication: From subspace methods to compressed sensing. IEEE Trans. Signal Process. 2010, 58, 1708–1721. [Google Scholar] [CrossRef]
  19. Wang, S.; Li, D.; Liu, M.; Huang, W.; Chen, H.; Cen, Y. Bayesian learning-based clustered-sparse channel estimation for time-varying underwater acoustic OFDM communication. Sensors 2021, 21, 4889. [Google Scholar] [CrossRef] [PubMed]
  20. Zhang, Y.; Li, J.; Zakharov, Y.; Qiu, R.; Chen, J. Deep learning based single carrier communications over time-varying underwater acoustic channel. IEEE Access 2019, 7, 38420–38430. [Google Scholar] [CrossRef]
  21. Huang, L.; Wang, Y.; Zhang, Q.; Han, J.; Tan, W.; Tian, Z. Machine learning for underwater acoustic communications. IEEE Wirel. Commun. 2022, 29, 102–108. [Google Scholar] [CrossRef]
  22. Liu, C.; Zakharov, Y.V.; Chen, T. Doubly selective underwater acoustic channel model for a moving transmitter/receiver. IEEE Trans. Veh. Technol. 2012, 61, 938–950. [Google Scholar] [CrossRef]
  23. He, C.; Song, T.; Wang, L.; Zhang, D. Shallow sea mobile channel estimation method based on iterative cancellation. Sensors 2025, 25, 1817. [Google Scholar] [CrossRef] [PubMed]
Figure 1. Example of a time-shifted transmit pulse p ( t - i T ) used in (7). The original pulse p ( t ) and its shifted version (e.g., i = 2 ) are shown for illustration. All waveforms are normalized and plotted in dimensionless units.
Figure 1. Example of a time-shifted transmit pulse p ( t - i T ) used in (7). The original pulse p ( t ) and its shifted version (e.g., i = 2 ) are shown for illustration. All waveforms are normalized and plotted in dimensionless units.
Electronics 15 00650 g001
Figure 2. Visualization of FRSE forward reference-sample construction under a 20 kn non-uniform Doppler channel. The amplitudes shown in both subfigures are normalized and dimensionless. (a) Forward reference sample g i ( t ) . (b) Path delay–magnitude structure.
Figure 2. Visualization of FRSE forward reference-sample construction under a 20 kn non-uniform Doppler channel. The amplitudes shown in both subfigures are normalized and dimensionless. (a) Forward reference sample g i ( t ) . (b) Path delay–magnitude structure.
Electronics 15 00650 g002
Figure 3. Time– and frequency-domain representations of the simulated equivalent baseband signals under a representative non-uniform Doppler multipath channel. (a) Time-domain waveform of the transmitted signal (zoom-in). (b) Corresponding power spectral density (PSD) of the transmitted signal. (c) Time-domain waveform of the received signal after multipath propagation and non-uniform Doppler distortion. (d) Corresponding PSD of the received signal.
Figure 3. Time– and frequency-domain representations of the simulated equivalent baseband signals under a representative non-uniform Doppler multipath channel. (a) Time-domain waveform of the transmitted signal (zoom-in). (b) Corresponding power spectral density (PSD) of the transmitted signal. (c) Time-domain waveform of the received signal after multipath propagation and non-uniform Doppler distortion. (d) Corresponding PSD of the received signal.
Electronics 15 00650 g003
Figure 4. Normalized multipath parameter distribution of a shallow-water acoustic channel with a relative platform speed of 20 kn. The different colored markers/lines correspond to different resolvable propagation paths, and indicate the path-dependent normalized amplitude as a function of propagation delay and Doppler time-scaling factor. Note that the delays shown are absolute propagation delays; the excess delay spread across paths is on the millisecond scale.
Figure 4. Normalized multipath parameter distribution of a shallow-water acoustic channel with a relative platform speed of 20 kn. The different colored markers/lines correspond to different resolvable propagation paths, and indicate the path-dependent normalized amplitude as a function of propagation delay and Doppler time-scaling factor. Note that the delays shown are absolute propagation delays; the excess delay spread across paths is on the millisecond scale.
Electronics 15 00650 g004
Figure 5. BER performance of the proposed FRSE method under different platform speeds. The overlapping curves observed in the high-SNR region indicate that the proposed FRSE method exhibits comparable BER performance across different speeds; this overlap does not affect the interpretation of the overall performance trends.
Figure 5. BER performance of the proposed FRSE method under different platform speeds. The overlapping curves observed in the high-SNR region indicate that the proposed FRSE method exhibits comparable BER performance across different speeds; this overlap does not affect the interpretation of the overall performance trends.
Electronics 15 00650 g005
Figure 6. BER comparison of FRSE and conventional equalizers (ZF-FDE, MMSE-FDE, LMS-DFE) versus platform speed at E b / N 0 = 8 dB.
Figure 6. BER comparison of FRSE and conventional equalizers (ZF-FDE, MMSE-FDE, LMS-DFE) versus platform speed at E b / N 0 = 8 dB.
Electronics 15 00650 g006
Figure 7. BER comparison of different equalization methods at a platform speed of 20 kn.
Figure 7. BER comparison of different equalization methods at a platform speed of 20 kn.
Electronics 15 00650 g007
Figure 8. Post-equalization constellation diagrams under the 20 kn channel condition. The top row (ac) corresponds to the proposed FRSE method, while the bottom row (df) corresponds to the LMS-DFE method. From left to right, the columns represent E b / N 0 levels of 0, 4, and 8 dB.
Figure 8. Post-equalization constellation diagrams under the 20 kn channel condition. The top row (ac) corresponds to the proposed FRSE method, while the bottom row (df) corresponds to the LMS-DFE method. From left to right, the columns represent E b / N 0 levels of 0, 4, and 8 dB.
Electronics 15 00650 g008
Figure 9. Schematic illustration of the sea-trial experimental geometry. The underwater acoustic transmitter and receiver were deployed at a working depth of approximately 10 m in a shallow-water environment with an average water depth of about 50 m. The horizontal separation between the transmitter and receiver was on the kilometer scale.
Figure 9. Schematic illustration of the sea-trial experimental geometry. The underwater acoustic transmitter and receiver were deployed at a working depth of approximately 10 m in a shallow-water environment with an average water depth of about 50 m. The horizontal separation between the transmitter and receiver was on the kilometer scale.
Electronics 15 00650 g009
Figure 10. Time-domain waveforms of the (a) transmitted and (b) received signals from the sea trial.
Figure 10. Time-domain waveforms of the (a) transmitted and (b) received signals from the sea trial.
Electronics 15 00650 g010
Figure 11. Time– and frequency-domain representations of the received sea-trial signal for different short-time segments (cases). (a,b) Case 1; (c,d) Case 2; (e,f) Case 3. The effective signal bandwidth is concentrated in the 8–16 kHz band.
Figure 11. Time– and frequency-domain representations of the received sea-trial signal for different short-time segments (cases). (a,b) Case 1; (c,d) Case 2; (e,f) Case 3. The effective signal bandwidth is concentrated in the 8–16 kHz band.
Electronics 15 00650 g011
Figure 12. Delay–amplitude and delay–Doppler distributions of the measured sea-trial channel corresponding to Table 5. (a) Delay–amplitude distribution. (b) Delay–Doppler distribution.
Figure 12. Delay–amplitude and delay–Doppler distributions of the measured sea-trial channel corresponding to Table 5. (a) Delay–amplitude distribution. (b) Delay–Doppler distribution.
Electronics 15 00650 g012
Figure 13. Performance comparison of equalization methods using the measured sea-trial channel.
Figure 13. Performance comparison of equalization methods using the measured sea-trial channel.
Electronics 15 00650 g013
Figure 14. Post-equalization constellations of FRSE on the measured sea-trial channel at E b / N 0 = { 0 , 2 , 4 , 8 } dB.
Figure 14. Post-equalization constellations of FRSE on the measured sea-trial channel at E b / N 0 = { 0 , 2 , 4 , 8 } dB.
Electronics 15 00650 g014
Table 1. Summary of computational complexity for different equalization configurations.
Table 1. Summary of computational complexity for different equalization configurations.
MethodComplexity FunctionDominant Stage
DFE O ( N L ) Symbol-by-symbol filtering
FRSE (Direct) O ( N 2 N r + N 3 ) Gram matrix formation and QR factorization
FRSE (Iterative) O ( N K N r + I N r N ) Reference matrix construction and LSQR iterations
Table 2. Simulation parameters of the DSSS communication system.
Table 2. Simulation parameters of the DSSS communication system.
ParameterValue
Modulation schemeBPSK
Spreading codem-sequence ( g ( x ) = x 7 + x + 1 )
Code length127 chips
Chip rate12 kcps
Main-lobe bandwidth≈24 kHz
Carrier frequency25 kHz
Sampling frequency96 kHz
Table 3. Geometric and environmental parameters of the multipath underwater acoustic channel.
Table 3. Geometric and environmental parameters of the multipath underwater acoustic channel.
ParameterValue
Number of paths5
Water depth H50 m
Horizontal range R1000 m
Source depth z s 10 m
Receiver depth z r 20 m
Sound speed c s 1500 m/s
Platform speed5–30 kn
Table 4. Doppler time-scaling factors κ i for each path under different platform speeds.
Table 4. Doppler time-scaling factors κ i for each path under different platform speeds.
Speed v (kn) κ 1 κ 2 κ 3 κ 4 κ 5
01.0000001.0000001.0000001.0000001.000000
101.0034291.0034281.0034211.0034161.003409
201.0068591.0068561.0068431.0068321.006818
301.0102881.0102841.0102641.0102481.010227
Table 5. Estimated multipath channel parameters derived from sea-trial data.
Table 5. Estimated multipath channel parameters derived from sea-trial data.
Path Index (k)Delay τ k (ms)Magnitude | A k | ( × 10 5 ) Doppler Factor κ k
135.03126.211.000002
234.84421.661.000004
337.31215.871.000026
437.14614.651.000001
535.29214.191.000003
635.14611.800.999999
737.9909.241.000058
Disclaimer/Publisher’s Note: The statements, opinions and data contained in all publications are solely those of the individual author(s) and contributor(s) and not of MDPI and/or the editor(s). MDPI and/or the editor(s) disclaim responsibility for any injury to people or property resulting from any ideas, methods, instructions or products referred to in the content.

Share and Cite

MDPI and ACS Style

He, C.; Sun, F.; Ji, E.; Min, P.; You, T. Forward Reference-Sample Equalization for High-Speed Shallow-Water Acoustic Communication. Electronics 2026, 15, 650. https://doi.org/10.3390/electronics15030650

AMA Style

He C, Sun F, Ji E, Min P, You T. Forward Reference-Sample Equalization for High-Speed Shallow-Water Acoustic Communication. Electronics. 2026; 15(3):650. https://doi.org/10.3390/electronics15030650

Chicago/Turabian Style

He, Cheng, Fei Sun, Enhui Ji, Pingyang Min, and Tanghao You. 2026. "Forward Reference-Sample Equalization for High-Speed Shallow-Water Acoustic Communication" Electronics 15, no. 3: 650. https://doi.org/10.3390/electronics15030650

APA Style

He, C., Sun, F., Ji, E., Min, P., & You, T. (2026). Forward Reference-Sample Equalization for High-Speed Shallow-Water Acoustic Communication. Electronics, 15(3), 650. https://doi.org/10.3390/electronics15030650

Note that from the first issue of 2016, this journal uses article numbers instead of page numbers. See further details here.

Article Metrics

Back to TopTop