Next Article in Journal
A Deep Reinforcement Learning-Based Approach for Bandwidth-Aware Service Function Chaining
Next Article in Special Issue
Capacity Configuration and Scheduling Optimization on Wind–Photovoltaic–Storage System Considering Variable Reservoir–Irrigation Load
Previous Article in Journal
A Systematic Literature Review of Augmented Reality’s Development in Construction
Previous Article in Special Issue
Delayed Sampling-Based Power Grid Parameter Modeling and Estimation Method for Wind Power System with DC Component
 
 
Font Type:
Arial Georgia Verdana
Font Size:
Aa Aa Aa
Line Spacing:
Column Width:
Background:
Article

A Novel Switching Sequence Control Strategy for Reference Tracking in Power Converters

1
State Key Laboratory of HVDC, Electric Power Research Institute, China Southern Power Grid, Guangzhou 510663, China
2
School of Mechano-Electronic Engineering, Xidian University, Xi’an 710071, China
*
Author to whom correspondence should be addressed.
Electronics 2026, 15(1), 226; https://doi.org/10.3390/electronics15010226
Submission received: 26 November 2025 / Revised: 30 December 2025 / Accepted: 31 December 2025 / Published: 3 January 2026

Abstract

With the growing penetration of wind energy into modern power grids, the demand for high-performance converter control has increased significantly. In particular, precise current reference tracking is essential to guarantee efficient energy conversion and robust system operation under dynamic wind and grid variations. This paper addresses the challenge of precise reference tracking in power converters by introducing a novel switching sequence control (SSC) strategy. The proposed method is systematically developed and demonstrated through a step-by-step application to a power converter. More importantly, the SSC framework enables a systematic and accurate analysis of converter performance in both dynamic and steady-state regimes. The effectiveness and practicality of the proposed control strategy are validated through comprehensive simulation and experimental results.

Graphical Abstract

1. Introduction

In recent decades, significant advancements in power electronics have led to the extensive employment of switching devices such as MOSFETs and IGBTs in a wide range of power converters and power systems [1,2,3,4,5,6]. These switching devices enable high-efficiency energy conversion and flexible power regulation, and have become fundamental components in modern power electronic applications, including renewable energy systems, motor drives, and power supply units. For such power switching systems [7], the control objectives invariably involve achieving high tracking accuracy together with fast dynamic response under varying operating conditions, parameter uncertainties, and external disturbances. Accurate tracking performance is essential for ensuring power quality and reliable operation, while fast dynamic behavior is required to satisfy increasingly stringent performance demands in practical applications. Although numerous control methods have been proposed in the literature to address these challenges [8,9,10,11], many existing approaches primarily emphasize control performance or implementation aspects. As a result, they often lack a comprehensive theoretical foundation that enables rigorous and systematic analysis of system stability and tracking error characteristics.
Modulation techniques for switching power converters are typically derived from continuous control theories to achieve diverse objectives, such as precise reference tracking, current regulation, voltage synthesis, and power injection [12,13]. Among these methods, pulse width modulation (PWM) [14] is a commonly employed technique, whose operational principle is illustrated in Figure 1.
Figure 1 shows the controller producing a continuous signal that the PWM block converts into switching commands. When driven by either the original continuous signal or its PWM equivalent, the inertial system exhibits nearly identical low-frequency dynamic response (Figure 2 and Figure 3). Consequently, the PWM signal can effectively substitute the continuous control input, thereby achieving the desired control objectives for the switching power system.
By leveraging averaged models of power switches, a standard PWM design approach employs continuous controllers, which offers significant design simplicity [15]. Consequently, a variety of advanced modulation techniques [16,17,18], such as sinusoidal PWM (SPWM) [19] and space vector PWM (SVPWM) [20], have been developed to improve tracking accuracy. However, the analysis of stability and tracking performance for these methods relies on continuous average models, not the actual switching states. This approach neglects the high-frequency distinctions between continuous PWM signals and inputs (Figure 3), thereby introducing errors between the model and the real system. Consequently, this strong dependency on averaged models yields inaccurate assessments of stability and tracking errors.
In addition, many power devices are used in grid applications, where the PWM-based analysis in terms of dynamics and tracking accuracy is then inaccurate. When plenty of power devices and converters are added, the cross-coupling effect between each them further complicates the analysis. Stability and tracking accuracy thus become central concerns in switching power systems. For example, in [21], it has been pointed out that the traditional PWM frame of multi-parallel converters results in high-frequency oscillations in power systems. A global synchronous PWM scheme was then proposed in [21] to suppress such high-frequency harmonics. Moreover, the extended methods of [22,23] controlled the carrier phases of the PWM to reduce the high-frequency oscillations. In summary, it has been confirmed that switching control strategies of multiple power converters may significantly affect the entire system performance, e.g., stability. Unfortunately, the above-mentioned methods have not provided a systematic way to analyze the stability and tracking accuracy in theory, which then hinders the development of novel control strategies.
Model predictive control (MPC) has emerged as an effective switching control strategy and has been extensively applied in various power electronic systems [24,25]. By leveraging predictive information derived from accurate system models, MPC can select optimal switching actions to achieve enhanced control performance, as demonstrated in [26]. Over the past decades, numerous advanced MPC schemes have been proposed to further improve the regulation of power converters [27,28,29]. The stability of these controllers has been analyzed using Lyapunov-based methods, proving that MPCs can maintain bounded system responses [30]. Nevertheless, the conventional MPC frameworks rely on discretized converter models, limiting detailed representation in the continuous-time domain and hindering precise analysis of tracking errors.
In this study, a switching sequence control (SSC) approach is developed to ensure high-precision tracking performance in power electronic converters. The proposed method establishes a rigorous theoretical framework that allows for systematic analysis of system stability and steady-state tracking characteristics. The converter control problem is first reformulated into an SSC framework from a mathematical standpoint. To clarify the operational concept, the design and implementation procedures are exemplified using an H-bridge converter. Subsequently, a detailed stepwise design process is introduced to realize the SSC scheme. A formal proof is presented to demonstrate that the closed-loop system satisfies input-to-state stability (ISS). Moreover, the tracking behavior is quantitatively characterized within this control framework. Finally, both simulation studies and experiments results confirm the effectiveness and robustness of the proposed control method.

2. Problem Formulation of Switching Sequence Control

In power converter systems, achieving accurate reference tracking is crucial. Consider a switching power system described by
x ˙ = f ( x , u δ ( t ) )
y ( t ) = h ( x ( t ) )
An effective controller is expected to make the output y ( t ) follow a desired reference y r e f ( t ) with minimal tracking error. Due to the binary nature of switching devices, which can only be in either the on or off state, the input u δ ( t ) is drawn from a finite set defined as
U s e t = { U 1 ,   U 2 ,   ,   U q }
Considering these switching constraints, the control problem for such systems can be formulated as a switching sequence control (SSC) problem, which is described in detail below:
Switching Sequence Control (SSC): The switching sequence t δ = t 1 ,   t 2 ,   ,   t k ,   is defined by selecting an input sequence U δ = U δ 1 ,   U δ 2 ,   ,   U δ k ,   from the finite set in (3), such that
x ˙ = f ( x , U δ k ) ,   t [ t k 1 , t k ) ,
such that the output y ( t ) = h ( x ( t ) ) tracks the reference y r e f ( t ) . A step-by-step design procedure for the SSC method is detailed as follows and illustrated in Figure 4.
Step 1: Select the input sequence U δ = { U δ 1 ,   U δ 2 ,   ,   U δ k ,   } from the finite input set (3);
Step 2: Design a time switching sequence as t δ = { t 1 ,   t 2 ,   ,   t k ,   } to decide the last time of inputs U δ 1 ,   U δ 2 ,   ,   U δ k ,   ;
Step 3: Based on the derived switching law, the controller is formulated as
u δ ( t ) = U δ k ,   t [ t k 1 , t k ) , with k = 1 ,   2 ,  
Following the above steps, zero-error tracking of references can be achieved.

3. Design of the SSC

The core of the switching sequence controller (SSC) design lies in constructing the input sequence U δ = { U δ 1 ,   U δ 2 ,   ,   U δ k ,   } and its corresponding switching time sequence t δ = { t 1 ,   t 2 ,   ,   t k ,   } . This study demonstrates the design process using an H-bridge converter (Figure 5) as a case study: first, the converter control is formulated as an SSC problem; subsequently, the method for designing sequences t δ and U δ is introduced to achieve precise tracking; finally, a theoretical analysis of stability and tracking error is provided.
As depicted in Figure 5, The H-bridge converter system consists of a DC source U, a load resistor R, an inductor L, and four switches S W 1 4 , with its dynamics governed by
x ˙ ( t ) = γ x ( t ) + u δ ( t )
y ( t ) = x ( t )
where x ( t ) = i ( t ) defines the output current, γ = R / L is the system parameter, and u δ ( t ) is the input voltage. The H-bridge converter constrains u δ ( t ) to the discrete set U set = { U , U , 0 } , with U being the DC source voltage. The sequences t δ and U δ are then synthesized to achieve precise tracking of the reference current i r e f ( t ) .
To design the switching sequences, we first provide the analytical solution of the system described by (6) and (7) under predefined input and time-switching sequences. With the tracking error defined as x ˜ ( t ) = x ( t ) i r e f , the system dynamics in (6) transform to
x ˜ ˙ ( t ) = γ x ( t ) + u δ ( t ) i ˙ r e f = γ x ˜ ( t ) + u δ ( t ) γ i r e f i ˙ r e f ,
The analytic solution to system (8) is given by
x ˜ ( t ) = e γ t x ˜ ( 0 ) + 0 t [ u δ ( τ ) γ i r e f i ˙ r e f ] e γ τ d τ e γ t
The controller is derived according to the SSC procedure in Section 2:
Step 1. Define the alternating input sequence: U δ = { U δ 1 , U δ 2 , , U δ k , } as
U δ = { U δ 1 , U δ 2 , U δ 3 , U δ 4 , , U δ 2 k 1 , U δ 2 k , } = { U , U , U , U , , U , U , }
Step 2. Set the switching time sequence with period T:
t δ = { t 1 , t 2 , t 3 , t 4 , , t 2 k 1 , t 2 k , } = { t 1 , T , t 3 , 2 T , , t 2 k 1 , k T , }
i.e., t 2 , t 4 , , t 2 k , is fixed as T , 2 T , , k T , , respectively.
Step 3. Construct the controller:
u δ ( t ) = U δ k ,   t [ t k 1 , t k ) , with k = 1 ,   2 ,  
The final switching sequence controller is obtained by substituting the sequences from (10) and (11) into this construction
u δ ( t ) = U , t [ k T T , t 2 k 1 ) , U , t [ t 2 k 1 , k T ) , with k = 1 ,   2 ,  
This section presents the design of the time instants t 1 , t 3 , , t 2 k 1 , for achieving accurate current tracking. Considering an arbitrary time t [ m T , ( m + 1 ) T ) , the solution to system (8), based on the preceding derivation, is given by
x ˜ ( t ) = e γ t x ˜ ( 0 ) + 0 t 1 [ U γ i r e f i ˙ r e f ] e γ τ d τ e γ t + t 1 T [ U γ i r e f i ˙ r e f ] e γ τ d τ e γ t + + ( m 1 ) T t 2 m 1 [ U γ i r e f i ˙ r e f ] e γ τ d τ e γ t + t 2 m 1 m T [ U γ i r e f i ˙ r e f ] e γ τ d τ e γ t + m T t [ u δ ( τ ) γ i r e f i ˙ r e f ] e γ τ d τ e γ t .
Choosing the time sequence t 1 ,   t 3 ,   ,   t 2 m 1 ,   satisfying
( k 1 ) T t 2 k 1 [ U γ i r e f i ˙ r e f ] e γ τ d τ + t 2 k 1 k T [ U γ i r e f i ˙ r e f ] e γ τ d τ = 0
for k = 1 ,   ,   m ,   , it follows that
x ˜ ( t ) = e γ t x ˜ ( 0 ) + m T t [ u δ ( τ ) γ i r e f i ˙ r e f ] e γ τ d τ e γ t
From (15), we obtain
( k 1 ) T t 2 k 1 U e γ τ d τ t 2 k 1 k T U e γ τ d τ = ( k 1 ) T k T [ γ i r e f + i ˙ r e f ] e γ τ d τ
Substituting the above into the equation yields, we have
U γ [ e γ t 2 k 1 e γ ( k 1 ) T ] U γ [ e γ k T e γ t 2 k 1 ] = i r e f ( k T ) e γ k T i r e f ( k T T ) e γ ( k 1 ) T
Thus, t 1 , t 3 , , t 2 k 1 , can be derived as
t 2 k 1 = ( k 1 ) T + 1 γ ln 1 2 ( 1 + e γ T ) + γ 2 U [ i r e f ( k T ) e γ T i r e f ( k T T ) ]
with k = 1 , 2 , , ultimately yielding the SSC in (13). Figure 6 illustrates the overall design procedure and the implementation of the proposed controller. With the designed controller, the stability and tracking errors of the switching power system are analyzed.
Theorem 1.
Consider the system (8), if the switching sequences are chosen according to (10)–(12) and the time sequences t 1 ,   t 3 ,   ,   t 2 m 1 ,   satisfy (19), then
x ˜ ( k T ) = e γ k T x ˜ ( 0 ) ,
| x ˜ ( t ) | e γ t | x ˜ ( 0 ) | + U γ i min i min γ ( 1 e γ T ) ,
where i min = min t [ 0 , ) i r e f ( t ) and i min = min t [ 0 , ) i ˙ r e f ( t ) . The reference current i ref ( t ) is assumed to be differentiable. Moreover, in practical implementations, i ref ( t ) is inherently bounded due to physical hardware constraints, such as device ratings and circuit parameters. The proof of Theorem 1 is as follows.
Remark 1.
Equations (20) and (21) provide an explicit bound on the tracking error. A smaller control period T results in a tighter bound, since the switching sequence is updated more frequently. Moreover, Equation (21) indicates that the steady-state error bound is jointly influenced by the system parameter γ, and experimental results presented in Section 5 also confirm that smaller γ leads to improved tracking accuracy.
Proof. 
From (16), we have
x ˜ ( k T ) = e γ k T x ˜ ( 0 ) + ( k 1 ) T k T [ u δ ( τ ) γ i r e f i ˙ r e f ] e γ τ d τ e γ t = e γ k T x ˜ ( 0 ) + ( k 1 ) T t 2 k 1 [ U γ i r e f i ˙ r e f ] e γ τ d τ + t 2 k 1 2 k T [ U γ i r e f i ˙ r e f ] e γ τ d τ e γ k T
With (15), it yields
x ˜ ( k T ) = e γ k T x ˜ ( 0 ) .
Furthermore, for any t [ k T , ( k + 1 ) T ) , it follows from (16) that
| x ˜ ( t ) | e γ t | x ˜ ( 0 ) | + k T t [ u δ ( τ ) γ i r e f i ˙ r e f ] e γ τ d τ e γ t e γ t | x ˜ ( 0 ) | + k T t | u δ ( τ ) γ i r e f i ˙ r e f | e γ τ d τ e γ t e γ t | x ˜ ( 0 ) | + ( U γ i min i min ) k T t e γ τ d τ e γ t e γ t | x ˜ ( 0 ) | + U γ i min i m i n γ ( e γ t e γ k T ) e γ t e γ t | x ˜ ( 0 ) | + U γ i min i m i n γ ( 1 e γ T )
The proof is completed. □

4. Simulation Results

This section presents simulation studies conducted on a primary H-bridge circuit to validate the proposed SSC method and Theorem 1. The SSC strategy, defined in (10)–(12) and (19), is implemented on the H-bridge converter, and the main circuit parameters are first specified to provide a clear simulation basis. The system was configured with the following parameters: U = 40 V , R = 30 Ω , L = 9 mH , and T = 100 μs.
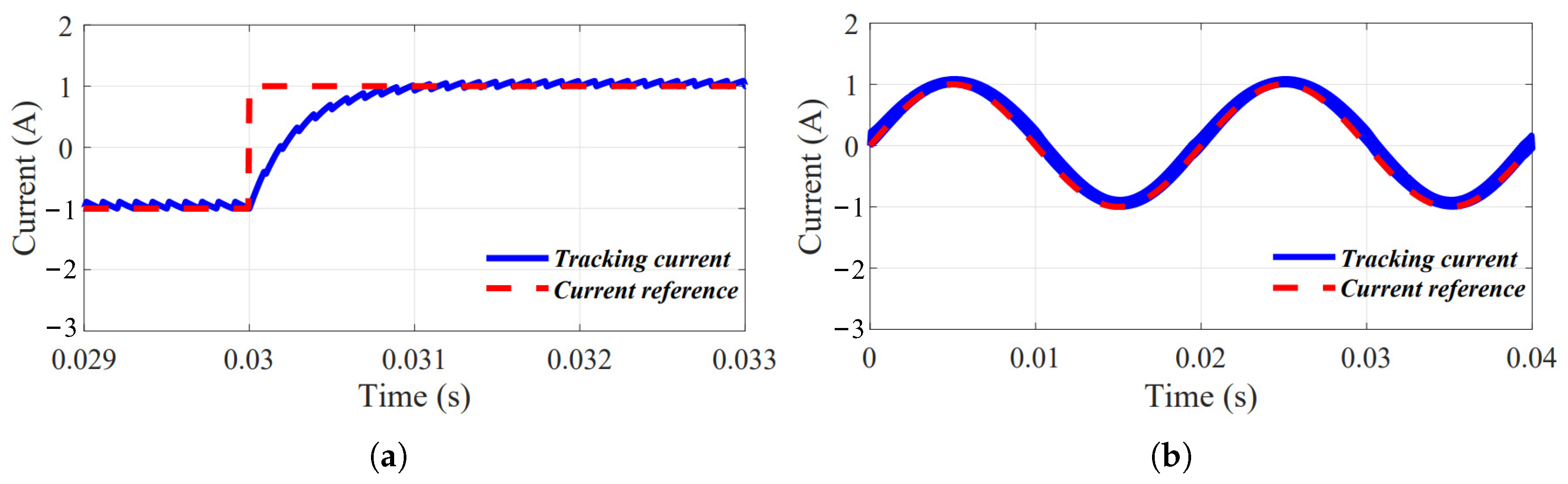
To demonstrate the fundamental tracking capability of the proposed method, Figure 7 presents the system responses under different reference signals. A step-change current reference is applied to examine the transient behavior, while a sinusoidal reference is used to evaluate steady-state tracking performance. Figure 7a illustrates the current response when a step reference changes from 1 A to 1 A . It can be observed that the output current follows the reference with a fast transient response and limited deviation. Figure 7b shows the tracking performance under a sinusoidal reference, where the output current closely follows the reference signal over time. These results demonstrate the basic effectiveness of the proposed SSC in tracking typical reference signals.
The simulation results in Figure 8, Figure 9 and Figure 10 further investigate the influence of key system parameters on the tracking behavior, providing a numerical validation of the theoretical analysis in Theorem 1. Figure 8 presents the tracking error comparisons under different control periods T. As shown in Figure 8a–c, when the control period decreases from 100 μs to 20 μs, the amplitude of the tracking error is significantly reduced, while the overall tracking behavior remains stable. This observation indicates that a smaller control period allows the switching sequence to be updated more frequently, resulting in a finer approximation of the reference signal. These results are consistent with the theoretical conclusion in Theorem 1.
Figure 9 illustrates the effect of different system parameters γ on the tracking performance. As shown in Figure 9a–c, reducing the value of γ leads to a noticeable decrease in the tracking error magnitude. Meanwhile, the tracking current continues to follow the reference signal without instability. This behavior confirms the role of γ in shaping the tracking error characteristics, as discussed in the theoretical analysis.
Figure 10 shows the tracking performance under different DC source voltages U. It can be observed from Figure 10a–c that a lower DC voltage results in smaller tracking errors, while the overall tracking trend remains unchanged. This result further validates the theoretical analysis in Theorem 1, indicating that the DC source voltage has a direct impact on the achievable tracking accuracy of the switching power system.
Overall, the simulation results in Figure 7, Figure 8, Figure 9 and Figure 10 demonstrate that the proposed SSC method exhibits tracking behaviors that are consistent with the theoretical predictions, thereby confirming the correctness and applicability of the developed theoretical framework.

5. Experimental Results

In this section, the proposed SSC is implemented on an experimental setup based on the DSP TMS320F28379 platform for the H-bridge converter. The experimental platform is shown in Figure 11. The H-bridge power converter is implemented using IGBTs (IGP20N65H5, Infineon Technologies, Neubiberg, Germany). The IGBT gate signals are driven by a ULN2003ADR driver (Texas Instruments, Dallas, TX, USA). The output current is measured using a precision current sensor (AMC1304M25DW, Texas Instruments). The sensed signal is subsequently conditioned by an OPA4350UA operational amplifier (Texas Instruments) and then fed into the ADC module of the digital signal processor (DSP TMS320F28379, Texas Instruments. The control system is implemented on a DSP TMS320F28379 (Texas Instruments), which serves as the main controller. The performance of the controller is evaluated through the following test cases.
Case A investigates the transient response under a step current reference, and the experimental parameters are configured as follows: U = 40 V , R = 30 Ω , L = 9 mH , and T = 100 μs. As shown in Figure 12, when the reference current changes from 1 A to 1 A , the proposed SSC exhibits precise step-reference tracking with negligible steady-state error, combined with a rapid transient response of approximately 0.5 ms. This result demonstrates that the proposed SSC can maintain stable operation and effective reference tracking during abrupt changes.
Case B evaluates the steady-state tracking performance using a sinusoidal current reference with an amplitude of 1 A . The system parameters are consistent with those used in Case A. Figure 13 shows that the output current closely follows the sinusoidal reference over time. Although small errors are observed in the experimental waveform, the actual current remains confined within a narrow range around the reference signal. Overall, the results indicate that the proposed method achieves reliable steady-state tracking in a practical circuit.
Case C examines the influence of the control period T on the tracking behavior. In this case, the control periods are set as T = 100 μs, T = 50 μs and T = 20 μs, respectively. The steady-state accuracy is compared in Figure 14. The reference current is a 0.5 A DC signal. The parameters are U = 50 V , R = 52 Ω , L = 3 mH . As illustrated in Figure 13, reducing the control period leads to a noticeable decrease in the tracking error amplitude. Although small oscillations are observed in the experimental waveform, the actual current remains confined within a narrow range around the reference signal. These oscillations are mainly caused by unavoidable non-ideal factors in practical systems, such as switching delays, component tolerances, and measurement noise. This experimental observation confirms the theoretical analysis that a smaller control period allows for more frequent updates of the switching sequence, resulting in finer tracking of the reference signal. The experimental results are in close agreement with the conclusions drawn in Theorem 1.
Case D analyzes the effect of the system parameter γ on tracking performance. In this case, the system parameters γ = R / L are selected as 10,000, 5000, and 3333. The tracking accuracy is compared in Figure 15. The reference current is set as a 0.5 A DC current. The parameters are U = 70 V and T = 50 μs. Figure 14 shows that smaller values of γ lead to reduced tracking errors, while the system remains stable. This behavior further validates the theoretical analysis, demonstrating that γ plays a key role in shaping the tracking error characteristics of the SSC-controlled system.
Case E studies the impact of different DC source voltages U. In this part, the DC sources are selected as 40 V , 70 V , and 100 V , respectively. The steady-state accuracy is compared in Figure 16. The reference current is set as 0.5 A . The parameters are T = 50 μs, R = 52 Ω , L = 3 mH . As shown in Figure 16, lower DC voltages result in smaller tracking errors, whereas higher voltages increase the fluctuation amplitude of the tracking error. As shown in Figure 16, the small DC source has a good tracking accuracy, which has theoretically been proved in (21) of Theorem 1.
In summary, the proposed method has good tracking performance in both dynamics and steady-state. Meanwhile, the experimental results in Case C–Case E further verify Theorem 1.

6. Conclusions

This study proposes an innovative switching sequence control (SSC) strategy tailored for switching power converters. The SSC methodology is first constructed via rigorous mathematical derivation, followed by a comprehensive and systematic design workflow to ensure both theoretical rigor and practical feasibility. To empirically validate the proposed strategy, an H-bridge converter is employed as a representative experimental platform. Numerical simulations and hardware experiments demonstrate that the proposed SSC framework achieves accurate transient dynamic response and steady-state tracking performance, thereby verifying the effectiveness of the proposed approach.
It is worth noting that the present study is limited to a single-phase H-bridge converter. Extending the proposed SSC framework to higher-order systems, such as three-phase and multi-phase converters, constitutes an important direction for future research. In addition, further investigation into the integration and systematic comparison of SSC with multi-parallel converter systems employing global synchronous PWM strategies, as discussed in the literature, is also identified as a promising avenue for future work.

Author Contributions

Conceptualization, Y.T., Y.Z. and G.L.; methodology, Y.Z. and G.W.; software, Y.T. and W.H.; validation, Y.T. and G.L.; formal analysis, G.W. and W.H.; writing—original draft preparation, Y.T. and Y.Z.; writing—review and editing, Y.T., G.W. and Z.Z.; supervision, Y.T. and G.L.; project administration, Y.T. and G.L.; funding acquisition, Z.D. and Y.T. All authors have read and agreed to the published version of the manuscript.

Funding

This work was supported by the National Key Research and Development Program of China under Grant 2023YFB4203200.

Data Availability Statement

Data is contained within the article.

Conflicts of Interest

Authors Yujia Tang and Yihua Zhu were employed by the company State Key Laboratory of HVDC, Electric Power Research Institute, China Southern Power Grid. The remaining authors declare that the research was conducted in the absence of any commercial or financial relationships that could be construed as a potential conflict of interest.

Abbreviations

The following abbreviations are used in this manuscript:
SSCSwitching Sequence Control
PWMpulse-width modulation
MPCmodel predictive
ISSinput-to-state stability

References

  1. Han, L.; Liang, L.; Kang, Y.; Qiu, Y. A Review of SiC IGBT: Models, Fabrications, Characteristics, and Applications. IEEE Trans. Power Electron. 2021, 36, 2080–2093. [Google Scholar] [CrossRef]
  2. Xu, Y.; Li, F.; Yin, C.; Liu, J. Large Disturbance Stability Analysis of Wind Power All DC System Based on Lyapunov Method. South. Power Syst. Technol. 2025, 1–13. Available online: https://nfdwjs.csg.cn/gateway-web/en/debutDetail.html?serialNum=20241108003 (accessed on 26 December 2025).
  3. Yang, H.; Zhou, J.; Huang, L.; Zhou, J. CCS-MPC Control Strategy for MMC Power Electronic Transformers Based on SAADR-PI Under Non-Ideal Conditions. South. Power Syst. Technol. 2024, 18, 11–22. [Google Scholar]
  4. Wang, Z.; Luo, Q.; Wei, Y.; Mou, D.; Lu, X.; Sun, P. Topology Analysis and Review of Three-Port DC–DC Converters. IEEE Trans. Power Electron. 2020, 35, 11783–11800. [Google Scholar] [CrossRef]
  5. Bhattacharjee, A.K.; Kutkut, N.; Batarseh, I. Review of Multiport Converters for Solar and Energy Storage Integration. IEEE Trans. Power Electron. 2019, 34, 1431–1445. [Google Scholar] [CrossRef]
  6. Teodorescu, R.; Liserre, M.; Rodriguez, P. Grid Converters for Photovoltaic and Wind Power Systems; John Wiley & Sons, Ltd.: Hoboken, NJ, USA, 2010. [Google Scholar]
  7. Kolar, J.W.; Friedli, T.; Rodriguez, J.; Wheeler, P.W. Review of Three-Phase PWM AC–AC Converter Topologies. IEEE Trans. Ind. Electron. 2011, 58, 4988–5006. [Google Scholar] [CrossRef]
  8. Li, A.; Jiang, D.; Liu, Z.; Sun, X. Generalized PWM Method for Series-end Winding Motor Drive. IEEE Trans. Power Electron. 2020, 36, 4452–4462. [Google Scholar] [CrossRef]
  9. Huang, Y.; Walden, J.; Foote, A.; Bai, H.; Lu, D.; Jin, F.; Cheng, B. Analytical Characterization of CM and DM Performance of Three-Phase Voltage-Source Inverters Under Various PWM Patterns. IEEE Trans. Power Electron. 2021, 36, 4091–4104. [Google Scholar] [CrossRef]
  10. Yong, Y.; Wen, H.; Fan, M.; Xie, M.; Rodriguez, J. Computation-Efficient Model Predictive Control With Common-Mode Voltage Elimination for Five-Level ANPC Converters. IEEE Trans. Transp. Electrif. 2020, 6, 970–984. [Google Scholar] [CrossRef]
  11. Xia, Y.; Peng, Y.; Yang, P.; Yu, M.; Wei, W. Distributed Coordination Control for Multiple Bidirectional Power Converters in a Hybrid AC/DC Microgrid. IEEE Trans. Power Electron. 2017, 32, 4949–4959. [Google Scholar] [CrossRef]
  12. Rocabert, J.; Luna, A.; Blaabjerg, F.; Rodríguez, P. Control of Power Converters in AC Microgrids. IEEE Trans. Power Electron. 2012, 27, 4734–4749. [Google Scholar] [CrossRef]
  13. Blaabjerg, F.; Yang, Y.; Yang, D.; Wang, X. Distributed Power-Generation Systems and Protection. Proc. IEEE 2017, 105, 1311–1331. [Google Scholar] [CrossRef]
  14. Vorperian, V.; Tymerski, R. Equivalent circuit models for resonant and PWM switches. IEEE Trans. Power Electron. 1989, 4, 205–214. [Google Scholar] [CrossRef]
  15. Tymerski, R.; Vorperian, V. Nonlinear modeling of the PWM switch. IEEE Trans. Power Electron. 1989, 4, 225–233. [Google Scholar] [CrossRef]
  16. Kolar, J.W.; Ertl, H.; Zach, F.C. Analysis of on- and off-line optimized predictive current controllers for PWM converter systems. IEEE Trans. Power Electron. 1991, 6, 451–462. [Google Scholar] [CrossRef]
  17. Raju, G.S.N.; Doradla, S. An LCL resonant converter with PWM control-analysis, simulation, and implementation. IEEE Trans. Power Electron. 2002, 10, 164–174. [Google Scholar] [CrossRef]
  18. Wang, K.; Zheng, Z.; Xu, L.; Li, Y. Neutral-Point Voltage Balancing Method for Five-Level NPC Inverters Based on Carrier-Overlapped PWM. IEEE Trans. Power Electron. 2021, 36, 1428–1440. [Google Scholar] [CrossRef]
  19. Bahrami, A.; Narimani, M. A Sinusoidal Pulsewidth Modulation (SPWM) Technique for Capacitor Voltage Balancing of a Nested T-Type Four-Level Inverter. IEEE Trans. Power Electron. 2019, 34, 1008–1012. [Google Scholar] [CrossRef]
  20. Yan, Q.; Zhou, Z.; Wu, M.; Yuan, X.; Zhao, R.; Xu, H. A Simplified Analytical Algorithm in abc Coordinate for the Three-Level SVPWM. IEEE Trans. Power Electron. 2021, 36, 3622–3627. [Google Scholar] [CrossRef]
  21. Xu, T.; Gao, F.; Wei, R. Global Synchronous Pulse Width Modulation of Distributed Inverters. IEEE Trans. Power Electron. 2016, 31, 6237–6253. [Google Scholar] [CrossRef]
  22. Xu, T.; Gao, F.; Wang, X.; Blaabjerg, F. A Carrier Synchronization Method for Global Synchronous Pulsewidth Modulation Application Using Phase-Locked Loop. IEEE Trans. Power Electron. 2019, 34, 10720–10732. [Google Scholar] [CrossRef]
  23. Xu, T.; Gao, F.; Hao, T.; Meng, X.; Ma, Z.; Zhang, C.; Chen, H. Two-Layer Global Synchronous Pulse Width Modulation Method for Attenuating Circulating Leakage Current in PV Station. IEEE Trans. Ind. Electron. 2018, 65, 8005–8017. [Google Scholar] [CrossRef]
  24. Vazquez, S.; Rodriguez, J.; Rivera, M.; Franquelo, L.G.; Norambuena, M. Model Predictive Control for Power Converters and Drives: Advances and Trends. IEEE Trans. Ind. Electron. 2017, 64, 935–947. [Google Scholar] [CrossRef]
  25. Vazquez, S.; Leon, J.I.; Franquelo, L.G.; Rodriguez, J.; Young, H.A. Model Predictive Control: A Review of Its Applications in Power Electronics. IEEE Ind. Electron. Mag. 2014, 8, 16–31. [Google Scholar] [CrossRef]
  26. Kouro, S.; Cortes, P.; Vargas, R.; Ammann, U.; Rodriguez, J. Model Predictive Control—A Simple and Powerful Method to Control Power Converters. IEEE Trans. Ind. Electron. 2009, 56, 1826–1838. [Google Scholar] [CrossRef]
  27. Rodriguez, J.; Kazmierkowski, M.P.; Espinoza, J.R.; Zanchetta, P.; Abu-Rub, H. State of the Art of Finite Control Set Model Predictive Control in Power Electronics. IEEE Trans. Ind. Inform. 2013, 9, 1003–1016. [Google Scholar] [CrossRef]
  28. Cortes, P.; Kazmierkowski, M.P.; Kennel, R.M.; Quevedo, D.E.; Rodriguez, J. Predictive Control in Power Electronics and Drives. IEEE Trans. Ind. Electron. 2008, 55, 4312–4324. [Google Scholar] [CrossRef]
  29. Yang, Y.; Wen, H.; Fan, M.; Xie, M.; Chen, R.; Wang, Y. A Constant Switching Frequency Model Predictive Control Without Weighting Factors for T-Type Single-Phase Three-Level Inverters. IEEE Trans. Ind. Electron. 2019, 66, 5153–5164. [Google Scholar] [CrossRef]
  30. Kwak, S.; Park, J.C. Switching Strategy Based on Model Predictive Control of VSI to Obtain High Efficiency and Balanced Loss Distribution. IEEE Trans. Power Electron. 2014, 29, 4551–4567. [Google Scholar]
Figure 1. Schematic diagram of the PWM switching control system, where y r e f is the reference and y is the tracking signal.
Figure 1. Schematic diagram of the PWM switching control system, where y r e f is the reference and y is the tracking signal.
Electronics 15 00226 g001
Figure 2. Comparison of output responses from an inertial system under continuous and PWM excitation signals.
Figure 2. Comparison of output responses from an inertial system under continuous and PWM excitation signals.
Electronics 15 00226 g002
Figure 3. Fast Fourier Transform analysis of output signals presented in Figure 2.
Figure 3. Fast Fourier Transform analysis of output signals presented in Figure 2.
Electronics 15 00226 g003
Figure 4. Step-by-step design procedure of the switching sequence control.
Figure 4. Step-by-step design procedure of the switching sequence control.
Electronics 15 00226 g004
Figure 5. Topology of the H-bridge converter, where U: DC source; L: inductance; R: load resistance; u δ ( t ) : input voltage.
Figure 5. Topology of the H-bridge converter, where U: DC source; L: inductance; R: load resistance; u δ ( t ) : input voltage.
Electronics 15 00226 g005
Figure 6. Circuit schematic of the H-bridge converter with the integrated switching sequence controller (SSC).
Figure 6. Circuit schematic of the H-bridge converter with the integrated switching sequence controller (SSC).
Electronics 15 00226 g006
Figure 7. System responses to different reference signals: (a) step current. (b) sinusoidal current.
Figure 7. System responses to different reference signals: (a) step current. (b) sinusoidal current.
Electronics 15 00226 g007
Figure 8. Tracking error comparisons with different periods T. (a) T = 100 μs. (b) T = 50 μs. (c) T = 20 μs.
Figure 8. Tracking error comparisons with different periods T. (a) T = 100 μs. (b) T = 50 μs. (c) T = 20 μs.
Electronics 15 00226 g008
Figure 9. Tracking error comparisons with different system parameters γ . (a) γ = 10,000 . (b) γ = 5000 . (c) γ = 3333 .
Figure 9. Tracking error comparisons with different system parameters γ . (a) γ = 10,000 . (b) γ = 5000 . (c) γ = 3333 .
Electronics 15 00226 g009
Figure 10. Tracking error comparisons with different DC source voltages U. (a) U = 100 V . (b) U = 70 V . (c) U = 40 V .
Figure 10. Tracking error comparisons with different DC source voltages U. (a) U = 100 V . (b) U = 70 V . (c) U = 40 V .
Electronics 15 00226 g010
Figure 11. Experiment platform.
Figure 11. Experiment platform.
Electronics 15 00226 g011
Figure 12. Experiment results of Case A: A DC step current reference is applied, changing from 1 A to 1 A .
Figure 12. Experiment results of Case A: A DC step current reference is applied, changing from 1 A to 1 A .
Electronics 15 00226 g012
Figure 13. Experiment results of Case B: the current reference is a sinusoidal signal.
Figure 13. Experiment results of Case B: the current reference is a sinusoidal signal.
Electronics 15 00226 g013
Figure 14. Tracking error comparisons with different periods T.
Figure 14. Tracking error comparisons with different periods T.
Electronics 15 00226 g014
Figure 15. Tracking error comparisons with different system parameters γ .
Figure 15. Tracking error comparisons with different system parameters γ .
Electronics 15 00226 g015
Figure 16. Tracking error comparisons with different DC source voltages U.
Figure 16. Tracking error comparisons with different DC source voltages U.
Electronics 15 00226 g016
Disclaimer/Publisher’s Note: The statements, opinions and data contained in all publications are solely those of the individual author(s) and contributor(s) and not of MDPI and/or the editor(s). MDPI and/or the editor(s) disclaim responsibility for any injury to people or property resulting from any ideas, methods, instructions or products referred to in the content.

Share and Cite

MDPI and ACS Style

Tang, Y.; Zhu, Y.; Wang, G.; Hao, W.; Zhang, Z.; Dai, Z.; Li, G. A Novel Switching Sequence Control Strategy for Reference Tracking in Power Converters. Electronics 2026, 15, 226. https://doi.org/10.3390/electronics15010226

AMA Style

Tang Y, Zhu Y, Wang G, Hao W, Zhang Z, Dai Z, Li G. A Novel Switching Sequence Control Strategy for Reference Tracking in Power Converters. Electronics. 2026; 15(1):226. https://doi.org/10.3390/electronics15010226

Chicago/Turabian Style

Tang, Yujia, Yihua Zhu, Guoqing Wang, Wenzhe Hao, Zijian Zhang, Zhiyong Dai, and Guangqi Li. 2026. "A Novel Switching Sequence Control Strategy for Reference Tracking in Power Converters" Electronics 15, no. 1: 226. https://doi.org/10.3390/electronics15010226

APA Style

Tang, Y., Zhu, Y., Wang, G., Hao, W., Zhang, Z., Dai, Z., & Li, G. (2026). A Novel Switching Sequence Control Strategy for Reference Tracking in Power Converters. Electronics, 15(1), 226. https://doi.org/10.3390/electronics15010226

Note that from the first issue of 2016, this journal uses article numbers instead of page numbers. See further details here.

Article Metrics

Back to TopTop