Ambient Backscatter and Wake-Up Receiver Enabled SWIPT Cooperative Communication
Abstract
1. Introduction
- (1)
- Environmental Sensor Networks: Monitoring soil moisture or air quality in remote areas, where data is reported intermittently, but the system must operate for years without battery replacement.
- (2)
- Infrastructure Health Monitoring: Sensors embedded in bridges or buildings that remain dormant for extended periods but must wake up and transmit data immediately upon detecting a threshold-triggering event (e.g., a structural vibration).
- (1)
- SWIPT-WUS Synergy for Passive IoT: Addressing the demand for batteryless operation and ultra-low power consumption in massive IoT deployments, we integrate SWIPT with WUS technology within ambient backscatter systems. This innovation specifically targets energy conservation at sensor nodes and across communication links. The proposed system architecture comprises a base station, sensors equipped with WUR modules functioning as backscatter tags, and receiving terminals. Sensors harvest essential operational energy through SWIPT-enabled backscatter communication.
- (2)
- Adaptive WUS Transmission Protocol: We propose dynamic adjustment of WUS transmission cycles without compromising service latency requirements. Given the minimal duration of short DRX cycles, selectively omitting WUS transmissions in certain periods yields significant power savings with negligible system impact. Our proportional transmission scheme is defined by Numerator and Denominator: Numerator is the number of consecutive DRX cycles activated after WUS reception, while Denominator is the number of consecutive idle cycles maintained without WUS detection. This mechanism enables single WUS transmissions to control multiple operational cycles.
- (3)
- Cross-Layer Energy Efficiency Optimization: While WUR implementation reduces sensor node power consumption, we further optimize full-link energy efficiency through a constrained optimization problem. This formulation considers base station transmission power constraints, SWIPT power splitting ratios, and optimal WUS transmission proportion. The solution simultaneously minimizes tag power consumption and maximizes link energy efficiency. We solve this using an alternating optimization algorithm based on Dinkelbach’s fractional programming framework, with comprehensive theoretical derivation, simulation validation, throughput and energy efficiency comparisons across WUS transmission ratios, as well as complexity and convergence analysis.
2. Related Works
3. System Model
3.1. Channel Model
3.2. WUS-Based Transmission Scheme
- (1)
- Continuous Monitoring Duration (): The number of consecutive DRX cycles the relay node R will execute upon receiving a WUS.
- (2)
- Continuous Suppression Duration (): The number of consecutive cycles R will remain dormant following periods where no WUS is detected.
4. Problem Analysis
4.1. Optimization Problem Formulation
| Algorithm 1: Dinkelbach-based Alternating Optimization for EE Maximization. |
1: Initialize:
|
2: Set initial value:
|
| 3: Repeat |
4: Alternating Optimization:
|
| 5: if |
| 6: return , , |
| 7: else |
| 8: , n = n + 1. Return to step 3 |
| 9: end if |
| 10: n = |
4.2. Transmit Power Optimization
4.3. Power Splitting Ratio Optimization
4.4. Outage Performance Analysis
- (1)
- During active R operation (Reflection Path Active)
- (2)
- During inactive R operation (Direct Link Only)
5. Results and Discussion
5.1. Simulation Setup
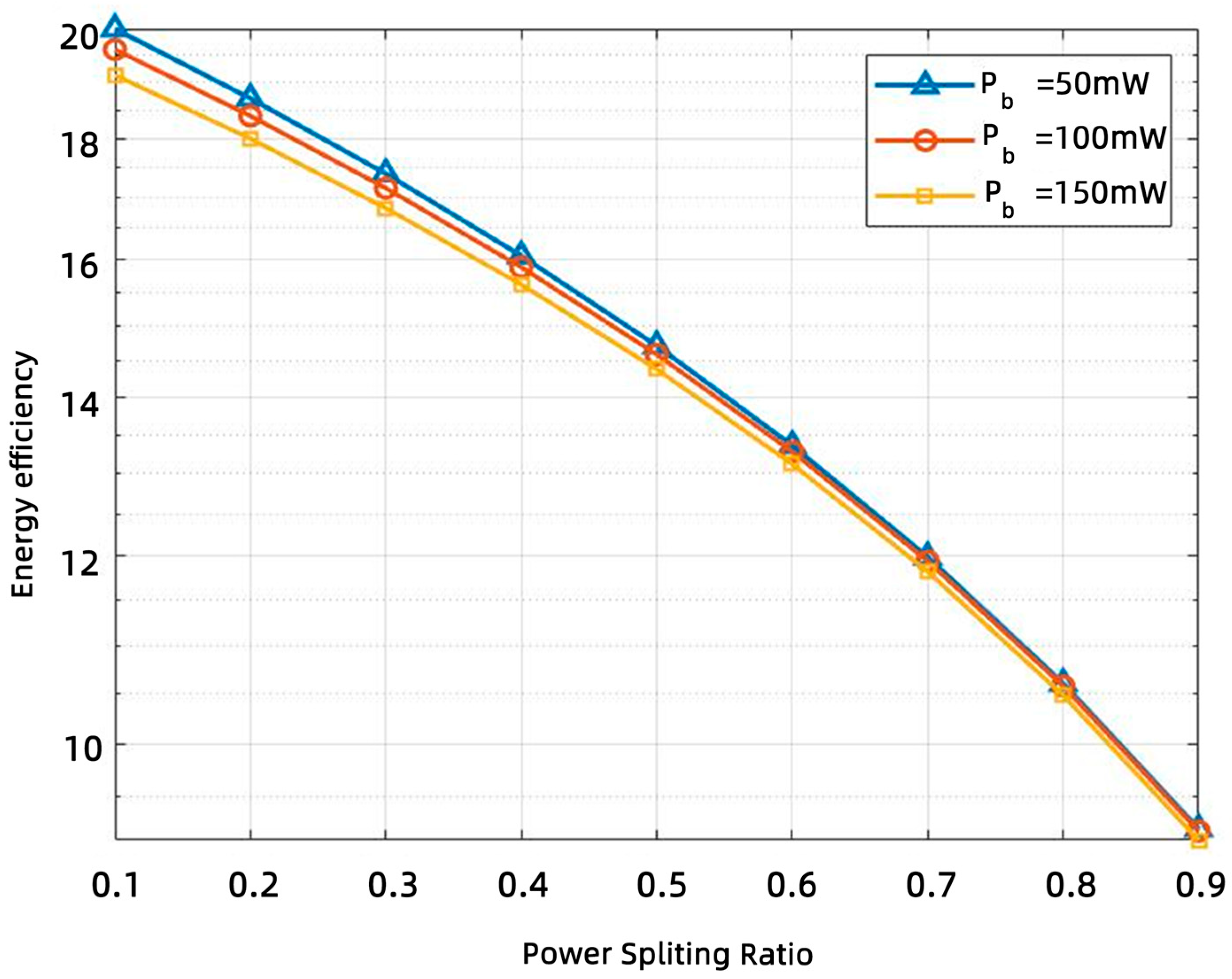
5.2. Results Analysis
5.3. Discussion
5.3.1. Qualitative Comparison with the State of the Art
5.3.2. Limitations and Future Work
- (1)
- Interference Management: Co-channel interference will significantly increase as the node density grows. Future work will explore interference coordination techniques or the adoption of advanced random access protocols.
- (2)
- Synchronization: Maintaining synchronization among a massive number of devices is non-trivial. Investigating a lightweight, hierarchical synchronization protocol is a priority.
- (3)
- Resource Allocation: Dynamic and efficient allocation of communication resources (e.g., time slots, channels) in dense networks is essential. Integrating a centralized or distributed resource allocation algorithm into our framework is a key next step.
- (4)
- Implementation Consideration: Translating this scheme to hardware presents challenges not captured in simulation: the variable efficiency of energy harvesters, the sensitivity of wake-up receivers to interference, and the need for precise synchronization between communication states. These non-idealities are central to our planned future work, which will focus on building a prototype to validate the concept.
5.3.3. Security Analysis
- Potential Vulnerabilities
- (1)
- Spoofing Attacks: The low-complexity nature of WURs and backscatter tags makes them potentially susceptible to spoofing. A malicious actor could transmit a forged wake-up signal, causing legitimate nodes to prematurely activate their main radio and deplete their energy reserves. Similarly, an attacker could emulate a legitimate backscatter tag by modulating an RF carrier with fabricated data, injecting false information into the network.
- (2)
- Jamming Attacks: The dependency of both technologies on specific RF signals creates a jamming risk. An attacker can target the narrowband wake-up channel or the specific ambient RF source that backscatter tags rely on. This can paralyze the system by either preventing nodes from waking up or blocking the backscatter communication link, severely impacting network availability.
- Potential Mitigation Strategies
- (1)
- Lightweight Authentication: To counter spoofing, lightweight cryptographic authentication mechanisms are essential. For WURs, a minimal-length cryptographic hash or a physical-layer fingerprint can be embedded within the wake-up signal. The WUR verifies this signature before triggering the main radio. Similarly, backscatter protocols can incorporate simple, pre-shared keys to authenticate messages at the receiver.
- (2)
- Jamming Resilience: While complete immunity to jamming is difficult, its impact can be mitigated. Frequency hopping spread spectrum (FHSS) can be applied to the wake-up channel to avoid static jammers. For ambient backscatter systems, the receiver can be designed to exploit the spatial diversity of multiple ambient RF sources or use advanced signal processing techniques to distinguish legitimate backscattered signals from jamming noise.
6. Conclusions
Author Contributions
Funding
Data Availability Statement
Conflicts of Interest
References
- Chen, W.; Lin, X.; Lee, J.; Toskala, A.; Sun, S.; Chiasserini, C.F.; Liu, L. 5G-advanced toward 6G: Past, present, and future. IEEE J. Sel. Areas Commun. 2023, 41, 1592–1619. [Google Scholar] [CrossRef]
- Zhu, Z.; Xu, J.; Sun, G.; Hao, W.; Chu, Z.; Pan, C.; Lee, I. Robust beamforming design for IRS-aided secure SWIPT terahertz systems with non-linear EH model. IEEE Wirel. Commun. Lett. 2022, 11, 746–750. [Google Scholar] [CrossRef]
- Niu, H.; Chu, Z.; Zhou, F.; Zhu, Z.; Zhen, L.; Wong, K.-K. Robust design for intelligent reflecting surface-assisted secrecy SWIPT network. IEEE Trans. Wirel. Commun. 2021, 21, 4133–4149. [Google Scholar] [CrossRef]
- Zhu, Z.; Ma, M.; Sun, G.; Hao, W.; Liu, P.; Chu, Z.; Lee, I. Secrecy rate optimization in nonlinear energy harvesting model-based mmWave IoT systems with SWIPT. IEEE Syst. J. 2022, 16, 5939–5949. [Google Scholar] [CrossRef]
- Lin, K.H.; Liu, H.H.; Hu, K.H.; Huang, A.; Wei, H.Y. A survey on DRX mechanism: Device power saving from LTE and 5G new radio to 6G communication systems. IEEE Commun. Surv. Tutor. 2022, 25, 156–183. [Google Scholar] [CrossRef]
- Bruhn, P.; Bassi, G. Machine learning based C-DRX configuration optimization for 5G. In Proceedings of the Mobile Communication-Technologies and Applications; 25th ITG-Symposium, Osnabrueck, Germany, 3–4 November 2021; VDE: Madrid, Spain, 2021; pp. 1–6. [Google Scholar]
- Li, X.; Xu, X.; Hu, C. Research on 5G redcap standard and key technologies. In Proceedings of the 2023 4th Information Communication Technologies Conference (ICTC), Nanjing, China, 17–19 May 2023; IEEE: Piscataway, NJ, USA, 2023; pp. 6–9. [Google Scholar]
- Huang, K.K.; Luna, R.; Wentzloff, D.D.; Rathonyi, B.; Wang, Y.-P.E.; Chen, J.; Korhonen, J.; Tiri, H.-L. NB-IoT Power-Saving Analysis with Wake-Up Signal and Wake-Up Receiver Implementation. In Proceedings of the 2024 IEEE International Conference on Communications Workshops (ICC Workshops), Denver, CO, USA, 9–13 June 2024; IEEE: Piscataway, NJ, USA, 2024; pp. 1121–1126. [Google Scholar]
- Wang, R.Z. Distributed wake-up/sleep IMM filtering tracking for underwater wireless sensors. Electron. Des. Eng. 2019, 27, 92–98. [Google Scholar]
- Mazloum, N.; Edfors, O. Interference-Free OFDM Embedding of Wake-Up Signals for Low-Power Wake-Up Receivers. IEEE Trans. Green Commun. Netw. 2020, 4, 669–677. [Google Scholar] [CrossRef]
- Padmageetha, B.G.; Patil, M. Survey on Cross-Layered Wake-up Receiver-Enabled WSN. In Proceedings of the Computer Communication, Networking and IoT: Proceedings of ICICC 2020, Xiamen, China, 10–12 January, 2020; Springer: Singapore, 2021; pp. 295–303. [Google Scholar]
- Pan, X.M.; Qu, X. 5G-Advanced low-power wake-up receiver and wake-up signal technology. Telecommun. Sci. 2022, 38, 102. [Google Scholar]
- Braun, V.; Schober, K.; Tiirola, E. 5G NR physical downlink control channel: Design, performance and enhancements. In Proceedings of the 2019 IEEE Wireless Communications and Networking Conference (WCNC), Marrakesh, Morocco, 15–18 April 2019; IEEE: Piscataway, NJ, USA, 2019; pp. 1–6. [Google Scholar]
- Zhang, S.; Tong, X.; Chi, K.; Gao, W.; Chen, X.; Shi, Z. Stackelberg Game-Based Multi-Agent Algorithm for Resource Allocation and Task Offloading in MEC-Enabled C-ITS. IEEE Trans. Intell. Transp. Syst. 2025, 26, 1–12. [Google Scholar] [CrossRef]
- IEEE 802.11ba-2021; IEEE Standard for Information Technology—Telecommunications and Information Exchange between Systems—Local and Metropolitan Area Networks-Specific Requirements—Part 11: Wireless LAN Medium Access Control (MAC) and Physical Layer (PHY) Specifications—Amendment 3: Wake-Up Radio Operation. IEEE Press: New York, NY, USA, 2021.









| Parameter | Symbol | Value |
|---|---|---|
| S-R, R-C, S-C Distance | 12, 16, 20 (m) | |
| Channel Coefficient Mean | 1 | |
| Noise Power Variance | 0 (dB) | |
| Energy Conversion Efficiency | 0.8 | |
| Backscatter Reflection Coefficient | 0.6 | |
| System Bandwidth | W | 10 (kHz) |
| Path Loss Exponent | 3.5 | |
| Relay Circuit Power Consumption | 200 (μW) | |
| Source + Receiver Circuit Power | 2 (mW) | |
| Minimum Rate Threshold | 0.5 (bit/s) | |
| DRX cycles | 32 ms, 64 ms, 96 ms |
Disclaimer/Publisher’s Note: The statements, opinions and data contained in all publications are solely those of the individual author(s) and contributor(s) and not of MDPI and/or the editor(s). MDPI and/or the editor(s) disclaim responsibility for any injury to people or property resulting from any ideas, methods, instructions or products referred to in the content. |
© 2025 by the authors. Licensee MDPI, Basel, Switzerland. This article is an open access article distributed under the terms and conditions of the Creative Commons Attribution (CC BY) license (https://creativecommons.org/licenses/by/4.0/).
Share and Cite
Liu, D.; Liu, X.; Wang, R.; Zhao, F.; Zhang, F.; Ma, W.; Gao, W. Ambient Backscatter and Wake-Up Receiver Enabled SWIPT Cooperative Communication. Electronics 2025, 14, 4381. https://doi.org/10.3390/electronics14224381
Liu D, Liu X, Wang R, Zhao F, Zhang F, Ma W, Gao W. Ambient Backscatter and Wake-Up Receiver Enabled SWIPT Cooperative Communication. Electronics. 2025; 14(22):4381. https://doi.org/10.3390/electronics14224381
Chicago/Turabian StyleLiu, Donglan, Xin Liu, Rui Wang, Fuhui Zhao, Fangzhe Zhang, Wenxin Ma, and Weidong Gao. 2025. "Ambient Backscatter and Wake-Up Receiver Enabled SWIPT Cooperative Communication" Electronics 14, no. 22: 4381. https://doi.org/10.3390/electronics14224381
APA StyleLiu, D., Liu, X., Wang, R., Zhao, F., Zhang, F., Ma, W., & Gao, W. (2025). Ambient Backscatter and Wake-Up Receiver Enabled SWIPT Cooperative Communication. Electronics, 14(22), 4381. https://doi.org/10.3390/electronics14224381

