Ionospheric Information-Assisted Spoofing Detection Technique and Performance Evaluation for Dual-Frequency GNSS Receiver
Abstract
1. Introduction
- SF Bias (SFB): When only one out of two DF pseudo-ranges of a satellite is intentionally biased by a spoofer while the other is not, a significant anomaly in the TEC measurement is introduced.
- Ionospheric Model Bias (IMB): TEC values emulated by a simulator-spoofer, relying on an offline SH model, such as the Klobuchar model, usually deviate from the corresponding TEC references.
- Position-Related Bias (PRB): When spoofing signals are not strong enough to override all authentic ones, the receiver may simultaneously track both, leading to partial-channel spoofing, which could cause the computed position to deviate from both the true and spoofed positions [27]. Such deviation also leads to inconsistencies between TEC references derived from the biased position and the TEC values corresponding to the actual or spoofed locations due to ionospheric spatial variation.
2. Basic Principles of Ionospheric Information-Assisted Spoofing Detection Technique
2.1. Impact of the Ionosphere on GNSS Observations
2.2. Ionospheric Modulation and Demodulation
2.3. Characteristics of IMB and PRB
2.3.1. IMB
2.3.2. PRB
3. Detection Statistics and Simulation Analysis of IIA-SDT
3.1. GLRT-Based Spoofing Detection Algorithm
3.2. Simulation Analysis
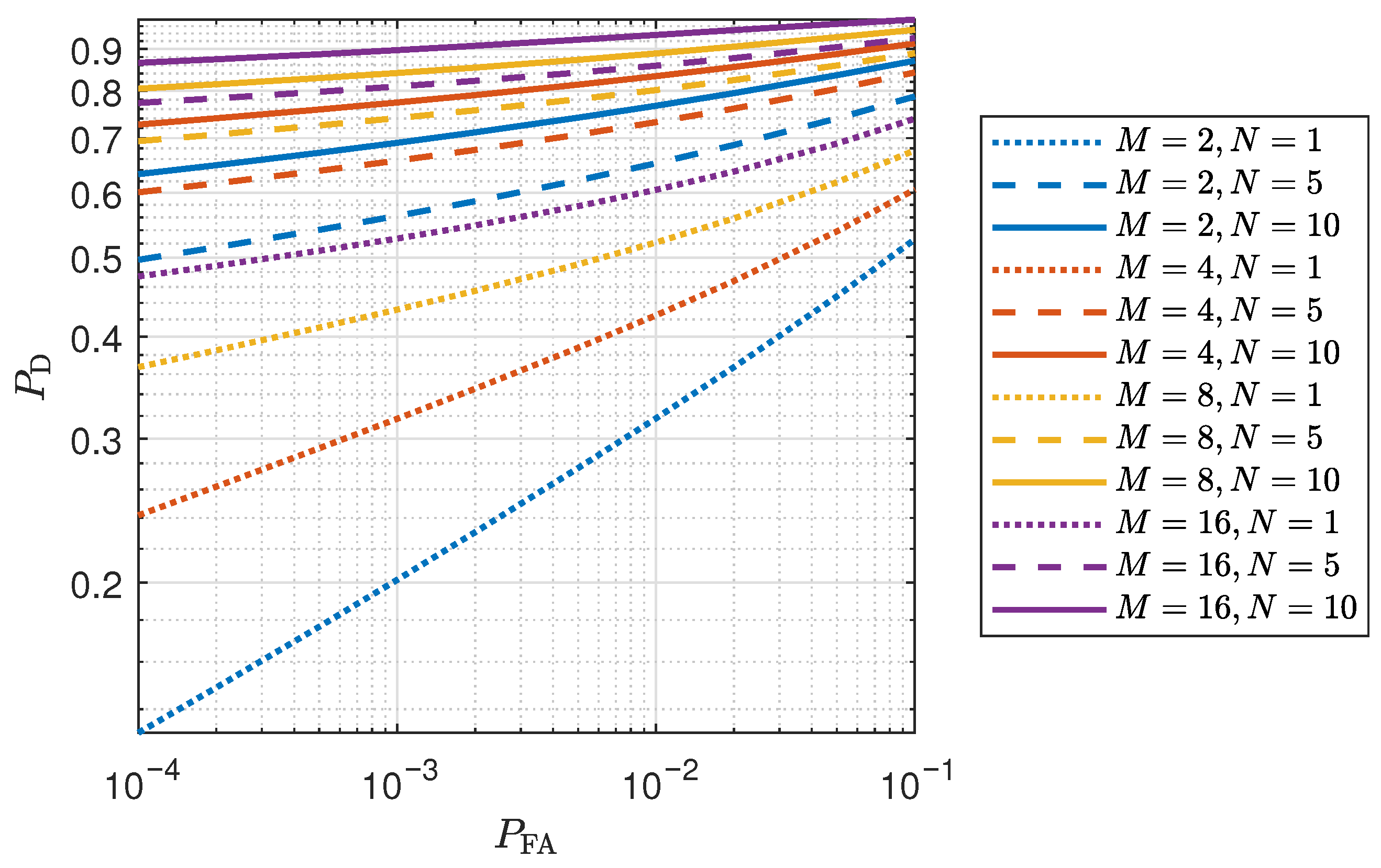
3.2.1. Temporal Analysis
3.2.2. Window Length
4. Field Experiments
4.1. Data Collection
4.2. IIA-SDT Experimental Results
4.2.1. Non-Spoofing Test Case
4.2.2. Full-Channel Spoofing Test Cases
4.2.3. Partial-Channel Spoofing Test Cases
4.3. Comparison with Existing Methods
5. Discussion and Conclusions
5.1. Discussion
- Universal Applicability. IIA-SDT does not assume SF spoofing. IIA-SDT effectively identifies both FC and PC DF spoofing attacks, regardless of the preset location or the user’s positioning deviation. This is achieved by leveraging the inherent IMB of offline models like the Klobuchar model, which is widely adopted by spoofers, and the PRB induced by positioning deviation when mixed authentic and spoofed signals are used. In addition, the method is system-independent and can be directly applied to BDS, GPS, Galileo, and other dual-frequency constellations.
- Physical-level Verification. Unlike DPC and RAIM, which are based on position-level consistency checking between two frequencies, IIA-SDT exploits the discrepancies between the spoofed TEC values and reliable external TEC references such as IGS GIM, which provide reliable physical TEC values. This physics-based verification enables IIA-SDT to detect spoofing attacks even with inter-frequency navigation-information-level consistency.
- Vulnerability to advanced spoofers. If attackers could replicate real-time ionospheric information with high fidelity in a full-channel attack, IIA-SDT, and existing methods like DPC and RAIM, would all lose effectiveness. However, the feasibility of such attacks is limited in practice. Accessing and applying real-time GIM data requires continuous internet connectivity, additional hardware/software modules, and low-latency data processing. These factors substantially increase the cost and complexity of the spoofer. And for dynamic scenarios such as UAVs or vehicles, it is particularly challenging to achieve full-channel synchronization with authentic signals while simultaneously injecting realistic ionospheric variations. However, if attackers transmit extreme high-power spoofing signals that fully suppress authentic signals—effectively equivalent to full-channel spoofing—IIA-SDT also becomes ineffective when real-time ionospheric information is replicated. In such spoofing cases, further anti-spoofing techniques based on direction-of-arrival (DOA) measurements [35,36] or assistance from Inertial Navigation Systems (INSs) [37,38], etc., become essential.
- Dependence on external real-time ionospheric data. IIA-SDT relies on access to external GIM services, and temporary loss of connectivity may reduce its effectiveness. To mitigate this, practical deployment could include backup measures such as local caching of recent GIM products, fusing data from multiple providers, or employing lightweight prediction models to extrapolate short-term ionospheric variations. Future work may also explore non-networked solutions such as using broadcast ionospheric models as local prediction schemes as auxiliary references.
5.2. Summary and Conclusions
Author Contributions
Funding
Data Availability Statement
Conflicts of Interest
List of Abbreviations
| Abbreviation | Full Form |
| BDS | BeiDou Satellite System |
| C/N0 | Carrier-to-Noise Ratio |
| DF | Dual Frequency |
| DPC | Direct Position Comparison |
| DOA | Direction of Arrival |
| FC | Full Channel |
| GIM | Global Ionospheric Map |
| GLRT | Generalized Likelihood Ratio Test |
| GNSS | Global Navigation Satellite System |
| GPS | Global Positioning System |
| IGS | International GNSS Service |
| IMB | Ionospheric Model Bias |
| INS | Inertial Navigation System |
| IPP | Ionospheric Pierce Point |
| IIA-SDT | Ionospheric Information-Assisted Spoofing Detection Technique |
| PC | Partial Channel |
| PVT | Position, Velocity, and Timing |
| RAIM | Receiver Autonomous Integrity Monitoring |
| RMSE | Root Mean Square Error |
| SF | Single-Frequency |
| SH | Spherical Harmonic |
| SFB | Single-Frequency Bias |
| TEC | Total Electron Content |
| TECU | Total Electron Content Unit |
| VTEC | Vertical Total Electron Content |
References
- Meng, L.; Yang, L.; Yang, W.; Zhang, L. A Survey of GNSS Spoofing and Anti-Spoofing Technology. Remote Sens. 2022, 14, 4826. [Google Scholar] [CrossRef]
- Wang, K.; Chen, S.; Pan, A. Time and Position Spoofng with Open Source Projects. Black Hat Eur. 2015, 148, 1–8. [Google Scholar]
- Zeng, K.; Liu, S.; Shu, Y.; Wang, D.; Li, H.; Dou, Y.; Wang, G.; Yang, Y. All Your GPS Are Belong To Us: Towards Stealthy Manipulation of Road Navigation Systems. In Proceedings of the 27th USENIX Security Symposium (USENIX Security 18), Baltimore, MD, USA, 15–17 August 2018; pp. 1527–1544. [Google Scholar]
- Zheng, X.; Sun, H. Hijacking Unmanned Aerial Vehicle by Exploiting Civil GPS Vulnerabilities Using Software-defined Radio. Sens. Mater. 2020, 32, 2729. [Google Scholar] [CrossRef]
- Mit, R.; Zangvil, Y.; Katalan, D. Analyzing Tesla’s Level 2 Autonomous Driving System Under Different GNSS Spoofing Scenarios and Implementing Connected Services for Authentication and Reliability of GNSS Data. In Proceedings of the 33rd International Technical Meeting of the Satellite Division of The Institute of Navigation (ION GNSS+ 2020), Virtual Event, 21–25 September 2020; pp. 621–646, ISSN 2331-5954. [Google Scholar] [CrossRef]
- Sun, Y. Autonomous Integrity Monitoring for Relative Navigation of Multiple Unmanned Aerial Vehicles. Remote Sens. 2021, 13, 1483. [Google Scholar] [CrossRef]
- Russian Space Systems. GLONASS Interface Control Document: Code Division Multiple Access Open Service Navigation Signal in L2 Frequency Band. 2016. Available online: https://russianspacesystems.ru/Business/ICD-GLONASS-CDMA-L2.-Edition-1.0-2016.pdf (accessed on 26 September 2025).
- China Satellite Navigation Office. BeiDou Navigation Satellite System Signal in Space Interface Control Document (v3.0); China Satellite Navigation Office: Beijing, China, 2019. [Google Scholar]
- Anthony, R.T.; Kerns, R.M. NAVSTAR GPS Space Segment/Navigation User Segment Interfaces (IS-GPS-200). 2022. Available online: https://www.navcen.uscg.gov/sites/default/files/pdf/gps/IS-GPS-200N.pdf (accessed on 22 August 2022).
- European GNSS Supervisory Authority. Galileo Open Service: Signal in Space Interface Control Document (OS SIS ICD): Issue 2.1; Publications Office: Luxembourg, 2023. [Google Scholar]
- Psiaki, M.L.; Humphreys, T.E. GNSS Spoofing and Detection. Proc. IEEE 2016, 104, 1258–1270. [Google Scholar] [CrossRef]
- Sathyamoorthy, D.; Kazmar, A.F.A.; Rozlan, A.S.M.; Ghazali, M.G.A.; Najib, N.H.S.M. Evaluation of The Effect of Spoofing on Dual-Frequency Global Navigation Satellite System (GNSS). J. Eng. Technol. Appl. Phys. 2024, 6, 100–107. [Google Scholar] [CrossRef]
- Wang, X.; Yang, J.; Huang, M. A Deep Learning GNSS Spoofing and Jamming Detection Method with Dual-Frequency C/N0 Heatmap. Meas. Sci. Technol. 2024, 35, 126303. [Google Scholar] [CrossRef]
- Wen, H.; Huang, P.Y.R.; Dyer, J.; Archinal, A.; Fagan, J. Countermeasures for GPS Signal Spoofing. In Proceedings of the 18th International Technical Meeting of the Satellite Division of the Institute of Navigation (ION GNSS 2005), Long Beach, CA, USA, 13–16 September 2005; pp. 1285–1290. [Google Scholar]
- Artaud, G.; de Latour, A.; Dantepal, J.; Ries, L.; Maury, N.; Denis, J.C.; Senant, E.; Bany, T. A New GNSS Multi Constellation Simulator: NAVYS. In Proceedings of the 2010 5th ESA Workshop on Satellite Navigation Technologies and European Workshop on GNSS Signals and Signal Processing (NAVITEC), Noordwijk, The Netherlands, 8–10 December 2010; pp. 1–8, ISSN 2325-5455. [Google Scholar] [CrossRef]
- Bartunkova, I.; Eissfeller, B. Broadband Multi-Frequency GNSS Signal Simulation with GPU. In Proceedings of the 2016 IEEE/ION Position, Location and Navigation Symposium (PLANS), Savannah, GA, USA, 11–14 April 2016; pp. 477–490, ISSN 2153-3598. [Google Scholar] [CrossRef]
- Parkinson, B.W.; Axelrad, P. Autonomous GPS Integrity Monitoring Using the Pseudorange Residual. Navigation 1988, 35, 255–274. [Google Scholar] [CrossRef]
- Guo, J.; Lu, M.; Cui, X.; Feng, Z. A New RAIM Algorithm for Triple-Frequency GNSS Receivers. In Proceedings of the 2011 International Technical Meeting of the Institute of Navigation, San Diego, CA, USA, 24–26 January 2011; pp. 271–278. [Google Scholar]
- Islam, S.; Bhuiyan, M.Z.H.; Liaquat, M.; Pääkkönen, I.; Kaasalainen, S. An Open GNSS Spoofing Data Repository: Characterization and Impact Analysis with FGI-GSRx Open-Source Software-Defined Receiver. GPS Solut. 2024, 28, 176. [Google Scholar] [CrossRef]
- Hernández-Pajares, M.; Juan, J.M.; Sanz, J.; Aragón-Àngel, A.; García-Rigo, A.; Salazar, D.; Escudero, M. The Ionosphere: Effects, GPS Modeling and the Benefits for Space Geodetic Techniques. J. Geod. 2011, 85, 887–907. [Google Scholar] [CrossRef]
- Cheng, J.; Jiang, C.; Jia, C.; Ding, J.; Li, H.; Qi, B. Evaluation of Ionospheric Delay Extraction Model Using Dual-Frequency Multisystem Observations. IEEE Sens. J. 2023, 23, 16197–16209. [Google Scholar] [CrossRef]
- Mannucci, A.J.; Wilson, B.D.; Yuan, D.N.; Ho, C.H.; Lindqwister, U.J.; Runge, T.F. A Global Mapping Technique for GPS-Derived Ionospheric Total Electron Content Measurements. Radio Sci. 1998, 33, 565–582. [Google Scholar] [CrossRef]
- Villiger, A.; Dach, R. International GNSS Service: Technical Report 2018; Technical report; IGS Central Bureau, Bern Open Publishing: Bern, Switzerland, 2019; ISBN 9783906813929. ISSN 2297-8526. [Google Scholar]
- Hernández-Pajares, M.; Juan, J.M.; Sanz, J.; Orus, R.; Garcia-Rigo, A.; Feltens, J.; Komjathy, A.; Schaer, S.C.; Krankowski, A. The IGS VTEC Maps: A Reliable Source of Ionospheric Information Since 1998. J. Geod. 2009, 83, 263–275. [Google Scholar] [CrossRef]
- Klobuchar, J.A. Ionospheric Time-Delay Algorithm for Single-Frequency GPS Users. IEEE Trans. Aerosp. Electron. Syst. 1987, AES-23, 325–331. [Google Scholar] [CrossRef]
- Radicella, S.M. The NeQuick Model Genesis, Uses and Evolution. Ann. Geophys. 2009, 52, 417–422. [Google Scholar] [CrossRef]
- Wang, Q.; Li, H.; Lu, M. Residual Vector Analysis Method (RVAM) for Evaluating the Performance of GNSS Part of Channels’ Replay Attacks. In Proceedings of the 2013 IEEE China Summit and International Conference on Signal and Information Processing, Beijing, China, 6–10 July 2013; pp. 561–565. [Google Scholar] [CrossRef]
- Kaplan, E.D.; Hegarty, C. Understanding GPS/GNSS: Principles and Applications; Artech House: Norwood, MA, USA, 2017. [Google Scholar]
- Takuji, E. Software-Defined GPS Signal Simulator. Contribute to osqzss/gps-sdr-sim Development by Creating an Account on GitHub. 2015. Available online: https://github.com/osqzss/gps-sdr-sim (accessed on 1 November 2015).
- Sarkar, M.; Panjwani, B. NavIC tri-band (L1, L5, S) SPS simulator. GPS Solut. 2024, 29, 7. [Google Scholar] [CrossRef]
- Wang, N.; Li, Z.; Yuan, Y.; Huo, X. BeiDou Global Ionospheric Delay Correction Model (BDGIM): Performance Analysis During Different Levels of Solar Conditions. GPS Solut. 2021, 25, 97. [Google Scholar] [CrossRef]
- Schaer, S.; Beutler, G.; Rothacher, M. Mapping and Predicting the Ionosphere. In Proceedings of the IGS AC Workshop, Darmstadt, Germany, 9–11 February 1998. [Google Scholar]
- Kay, S.M. Fundamentals of Statistical Signal Processing; PTR Prentice-Hall: Englewood Cliffs, NJ, USA, 1993. [Google Scholar]
- Spirent Communications Plc. SimGen Software User Manual: Software for the Spirent Range of Satellite Navigation Simulator Products, DGP00686AAA, issue 5-02 SR02, 2016. Available online: https://67fff93bef5e27578656-8f1778939e817ae59616c14c8e4da60d.ssl.cf1.rackcdn.com/Manuals/SimGEN/DGP00686AAA%20Issue%206-00%20SimGEN%20Software%20User%20Manual.pdf (accessed on 29 September 2016).
- Zhao, Y.; Shen, F.; Qi, B.; Meng, Z. DOA Estimation under GNSS Spoofing Attacks Using a Coprime Array: From a Sparse Reconstruction Viewpoint. Remote Sens. 2022, 14, 5944. [Google Scholar] [CrossRef]
- Wang, H.; Li, H.; Zhong, M.; Lu, M. A Space-Time-Ambiguity Decomposition Method for DOA Estimation Enhancing Anti-Spoofing Via Rotating Dual Antennas. IEEE Trans. Aerosp. Electron. Syst. 2024, 60, 7643–7662. [Google Scholar] [CrossRef]
- Ma, Y.; Li, H.; Lu, M. Spoofing Detection Technologies for GNSS/Multi-sensor Fusion Positioning. J. Navig. Position 2024, 12, 114–122. [Google Scholar]
- Zhang, C.; Wang, D.; Wu, J. Two-Dimensional Directions Determination for GNSS Spoofing Source Based on MEMS-Based Dual-GNSS/INS Integration. Remote Sens. 2024, 16, 4568. [Google Scholar] [CrossRef]














| Parameter | Value | Unit | Note |
|---|---|---|---|
| 1.0 | m | Pseudo-range noise variance | |
| 1.561098 | GHz | Carrier frequency of BDS B1I signal | |
| 1.268520 | GHz | Carrier frequency of BDS B3I signal | |
| 116.3300 | deg | Hypothetical user longitude (E) | |
| 40.0000 | deg | Hypothetical user latitude (N) |
| # | Signal Source | Type | M | Positioning Result |
|---|---|---|---|---|
| ds1 | Outdoor antenna | — | 11 | N, E |
| ds2 | SPIRENT GSS900 | FC | 9 | N, E |
| ds3 | SPIRENT GSS900 | FC | 9 | N, E |
| ds4 | Merged ds1 & ds2 | PC | 14 | ∼ N, ∼ E |
| ds5 | Merged ds1 & ds3 | PC | 13 | ∼ N, ∼ E |
| Parameter | Value | Unit | Note |
|---|---|---|---|
| 1.0 | m | Pseudo-range noise variance | |
| 1.561098 | GHz | Carrier frequency of BDS B1I signal | |
| 1.268520 | GHz | Carrier frequency of BDS B3I signal | |
| 1.0 | Hz | pseudo-range observation rate | |
| — | False alarm rate | ||
| N | 5 | — | GLRT detection window length |
Disclaimer/Publisher’s Note: The statements, opinions and data contained in all publications are solely those of the individual author(s) and contributor(s) and not of MDPI and/or the editor(s). MDPI and/or the editor(s) disclaim responsibility for any injury to people or property resulting from any ideas, methods, instructions or products referred to in the content. |
© 2025 by the authors. Licensee MDPI, Basel, Switzerland. This article is an open access article distributed under the terms and conditions of the Creative Commons Attribution (CC BY) license (https://creativecommons.org/licenses/by/4.0/).
Share and Cite
Wu, Z.; Fu, H.; Xu, X.; Xiao, Y.; Ma, Y.; Zhou, Z.; Li, H. Ionospheric Information-Assisted Spoofing Detection Technique and Performance Evaluation for Dual-Frequency GNSS Receiver. Electronics 2025, 14, 3865. https://doi.org/10.3390/electronics14193865
Wu Z, Fu H, Xu X, Xiao Y, Ma Y, Zhou Z, Li H. Ionospheric Information-Assisted Spoofing Detection Technique and Performance Evaluation for Dual-Frequency GNSS Receiver. Electronics. 2025; 14(19):3865. https://doi.org/10.3390/electronics14193865
Chicago/Turabian StyleWu, Zhenyang, Haixuan Fu, Xiaoxuan Xu, Yuhao Xiao, Yimin Ma, Ziheng Zhou, and Hong Li. 2025. "Ionospheric Information-Assisted Spoofing Detection Technique and Performance Evaluation for Dual-Frequency GNSS Receiver" Electronics 14, no. 19: 3865. https://doi.org/10.3390/electronics14193865
APA StyleWu, Z., Fu, H., Xu, X., Xiao, Y., Ma, Y., Zhou, Z., & Li, H. (2025). Ionospheric Information-Assisted Spoofing Detection Technique and Performance Evaluation for Dual-Frequency GNSS Receiver. Electronics, 14(19), 3865. https://doi.org/10.3390/electronics14193865

