Experimental Study on the Propagation Characteristics of LoRa Signals in Maize Fields
Abstract
1. Introduction
1.1. Research Background
1.2. Related Research Work
2. Materials and Methods
2.1. Propagation Principles of Radio Waves in the Presence of Obstacle
2.2. Experimental Location
- Tongliao City, Inner Mongolia
- 2.
- KuQa, Xinjiang
2.3. Hardware and Software Setup
3. Adjusting Transmitter Antenna Height Experimental
3.1. Adjusting Transmitter Antenna Height Experimental Procedure
3.2. Effect of Transmitter Antenna Height on RSSI
3.3. Impact of Transmitter Antenna Height on SNR
3.4. Impact of Transmitter Antenna Height on Maximum Propagation Distance
4. Path Loss Model of Different Transmitter Antenna Heights
4.1. Path Loss Model Comparison
4.2. Principle of the Free Space Path Loss Model
4.3. Path Loss Modeling in Open Environments
4.4. Validation of the Path Loss Model in Maize Fields
5. Adjusting Receiver Antenna Height Experimental
5.1. Adjusting Receiver Antenna Height Experimental Procedure
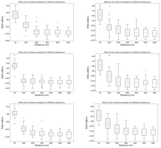
5.2. Impact of Receiver Antenna Height on RSSI
5.3. Impact of Receiver Antenna Height on SNR
5.4. Impact of Receiver Antenna Height on Maximum Propagation Distance
6. Conclusions
7. Discussion
Author Contributions
Funding
Data Availability Statement
Acknowledgments
Conflicts of Interest
References
- Saito, Y.; Kishiyama, Y.; Benjebbour, A.; Nakamura, T.; Li, A.; Higuchi, K. Non-Orthogonal Multiple Access (NOMA) for Cellular Future Radio Access. In Proceedings of the 2013 IEEE 77th Vehicular Technology Conference (VTC Spring), Dresden, Germany, 2–5 June 2013; pp. 1–5. [Google Scholar]
- Cappelli, I.; Peruzzi, G.; Pozzebon, A.; Scarpel, E. Wireless Sensing in the Woodlands: Preliminary Tests for LoRaWAN Transmission in Vegetated Areas. In Proceedings of the 2023 IEEE Sensors Applications Symposium (SAS), Ottawa, ON, Canada, 18–20 July 2023; pp. 1–6. [Google Scholar]
- Haxhibeqiri, J.; De Poorter, E.; Moerman, I.; Hoebeke, J. A Survey of LoRaWAN for IoT: From Technology to Application. Sensors 2018, 18, 3995. [Google Scholar] [CrossRef]
- Gkotsiopoulos, P.; Zorbas, D.; Douligeris, C. Performance Determinants in LoRa Networks: A Literature Review. IEEE Commun. Surv. Tutor. 2021, 23, 1721–1758. [Google Scholar] [CrossRef]
- Augustin, A.; Yi, J.; Clausen, T.; Townsley, W.M. A Study of LoRa: Long Range & Low Power Networks for the Internet of Things. Sensors 2016, 16, 1466. [Google Scholar] [CrossRef] [PubMed]
- Vangelista, L. Frequency Shift Chirp Modulation: The LoRa Modulation. IEEE Signal Process. Lett. 2017, 24, 1818–1821. [Google Scholar] [CrossRef]
- Cichoń, K.; Nikiforuk, M.; Kliks, A. Vegetation Loss Measurements for Single Alley Trees in Millimeter-Wave Bands. Sensors 2024, 24, 3190. [Google Scholar] [CrossRef] [PubMed]
- Zourmand, A.; Hing, A.L.K.; Hung, C.W.; AbdulRehman, M. Internet of Things (IoT) using LoRa technology. In Proceedings of the 2019 IEEE International Conference on Automatic Control and Intelligent Systems (I2CACIS), Selangor, Malaysia, 29 June 2019; pp. 324–330. [Google Scholar]
- Islam, N.; Rashid, M.M.; Pasandideh, F.; Ray, B.; Moore, S.; Kadel, R. A Review of Applications and Communication Technologies for Internet of Things (IoT) and Unmanned Aerial Vehicle (UAV) Based Sustainable Smart Farming. Sustainability 2021, 13, 1821. [Google Scholar] [CrossRef]
- Lima, W.G.; Lopes, A.V.R.; Cardoso, C.M.M.; Araújo, J.P.L.; Neto, M.C.A.; Tostes, M.E.L.; Nascimento, A.A.; Rodriguez, M.; Barros, F.J.B. LoRa Technology Propagation Models for IoT Network Planning in the Amazon Regions. Sensors 2024, 24, 1621. [Google Scholar] [CrossRef] [PubMed]
- Almalki, F.A.; Soufiene, B.; Alsamhi, S.H.; Sakli, H. A Low-Cost Platform for Environmental Smart Farming Monitoring System Based on IoT and UAVs. Sustainability 2021, 13, 5908. [Google Scholar] [CrossRef]
- Erenstein, O.; Jaleta, M.; Sonder, K.; Mottaleb, K.; Prasanna, B.M. Global maize production, consumption and trade: Trends and R&D implications. Food Secur. 2022, 14, 1295–1319. [Google Scholar] [CrossRef]
- Myagmardulam, B.; Miura, R.; Ono, F.; Kagawa, T.; Shan, L.; Nakayama, T.; Kojima, F.; Choijil, B. Choijil, Baasandash. Performance Evaluation of LoRa 920 MHz Frequency Band in a Hilly Forested Area. Electronics 2021, 10, 502. [Google Scholar] [CrossRef]
- Pensieri, S.; Viti, F.; Moser, G.; Serpico, S.B.; Maggiolo, L.; Pastorino, M.; Solarna, D.; Cambiaso, A.; Carraro, C.; Degano, C.; et al. Evaluating LoRaWAN Connectivity in a Marine Scenario. J. Mar. Sci. Eng. 2021, 9, 1218. [Google Scholar] [CrossRef]
- El Chall, R.; Lahoud, S.; El Helou, M. LoRaWAN Network: Radio Propagation Models and Performance Evaluation in Various Environments in Lebanon. IEEE Internet Things J. 2019, 6, 2366–2378. [Google Scholar] [CrossRef]
- Wu, B.; Guo, G.; Tian, G.; Liu, W. A Model with Leaf Area Index and Trunk Diameter for LoRaWAN Radio Propagation in Eastern China Mixed Forest. J. Sens. 2020, 2020, 1–16. [Google Scholar] [CrossRef]
- Mahjoub, T.; Mnaouer, A.B.; Said, M.B.; Boujemaa, H. LoRa signal propagation and path loss prediction in Tunisian date palm oases. Comput. Electron. Agric. 2024, 222, 109027. [Google Scholar] [CrossRef]
- Anzum, R. Factors that affect LoRa Propagation in Foliage Medium. Procedia Comput. Sci. 2021, 194, 149–155. [Google Scholar] [CrossRef]
- Aref, M.; Sikora, A. Free space range measurements with Semtech Lora™ technology. In Proceedings of the 2014 2nd International Symposium on Wireless Systems Within the Conferences on Intelligent Data Acquisition and Advanced Computing Systems, Offenburg, Germany, 11–12 September 2014; pp. 19–23. [Google Scholar]
- Joo, J.; Han, D.S.; Jeong, H.J. First Fresnel zone analysis in vehicle-to-vehicle communications. In Proceedings of the 2015 International Conference on Connected Vehicles and Expo (ICCVE), Shenzhen, China, 19–23 October 2015; pp. 196–197. [Google Scholar]
- Katircioğlu, O.; Isel, H.; Ceylan, O.; Taraktas, F.; Yagci, H.B. Comparing ray tracing, free space path loss and logarithmic distance path loss models in success of indoor localization with RSSI. In Proceedings of the 2011 19th Telecommunications Forum (TELFOR) Proceedings of Papers, Belgrade, Serbia, 22–24 November 2011; pp. 313–316. [Google Scholar]
- Cama-Pinto, D.; Damas, M.; Holgado-Terriza, J.A.; Gómez-Mula, F.; Cama-Pinto, A. Path Loss Determination Using Linear and Cubic Regression Inside a Classic Tomato Greenhouse. Int. J. Environ. Res. Public Health 2019, 16, 1744. [Google Scholar] [CrossRef] [PubMed]
- Kurt, S.; Tavli, B. Path-Loss Modeling for Wireless Sensor Networks: A review of models and comparative evaluations. IEEE Antennas Propag. Mag. 2017, 59, 18–37. [Google Scholar] [CrossRef]
- Joosens, D.; BniLam, N.; Berkvens, R.; Weyn, M. Software-Defined Radio-Based Internet of Things Communication Systems: An Application for the DASH7 Alliance Protocol. Appl. Sci. 2025, 15, 333. [Google Scholar] [CrossRef]
- Zhu, G.; Liao, C.H.; Sakdejayont, T.; Lai, I.W.; Narusue, Y.; Morikawa, H. Improving the Capacity of a Mesh LoRa Network by Spreading-Factor-Based Network Clustering. IEEE Access 2019, 7, 21584–21596. [Google Scholar] [CrossRef]
























| Key Characteristics | Advantages |
|---|---|
| Reception Sensitivity: Up to −148 dBm | Long-Range Communication |
| Distance: 3–8 km in urban areas; 15 km in suburban areas | |
| Current Consumption: 10 mA in receive mode; <200 nA in sleep mode | Low Power Consumption |
| Battery life is 3–5 times that of other LPWAN technologies | |
| Low infrastructure and operational costs | Low Cost |
| License-free Frequency Bands: 433/470–510 MHz; 868 MHz; 902–928 MHz | |
| Chip costs approximately 1.5–2 | |
| Data Rate: 0.3 kb/s–50 kb/s | Low Data Rate |
| The LoRa Alliance has established the standard LoRaWAN | Standardization: |
| Equipment | MCU | LoRa Chip | Power Supply (v) | Antenna Gain (dBi) |
|---|---|---|---|---|
| Gateway | HC32L196 | SX1268 | 5 | 5 |
| Node | HC32L196 | SX1268 | 5 | 5 |
| Transmission Power (dBm) | SF | Coding Rate | Bandwidth(kHz) | Payload Length |
|---|---|---|---|---|
| 20 | 12 | 4/6 | 125 | 480 |
| 20 | 12 | 4/6 | 125 | 480 |
| Propagation Model | R2 | RMSE |
|---|---|---|
| FSPL | 0.928 | 4.9 |
| Two-Ray | −3.159 | 37.1 |
| COST235-In leaf | −13.431 | 69.1 |
| COST235-Out leaf | −4.185 | 41.4 |
| Weissberger | −31.375 | 103.4 |
| Transmitter Antenna Height | n | k | R2 | RMSE |
|---|---|---|---|---|
| 0 | 3.506 | 57.514 | 0.960 | 3.011 |
| 2 | 3.133 | 61.131 | 0.970 | 2.545 |
| 4 | 3.563 | 50.064 | 0.943 | 4.168 |
| 6 | 3.692 | 44.580 | 0.928 | 4.882 |
| 8 | 3.527 | 45.819 | 0.958 | 3.495 |
| 10 | 3.251 | 49.958 | 0.960 | 3.179 |
| Transmitter Antenna Height | n | k | R2 | RMSE |
|---|---|---|---|---|
| 0 | 3.609 | 35.633 | 0.968 | 3.213 |
| 2 | 3.153 | 40.789 | 0.957 | 3.575 |
| 4 | 3.447 | 31.144 | 0.971 | 3.254 |
| 6 | 3.016 | 39.955 | 0.966 | 3.103 |
| 8 | 3.033 | 37.591 | 0.992 | 1.475 |
| 10 | 3.038 | 34.925 | 0.942 | 4.105 |
| Transmitter Antenna Height | n Maize Environments | n Open Environments | K Maize Environments | K Open Environments |
|---|---|---|---|---|
| 0 | 3.506 | 3.609 | 57.514 | 35.633 |
| 2 | 3.133 | 3.153 | 61.131 | 40.789 |
| 4 | 3.563 | 3.447 | 50.064 | 31.144 |
| 6 | 3.692 | 3.016 | 44.580 | 39.955 |
| 8 | 3.527 | 3.033 | 45.819 | 37.591 |
| 10 | 3.251 | 3.038 | 49.958 | 34.925 |
| Transmitter Antenna Height | R2 | RMSE |
|---|---|---|
| 0 | 0.928 | 3.118 |
| 2 | 0.876 | 3.571 |
| 4 | 0.718 | 4.687 |
| 6 | 0.912 | 3.334 |
| 8 | 0.863 | 4.114 |
| 10 | 0.802 | 6.421 |
Disclaimer/Publisher’s Note: The statements, opinions and data contained in all publications are solely those of the individual author(s) and contributor(s) and not of MDPI and/or the editor(s). MDPI and/or the editor(s) disclaim responsibility for any injury to people or property resulting from any ideas, methods, instructions or products referred to in the content. |
© 2025 by the authors. Licensee MDPI, Basel, Switzerland. This article is an open access article distributed under the terms and conditions of the Creative Commons Attribution (CC BY) license (https://creativecommons.org/licenses/by/4.0/).
Share and Cite
Xu, T.; Ma, D.; Fang, W.; Huang, Y. Experimental Study on the Propagation Characteristics of LoRa Signals in Maize Fields. Electronics 2025, 14, 2156. https://doi.org/10.3390/electronics14112156
Xu T, Ma D, Fang W, Huang Y. Experimental Study on the Propagation Characteristics of LoRa Signals in Maize Fields. Electronics. 2025; 14(11):2156. https://doi.org/10.3390/electronics14112156
Chicago/Turabian StyleXu, Tianxin, Daokun Ma, Wei Fang, and Yujie Huang. 2025. "Experimental Study on the Propagation Characteristics of LoRa Signals in Maize Fields" Electronics 14, no. 11: 2156. https://doi.org/10.3390/electronics14112156
APA StyleXu, T., Ma, D., Fang, W., & Huang, Y. (2025). Experimental Study on the Propagation Characteristics of LoRa Signals in Maize Fields. Electronics, 14(11), 2156. https://doi.org/10.3390/electronics14112156
