Next Article in Journal
Early Breast Cancer Detection Using Artificial Intelligence Techniques Based on Advanced Image Processing Tools
Previous Article in Journal
Enhanced Coil Design for Inductive Power-Transfer-Based Power Supply in Medium-Voltage Direct Current Sensors
Previous Article in Special Issue
The Use of Business Intelligence Software to Monitor Key Performance Indicators (KPIs) for the Evaluation of a Computerized Maintenance Management System (CMMS)
 
 
Font Type:
Arial Georgia Verdana
Font Size:
Aa Aa Aa
Line Spacing:
Column Width:
Background:
Article

An Evaluation of the Autonomic Nervous Activity and Psychomotor Vigilance Level for Smells in the Work Booth

by
Emi Yuda
1,
Aoi Otani
2,
Atsushi Yamada
2 and
Yutaka Yoshida
1,*
1
Graduate School of Information Sciences, Tohoku University, 6-3-09 Aoba, Aramaki-aza Aoba-ku, Sendai 980-8579, Japan
2
Fuji Industrial Co., Ltd., 2-1-9 Fuchinobe, Chuo-ku, Sagamihara 252-0206, Japan
*
Author to whom correspondence should be addressed.
Electronics 2024, 13(17), 3576; https://doi.org/10.3390/electronics13173576
Submission received: 22 June 2024 / Revised: 30 August 2024 / Accepted: 6 September 2024 / Published: 9 September 2024

Abstract

In this study, we investigated the effects of the smell environment in the work booth on autonomic nervous activity (ANS) and psychomotor vigilance levels (PVLs) using linalool (LNL) and trans-2-nonenal (T2N). The subjects were six healthy males (31 ± 6 years old) and six healthy females (24 ± 5 years old). They sat in the work booth filled with the smells of LNL and T2N for 10 min, and their electrocardiograms (ECGs), skin conductance levels, pulse wave variabilities, skin temperatures, and seat pressure distributions were measured. In addition, the orthostatic load test (OLT) and psychomotor vigilance test (PVT) were performed before and after entering the work booth, and a subjective evaluation of the smell was also performed after the experiment. This paper focused on ECG and PVT data and analyzed changes in heart rate variability indices and PVT scores. Males felt slightly comfortable with the LNL smell and showed promoted sympathetic nerve activity in the OLT after the smell presentation. Females felt slightly uncomfortable with the T2N smell and showed promoted sympathetic nerve activity and a decrease in PVT scores in the OLT after the smell presentation. Gender differences were observed in ANS and PVLs, and it is possible that the comfort of LNL increased sympathetic nervous activity in males, while the uncomfortableness of T2N may have reduced work performance in females.

1. Introduction

As the spread of COVID-19 has led to the widespread adoption of teleworking and online work around the world, the installation and use of work booths at train stations and airports have become common as part of work reforms to combat infectious diseases. Work booths are used not only when you want to concentrate on your work alone, but also for meetings and business negotiations with people outside the company, Zoom meetings, and so on. However, work booths are small spaces and are used by an unspecified number of people, which creates problems with smells lingering. Furthermore, people have different preferences when it comes to smells; it is possible that a disliked smell can cause discomfort or reduce work performance. Therefore, it is necessary to investigate the effects of smells inside work booths on the biological body.
Most studies on smells use essential oils and aromatic oils and include the calming effects of smells on mental stress [1], the synergistic effects of combining smells and music to reduce cognitive stress [2], recovery from physical stress [3], the improvement of work performance [4], and the physiological evaluation of bad smells [5]. Most of these studies involve objective evaluations of autonomic nervous activity (ANS) by analyzing biosignals such as heart rate variability (HRV), blood pressure, electrodermal activity, and salivary alpha amylase, or subjective evaluations through questionnaire surveys. However, such experiments have been performed in large spaces, and there are few studies that have examined the effects of smells by presenting them to humans in a small space, such as a work booth. Therefore, although it is difficult to compare the effects of biological condition to smell in the work booth with previous studies, there is a novelty in investigating the effects using similar biosignals as in previous studies.
We aim to evaluate the biological condition by the multimodal analysis of many biosignals in fields related to smells, such as industry, environmental design, and health management. The purpose of this study is to investigate whether comfortable and uncomfortable smells in a work booth affect the ANS and psychomotor vigilance levels (PVLs) using biosignals and subjective evaluation.
The smell focused on in this study were linalool (LNL) and trans-2-nonenal (T2N). LNL is said to have a relaxing effect and is a fragrance widely used in cosmetics and household products, and until recently, it was also shown to have low contact allergies. It is a valuable fragrance ingredient used in various cosmetics and is known as a valuable essential oil used as a fragrance alongside citrus fruits and lavender [6,7]. On the other hand, T2N is known as a malodorous compound that causes body odor associated with human aging. It may cause physiological changes such as stress responses, mood changes, increased skin conductance, and activation of the sympathetic nervous system, suggesting that sensing malodors may be a way to detect health hazards [8,9].
Since people have different preferences for these smells, it is not necessarily the case that LNL is comfortable and T2N is uncomfortable. Moreover, since this is an experiment on humans, strong smells are limited, so the subjects’ psychology regarding smell was investigated through subjective evaluation. Biosignals were measured, including the electrocardiogram (ECG), skin conductance, pulse rate, skin temperature, and seat pressure. In this paper, ANS was evaluated by calculating the time domain and frequency domain indices of HRV from the ECG. In addition, the PVL can be measured by measuring the reaction time of the fingers using the psychomotor vigilance test (PVT) [10].
In a previous experiment, the authors have developed HRV analysis software with a PVT application implemented together with Crosswell Co., Ltd. (Yokohama, Japan) [11]. This software not only measures ECG, but also has the orthostatic load test (OLT) application installed, which allows the easy examination of the state of ANS from HRV indices when standing up from a sitting position. This paper focuses on physiological considerations when presenting LNL and T2N in a work booth using these applications.

2. Methods

2.1. Subjects

The subjects were 6 healthy males (31 ± 6 years old) and 6 healthy females (24 ± 5 years old). All subjects received an explanation from the experimenter in advance, and after being fully satisfied with the content, agreed to participate in the experiment. The selection criteria for the subjects were that they were healthy adults under 40 years old without any chronic diseases. In addition, the following five exclusion criteria were used to select subjects:
i. Within the past 3 months, there has been an acute illness requiring hospitalization or the appearance of new symptoms of a chronic illness.
ii. Are possibly pregnant, pregnant or breastfeeding.
iii. Person with a history of skin allergies to wristwatch-type wearable devices or medical electrocardiogram electrodes.
iv. Person with allergies or hypersensitivity to fragrances.
v. Person who is unable to make their own judgment about whether to participate, or whom the research physician deems inappropriate for any other reason.

2.2. Components of Fragrances and Work Booth

The fragrances used in the experiment were LNL and T2N. These fragrances were diluted with ethanol and pure water and sprayed using a diffuser. The mixing ratios of LNL, ethanol, and pure water were 0.5%, 37.5%, and 62%, respectively. The mixing ratios of T2N, ethanol, and pure water were 0.5%, 50%, and 49.5%, respectively. Figure 1 shows the exterior and interior of the work booth (Law Partition C&L typeF, COMANY Corporation, Komatsu, Japan). The external dimensions of the work booth are 1000 mm (W) × 1200 mm (D) × 1940 mm (H), the internal dimensions of the work booth are 900 mm (W) × 1100 mm (D) × 1940 mm (H), the indoor volume is 1.92 m3, and the ventilation volume is 10 m3/h. A diffuser, temperature/humidity CO2 sensor, table fan, and chair were set on the floor in the booth. During the experiment, the room temperature in the work booth was 22.1 ± 1.2 °C and the humidity was 41.3 ± 5.2%.
The airborne fragrance concentrations set in the booth were 24 ppb for LNL and 1.5 ppb for T2N. Figure 2 shows the diffuser (nebulizing diffuser orb, @aroma Corporation, Tokyo, Japan) used in the experiment. The fragrance was sprayed for 2 min using a nebulizer system, followed by a 1 min pause. Preliminary tests have confirmed that if the 2 min spray and 1 min pause are continued for more than 1 h with ventilation, the airborne fragrance concentration will remain almost constant. In the preliminary tests, the amount of fragrance sprayed was measured after 3 sets of 2 min sprays and 1 min pauses, and the required ventilation volume was calculated using the Seidel formula based on SHASE-S102, specified by the Society of Heating, Air-Conditioning and Sanitary Engineers of Japan [12]. Two work booths were set up on the floor: one was presented with LNL and the other with T2N.
The lighting equipment in the booth was an LED (LSEB9505KLB1, Panasonic Corporation, Tokyo, Japan). The illuminance in the booth was measured using a digital illuminometer (TLX-204, TRUSCO NAKAYAMA Corporation, Tokyo, Japan). The illuminance was measured in the center of the booth at a height of 700 mm and in the gaze direction at a height of 1200 mm. The illuminance was measured 5 times in each booth and the mean illuminance was calculated. Table 1 shows the mean illuminance and standard deviation in the booth. There is not much difference in illuminance between the two booths.

2.3. Measurement Device of Biosignals

2.3.1. ECG and HRV Analysis

ECG was measured using the ECG/Heart Rate Measurement Amplifier (LRR-05, GMS Company Limited, Tokyo, Japan) with a detection sensitivity of 0.3 mV to 10 mV, dimensions of 114 mm (W) × 68 mm (H) × 19 mm (D), a weight of 118 g, and a power supply of two AAA batteries or USB [13]. The ECG was recorded with electrodes attached to the right arm and left ankle (2-lead ECG measurement) at a sampling frequency of 1 kHz. The measured ECG was sent to the PC via the USB port and the ECG was analyzed using the real-time monitoring of ANS (Reflex Meijin, Crosswell Corporation, Yokohama, Japan) [11]. All R waves (sharp deflections corresponding to electrical excitation of the ventricles) were detected, and RR intervals (RRI) were obtained for each beat. HRV was analyzed by separating the variability in the RRI time series into the time and frequency domains. The time domain indices used were the mean heart rate [MHR, bpm] and the coefficient of variation of RRI [CVRR %]. The CVRR was calculated by dividing the standard deviation of the RRI by its mean value. The frequency domain indices used were LFP (power of low frequency component; 0.04–0.15 Hz, [ms2]), HFP (power of high frequency component; 0.15–0.45 Hz, [ms2]), and LFP/HFP (LFP to HFP ratio). These indices were calculated beat-by-beat from the RRI over 30 s using the maximum entropy method (MEM). LFP reflects both sympathetic and parasympathetic activity and baroreceptor reflex sensitivity, and HFP reflects parasympathetic activity. LFP/HFP reflects sympathetic nerve activity [14,15].
In addition, OLT was performed using the same manufacturer’s blood pressure and HRV analysis software [11]. This software calculates the mean HRV indices and other indices of ANS from posture changes during 2 min of sitting, 1 min immediately after standing, and 2 min of maintaining the standing position. Methods for power spectral density analysis of RRI time series include fast Fourier transform (FFT), coefficient estimation of autoregressive model (ARM), and MEM [16,17,18]. FFT and ARM are mainly used in stable states where body movement does not change significantly. On the other hand, MEM enables us to also analyze transient states where body movements change significantly in a short period of time [18]. Therefore, it is suitable for real-time frequency analysis even in a state where HRV fluctuates significantly during OLT.

2.3.2. Measurement of PVT

PVT is known internationally as a measure of sleepiness, fatigue, and PVL [19,20,21]. Using a computer and mouse, subjects repeatedly performed the simple task of clicking the mouse when a number (elapsed time) appeared on the display for several minutes. By measuring this reaction time and analyzing the variance, it is possible to objectively evaluate levels of sleep deprivation and fatigue. To investigate PVL before and after smell presentation, reaction times of the mouse click (RT, ms) and the number of times RT was between 500 ms and 1000 ms (minor lapse: ML, %) were measured using the PVT. The number of flying starts (FSs) was also measured. The measurement time was 300 s, the waiting time until the value was displayed on the screen was between 2 s and 10 s, and RTs exceeding 1000 ms were excluded. The PVT software used was the PVT Meijin (Crosswell Corporation, Yokohama, Japan) [11]. PVT was performed using a 15.6-inch laptop (Panasonic, Windows11, Let’s note SV8). The distance from the subject’s eyes to the screen was approximately 70 cm, and the PVT font size was 72 pt.

2.3.3. Measurement of Other Biosignals

In parallel to the ECG, the following biosignals were measured: skin conductance level (SCL, Electro Dermal Activity Sensors, PLUX wireless biosignals S.A., Lisbon, Portugal), pulse wave variability and skin temperature (SilmeeW22, TDK Corporation, Tokyo, Japan), and seat pressure distribution (SR Soft Vision Numeric Version, Sumitomo Riko Company Limited, Nagoya, Japan).
The performance specifications of the Electro Dermal Activity Sensors are as follows: a range of 0–24 μS, a bandwidth of 0–3 Hz, a consumption of 0–0.72 mA, and a sampling frequency of 1 kHz. The sensor was a 2-wire-type with polarity, with the positive and negative sensors attached to the index and middle fingers of the left hand, respectively.
The SilmeeW22 was a wristwatch-type pulse wave sensor and it was worn on the left wrist. For pulse wave detection, volume pulse waves were measured with a green LED at a sampling frequency of 20 Hz. The temperature sensor used was a digital semiconductor temperature sensor to measure the skin temperature of the wrist in the range of −10 °C to 45 °C. These biosignals were recorded every minute [22].
The seat pressure distribution was measured using SR Soft Vision Numeric Version. The seat size was 450 mm × 450 mm (detection area: 350 mm × 350 mm), there were 256 measurement points (16 × 16), the spatial resolution was 22 mm2 square, the measurement range was 20–200 mmHg, and the screen update interval was approximately 0.2 s [23].

2.4. Subjective Evaluation of Smell

After the smell presentation, the subjects answered a subjective evaluation questionnaire of the smell (Table 2). The evaluation questions included smell intensity, comfort level, and liking. Smell intensity was rated on a scale of 6 levels, comfort level on a scale of 9 levels, and liking on a scale of 5 levels.

2.5. Experimental Protocol

The twelve subjects were divided into group A (N = 6, 3 females, 28 ± 5 years old) and group B (N = 6, 3 females, 27 ± 9 years old). The experiment was performed between 9:00 a.m. and 5:00 p.m. on 13 December 2023, and subjects were fully informed in advance. The experimental protocol adopted a crossover design to account for the order of smell presentation. In the morning, LNL was presented to group A and T2N was presented to group B. In the afternoon, T2N was presented to group A and LNL was presented to group B. First, the airborne fragrance concentration inside the booth was adjusted. Next, subjects were fitted with electrodes and sensors outside the booth and performed the OLT (5 min) and PVT (5 min). After sitting in a chair and resting for 5 min, they entered the booth and sat in the chair with their eyes open for 10 min. After that, subjects exited the booth and performed a sitting rest (5 min), the OLT (5 min), PVT (5 min), and subjective evaluation (5 min), at which point the morning experiment was concluded (Table 3).
The total experiment time was approximately 45 min per subject. While the subject was in the booth, the next subject performed the OLT and PVT. In the afternoon experiment, similar measurements were performed with different smell presentations. These experiments were performed simultaneously for both Group A and Group B. The washout period for the smell effect on each subject was approximately 3 h. The instructions given to the subjects were as follows: Get enough sleep the night before the experiment and avoid drinking alcohol. On the day of the experiment, avoid smoking and eating or drinking anything with a strong smell.

2.6. Statistical Analysis

In this study, we measured many biosignals to evaluate the effect of smell on biological conditions. This paper focused on the ECG, the PVT, and subjective evaluation data, and analyzed separately for both sexes to investigate whether the two types of smell significantly changed ANS and PVL. Data of the OLT were analyzed using univariate general linear models (UGLM) to investigate whether there were significant differences in HRV indices due to 2 factors: before and after smell presentation (factor 1: 2 levels) and posture change (factor 2: 3 levels). The mean of HRV indices during smell presentation and at rest before and after smell presentation were calculated for each subject, and HRV indices were analyzed using UGLM with 2 factors: smell presentation (factor 1: 2 levels) and event change (factor 2: 3 levels; rest1, smell, rest2). UGLM analysis was adjusted for age as a covariate. The RT and ML measured from the PVT were compared before and after smell presentation using paired t-tests. In the subjective evaluation, the questions about the two types of smells were compared using paired t-tests. The statistical software used was IBM SPSS Statistics (version 28.0.1.0, Armonk, NY, USA). The significance level was set at 5%, with p < 0.05 for significance and p < 0.1 for trends.

3. Results

Figure 3 and Figure 4 show the results of the OLT before and after the presentation of the LNL smell in males and females, respectively. In males, LFP increased significantly after smell presentation compared with before (p = 0.045). Furthermore, all HRV indices showed significant differences for posture change (p < 0.01). In females, CVRR increased significantly after smell presentation compared with before (p = 0.010). MHR, CVRR, HFP, and LFP/HFP showed significant differences for posture change (p < 0.05). There was no interaction between the two factors in both males and females.
Figure 5 and Figure 6 show the results of the OLT before and after the presentation of the T2N smell in males and females, respectively. In males, no significant differences were shown in any of the HRV indices before and after smell presentation. All HRV indices showed significant differences for posture change (p < 0.01). There was no interaction between the two factors. In females, CVRR and LFP/HFP showed increasing trends after smell presentation compared with before (CVRR: p = 0.083, LFP/HFP: p = 0.055). MHR, CVRR, HFP, and LFP/HFP showed significant or trend differences for posture change (p < 0.1). An interaction between the two factors was shown in LFP/HFP (p = 0.050).
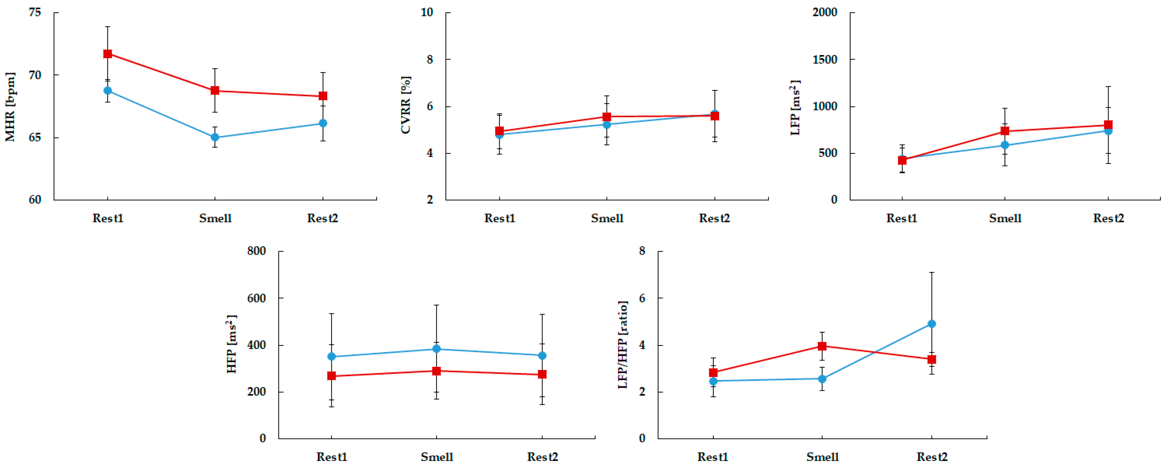
Figure 7 and Figure 8 show the changes in HRV indices during rest and smell presentation in males and females, respectively.
In males, CVRR, LFP, and LFP/HFP were significantly increased or showed an increasing trend in LNL compared with T2N (CVRR: p = 0.063, LFP: p = 0.024, LFP/HFP: p = 0.070). No significant differences were shown in any of the HRV indices for event change. In females, MHR was significantly decreased in LNL compared with T2N (p = 0.005), and MHR showed a decreasing trend for event change. There was no interaction between the two factors in both males and females.
Figure 9 and Figure 10 show the changes in PVT indices before and after smell presentation in males and females. In males, no significant differences were shown in any of the indices in both LNL and T2N. In females, RT increased significantly after smell presentation compared with before for T2N (p = 0.049), and ML showed an increasing trend after smell presentation compared with before for T2N (p = 0.087).
Table 4 shows the results of the subjective evaluation for males and females. Values are shown as means and standard errors. The smell intensity tended to be stronger in T2N than LNL in females (p = 0.093). Males and females were more comfortable with LNL than T2N (males: p < 0.001, females: p = 0.007) and LNL was liked by them (males: p = 0.025, females: p = 0.003). Focusing on the mean values for each question, for LNL, the values in males were as follows: Q1, “Weak smell”; Q2, at a level ranging from “Neither comfortable nor uncomfortable” to “Slightly comfortable”; and Q3, “Neither liking nor disliking”. For Q1, females were at a level ranging from “Barely detectable smell” to “Weak smell”; for Q2, “Slightly comfortable”; and for Q3, “Slightly liking”. For T2N, males were as follows: Q1, “Weak smell”; Q2, at a level ranging from “Slightly uncomfortable” to “Uncomfortable”; and Q3, “Slightly disliking”. For Q1, females were at a level ranging from “Weak smell” to “Easy to detect smell”; for Q2, “Slightly uncomfortable”; and for Q3, “Slightly disliking”.

4. Discussion

In this paper, we evaluated ANS and PVL when smell stimuli of LNL and T2N were presented in a work booth using HRV and PVT. First, the smells used in this experiment were LNL and T2N. The subjective evaluation of how these smells were felt by the subjects revealed that neither of the smells was extremely comfortable nor uncomfortable, but rather slightly comfortable or slightly uncomfortable.
LNL was slightly preferred by females compared to males, and T2N was slightly dislikable by both males and females. At a slight level, significant differences were observed between LNL and T2N in the comfortable/uncomfortable questions and preferences for both males and females. In questions of smell intensity, both males and females rated the smells as weak smells; however, they were easy to detect, which was roughly the middle level of the intensity scale. However, females felt the smell to be significantly stronger with T2N than with LNL.
In the OLT, immediately after active standing, peripheral vascular resistance decreases, and over time, venous return decreases and cardiac output decreases, resulting in a decrease in arterial pressure. To prevent a decrease in arterial pressure, the baroreceptor reflex is activated, promoting sympathetic nervous activity and keeping blood pressure by increasing vascular resistance and heart rate [24,25]. In the standing test, MHR, LFP, and LFP/HFP increased immediately after standing in both males and females regardless of the type of smell, revealing that the baroreceptor reflex was functioning normally. Comparing the OLT results before and after smell presentation, LFP increased after LNL presentation in males, and CVRR and LFP/HFP increased after T2N presentation in females. These results suggest that after LNL in males and T2N in females, the baroreflex sensitivity increases, and that RR interval variability is also increased, especially in females.
In the work booth, CVRR, LFP, and LFP/HFP increased in males with LNL compared to T2N. In addition to blood pressure variability, factors that cause the increase in LFP include respiratory sinus arrhythmia caused by slow respiration of 0.15 Hz or less [26,27]. Since there was no body movement and conversation in the work booth, and the subjects were sitting quietly in their chairs, it is unlikely that the rhythm of respiration was a factor in the increase in LFP. Therefore, it suggests that the cause of LFP increase is blood pressure variability due to LNL, and that LNL has the effect of promoting sympathetic nervous activity. It is considered that CVRR increased due to an increase in the LF component of HRV. MHR in females was higher with LNL compared to T2N. Because the baseline MHR was different from that at rest, it is unlikely that this difference was due to LNL or T2N; however, this suggests that MHR decreases regardless of the smell.
In the PVT, no difference was observed in PVL after the presentation of the two types of smells in males, but RT was significantly slower after the presentation of T2N in females, and ML tended to increase. Since increased sympathetic nervous activity was observed in females after T2N presentation, it is considered that the stress of the uncomfortable smell increased sympathetic nervous activity and reduced PVL. On the other hand, in females, although sympathetic nervous activity was promoted during and after LNL presentation, there was no difference in PVL between LNL and T2N. This suggests that the factors behind the changes in PVL due to the smell may involve not only ANS, but also the subjective perception of the smell.
There are many previous studies on ANS related to LNL. Lin H et al. (2017) reported that the aromatherapy group performed faster on a PC task than the control group, and there was a significant difference in HRV [28]. Eva H et al. (2004) reported on physiological parameters and subjective well-being after transdermal administration of LNL and found a decrease in systolic blood pressure and skin temperature, but no effect on well-being [29]. Kyoko K et al. (2005) reported the effect of the scent of jasmine tea, which contains LNL, on ANS and mood [30]. The concentration used in this experiment was at a level that did not cause psychological effects, and the promotion of parasympathetic nervous activity was confirmed.
On the other hand, there are no research papers on HRV analysis when T2N is presented, but there are research papers on uncomfortable smells. Croy I et al. (2013) reported that uncomfortable smells attract a lot of attention, but when presented repeatedly, only the emotional salience decreases, which is reflected in a decrease in neural activity [31]. Iordanis K et al. (2006) suggested that smells perceived as uncomfortable are age-invariant [32]. Mateus H et al. (2020) investigated the effect of uncomfortable vomit smells from fermented foods on subjects’ emotions and found feelings of sadness [33]. Yukei H et al. (2019) suggested that the subjective uncomfortableness of smells itself can trigger emotions and stress responses in sympathetic nervous activity [5].
These previous studies results confirm that parasympathetic nervous activity is promoted by LNL, which improves PC task time. However, the results of this study showed that LNL did not significantly affect ANS or PVL in females, whereas sympathetic nervous activity was promoted in males. It has been reported that sympathetic nervous activity is promoted by negative psychological stress [34], but also by positive psychological stress [35]. The subjective evaluation by males showed slightly positive results from LNL, and it is possible that the comfort of LNL increased sympathetic nervous activity. On the other hand, previous studies have shown that uncomfortable smells induce negative emotions and stress, and sympathetic nervous activity is promoted. Both males and females found T2N mildly uncomfortable and did not like it, but the promotion of sympathetic nervous activity in females is consistent with previous studies. Gender differences were observed in ANS and PVL, and in particular, females may reduce work performance due to the uncomfortable smell.
In this experiment, the smell was sprayed using a diffuser in a work booth, which is a small space for one person, and the airborne fragrance concentration was different from that in previous studies, so it is not possible to simply compare the results with previous studies. Furthermore, because this was a large-scale experiment using a work booth, there is a limitation in that the number of subjects collected was relatively small. As work booths become more widespread in the future, it will be necessary to verify the reproducibility of the research results.

5. Conclusions

This study mainly focused on the practical application of medical electronic devices in daily life and the pursuit of spatial comfort. We investigated the effects of the smell environment in the work booth on ANS and PVL using LNL and T2N. These effects were clarified by analyzing gender differences. This analysis focused on HRV and PVT data, but we have also measured skin conductance level, seat pressure distribution, and skin temperature, and will aim to quantify the subjective perception of smells by clarifying human responses to comfortable and uncomfortable smells using a multimodal analysis. We believe that the insights gained from this research will provide the basis for potential future hardware innovations.

Author Contributions

E.Y. designed the main conceptual ideas, supervised the project, and wrote the manuscript. Y.Y. analyzed the data and wrote the manuscript. A.O. and A.Y. supported the design of experiment, data collection, and interpretation of the results. All authors have read and agreed to the published version of the manuscript.

Funding

This work was supported by the New Energy and Industrial Technology Development Organization (NEDO).

Institutional Review Board Statement

The studies involving human participants were reviewed and approved by the Graduate School of Information Sciences Tohoku University Institutional Review Board (No. 23A-06; approved 29 November 2023).

Informed Consent Statement

Informed consent was obtained from all subjects involved in this study.

Data Availability Statement

Data is contained within the article.

Conflicts of Interest

Authors A.O. and A.Y. were employed by the company Fuji Industrial Co., Ltd. The remaining authors declare that the research was conducted in the absence of any commercial or financial relationships that could be construed as a potential conflict of interest.

References

  1. Tamaki, M.; Hiroyuki, A.; Tatsuya, H. Does lavender aromatherapy alleviate premenstrual emotional symptoms?: A randomized crossover trial. Biopsychosoc. Med. 2013, 7, 12. [Google Scholar]
  2. Alessia, B.; Sophie, D.; Sonia, P.; Renaud, B. Relaxing effects of music and odors on physiological recovery after cognitive stress and unexpected absence of multisensory benefit. Psychophysiology 2023, 60, e14251. [Google Scholar]
  3. Pin, H.L.; Yuan, P.L.; Kai, L.C.; Shang, Y.Y.; Yin, H.S.; Po, Y.W. Effect of aromatherapy on autonomic nervous system regulation with treadmill exercise-induced stress among adolescents. PLoS ONE 2021, 16, e0249795. [Google Scholar]
  4. Reiko, S.; Kazuya, M.; Akira, U.; Yoshikazu, I.; Shigenobu, K. Effectiveness of aroma on work efficiency: Lavender aroma during recesses prevents deterioration of work performance. Comp. Study Chem. Senses 2005, 30, 683–691. [Google Scholar]
  5. Yukei, H.; Mika, S.; Masako, O.; Kazushige, T. Subjective unpleasantness of malodors induces a stress response. Psychoneuroendo Crinology 2019, 106, 206–215. [Google Scholar]
  6. Jugreet, B.S.; Fawzi, M.M.; Gokhan, Z.; Filippo, M. Essential Oils as Natural Sources of Fragrance Compounds for Cosmetics and Cosmeceuticals. Molecules 2021, 26, 666. [Google Scholar] [CrossRef]
  7. Brain, K.R.; Green, D.M.; Jones, A.C.; Walters, K.A.; Api, A.M.; Selechnik, D.; Joshi, K. In vitro human skin absorption of linalool: Effects of vehicle composition, evaporation and occlusion on permeation and distribution. Int. J. Pharm. 2022, 622, 121826. [Google Scholar] [CrossRef]
  8. Shinobu, N.; Mio, M.; Mitsuhiro, D. Effects of trans-2-nonenal and olfactory masking odorants on proliferation of human keratino cytes. Biochem. Biophys. Res. Commun. 2021, 548, 1–6. [Google Scholar]
  9. Kenta, I.; Hidehisa, M.; Kenta, I.; Koji, T.; Takahiro, A.; Yasuhiko, I.; Kohji, M. Gas-Phase Biosensors (Bio-Sniffers) for Measurement of 2-Nonenal, the Causative Volatile Molecule of Human Aging-Related Body Odor. Sensors 2023, 23, 5857. [Google Scholar] [CrossRef]
  10. Mathias, B.; Daniel, M.; David, F.D. Validity and Sensitivity of a Brief Psychomotor Vigilance Test (PVT-B) to Total and Partial Sleep Deprivation. Acta Astronaut. 2011, 69, 949–959. [Google Scholar]
  11. Crosswell. Available online: https://crosswell.co.jp (accessed on 20 June 2024).
  12. Shinya, T.; Ineko, T.; Koki, M.; Keiko, M. Study on Ventilation Issues Focused on Ventilation Behavior during the Inter-mediate Season of Nursery Facilities in Urban Area. J. Environ. Eng. 2023, 88, 288–299. [Google Scholar]
  13. GMS. Available online: http://gms-jp.com/index.html (accessed on 29 August 2024).
  14. Task Force of the European Society of Cardiology; the North American Society of Pacing and Electrophysiology. Heart rate variability: Standards of measurement, physiological interpretation and clinical use. Circulation 1996, 93, 1043–1065. [Google Scholar] [CrossRef]
  15. Elghozi, J.L.; Laude, D.; Girard, A. Effects of respiration on blood pressure and heart rate variability in humans. Clin. Exp. Pharmacol. Physiol. 1991, 18, 735–742. [Google Scholar] [CrossRef]
  16. Rozentryt, P.; Trzos, G.; Strłojewski, D.; Kozlowski, J.W.; Maciejewski, M. The effect of orthostatic provocation on the spectral pattern of heart rate variability in healthy subjects. Przegl. Lek. 1996, 53, 534–539. [Google Scholar] [PubMed]
  17. Thorsten, S.; Bernhard, H.; Christian, W.; Jürgen, S.; Christian, J. Evaluation of techniques for estimating the power spectral density of RR-intervals under paced respiration conditions. J. Clin. Monit. Comput. 2014, 28, 481–486. [Google Scholar]
  18. Yasuyuki, S.; Yoshinori, K.; Taketaro, S.; Koichiro, A.; Keitaro, A.; Sarasa, I.; Fumiaki, Y.; Kazutaka, M.; Takahiko, N.; Yuichi, T.; et al. Real-Time Analysis of the Heart Rate Variability during Incremental Exercise for the Detection of the Ventilatory Threshold. J. Am. Heart Assoc. 2018, 7, e006612. [Google Scholar]
  19. Al-Baraa, A.A.; Ahmad, S.N.I.; Maged, S.A.; Noreen, K. Implementation of a psychomotor vigilance test to investigate the effects of driving fatigue on oil and gas truck drivers’ performance. Front. Public Health 2023, 11, 1160317. [Google Scholar]
  20. Thitaporn, C.; Emily, K.S.; Connie, L.T.; Margaux, E.B.; John, D.H.; Thomas, J.B.; Tracy, J.D. Quantifying the effects of sleep loss: Relative effect sizes of the psychomotor vigilance test, multiple sleep latency test, and maintenance of wakefulness test. Sleep Adv. 2022, 3, zpac034. [Google Scholar]
  21. Dinges, D.F.; Powell, J.W. Microcomputer analysis of performance on a portable, simple visual RT task during sustained opera tions. Behav. Res. Methods Instrum. Comput. 1985, 17, 652–655. [Google Scholar] [CrossRef]
  22. Yutaka, Y.; Emi, Y. Workout Detection by Wearable Device Data Using Machine Learning. Appl. Sci. 2023, 13, 4280. [Google Scholar] [CrossRef]
  23. Sumitomo Riko. Available online: https://www.sumitomoriko.co.jp/product/health/SVZB4545L/ (accessed on 29 August 2024).
  24. Mitsuhiro, A. Orthostatic Test. Equilibrium Res. 2021, 80, 159–166. [Google Scholar]
  25. Bruno, E.; Ana, L.R.; Raúl, M.M.; Rube, F.; Fermín, G.; Katherine, B.; Sofía, M.B.; Guillermo, D.G.; Alejandro, F. From supine to standing: In vivo segregation of myogenic and baroreceptor vasoconstriction in humans. Physiol. Rep. 2016, 4, e13053. [Google Scholar]
  26. Masahito, S. Evaluation of Heart Rate Variability and Application of Heart Rate Variability Biofeedback: Toward Further Research on Slow-Paced Abdominal Breathing in Zen Meditation. Appl. Psychophysiol. Biofeedback 2022, 47, 345–356. [Google Scholar]
  27. Masahito, S.; Munehisa, K.; Leo, O.O. Efficacy of Paced Breathing at the Low-frequency Peak on Heart Rate Variability and Baro reflex Sensitivity. Appl. Psychophysiol. Biofeedback 2020, 45, 31–37. [Google Scholar]
  28. Lin, H.; Lluis, C. Aromatherapy Improves Work Performance Through Balancing the Autonomic Nervous System. J. Altern. Complement. Med. 2017, 23, 214–221. [Google Scholar]
  29. Eva, H.; Sandra, R.; Gerhard, B. Transdermal absorption of (−)-linalool induces autonomic deactivation but has no impact on ratings of well-being in humans. Neuropsychopharmacology 2004, 29, 1925–1932. [Google Scholar]
  30. Kyoko, K.; Naohiko, I.; Yuriko, I.; Kikue, K.; Akio, S.; Takami, K.; Tohru, F. Sedative effects of the jasmine tea odor and (R)-(−)-linalool, one of its major odor components, on autonomic nerve activity and mood states. Eur. J. Appl. Physiol. 2005, 95, 107–114. [Google Scholar]
  31. Croy, I.; Maboshe, W.; Hummel, T. Habituation effects of pleasant and unpleasant odors. Int. J. Psychophysiol. 2013, 88, 104–108. [Google Scholar] [CrossRef]
  32. Iordanis, K.; Thomas, H.; Maria, L. Identification of unpleasant odors is independent of age. Arch. Clin. Neuropsychol. 2006, 21, 615–621. [Google Scholar]
  33. Mateus, H.G.M.; Leandro, Y.M.; Janaina, P.S.; Gerson, A.P.J.; Alessandra, M. Emotional recognition for simulated clinical environ ment using unpleasant odors: Quasi-experimental study. Rev. Lat. Am. Enfermagem. 2020, 28, e3248. [Google Scholar]
  34. Servant, D.; Logier, R.; Mouster, Y.; Goudemand, M. Heart rate variability. Applications in psychiatry. Encephale 2009, 35, 423–428. [Google Scholar] [CrossRef] [PubMed]
  35. Willem, J.K.; Stephen, J.S.; Miranda, E.N.; Louis, A.S.; Shari, R.W.; Nathan, A.F. Autonomic nervous system reactivity to positive and negative mood induction: The role of acute psychological responses and frontal electrocortical activity. Biol. Psychol. 2011, 86, 230–238. [Google Scholar]
Figure 1. Exterior and interior of the work booth.
Figure 1. Exterior and interior of the work booth.
Electronics 13 03576 g001
Figure 2. Diffuser used in the experiment. Body dimensions: 80 mm (diameter) × 152 mm (H); weight: 376 g; spray method: nebulizer; maximum diffusion capacity: 70 m2.
Figure 2. Diffuser used in the experiment. Body dimensions: 80 mm (diameter) × 152 mm (H); weight: 376 g; spray method: nebulizer; maximum diffusion capacity: 70 m2.
Electronics 13 03576 g002
Figure 3. OLT before and after presentation of LNL smell in males. : after smell presentation; : before smell presentation; mean ± S.E. Factor 1 (before and after smell presentation): LFP (p = 0.045). Factor 2 (posture change): MHR (p = 0.002), CVRR (p < 0.001), LFP (p = 0.003), HFP (p < 0.001), LFP/HFP (p = 0.010). Interaction between the two factors: no interaction.
Figure 3. OLT before and after presentation of LNL smell in males. : after smell presentation; : before smell presentation; mean ± S.E. Factor 1 (before and after smell presentation): LFP (p = 0.045). Factor 2 (posture change): MHR (p = 0.002), CVRR (p < 0.001), LFP (p = 0.003), HFP (p < 0.001), LFP/HFP (p = 0.010). Interaction between the two factors: no interaction.
Electronics 13 03576 g003
Figure 4. OLT before and after presentation of LNL smell in females. : after smell presentation; : before smell presentation; mean ± S.E. Factor 1 (before and after smell presentation): CVRR (p = 0.010). Factor 2 (posture change): MHR (p < 0.001), CVRR (p = 0.002), HFP (p = 0.047), LFP/HFP (p = 0.016). Interaction between the two factors: no interaction.
Figure 4. OLT before and after presentation of LNL smell in females. : after smell presentation; : before smell presentation; mean ± S.E. Factor 1 (before and after smell presentation): CVRR (p = 0.010). Factor 2 (posture change): MHR (p < 0.001), CVRR (p = 0.002), HFP (p = 0.047), LFP/HFP (p = 0.016). Interaction between the two factors: no interaction.
Electronics 13 03576 g004
Figure 5. OLT before and after presentation of T2N smell in males. : after smell presentation; : before smell presentation; mean ± S.E. Factor 1 (before and after smell presentation): no significant difference. Factor 2 (posture change): MHR (p = 0.006), CVRR (p = 0.005), LFP (p = 0.002), HFP (p = 0.001), LFP/HFP (p < 0.001). Interaction between the two factors: no interaction.
Figure 5. OLT before and after presentation of T2N smell in males. : after smell presentation; : before smell presentation; mean ± S.E. Factor 1 (before and after smell presentation): no significant difference. Factor 2 (posture change): MHR (p = 0.006), CVRR (p = 0.005), LFP (p = 0.002), HFP (p = 0.001), LFP/HFP (p < 0.001). Interaction between the two factors: no interaction.
Electronics 13 03576 g005
Figure 6. OLT before and after presentation of T2N smell in females. : after smell presentation; : before smell presentation; mean ± S.E. Factor 1 (before and after smell presentation): CVRR (p = 0.083), LFP/HFP (p = 0.055). Factor 2 (posture change): MHR (p < 0.001), CVRR (p = 0.015), HFP (p = 0.087), LFP/HFP (p < 0.014). Interaction between the two factors: LFP/HFP (p = 0.050).
Figure 6. OLT before and after presentation of T2N smell in females. : after smell presentation; : before smell presentation; mean ± S.E. Factor 1 (before and after smell presentation): CVRR (p = 0.083), LFP/HFP (p = 0.055). Factor 2 (posture change): MHR (p < 0.001), CVRR (p = 0.015), HFP (p = 0.087), LFP/HFP (p < 0.014). Interaction between the two factors: LFP/HFP (p = 0.050).
Electronics 13 03576 g006
Figure 7. Changes in HRV indices during rest and smell presentation in males. : LNL; : T2N; mean ± S.E. Factor 1 (smell): CVRR (p = 0.063), LFP (p = 0.024), LFP/HFP (p = 0.070). Factor 2 (event change): no significant difference. Interaction between the two factors: no interaction.
Figure 7. Changes in HRV indices during rest and smell presentation in males. : LNL; : T2N; mean ± S.E. Factor 1 (smell): CVRR (p = 0.063), LFP (p = 0.024), LFP/HFP (p = 0.070). Factor 2 (event change): no significant difference. Interaction between the two factors: no interaction.
Electronics 13 03576 g007
Figure 8. Changes in HRV indices during rest and smell presentation in females. : LNL; : T2N; mean ± S.E. Factor 1 (smell): MHR (p = 0.005). Factor 2 (event change): MHR (p = 0.060). Interaction between the two factors: no interaction.
Figure 8. Changes in HRV indices during rest and smell presentation in females. : LNL; : T2N; mean ± S.E. Factor 1 (smell): MHR (p = 0.005). Factor 2 (event change): MHR (p = 0.060). Interaction between the two factors: no interaction.
Electronics 13 03576 g008
Figure 9. Changes in PVT indices before and after smell presentation in males. : LNL; : T2N; mean ± S.E., no significant difference.
Figure 9. Changes in PVT indices before and after smell presentation in males. : LNL; : T2N; mean ± S.E., no significant difference.
Electronics 13 03576 g009
Figure 10. Changes in PVT indices before and after smell presentation in females. : LNL; : T2N; mean ± S.E. ** p = 0.049; * p = 0.087 vs. before.
Figure 10. Changes in PVT indices before and after smell presentation in females. : LNL; : T2N; mean ± S.E. ** p = 0.049; * p = 0.087 vs. before.
Electronics 13 03576 g010
Table 1. Mean illuminance and standard deviation in the work booth.
Table 1. Mean illuminance and standard deviation in the work booth.
Booth No.Measurement PositionIlluminance [lux]
Booth1Center of the booth802 ± 2
Gaze direction683 ± 8
Booth2Center of the booth805 ± 2
Gaze direction687 ± 9
Table 2. Subjective evaluation of smell in the work booth.
Table 2. Subjective evaluation of smell in the work booth.
Q1. How intense was the smell?
0Smell-less
1Barely detectable smell
2Weak smell
3Easy to detect smell
4Strong smell
5Intense smell
Q2. How comfortable or uncomfortable did you find the smell?
−4Extremely uncomfortable
−3Very uncomfortable
−2Uncomfortable
−1Slightly uncomfortable
0Neither comfortable nor uncomfortable
1Slightly comfortable
2Comfortable
3Very comfortable
4Extremely comfortable
Q3. How much did you like the smell?
−2Disliked
−1Slightly disliked
0Neither liked nor disliked
1Slightly liked
2Liked
Table 3. Timetable of experiment.
Table 3. Timetable of experiment.
EventsOLT1PVT1Rest1Smell presentationRest2OLT1PVT2Subjective
evaluation
MeasurementsECGRT, MLECG, pulse, SCLECG, pulse, SCL, seat pressureECG, pulse, SCLECGRT, MLPsychology
Time [min]510152530354045
Table 4. Mean and standard error of subjective evaluation for males and females.
Table 4. Mean and standard error of subjective evaluation for males and females.
Question ItemsMalesFemales
LNLT2Np-ValueLNLT2Np-Value
Smell intensity2.3 ± 0.22.5 ± 0.30.6111.8 ± 0.42.7 ± 0.40.093
Comfortable/Uncomfortable0.7 ± 0.4−1.7 ± 0.3<0.0011.2 ± 0.5−1.3 ± 0.40.007
Liking0.2 ± 0.3−1.2 ± 0.30.0251.0 ± 0.4−1.3 ± 0.40.003
Disclaimer/Publisher’s Note: The statements, opinions and data contained in all publications are solely those of the individual author(s) and contributor(s) and not of MDPI and/or the editor(s). MDPI and/or the editor(s) disclaim responsibility for any injury to people or property resulting from any ideas, methods, instructions or products referred to in the content.

Share and Cite

MDPI and ACS Style

Yuda, E.; Otani, A.; Yamada, A.; Yoshida, Y. An Evaluation of the Autonomic Nervous Activity and Psychomotor Vigilance Level for Smells in the Work Booth. Electronics 2024, 13, 3576. https://doi.org/10.3390/electronics13173576

AMA Style

Yuda E, Otani A, Yamada A, Yoshida Y. An Evaluation of the Autonomic Nervous Activity and Psychomotor Vigilance Level for Smells in the Work Booth. Electronics. 2024; 13(17):3576. https://doi.org/10.3390/electronics13173576

Chicago/Turabian Style

Yuda, Emi, Aoi Otani, Atsushi Yamada, and Yutaka Yoshida. 2024. "An Evaluation of the Autonomic Nervous Activity and Psychomotor Vigilance Level for Smells in the Work Booth" Electronics 13, no. 17: 3576. https://doi.org/10.3390/electronics13173576

APA Style

Yuda, E., Otani, A., Yamada, A., & Yoshida, Y. (2024). An Evaluation of the Autonomic Nervous Activity and Psychomotor Vigilance Level for Smells in the Work Booth. Electronics, 13(17), 3576. https://doi.org/10.3390/electronics13173576

Note that from the first issue of 2016, this journal uses article numbers instead of page numbers. See further details here.

Article Metrics

Back to TopTop