Abstract
This paper presents a polarizing beam splitter (PBS) based on a hexagonal lattice silver-filled photonic crystal fiber (PCF) with two silver wires, which possesses advantages such as a short splitting length, high extinction ratio (ER), and an ultra-wide bandwidth in commonly used communication bands. Utilizing the full-vector finite element method (FV-FEM), thorough investigations were conducted on lasers within the wavelength range of 1.1 to 1.9 μm. The PBS demonstrates a working bandwidth of 725 nm (1.14 to 1.865 μm) under an ultra-short splitting length of 55.3 μm, with an ER exceeding 20 dB, covering all bands of O + E + S + C + L + U optical communication, and achieving a maximum ER of 74.65 dB, where the surface plasmon resonance (SPR) effect of silver metal plays a significant role. It not only features an ultra-short splitting length and an ultra-wide splitting bandwidth but also exhibits excellent manufacturing tolerances and anti-interference capabilities. This polarizing beam splitter represents a promising candidate in communication and may find various applications in optical communication.
1. Introduction
PCF is an optical fiber with periodic microstructures, typically composed of periodically arranged air holes or fillings. The design of these microstructures effectively controls the propagation characteristics of light, including dispersion [1], mode field distribution [2], and optical bandgaps [3]. Due to its unique optical properties, photonic crystal fiber finds extensive applications in optical communication [4], sensing [5], and laser technologies [6]. A PBS based on PCF is an important optical device derived from PCF design [7,8]. It utilizes the special structure and optical properties of photonic crystal fiber to achieve polarization separation of incident light signals, directing light of different polarization states into respective output channels. Compared to traditional PBS, PCF PBS offers advantages such as higher ER, broader operating bandwidth, and shorter splitting length. Therefore, it holds significant potential for applications in optical communication systems.
PCF PBS simultaneously achieving short splitting length and extended operating bandwidth holds significant theoretical and practical value. Firstly, a short splitting length helps minimize energy loss during the splitting process, ensuring high-intensity signals reach the output terminal. This is crucial for maintaining signal strength and stability, particularly in long-distance fiber optic transmission or high-precision optical measurements. Simultaneously, an extended operating bandwidth implies that PCF PBS can effectively operate across a broader range of optical frequencies or wavelengths. This characteristic enables the beam splitter to accommodate diverse requirements for handling multiple optical signals without frequent device replacement or adjustment. Such capabilities are critical for various applications in optical communications, sensing, and scientific research, where different wavelengths or frequencies of light signals are commonly encountered. Consequently, integrating a short splitting length with an extended operating bandwidth enables PCF PBS to maximize signal integrity during light signal processing while efficiently facilitating beam splitting and transmission over a wider frequency range. This design not only enhances the flexibility and application scope of the device but also strengthens its practicality and performance in complex optical systems.
Certainly, the highest ER of a device holds significant importance. An increase in ER implies that the device can more effectively separate optical signals of different polarization states, thereby enhancing the beam splitting efficiency. A larger ER value indicates a greater power ratio between the two polarized light outputs, further improving the beam splitting effectiveness. In optical signal transmission, a high extinction ratio ensures high-quality transmission of target polarization state signals, significantly reducing error rates, particularly noticeable in high-speed data transmission. Moreover, a high extinction ratio enhances system sensitivity and dynamic range, optimizes optical path design and integration, thus enhancing overall system stability and resistance to interference.
In improving the performance of PCF PBS, doping with metals is a common method that has made progress in this direction. In 2017, Wang et al. proposed a tunable surface plasmon resonance polarizing beam splitter based on a gold-coated central hole in a magnetic fluid-filled dual-core PCF (DC-PCF) [9]. With an applied magnetic field of 760 Oe, this polarizing beam splitter exhibited a minimum splitting length of 5112 μm, a bandwidth of 189 nm, and an ER of −158 dB at a wavelength of 1.55 μm. However, the designed PCF PBS had a narrow operational bandwidth and a long splitting length. In 2020, Zhang et al. made significant progress in the splitting length by designing a PBS based on gold-filled DC-PCF [7]. By utilizing the surface plasmon resonance (SPR) effect to enhance the resonance coupling strength of the dual-core PCF, the fiber length was successfully shortened to 324.03 μm. However, despite the improvement in the splitting length, the operational bandwidth slightly decreased. At the splitting length of 324.03 μm, the bandwidth with ER less than −20 dB was 110 nm, and the maximum value of ER was −160.56 dB at a wavelength of 1.55 μm. In 2022, Mei et al. proposed a PBS based on SPR [10]. They established two solid silica cores near the center of the PCF by removing the air holes in the cladding and depositing a gold film on the outer surface of the central air hole of the PCF to excite SPR. Although they made significant progress in the operational bandwidth, reaching 314 nm, the splitting length slightly increased to 123.6 μm. Subsequently, in 2023, Chen et al. designed a broadband all-fiber PBS based on silicon DC-PCF and a gold layer [11]. Although its operational bandwidth reached 450 nm, covering the entire E + S + C + L communication band, the splitting length significantly increased compared to previous research results, reaching 0.66 mm. However, these designs failed to simultaneously optimize both the splitting length and the operational bandwidth. In summary, current research indicates that the performance of PCF PBS still needs further improvement. Previous research results have not been able to achieve both a wide operational bandwidth and a short splitting length simultaneously. Therefore, this paper comprehensively optimizes these two aspects of PCF PBS performance.
In our work, we propose a hexagonal structure dual-core photonic crystal fiber polarization beam splitter (HS-DC-PCF PBS), which features ultra-wide bandwidth and ultra-short splitting length, representing a new breakthrough in this field. The structure of HS-DC-PCF PBS is designed based on a hexagonal lattice, incorporating three sizes of air holes and two silver wires. Silver is one of the most commonly used materials to excite the SPR effect due to its faster electron mobility. The coupling length and coupling length ratio of HS-DC-PCF PBS are calculated using mode coupling theory and FV-FEM. The influence of fabrication tolerances of four different aperture sizes on the performance of HS-DC-PCF PBS is analyzed. Ultimately, a high-performance ultra-short HS-DC-PCF PBS is obtained, with a splitting length of only 55.3 μm and a maximum ER of 74.56 dB, providing a bandwidth of 725 nm, covering all communication bands of O + E + S + C + L + U. Compared to previous studies, the HS-DC-PCF presented in this paper achieves a wider operating bandwidth with a shorter splitting length, making it a universal candidate for optical systems and networks.
2. Design of the HS-DC-PCF PBS and Theory
Figure 1 illustrates the cross-section of the proposed HS-DC-PCF PBS. This structure consists of two different arrays of circular air holes and two elliptical air holes located at the center. The diameters of the two air holes filled with metallic silver are denoted by d1, while the larger and smaller air hole diameters are represented by d2 and d3, respectively. The two elliptical air holes are distributed on either side of the fiber’s center, with da and db representing the major and minor axes’ diameters of the elliptical air holes, respectively. Cores A and B are surrounded by elliptical and two types of circular air holes. In the x-axis direction, the spacing between adjacent air holes (including elliptical ones) is denoted as Λ1. In the y-axis direction, the spacing between two adjacent air holes with a diameter of d3 is Λ1, while the spacing between two adjacent air holes with diameters d2 and d3 is Λ2. Pure silica is used as the background material for HS-DC-PCF. We utilized COMSOL Multiphysics 6.1 to establish the corresponding model and conducted simulations using FV-FEM. During the simulation process, to mitigate the transmission losses of optical energy, we incorporated a perfectly matched layer (PML) and scattering boundary conditions at the outer layer of the structure. These measures are aimed at minimizing reflections of light and preventing optical waves from reflecting back into the simulation region boundaries, thereby ensuring the accuracy of the simulation results. For the PML, its thickness is set to Λ1, and the refractive index is set to 0.03 higher than that of the silica material [12]. Moreover, a grid was implemented to partition the model into small elemental domains, facilitating a more detailed capture of the micro-scale interactions between the device and light. This optimized grid partitioning also enhances computational efficiency and reduces computational costs.
Figure 1.
Cross-section of the designed HS-DC-PCF PBS with two silver wires.
We employ the Sellmeier dispersion equation to describe the refractive index of silica [13,14],
where λ is the wavelength of the incident light in free space, A1 = 0.6961663, A2 = 0.407926, A3 = 0.8974794, B1 = 0.0684043 µm, B2 = 0.1162414 µm, and B3 = 9.896161 µm.
The dielectric constant of silver was calculated using the Drude–Lorentz model [15,16,17],
where ω represents the angular frequency of light, ε∞ denotes the relative high-frequency dielectric constant, and ωp and γ are the plasma and damping frequencies, respectively. Δ denotes the weighting factor of the resonance peak of the dielectric function, and its physical meaning is to describe the strong modulation or weighting of the dielectric function in certain frequency ranges. This modulation can be caused by external factors (e.g., stress, electric field, light field, etc.) that result in a significant change in the dielectric constant of the material at a particular frequency. Thus, Δ plays a role in the Drude–Lorentz model in modulating the frequency dependence of the dielectric function, reflecting the nonlinear nature of the material and its modulation or weighting at specific frequencies. Ω and Γ represent the frequency and spectral width of the Lorentz oscillator, respectively. The final values for each parameter are given in Table 1.
Table 1.
Optimized parameter values fitted to Silver’s experimental data.
The complex refractive index of silver is
The real part nM of the complex refractive index nsilver describes silver’s optical refractive properties, while its imaginary part k, referred to as the extinction coefficient, characterizes silver’s optical absorption properties.
According to the coupled mode theory, the performance characteristics of the proposed polarizing beam splitter can be analyzed by superimposing four modes. Figure 2 illustrates the four modes composed of even and odd modes of x-polarized (x-pol) and y-polarized (y-pol) light, namely x-pol odd mode, x-pol even mode, y-pol odd mode, and y-pol even mode. The coupling lengths for the x-pol and y-pol directions of the polarizing beam splitter can be calculated using the following relations [18,19,20]:
Figure 2.
Effective refractive index versus wavelength for four different modes of HS-DC-PCF PBS and their corresponding second-order SPP modes.
Here, CLx and CLy represent the coupling lengths of the PBS in the x and y directions, respectively. λ denotes the wavelength of the incident light in free space, while , , , and represent the effective refractive indices of the PBS in the corresponding modes. To split the two polarized light rays into two cores, it is necessary to maintain the relationship L = mCLx = nCLy, where m and n are positive integers. The coupling length ratio is defined as:
The CLR needs to be 2 (when CLx < CLy) to achieve optimal performance with shorter lengths [21,22].
The output power (Pout) of specific polarized light, either x-polarized (x-pol) or y-polarized (y-pol), can be measured using the following formula, where the input power (Pin) is in either core A or core B [23]:
where and represents the normalized power of x-pol or y-pol in cores A and B respectively, CLx, CLy denote the coupling lengths of x-pol or y-pol, and L is the length of the splitter.
The performance of a polarization splitter is commonly assessed by its ER. ER is defined as the ratio of the power of undesired polarization modes in the core region to the power of the desired polarization mode. For the aforementioned microstructure HS-DC-PCF, at the output port of core A or B, assuming the undesired polarization state in core A is y-pol, the ER calculation formula is as follows [24,25]:
The ER serves as an important indicator of the effectiveness of the HS-DC-PCF PBS. An ER value surpassing 20 dB (or falling below −20 dB) indicates a significant power difference of 100 times between the two polarized lights, effectively separating the orthogonally polarized light beams. Hence, wavelength ranges exhibiting an ER exceeding 20 dB (or less than −20 dB) can be regarded as the operational bandwidth of the HS-DC-PCF PBS [26].
3. Simulation Results and Discussion
The coupling and transmission characteristics of HS-DC-PCF were investigated using the FV-FEM. The initial parameters of the structure were set as follows: d1 = 0.5 µm, d2 = 0.2 µm, d3 = 1.4 µm, da = 0.72 µm, db = 0.5 µm, Λ1 = 1.5 µm, and Λ2 = 1 µm. Under these initial structural parameter settings, the relationship between the effective refractive indices of four different modes and wavelengths is depicted in Figure 2.
Observations from Figure 2 reveal a gradual decrease in the effective refractive indices of the four distinct modes (x-pol even mode, y-pol even mode, y-pol odd mode, and x-pol odd mode) with increasing wavelength. Furthermore, it is noted that the effective refractive indices of the even modes for x-pol and y-pol are very close, whereas there exists a discernible gap between the odd modes of x-pol and y-pol. This suggests a significant influence of the two silver wires on the effective refractive indices of the odd modes for both x-pol and y-pol, rendering them more distinguishable. Upon further scrutiny of Figure 2, it is evident that the discrepancy in effective refractive indices between the odd and even modes for x-pol and y-pol increases with wavelength, with the disparity being greater for the odd-even modes of y-pol compared to x-pol. This indicates a more pronounced effect of the two silver wires on y-pol light.
Additionally, we computed the dispersion relations between the four aforementioned modes and the second-order Surface Plasmon Polariton (2nd-SPP) modes corresponding to the core mode. It is readily observable from Figure 2 that the effective refractive indices of all four 2nd-SPP modes are significantly higher than those of the aforementioned four modes. This phenomenon is attributed to the SPR effect of the silver wires, resulting in wave vectors higher and wavelengths shorter than those in the optical medium. For wavelengths below 1.56 μm, the discrepancy in effective refractive indices between the odd-even modes of 2nd-SPP for both x-pol and y-pol is minimal, with the two curves nearly overlapping. However, as the wavelength exceeds 1.56 μm, the gap between them gradually widens while still maintaining relative proximity. Such relative density and high effective refractive indices stem from the unique coupling mechanism of the 2nd-SPP modes, wherein the electric fields on the metal surface interact with those in the medium, facilitating the formation and dominance of these modes. First- and third-order SPP modes were disregarded due to their lack of phase matching with the core mode.
Figure 3 illustrates the relationship between the CLx, CLy, and CLR of x-pol and y-pol odd and even modes with wavelength, which can be calculated, respectively, by Equations (4)–(6). It is observed from Figure 3 that CLx is always greater than CLy. As the wavelength increases, CLx gradually decreases from 49.73 μm to 36.67 μm, while CLy decreases from 31.77 μm to 17.87 μm. Since the decrease in CLy is greater than that of CLx, the CLR curve shows an upward trend, increasing from 1.57 to 2.05. However, within the considered wavelength range of 1.1–1.9 μm, most CLR values remain below 2. Under this condition, although x-pol light and y-pol light can be separated, the splitting length is too long.
Figure 3.
Variation of CLx,CLy and CLR with wavelength at initial structural parameters.
Figure 4a–d illustrates the modal electric field distributions of four different modes in HS-DC-PCF PBS when the incident light wavelength is 1.55 μm. In Figure 4a,b, the modal field energy of x-pol and y-pol odd modes is mainly concentrated in the core region. Conversely, in Figure 4c,d, a small portion of the energy of x-pol and y-pol even modes couples to the two silver wires, highlighting the significant influence of silver metal’s SPR effect on the polarization even modes. This phenomenon can be understood as the interaction between the even mode’s optical field and the silver wire surface, which excites SPPs. As the electrons on the metal surface oscillate, SPPs primarily concentrate near the silver wire. Therefore, a portion of the energy of even modes couples to these SPPs, resulting in the distribution of electric fields around the silver wire surface. Correspondingly, Figure 4e–h presents the 2nd-SPP modes corresponding to the modes in Figure 4a–d, where the electric field mainly concentrates on the surfaces of the two silver wires. Physically, this phenomenon can be explained by the local electric field on the surface of the silver wires driving the 2nd-SPP modes. Through interaction with the incident light waves, the free electrons on the surface of the silver wires oscillate, forming SPPs primarily concentrated near the surface of the silver wires. Therefore, the electric field of the 2nd-SPP modes also mainly distributes on the surface of the silver wires, thus achieving efficient energy transfer between the surface plasmon polaritons on the silver wire surface and the optical field.
Figure 4.
Modal electric field distribution for (a) x-pol odd mode, (b) y-pol odd mode, (c) x-pol even mode, (d) y-pol even mode, (e) 2nd-SPP x-pol odd mode, (f) 2nd-SPP y-pol odd mode, (g) 2nd-SPP x-pol even mode, and (h) 2nd-SPP y-pol even mode in the HS-DC-PCF PBS.
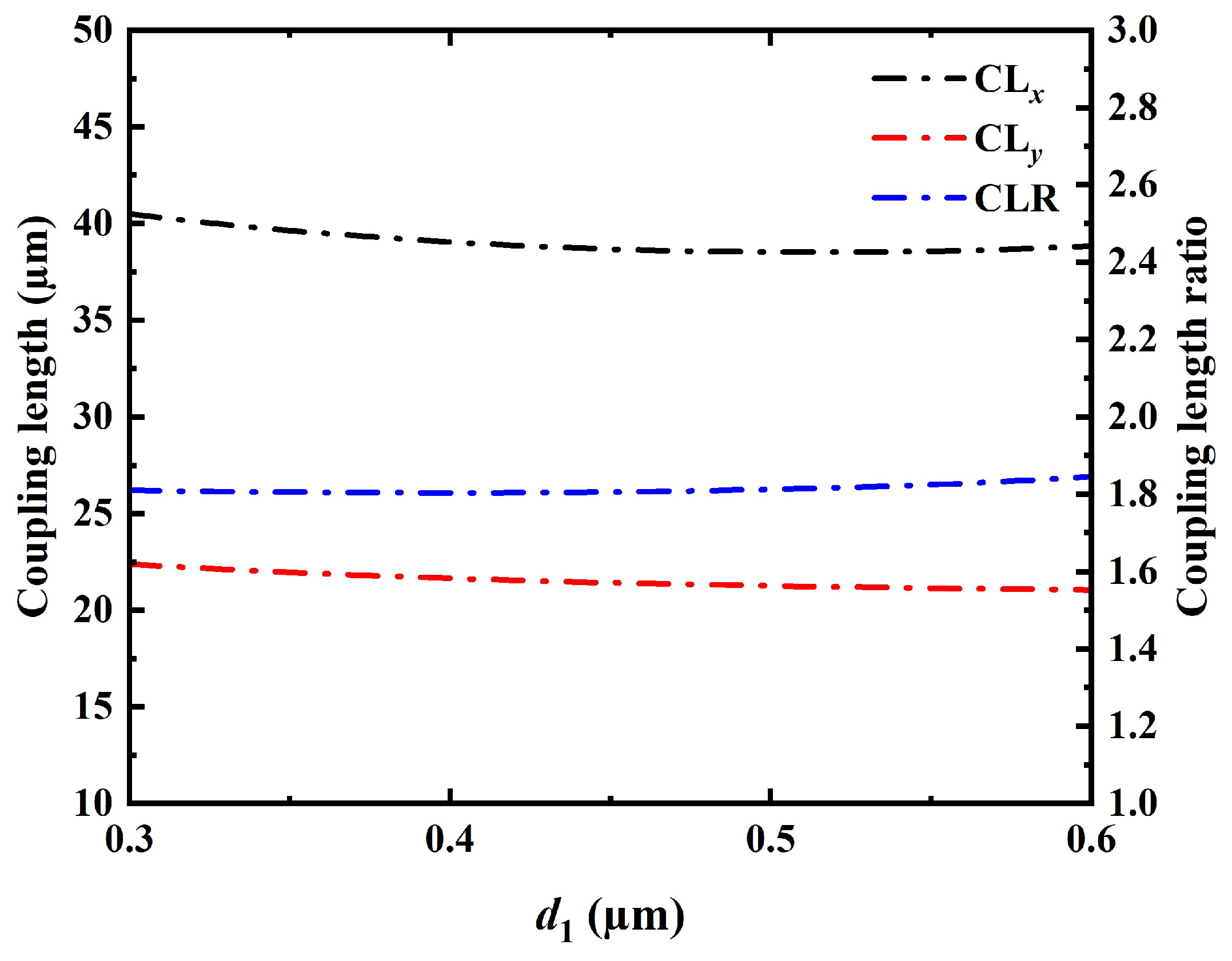
In order to optimize the structure to achieve a CLR of 2, we analyzed the effects of each parameter, namely d1, d2, d3, da, db, Λ1, and Λ2, on the structure at the most commonly used communication wavelength of 1.55 μm. We calculated the corresponding horizontal CLx, vertical CLy, and CLR for each structural parameter change, exploring their interrelationships. The influence of d1 on the CLx, CLy, and CLR of the HS-DC-PCF PBS is illustrated in Figure 5. As depicted in Figure 5, when d1 increases from 0.3 μm to 0.6 μm, CLx gradually decreases from 40.50 μm to 38.83 μm, while CLy decreases from 22.38 μm to 21.05 μm. The increase in d1 affects the mode coupling with silver metal, reducing the coupling strength in the x-pol and y-pol directions. Additionally, due to the relatively larger rate of change in CLy compared to CLx, CLR slowly increases from 1.81 to 1.84 with the increase in d1.
Figure 5.
Impact of d1 variation on the CLx, CLy, and CLR at a wavelength of 1.55 µm with d2 = 0.2 µm, d3 = 1.4 µm, da = 0.72 µm, db = 0.5 µm, Λ1 = 1.5 µm and Λ2 = 1 µm.
Figure 6 illustrates the impact of d2 on the CLx, CLy, and CLR of the HS-DC-PCF PBS. To enhance the structure’s birefringence, increasing the diameter of the smaller air holes, d2, from 0.2 μm to 0.6 μm results in CLx decreasing from 38.52 μm to 25.19 μm. In contrast, CLy initially slightly decreases from 21.26 μm to 17.49 μm. As d2 increases, due to the greater decrease in CLx compared to CLy, CLR decreases from 1.81 to 1.44. This suggests that increasing d2 enlarges the difference between the x-pol odd and even modes and y-pol odd and even modes in the two cores, particularly affecting the x-polarization odd and even modes. Therefore, reducing d2 facilitates the transmission of x-pol and y-pol light between the two cores.
Figure 6.
Impact of d2 variation on the CLx, CLy, and CLR at a wavelength of 1.55 µm with d1 = 0.5 µm, d3 = 1.4 µm, da = 0.72 µm, db = 0.5 µm, Λ1 = 1.5 µm and Λ2 = 1 µm.
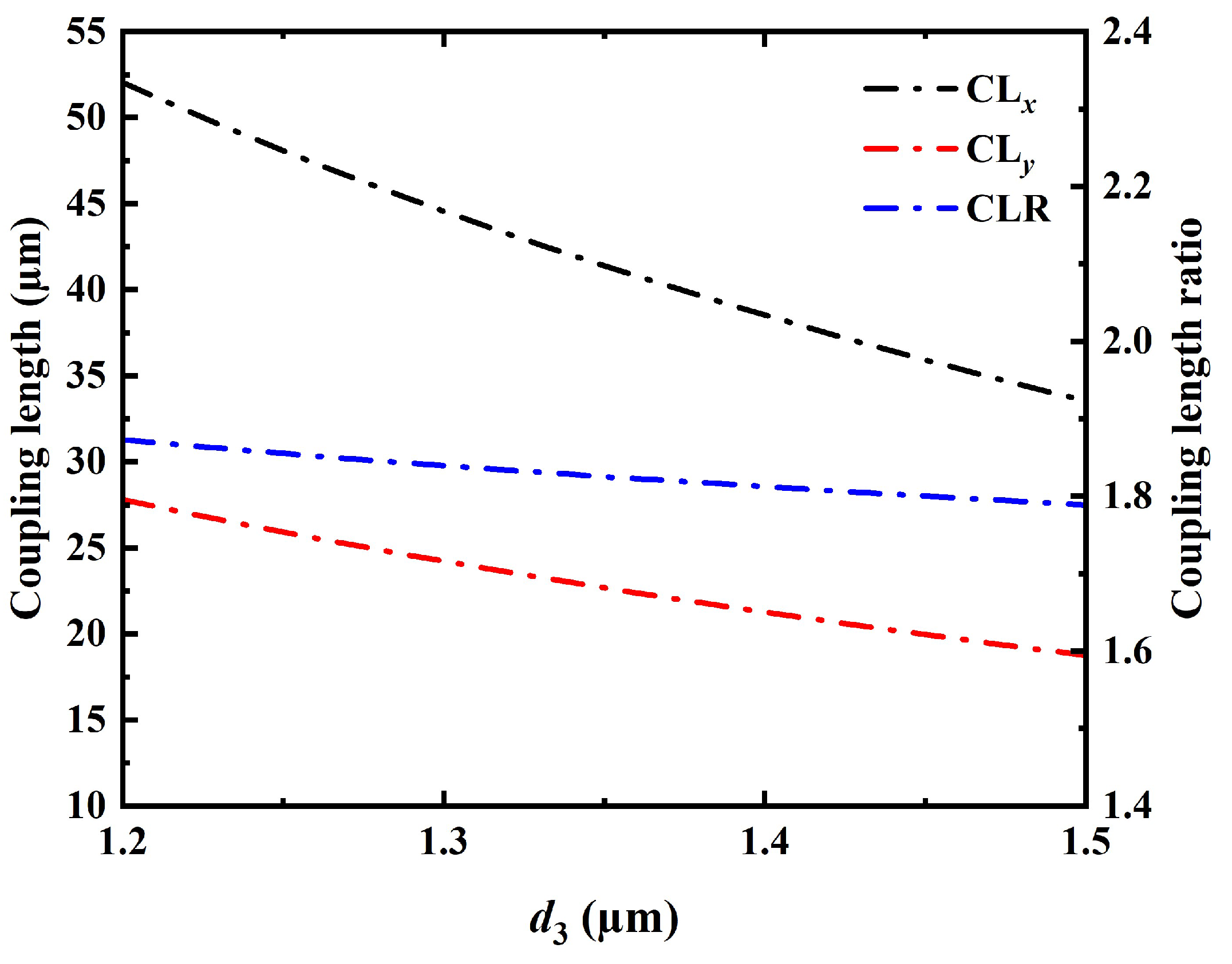
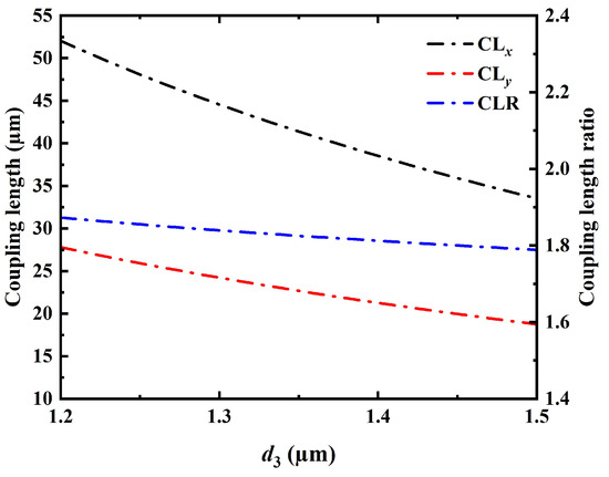
Figure 7 illustrates the influence of d3 on the CLx, CLy, and CLR of the HS-DC-PCF PBS. It can be observed from Figure 7 that as d3 increases from 1.2 μm to 1.5 μm, CLx decreases from 52.04 μm to 33.53 μm, while CLy decreases from 27.79 μm to 18.74 μm. The primary reason for this is that with the increase in d3, the coupling strength of both x-pol and y-pol light intensifies, consequently reducing the coupling length required for x-pol and y-pol light to propagate from one core to another. Additionally, CLR also gradually decreases with the increase in wavelength, decreasing from 1.87 to 1.79.
Figure 7.
Impact of d3 variation on the CLx, CLy, and CLR at a wavelength of 1.55 µm with d1 = 0.5 µm, d2 = 0.2 µm, da = 0.72 µm, db = 0.5 µm, Λ1 = 1.5 µm and Λ2 = 1 µm.
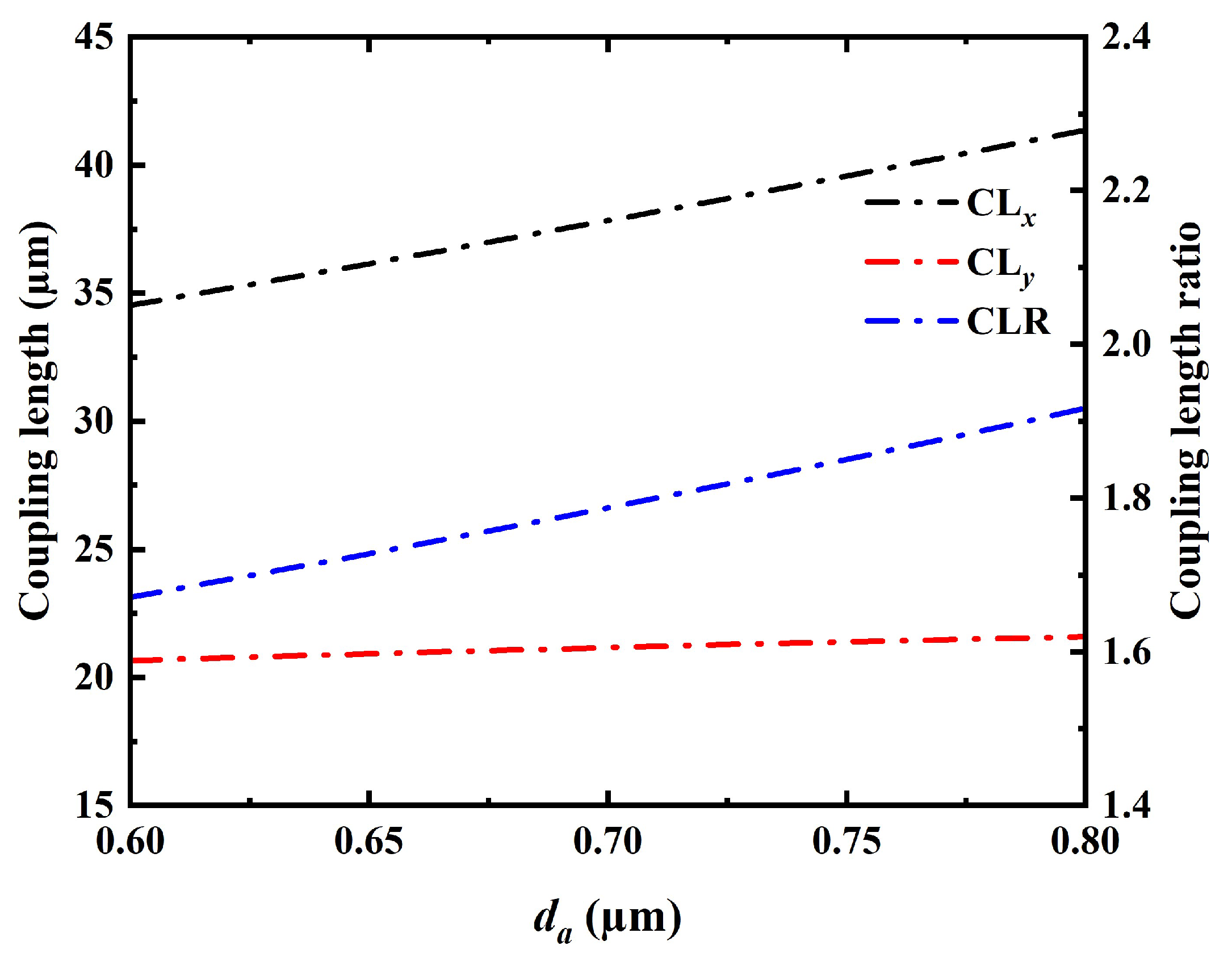
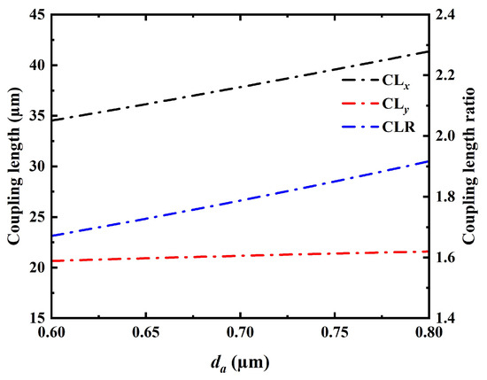
Figure 8 illustrates the impact of da on the CLx, CLy, and CLR of the HS-DC-PCF PBS. From Figure 8, it can be observed that as the major axis of the elliptical air hole, da, increases from 0.6 µm to 0.8 µm, CLx exhibits an upward trend, rising from 34.52 µm to 41.37 µm, while CLy remains relatively stable with da variations, hovering around 21.2 µm, showing only minimal differences. This indicates that the variation in da primarily diminishes the coupling strength in the x-pol direction. Consequently, with the increase in da, due to the continuous enlargement of CLx, CLR also exhibits an ascending trend, increasing from 1.67 to 1.92.
Figure 8.
Impact of da variation on the CLx, CLy, and CLR at a wavelength of 1.55 µm with d1 = 0.5 µm, d2 = 0.2 µm, d3 = 1.4 µm, db = 0.5 µm, Λ1 = 1.5 µm and Λ2 = 1 µm.
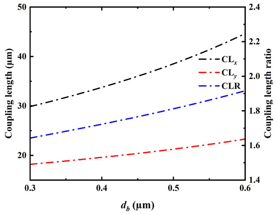
Figure 9 illustrates the impact of db on the CLx, CLy, and CLR of the HS-DC-PCF PBS. As db increases from 0.3 µm to 0.6 µm, both CLx and CLy show an increase, with CLx rising from 29.87 µm to 44.64 µm, and CLy increasing from 18.18 µm to 23.30 µm. Since the increase in CLx is greater than that in CLy, CLR also exhibits an upward trend, rising from 1.64 to 1.92. This indicates that the increase in db enhances the coupling strength in both the x-pol and y-pol directions.
Figure 9.
Impact of db variation on the CLx, CLy, and CLR at a wavelength of 1.55 µm with d1 = 0.5 µm, d2 = 0.2 µm, d3 = 1.4 µm, da = 0.72 µm, Λ1 = 1.5 µm and Λ2 = 1 µm.
Figure 10 depicts the influence of Λ1 on CLx, CLy, and CLR of the HS-DC-PCF PBS. From Figure 10, it can be observed that as Λ1 increases from 1.4 μm to 1.6 μm, CLx gradually decreases from 49.49 μm to 33.06 μm, while CLy remains stable around 21.3 μm. The primary reason for this is that the increase in Λ1 leads to a larger horizontal spacing between all air holes, enhancing the coupling strength of the x-pol polarized light, resulting in a decrease in CLx. Additionally, CLR also decreases with the increase in Λ1, decreasing from 2.26 to 1.57.
Figure 10.
Impact of Λ1 variation on the CLx, CLy, and CLR at a wavelength of 1.55 µm with d1 = 0.5 µm, d2 = 0.2 µm, d3 = 1.4 µm, da = 0.72 µm, db = 0.5 µm and Λ2 = 1 µm.
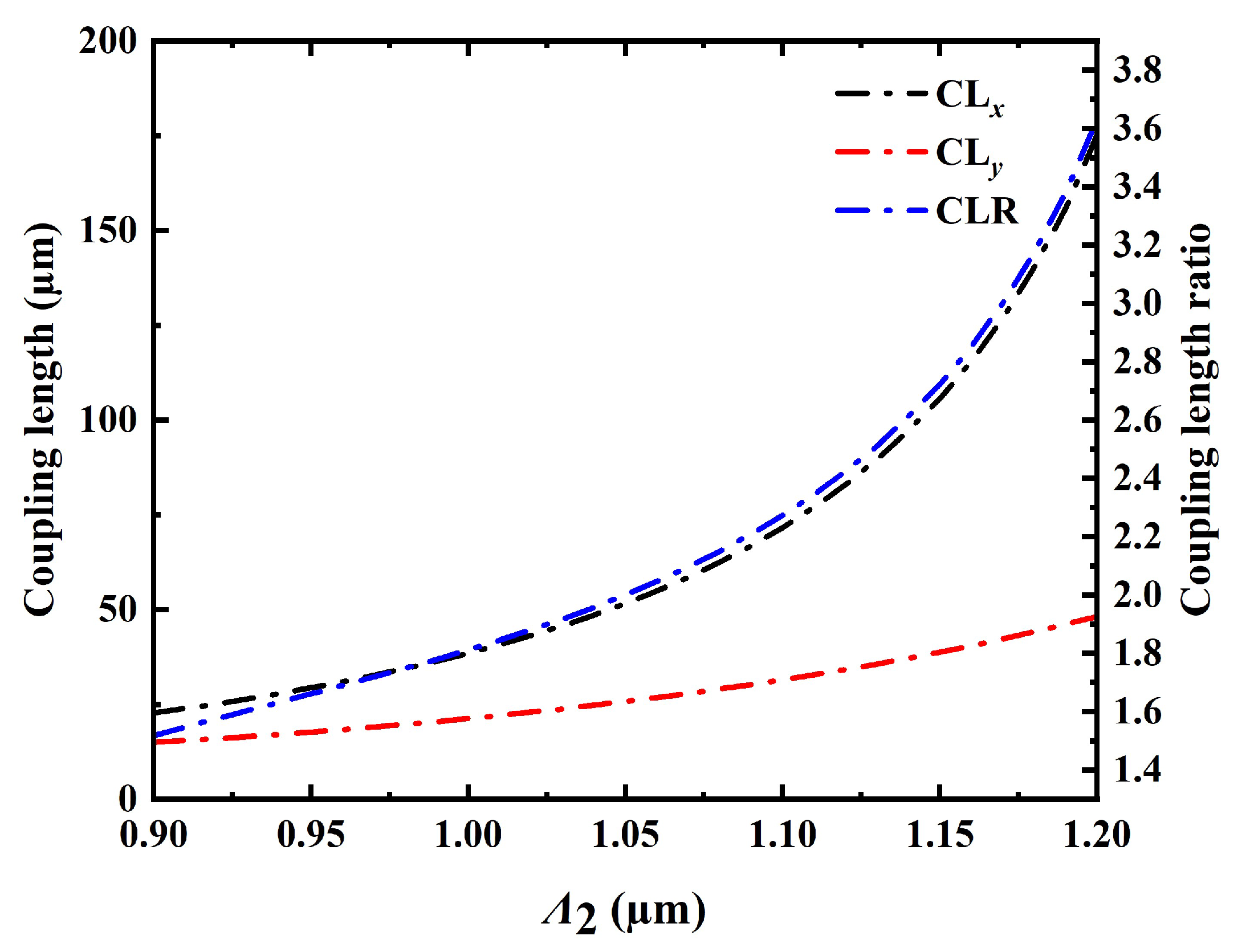
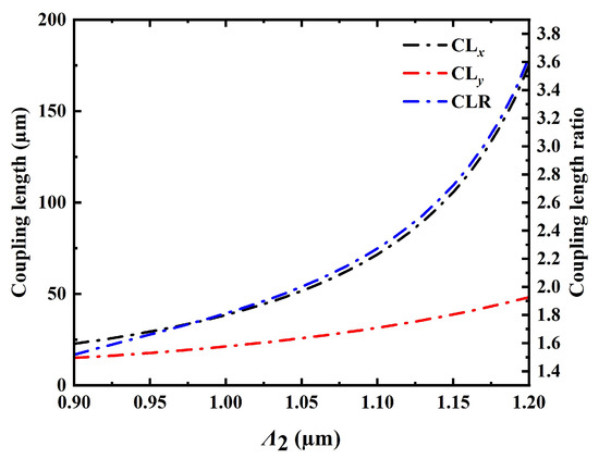
Figure 11 illustrates the influence of Λ2 on CLx, CLy, and CLR of the HS-DC-PCF PBS. From Figure 11, it can be observed that as Λ2 increases from 0.9 μm to 1.2 μm, CLx rapidly increases from 22.79 μm to 175.10 μm, while the rising trend of CLy, although much smaller relative to CLx, also increases rapidly from 15.01 μm to 48.21 μm. The primary reason for this is that as Λ2 increases, the distance between core A and core B increases, weakening the coupling strength between the x-pol and y-pol polarized light, resulting in an increase in the coupling length. Additionally, since the increase in CLx is always greater than the increase in CLy, CLR also increases with the increase in Λ2, rising from 1.52 to 3.63.
Figure 11.
Impact of Λ2 variation on the CLx, CLy, and CLR at a wavelength of 1.55 µm with d1 = 0.5 µm, d2 = 0.2 µm, d3 = 1.4 µm, da = 0.72 µm, db = 0.5 µm and Λ1 = 1.5 µm.
Through the analysis of Figure 5, Figure 6, Figure 7, Figure 8, Figure 9, Figure 10 and Figure 11 and by comprehensively examining the influence of various structural parameters on CLx, CLy, and CLR of the HS-DC-PCF PBS, the final optimized structural parameters were determined as follows: d1 = 0.4 μm, d2 = 0.3 μm, d3 = 1.3 μm, da = 0.7 μm, db = 0.48 μm, Λ1 = 1.4 μm, and Λ2 = 1.03 μm.
Figure 12 illustrates the influence of the presence of silver wires in the structure on the characteristics CLx, CLy, and CLR of HS-DC-PCF PBS after structural parameter optimization. From Figure 12a, it can be observed that when there are no silver wires in the PCF, i.e., when all the holes are air holes, CLx and CLy are relatively small and exhibit a decreasing trend within the wavelength range of 1.1–1.9 μm. CLx rapidly decreases from 40.79 μm to 18.70 μm, and CLy decreases from 31.67 μm to 14.69 μm, showing a rapid change. However, the variation in CLR is not significant at this point, showing a slight increase followed by a decrease as the wavelength increases, from 1.2880 slightly increasing to 1.2882, then decreasing to 1.2729. It can be observed that CLR remains almost constant between 1.27 and 1.29, far from the ideal value of 2, which is unfavorable for manufacturing shorter PBS. In contrast, from Figure 12b, it can be seen that when silver wires are added to the PCF, the magnitudes of CLx and CLy increase compared to those without silver wires, with a greater impact on CLx. As the wavelength increases from 1.1 μm to 1.9 μm, CLx shows a trend of first decreasing and then increasing, gradually decreasing from 59.57 μm to 52.04 μm, then increasing to 59.40 μm. Meanwhile, CLy exhibits a decreasing trend with increasing wavelength, gradually decreasing from 38.50 μm to 22.78 μm. At this point, CLR approaches the ideal value of 2, increasing from 1.55 to 2.61 as the wavelength increases. When the wavelength is 1.6 μm, CLR is closest to 2. By comparing these two situations, it can be found that the addition of silver wires in the structure is mainly to utilize the SPR effect of silver to achieve polarization beam splitting. When incident light interacts with the electromagnetic field on the surface of the silver wire, surface plasmon oscillations are induced, resulting in the SPR effect. This effect can couple with the optical field, leading to a specific electric field distribution around the silver wire, thereby affecting the polarization state of light. When incident light contains components of different polarizations, these components interact with the silver wire in different ways within the PCF, resulting in light with different polarization states being split into different paths at the output end, achieving the function of polarization beam splitting. The addition of silver wires greatly increases the coupling strength of x-pol and y-pol polarized light and makes the propagation path of light in the PCF more controllable, facilitating polarization separation, thereby achieving a shorter PBS splitting length and improving the performance of PBS.
Figure 12.
Variation of CLx, CLy and CLR with wavelength at optimized structures (a) without silver wires (b) with silver wires.
As shown in Figure 13, according to Equations (7) and (8), normalized output power (NOP) of x-pol and y-pol polarized light in cores A and B can be plotted to illustrate their periodic variations along the propagation distance. When the NOP of x-pol or y-pol polarized light is maximum in one core, it must be minimum in the other core, while the beam is split into two cores. Since NOP is a function of propagation distance, the length of the splitter can be measured from the NOP output curves of the cores. From Figure 13, it can be observed that as the propagation length increases from 0 to 55.3 μm, the NOP of x-pol light completely transfers from core A to core B, then returns to core A and reaches a maximum of 1. Conversely, in core B, the NOP of x-pol light reaches a maximum, while the NOP of y-pol light reaches a minimum. Therefore, the shortest splitting length is 55.3 μm. At this point, x-pol light and y-pol light at a wavelength of 1.6 µm are completely separated in the two cores.
Figure 13.
Normalized output power along the propagation length in fiber (a) core A and (b) core B.
Figure 14 illustrates the variation of ER with wavelength when the proposed HS-DC-PCF PBS is operating with a splitting length of 55.3 μm. From Figure 14, it can be observed that as the wavelength increases from 1.1 μm to 1.22 μm, ER increases from 15.01 dB to the first peak value of 67.73 dB. As the wavelength continues to increase, ER first decreases and then increases again. At a wavelength of 1.47 μm, ER reaches its minimum value of 20.15 dB. Then, at a wavelength of 1.75 μm, ER reaches the second peak, also the maximum ER value, at 74.56 dB. When the wavelength exceeds 1.75 μm, ER decreases with the increasing wavelength. From Figure 14 and simulation data, it can be observed that when the wavelength is between 1.14 μm and 1.865 μm, the ER value of the HS-DC-PCF PBS remains above 20 dB. Therefore, the wavelength range of 1.14 μm to 1.865 μm serves as the operating band of the HS-DC-PCF PBS, with a bandwidth of 725 nm, covering the entire O + E + S + C + L + U communication bands.
Figure 14.
Variation of ER with wavelength for HS-DC-PCF PBS.
In practical production, it is necessary to consider the manufacturing tolerance of the structure due to possible slight variations in parameters. Currently, mature manufacturing processes can control errors within 1%. In this study, when different structural parameters vary by ±1%, Figure 15a–g illustrates the changes in ER. From Figure 15a, it can be observed that when d1 increases or decreases by 1%, the wavelength range greater than 20 dB slightly decreases, with a working bandwidth of approximately 700~710 nm. Similarly, from Figure 15b–e, it is found that when structural parameters d2, d3, da, and db vary by ±1%, ER changes insignificantly, with the wavelength range greater than 20 dB slightly narrowing, but all within around 700 nm. Additionally, from Figure 15, it can be seen that the horizontal spacing Λ1 between adjacent air holes and the spacing Λ2 of adjacent air holes with diameters d2 and d3 in the y direction have a significant impact on ER. From Figure 15f, it is known that when Λ1 decreases by 1%, the wavelength range greater than 20 dB is 1.11 μm–1.81 μm, with a bandwidth of 700 nm; when Λ1 increases by 1%, the wavelength range of the working bandwidth is again 1.18 μm–1.89 μm, with a bandwidth of 710 nm. Furthermore, when Λ1 decreases, the overall trend of ER with wavelength shifts towards shorter wavelengths, exhibiting a blue shift phenomenon; when Λ1 increases, the image shifts overall towards longer wavelengths, exhibiting a red shift phenomenon. On the other hand, from Figure 15e, it can be seen that when Λ2 changes, the overall distribution change of ER is opposite to that when Λ1 changes. When Λ2 decreases, ER exhibits a red shift phenomenon, with a working bandwidth of 1.17 μm–1.9 μm, and a bandwidth of 730 nm; when Λ2 increases, ER exhibits a blue shift phenomenon, with a working bandwidth again of 1.13 μm–1.81 μm, and a bandwidth of 680 nm. Upon final observation of Figure 15h, it is found that if all the aforementioned structural parameters maintain a manufacturing tolerance of ±1%, even under the most adverse conditions, the device still exhibits a relatively wide operational bandwidth. Specifically, when all parameters increase by 1%, the wavelength range achieving ER greater than 20 dB spans from 1.19 μm to 1.83 μm, with a bandwidth of 640 nm. Conversely, when all parameters decrease by 1%, the operational bandwidth remains substantial at 690 nm, covering wavelengths from 1.14 μm to 1.83 μm. In conclusion, despite possible ±1% errors in the manufacturing process, the designed HS-DC-PCF PBS still maintains good splitting performance.

Figure 15.
Variation of ER at a manufacturing tolerance of ±1% on (a) d1, (b) d2, (c) d3, (d) da, (e) db, (f) Λ1, (g) Λ2, and (h) all parameters mentioned above.
Table 2 compares the simulated results of the proposed HS-DC-PCF PBS with other reported DC-PCF PBS. According to Table 2, the PCF PBS structures in previous literature [27,28] were devoid of metals and comprised solely of air holes. These PBS exhibited longer beam splitting lengths, reaching the millimeter scale, with insignificant operational bandwidths. In contrast, in other studies [7,9,10,11,29,30,31], metal-doped PCF PBS were employed to induce the SPR effect on metal surfaces. The results indicated a significant enhancement in the performance of PBS in terms of beam splitting length and bandwidth after the addition of metals. Some previous studies have reported beam splitting lengths reduced to less than 300 μm [10,29,30,31], while some have achieved bandwidths exceeding 400 nm [11,31]. The beam splitting length of the HS-DC-PCF PBS designed in this paper is 55.3 μm, with an operational bandwidth of 725 nm, not only exhibiting a shorter beam splitting length but also a wider bandwidth. Gold and silver are both commonly used materials capable of inducing SPR effects to enhance the coupling strength of x-pol and y-pol polarized light. Generally, silver is more prone to inducing SPR effects due to its higher electrical conductivity and lower electron scattering losses. This implies that silver more effectively supports surface plasmon oscillations, making SPR effects more likely to occur on silver surfaces. Furthermore, silver is more cost-effective, highlighting the performance advantages of HS-DC-PCF PBS, which not only demonstrate excellent performance in terms of beam splitting length and bandwidth but also offer higher cost-effectiveness.
Table 2.
Comparisons between the HS-DC-PCF PBS and other reported DC-PCF PBSs.
4. Conclusions
In summary, this paper presents a novel ultra-short and ultra-wideband HS-DC-PCF PBS. The polarization and coupling characteristics of the HS-DC-PCF PBS were analyzed using the finite volume finite element method. Leveraging the SPR effect of silver metal, two silver wires were introduced into the hexagonal lattice to enhance the performance of the beam splitter. With optimized structural parameters, the HS-DC-PCF PBS achieved a minimum splitting length of only 55.3 μm and a maximum ER of 74.56 dB. Its operational bandwidth spans 725 nm (1.14 μm–1.865 μm), covering the O + E + S + C + L + U communication bands entirely. Furthermore, the designed HS-DC-PCF PBS exhibits excellent manufacturing tolerance and anti-interference capabilities, along with a favorable cost-effectiveness ratio, marking it as a prominent achievement in the field of PCF PBS research.
Connecting such a short PCF PBS in a practical optical fiber communication link presents a challenging technical issue. Traditional connection methods typically involve the use of standard fiber optic connectors, which usually employ an insertion style where the fiber end is inserted into the connector ferrule and secured by mechanical clamping or adhesive bonding. Due to the longer lengths of these connectors and relatively fixed insertion depths, connecting very short optical components, such as the 55.3 μm HS-DC-PCF PBS designed in this study, may lead to higher insertion losses. Methods to address this issue include the use of specially designed miniature fiber optic connectors with shorter lengths and more precise alignment mechanisms to ensure stable connections and minimal optical losses. Additionally, employing high-precision fiber fusion techniques is also an effective option, allowing for micrometer-level control of fiber end-face alignment to guarantee connection stability and performance. During installation, precise positioning tools and techniques are crucial to ensure accurate alignment between the fiber end-faces and the input and output ports of the polarization beam splitter. Subsequently, rigorous insertion loss testing and performance evaluation are necessary post-connection to verify stability and compliance with the expected performance requirements. These measures collectively ensure the successful connection and efficient operation of HS-DC-PCF PBS within practical optical fiber communication systems [32,33,34,35,36].
Moreover, in optical communication systems, the HS-DC-PCF PBS holds significant practical applications and future impacts. Firstly, it can be utilized for the polarization state separation and control of optical signals, thereby furnishing optical communication systems with efficient signal processing capabilities. Secondly, owing to its ultra-short and ultra-wideband characteristics, the designed HS-DC-PCF PBS is suitable for handling high-speed data transmission applications, such as data center interconnects and high-speed network communications. Additionally, its superior manufacturing tolerance and anti-interference capabilities position it as a stable and reliable optical device, promising widespread applications in industrial control, medical imaging, laser radar, and other domains. With the continual advancement and expanding application scope of all-optical communication technologies, the HS-DC-PCF PBS is poised to emerge as a key constituent in future optical communication systems, propelling the advancement of optical communication technology and fostering the development of the information society.
Author Contributions
Methodology, Y.J.; Software, Y.J.; Data curation, Y.J.; Writing—original draft, Y.J.; Writing—review & editing, Y.J.; Supervision, Y.J., H.Z., Y.D. and N.W.; Project administration, Y.J.; Funding acquisition, H.Z. All authors have read and agreed to the published version of the manuscript.
Funding
This work was supported by the National Natural Science Foundation of China under Grant No. 61405096. No. 61504058 and the introduction of talent research and Research Fund of Nanjing University of Posts and Telecommunications (NY214158), and the Open fund of Laboratory of Solid State Microstructures, Nanjing University (M28035), and the Open fund of State Key Laboratory of Transient Optics and Photonics, Chinese Academy of Sciences (SKLST201404). We would like to express our sincere thanks to the above organizations.
Data Availability Statement
The original contributions presented in the study are included in the article, further inquiries can be directed to the corresponding author.
Conflicts of Interest
The authors declare no conflict of interest.
References
- Lei, X.; Ren, F.; Zhang, J.; Niu, J.; Zhang, Y.; Ci, Y.; Wang, X.; Wang, J. Design of ultra-flattened dispersion weakly coupled few-mode photonic crystal fiber with low confinement loss. Opt. Eng. 2022, 61, 036109. [Google Scholar] [CrossRef]
- Yang, H.R.; Yang, Y.; Xia, L.L.; Shang, S.F.; Huang, W.L.; Li, Y.Y. Near-circular mode field distribution characteristics of polarization-maintaining photonic crystal fiber. J. Chin. Inert. Technol. 2016. [Google Scholar] [CrossRef]
- Sun, J.; Chan, C.C.; Dong, X.Y.; Shum, P. Tunable photonic band gaps in a photonic crystal fiber. In Proceedings of the SPIE-The International Society for Optical Engineering, Boston, MA, USA, 18 October 2006; Volume 8, pp. 1593–1596. [Google Scholar] [CrossRef]
- Sharma, S.; Kumar, R.; Singh, K.S.; Kumar, V.; Jain, D. Design of a Narrow-Band Photonic Crystal Based Omni-Directional Mirror for Optical Fiber Communication. Int. J. Electron. Comput. Sci. Eng. 2012, 1, 1825–1832. [Google Scholar]
- Noh, T.K.; Lee, Y.W. Study on Dependence of Polarization-Maintaining Photonic Crystal Fiber-Based Polarimetric Strain Sensor on Sensing Fiber Length. J. Korean Inst. Illum. Electr. Install. Eng. 2013, 27, 1–6. [Google Scholar]
- Michaille, L.; Bennett, C.R.; Taylor, D.M.; Shepherd, T.J. Multicore Photonic Crystal Fiber Lasers for High Power/Energy Applications. IEEE J. Sel. Top. Quantum Electron. 2009, 15, 328–336. [Google Scholar] [CrossRef]
- Zhang, Y.; Yuan, J.; Qu, Y.; Zhou, X.; Huo, J.; Qiu, S.; Yan, B.; Wang, K.; Sang, X.; Long, K.; et al. Dual-Core Photonic Crystal Fiber Polarization Beam Splitter Based on Surface Plasmon Resonance Effect. In Proceedings of the 2020 Conference on Lasers and Electro-Optics Pacific Rim (CLEO-PR), Sydney, NSW, Australia, 2–6 August 2020. [Google Scholar]
- Zhao, Y.; Li, S.; Wang, X.; Wang, G.; Shi, M.; Wu, J. Design of a novel multi channel photonic crystal fiber polarization beam splitter. Opt. Commun. 2017, 400, 79–83. [Google Scholar] [CrossRef]
- Wang, H.; Yan, X.; Li, S.; Zhang, X. Tunable surface plasmon resonance polarization beam splitter based on dual-core photonic crystal fiber with magnetic fluid. Opt. Quantum Electron. 2017, 49, 368. [Google Scholar] [CrossRef]
- Mei, C.; Wu, Y.; Yuan, J.; Qiu, S.; Zhou, X. Design of Compact and Broadband Polarization Beam Splitters Based on Surface Plasmonic Resonance in Photonic Crystal Fibers. Micromachines 2022, 13, 1663. [Google Scholar] [CrossRef]
- Chen, N.; Ding, X.; Wang, L.; Xiao, Y.; Guo, W.; Huang, Y.; Guo, L.; Liu, C.; Xu, Y. Broadband Polarization Beam Splitter Based on Silicon Dual-Core Photonic Crystal Fiber with Gold Layers Operating in Mid-Infrared Band. Plasmonics 2023, 1–11. [Google Scholar] [CrossRef]
- Al Mahfuz, M.; Mollah, A.; Momota, M.R.; Paul, A.K.; Masud, A.; Akter, S.; Hasan, R. Highly sensitive photonic crystal fiber plasmonic biosensor: Design and analysis. Opt. Mater. 2019, 90, 315–321. [Google Scholar] [CrossRef]
- Feng, R.; Lou, S.; Lu, W.; Wang, X. Ultra-short polarization splitter based on dual-elliptical-core photonic crystal fiber. Infrared Laser Eng. 2014, 43, 506–510. [Google Scholar]
- Gamal, Y.; Younis, B.; Hegazy, S.; Badr, Y.; Hameed, M.F.O.; Obayya, S. Highly efficient modified dual D-shaped PCF polarization filter. Opt. Fiber Technol. 2021, 62, 102459. [Google Scholar] [CrossRef]
- Vial, A.; Grimault, A.-S.; Macías, D.; Barchiesi, D.; de la Chapelle, M.L. Improved analytical fit of gold dispersion: Application to the modeling of extinction spectra with a finite-difference time-domain method. Phys. Rev. B 2005, 71, 085416. [Google Scholar] [CrossRef]
- Khaleque, A.; Hattori, H.T. Ultra-broadband and compact polarization splitter based on gold filled dual-core photonic crystal fiber. J. Appl. Phys. 2015, 118, 682–683. [Google Scholar] [CrossRef]
- Zou, H.; Zhou, J.; Jiang, A.; Wei, L.; Lu, Y.; Du, Y.; Zhang, R.; Zhou, D. Ultra-broadband small-size dual-core photonic crystal fiber polarization splitter based on silver coating. Opt. Commun. 2024, 557, 130285. [Google Scholar] [CrossRef]
- Xu, Z.; Li, X.; Ling, W.; Liu, P.; Zhang, Z. Design of short polarization splitter based on dual-core photonic crystal fiber with ultra-high extinction ratio. Opt. Commun. 2015, 354, 314–320. [Google Scholar] [CrossRef]
- Anbazhagan, L.; Ganesan, G. Polarization-independent wavelength splitter based on silicon nanowire embedded dual-core pentagonal lattice photonic crystal fiber for optical communication systems. Opt. Eng. 2021, 4, 60. [Google Scholar] [CrossRef]
- Bai, Y.; Hao, R.; Yuan, B.; Cao, B. An ultrashort length and high extinction ratio polarization beam splitter based on dual-core PCF. J. Opt. 2021, 50, 257–263. [Google Scholar] [CrossRef]
- Zheng, G.-M. Mid-infrared broadband polarization beam splitter based on GaS photonic crystal fiber with high extinction ratio. Optik 2021, 241, 166971. [Google Scholar] [CrossRef]
- Zou, H.; Xiong, H.; Zhang, Y.-S.; Ma, Y.; Zheng, J.-J. Ultra-broadband polarization splitter based on graphene layer-filled dual-core photonic crystal fiber. Chin. Phys. B 2017, 12, 339–344. [Google Scholar] [CrossRef]
- Khaleque, A.; Mironov, E.G.; Hattori, H.T. Analysis of the properties of a dual-core plasmonic photonic crystal fiber polarization splitter. Appl. Phys. B 2015, 121, 523–532. [Google Scholar] [CrossRef]
- Kumar, V.; Varshney, R.K.; Kumar, S. Design of a compact and broadband terahertz polarization splitter based on gradient dual-core photonic crystal fiber. Appl. Opt. 2020, 59, 1974–1979. [Google Scholar] [CrossRef] [PubMed]
- Jegadeesan, S.; Dhamodaran, M.; Azees, M.; Murugan, A. Design of a Polarization Splitter Based on a Dual-core Hexagonal-shaped Photonic Crystal Fiber. Curr. Opt. Photonics 2019, 3, 304–310. [Google Scholar]
- An, S.; Shi, Y.; Yi, Z.; Liu, C.; Sun, T.; Lv, J.; Yang, L.; Chu, P.K. Ultra-short dual-core GaAs photonic crystal fiber splitter filled with nematic liquid crystal. Opt. Eng. 2021, 60, 056104. [Google Scholar] [CrossRef]
- Rajeswari, D.; Raja, A.S.; Selvendran, S. Design and analysis of polarization splitter based on dual-core photonic crystal fiber. Optik 2017, 144, 15–21. [Google Scholar] [CrossRef]
- Wei, Y.P.; Yuan, J.H.; Qu, Y.W.; Qiu, S.; Zhou, X.; Yan, B.B.; Wang, K.-R.; Sang, X.-Z.; Yu, C.-X. Design of a photonic crystal fiber polarization beam splitter with simple structure and ultra-wide bandwidth. Chin. Phys. B 2023, 32, 476–482. [Google Scholar] [CrossRef]
- Wang, K.; Qu, Y.; Yuan, J.; Qiu, S.; Zhou, X.; Yan, B.; Wu, Q.; Liu, B.; Wang, K.; Sang, X.; et al. Ultra-short polarization beam splitter based on dual-core photonic crystal fiber with surface plasmon resonance effect. Opt. Eng. 2021, 60, 076104. [Google Scholar] [CrossRef]
- Qu, Y.; Yuan, J.; Wang, K.; Qiu, S.; Zhou, X.; Yan, B.; Wu, Q.; Liu, B.; Wang, J.; Sang, X.; et al. Ge20Sb15Se65 glass-based ultra-bandwidth X-shaped dual-core photonic crystal fiber polarization beam splitter with an air hole filled gold rod. J. Opt. Soc. Am. B. Opt. Phys. 2022, 6, 39. [Google Scholar] [CrossRef]
- Rahman, T.; Khaleque, A. Ultra-short polarization splitter based on a plasmonic dual-core photonic crystal fiber with an ultra-broad bandwidth. Appl. Opt. 2019, 58, 9426. [Google Scholar] [CrossRef]
- Russell, P.S.J. Photonic crystal fibers: Basics and applications. In Optical Fiber Telecommunications VA; Academic Press: Cambridge, MA, USA, 2008. [Google Scholar]
- Cordeiro, C.M.B.; Ng, A.K.L.; Ebendorff-Heidepriem, H. Ultra-simplified Single-Step Fabrication of Microstructured Optical Fiber. Sci. Rep. 2020, 10, 9678. [Google Scholar] [CrossRef]
- Tohyama, O.; Itoh, H.; Yamaguchi, S.-I. Manufacturing Technology for Photonic Crystal Fibers. Rev. Laser Eng. 2006, 34, 7–11. [Google Scholar] [CrossRef][Green Version]
- Justus, B.L.; Falkenstein, P.; Merritt, C.D. Fused preforms for the fabrication of photonic crystal fibers. Opt. Lett. 2004, 29, 1858–1860. [Google Scholar]
- Bjarklev, A.; Broeng, J.; Bjarklev, A.S. Fabrication of Photonic Crystal Fibres. Nature 2003. [Google Scholar]
Disclaimer/Publisher’s Note: The statements, opinions and data contained in all publications are solely those of the individual author(s) and contributor(s) and not of MDPI and/or the editor(s). MDPI and/or the editor(s) disclaim responsibility for any injury to people or property resulting from any ideas, methods, instructions or products referred to in the content. |
© 2024 by the authors. Licensee MDPI, Basel, Switzerland. This article is an open access article distributed under the terms and conditions of the Creative Commons Attribution (CC BY) license (https://creativecommons.org/licenses/by/4.0/).















