A Novel Demodulation Scheme of MSK Signals Based on One-Dimensional Convolutional Neural Network under Impulsive Noise
Abstract
:1. Introduction
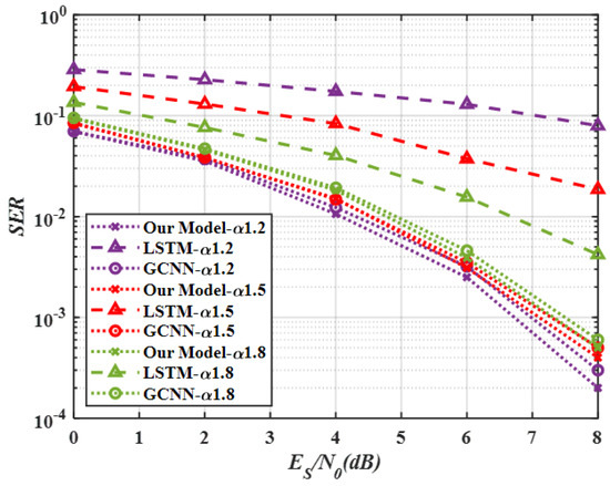
- We use two 1D-CNNs with the same structure to replace the integrator and decision module of the conventional MSK coherent demodulation, while preserving other operations in conventional coherent demodulation. The simulation results indicate that this approach solves the problem of difficulty in training neural networks under impulsive noise;
- Our scheme enables a simple neural network model with fewer parameters and less computational complexity to achieve and surpass the performance of other complex neural network models. A simple neural network model is more conducive to subsequent practical deployment.
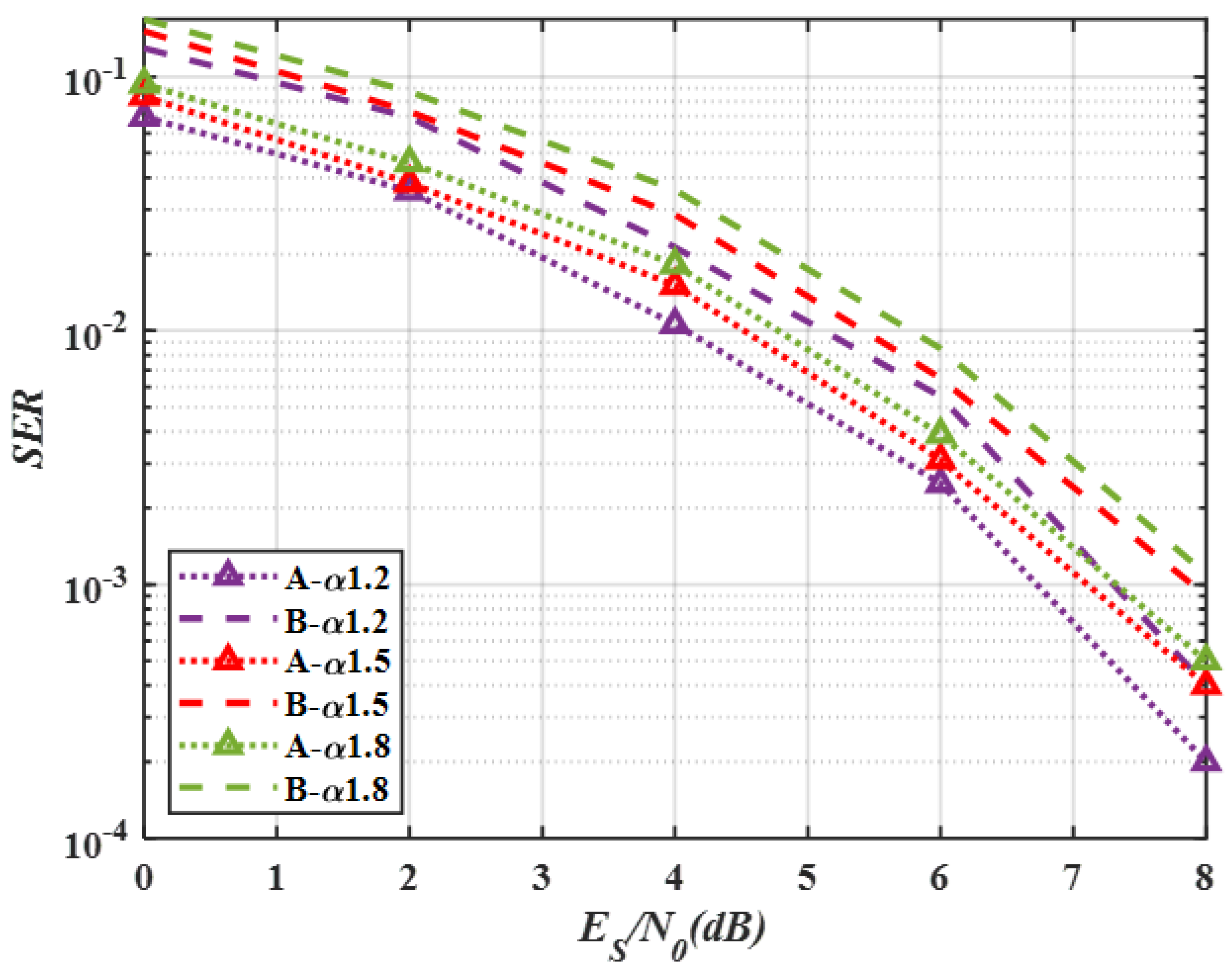
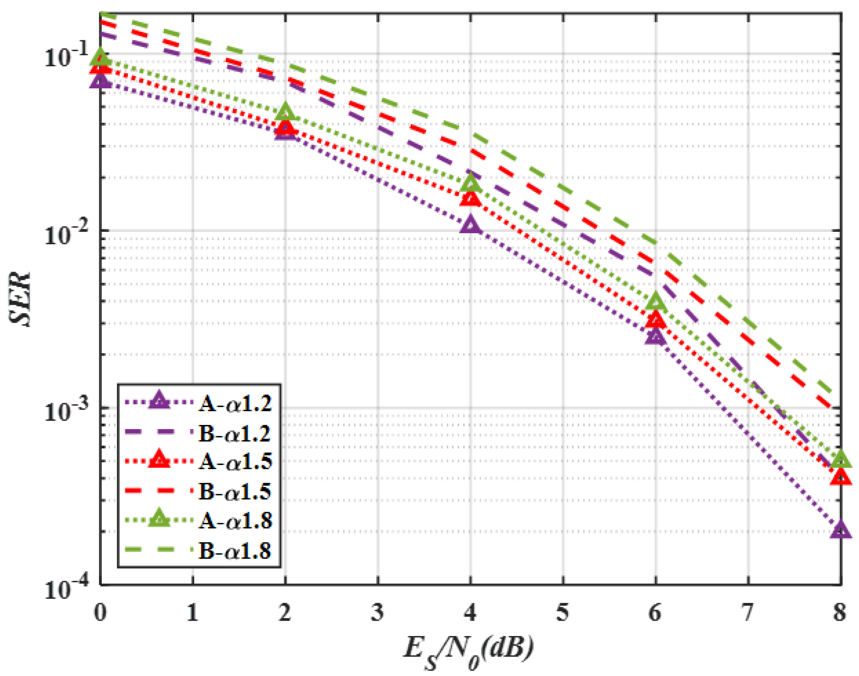
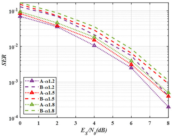
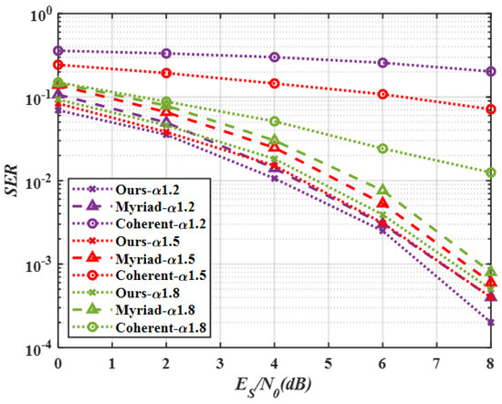
- The simulation results show that under impulsive noise, our demodulation scheme has better SER performance than the conventional coherent demodulation scheme and the demodulation algorithm based on the myriad branch metric. The SER performance of the demodulation algorithm based on the myriad branch metric can closely approach the ML performance under impulsive noise. In addition, our scheme does not require complex impulsive noise parameter estimation.
2. Background
2.1. Symmetric Alpha-Stable () Distribution
2.2. MSK Modulation
2.3. VLF/LF Communication Signal Model
2.4. The Conventional Coherent Demodulation Scheme of MSK Signals
2.5. The Algorithm Based on Myriad Branch Metric for MSK Signal Demodulation
3. Proposed Demodulation Scheme
3.1. System Model
3.2. The Structure of Our Neural Network Model
4. Simulation Results
5. Conclusions
Author Contributions
Funding
Data Availability Statement
Conflicts of Interest
References
- Wiklundh, K.; Fors, K.; Holm, P. A log-likelihood ratio for improved receiver performance for VLF/LF communication in atmospheric noise. In Proceedings of the MILCOM 2015—2015 IEEE Military Communications Conference, Tampa, FL, USA, 26–28 October 2015; pp. 1120–1125. [Google Scholar]
- Chrissan, D.A.; Fraser-Smith, A.C. A comparison of low-frequency radio noise amplitude probability distribution models. Radio Sci. 2000, 35, 195–208. [Google Scholar] [CrossRef]
- Chitre, M.; Kuselan, S.; Pallayil, V. Ambient noise imaging in warm shallow waters; robust statistical algorithms and range estimation. J. Acoust. Soc. Am. 2012, 132, 838–847. [Google Scholar] [CrossRef] [PubMed]
- Lin, J.; Pande, T.; Batra, A.; Evans, B.L. Robust transceiver to combat periodic impulsive noise in narrowband powerline communications. In Proceedings of the 2015 IEEE International Conference on Communications (ICC), London, UK, 8–12 June 2015; pp. 752–757. [Google Scholar]
- Win, M.Z.; Pinto, P.C.; Shepp, L.A. A mathematical theory of network interference and its applications. Proc. IEEE 2009, 97, 205–230. [Google Scholar] [CrossRef]
- Nikias, C.L.; Shao, M. Signal Processing with Alpha-Stable Distributions and Applications; Wiley: New York, NY, USA, 1995. [Google Scholar]
- Ilow, J.; Hatzinakos, D. Analytic alpha-stable noise modeling in a poisson field of interferers or scatterers. IEEE Trans. Signal Process. 1998, 46, 1601–1611. [Google Scholar] [CrossRef]
- Proakis, J.; Salehi, M. Digital Communications, 5th ed.; McGraw-Hill: New York, NY, USA, 2008. [Google Scholar]
- Brorsen, B.W.; Yang, S.R. Maximum likelihood estimates of symmetric stable distribution parameters. Commun. Stat. Simul. Comput. 1990, 19, 1459–1464. [Google Scholar] [CrossRef]
- Saleh, T.S.; Marsland, I.; El-Tanany, M. Suboptimal detectors for alpha-stable noise: Simplifying design and improving performance. IEEE Trans. Commun. 2012, 62, 2982–2989. [Google Scholar] [CrossRef]
- Mahmood, A.; Chitre, M.; Armand, M.A. On single-carrier communication in additive white symmetric alpha-stable noise. IEEE Trans. Commun. 2014, 62, 3584–3599. [Google Scholar] [CrossRef]
- Yang, G.; Wang, J.; Yue, G.; Li, S. Coherent sequence detection of MSK signals under impulsive noise. In Proceedings of the 2016 IEEE Global Conference on Signal and Information Processing (GlobalSIP), Washington, DC, USA, 7–9 December 2016; pp. 138–142. [Google Scholar]
- Ma, X.Y.; Nikias, C.L. Parameter estimation and blind channel identification in impulsive signal environments. IEEE Trans. Signal Process. 1995, 43, 2884–2897. [Google Scholar]
- Kuruoglu, E.E. Density parameter estimation of skewed/spl alpha/-stable distributions. IEEE Trans. Signal Process. 2001, 49, 2192–2201. [Google Scholar] [CrossRef]
- Roenko, A.A.; Lukin, V.V.; Djurovic, I. Two approaches to adaptation of sample myriad to characteristics of SαS distribution data. Signal Process. 2010, 90, 2113–2123. [Google Scholar] [CrossRef]
- Tsihrintzis, G.A.; Nikias, C.L. Fast estimation of the parameters of alpha-stable impulsive interference. IEEE Trans. Signal Process. 1996, 44, 1492–1503. [Google Scholar] [CrossRef]
- Patnaik, A.; Anagnostou, D.E.; Mishra, R.K.; Lyke, J.C. Applications of neural networks in wireless communications. IEEE Antennas Propag. Mag. 2004, 46, 130–137. [Google Scholar] [CrossRef]
- Amini, M.R.; Balarastagh, E. Improving ANN BFSK Demodulator Performance with Training Data Sequence Sent by Transmitter. In Proceedings of the 2010 Second International Conference on Machine Learning and Computing, Bangalore, India, 9–11 February 2010; pp. 276–281. [Google Scholar]
- Zhang, M.; Liu, Z.; Li, L.; Wang, H. Enhanced Efficiency BPSK Demodulator Based on One-Dimensional Convolutional Neural Network. IEEE Access 2018, 6, 26939–26948. [Google Scholar] [CrossRef]
- Daldal, N.; Sengur, A.; Polat, K.; Cömert, Z. A Novel Demodulation System for Base Band Digital Modulation Signals Based on The Deep Long Short-term Memory Model. Appl. Acoust. 2020, 166, 107346. [Google Scholar] [CrossRef]
- Tan, Q.; Zhao, L. MSK Demodulator and Impulsive Noise Depression Based on Convolutional Neural Network with Gated Layers. In Proceedings of the 2019 IEEE 5th International Conference on Computer and Communications (ICCC), Chengdu, China, 6–9 December 2019; pp. 1975–1979. [Google Scholar]
- Kim, Y. Convolutional Neural Networks for Sentence Classification. arXiv 2014, arXiv:1408.5882. [Google Scholar]
- Kingma, D.; Ba, J. Adam: A Method for Stochastic Optimization. arXiv 2014, arXiv:1412.6980. [Google Scholar]
- Arce, G.R. Nonlinear Signal Processing: A Statistical Approach; Wiley: Hoboken, NJ, USA, 2005. [Google Scholar]








| Parameter | Value |
|---|---|
| Batch size | 128 |
| Loss function | BCE |
| Optimizer | Adam [23] |
| Learning rate | 0.001 |
| Number of training epochs | 1000 |
Disclaimer/Publisher’s Note: The statements, opinions and data contained in all publications are solely those of the individual author(s) and contributor(s) and not of MDPI and/or the editor(s). MDPI and/or the editor(s) disclaim responsibility for any injury to people or property resulting from any ideas, methods, instructions or products referred to in the content. |
© 2023 by the authors. Licensee MDPI, Basel, Switzerland. This article is an open access article distributed under the terms and conditions of the Creative Commons Attribution (CC BY) license (https://creativecommons.org/licenses/by/4.0/).
Share and Cite
Jia, G.; Lu, H.; Wang, S.; Xu, X.; Liu, X. A Novel Demodulation Scheme of MSK Signals Based on One-Dimensional Convolutional Neural Network under Impulsive Noise. Electronics 2023, 12, 4520. https://doi.org/10.3390/electronics12214520
Jia G, Lu H, Wang S, Xu X, Liu X. A Novel Demodulation Scheme of MSK Signals Based on One-Dimensional Convolutional Neural Network under Impulsive Noise. Electronics. 2023; 12(21):4520. https://doi.org/10.3390/electronics12214520
Chicago/Turabian StyleJia, Guangyao, Hangyu Lu, Shun Wang, Xin Xu, and Xiaojun Liu. 2023. "A Novel Demodulation Scheme of MSK Signals Based on One-Dimensional Convolutional Neural Network under Impulsive Noise" Electronics 12, no. 21: 4520. https://doi.org/10.3390/electronics12214520
APA StyleJia, G., Lu, H., Wang, S., Xu, X., & Liu, X. (2023). A Novel Demodulation Scheme of MSK Signals Based on One-Dimensional Convolutional Neural Network under Impulsive Noise. Electronics, 12(21), 4520. https://doi.org/10.3390/electronics12214520

